Melatonin-Mediated Modulation of Grapevine Resistance Physiology, Endogenous Hormonal Dynamics, and Fruit Quality Under Varying Irrigation Amounts
Abstract
1. Introduction
2. Results
2.1. Effect of Melatonin on Membrane Permeability in Grape Leaves Under Varying Irrigation Amounts
2.2. Effect of Melatonin on Active Oxygen Levels in Grape Leaves Under Varying Irrigation Amounts
2.3. Effects of Melatonin on the Activity of Protective Enzymes in Grape Leaves Under Varying Irrigation Amounts
2.4. Effect of Melatonin on Ascorbate–Glutathione Cycle Enzyme Activity in Grape Leaves Under Varying Irrigation Amounts
2.5. Effect of Melatonin on Ascorbic Acid–Glutathione Levels in Grape Leaves Under Varying Irrigation Amounts
2.6. Effects of Melatonin on Endogenous MT Content and Related Gene Expression in Grape Leaves Under Varying Irrigation Amounts
2.7. Effects of Melatonin on Endogenous IAA Content and Related Gene Expression in Grape Leaves Under Varying Irrigation Amounts
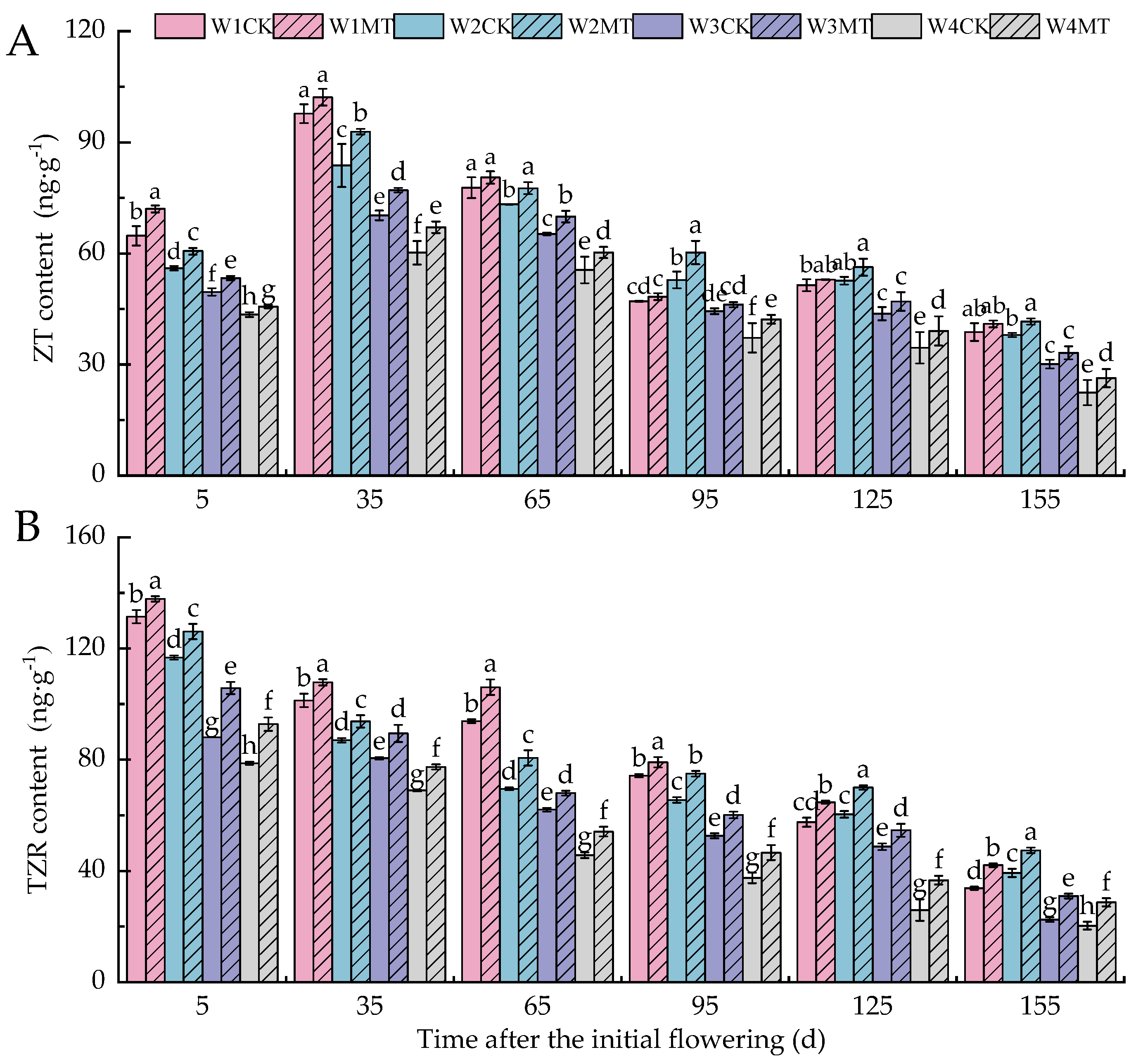
2.8. Effects of Melatonin on Endogenous ZT and TZR Contents and Related Gene Expression in Grape Leaves Under Varying Irrigation Amounts
2.9. Effects of Melatonin on Endogenous GA3 Content and Related Gene Expression in Grape Leaves Under Varying Irrigation Amounts
2.10. Effects of Melatonin on Endogenous ABA Content and Related Gene Expression in Grape Leaves Under Varying Irrigation Amounts
2.11. Effects of Melatonin on Endogenous SA Content and Related Gene Expression in Grape Leaves Under Varying Irrigation Amounts
2.12. Effect of Melatonin on Soluble Solids and Titratable Acid Content of Grape Berries Under Varying Irrigation Amounts
2.13. Effects of Melatonin on the Contents of Total Soluble Sugar and Sugar Components in Grape Berries Under Varying Irrigation Amounts
2.14. Effects of Melatonin on the Contents of Phenolic Compounds and Vitamin C in Grape Berries Under Varying Irrigation Amounts
2.15. Effects of Melatonin on Single Fruits’ Weight and Vertical and Transverse Diameters in Grape Berries Under Varying Irrigation Amounts
2.16. Principal Component Analysis
3. Discussions
3.1. Impact of Melatonin on the Resistance Physiology in Grape Leaves Under Varying Irrigation Amounts
3.2. Impact of Melatonin on Endogenous Hormonal Dynamics in Grape Leaves Under Varying Irrigation Amounts
3.3. Impact of Melatonin on the Quality of Grape Berries Under Varying Irrigation Amounts
4. Materials and Methods
4.1. Overview of the Test Site and Test Materials
4.2. Experimental Design
4.3. Determination Items and Methods
4.3.1. Determination of Relative Conductivity and Osmotic Adjustment Substance Contents in Leaves
4.3.2. Determination of the Active Oxygen Level and Malondialdehyde Content in Leaves
4.3.3. Determination of the Antioxidant-Related Enzyme Activity in Leaves
4.3.4. Ascorbic Acid–Glutathione Cycle Antioxidant-Related Enzyme Activity Determination in Leaves
4.3.5. Determination of the Ascorbic Acid–Glutathione Cycle Antioxidant Content in Leaves
4.3.6. Determination of the Endogenous Hormone Contents in Leaves
4.3.7. Real-Time Fluorescence Quantitative qRT–PCR
4.3.8. Determination of the Fruit Quality and Yield-Related Indicators
4.4. Statistical Analysis of Data
5. Conclusions
Author Contributions
Funding
Institutional Review Board Statement
Informed Consent Statement
Data Availability Statement
Acknowledgments
Conflicts of Interest
References
- Chaves, M.M.; Zarrouk, O.; Francisco, R.; Costa, J.M.; Santos, T.; Regalado, A.P.; Rodrigues, M.L.; Lopes, C.M. Grapevine under deficit irrigation: Hints from physiological and molecular data. Ann. Bot. 2010, 105, 661–676. [Google Scholar] [CrossRef] [PubMed]
- Guo, A.; Shi, X.; Wang, Y.; Hu, Y.; Zhu, Y. Effect of drought stress on the photosynthesis, chloroplast ultrastructure and antioxidant system in leaves of three apple rootstocks. Agric. Res. Arid. Areas 2019, 37, 178–186. [Google Scholar]
- Aditi, G.; Andrés, R.M.; Ana, I.C.D. The physiology of plant responses to drought. Science 2020, 368, 266–269. [Google Scholar]
- Shi, Q.; Bao, X.; Hua, J.; Yu, C.; Yin, Y.; Lu, Z. Effects of drought stress and recovery on photosynthesis and physiological characteristics of Hibiscus hamabo. Chin. J. Appl. Ecol. 2019, 30, 2600–2606. [Google Scholar]
- Xiao, T.; Li, P.; Fei, W.; Wang, J. Effects of vegetation roots on the structure and hydraulic properties of soils: A perspective review. Sci. Total Environ. 2023, 906, 167524. [Google Scholar] [CrossRef] [PubMed]
- Chou, Y.; Mao, J.; Yue, Y.; Ma, Z. Effects of different irrigation amounts on the accumulation of organic acids and fruit quality of Pinot Noir grapes. J. Gansu Agric. Univ. 2022, 95–102. [Google Scholar]
- Lei, J.; Tian, D.; Fan, X.; Zhang, K.; Hao, Y. Effects of Irrigation Amount under Drip Irrigation Mode on Growth and Fruit Quality of Vintis vinifera L. cv. Marselan. For. Sci. Technol. 2019, 38–42. [Google Scholar]
- Wang, W.; Chen, W.; Hao, J.; Wang, Y.; Yu, M.; Yang, Q. Effects of Different Irrigation and Moisture Conversation Measures on Soil Moisture and Fruit Yield of Chunguang Grape. J. Shanxi Agric. Sci. 2023, 51, 525–530. [Google Scholar]
- Wang, Z.; Pu, H.; Shan, S.; Zhang, P.; Li, J.; Song, H.; Xu, X. Melatonin enhanced chilling tolerance and alleviated peel browning of banana fruit under low temperature storage. Postharvest Biol. Technol. 2021, 179, 111571. [Google Scholar] [CrossRef]
- Ferrari, A.M.; Pini, M.; Sassi, D.; Zerazion, E.; Neri, P. Effects of grape quality on the environmental profile of an Italian vineyard for Lambrusco red wine production. J. Clean. Prod. 2018, 172, 3760–3769. [Google Scholar] [CrossRef]
- Meng, J.; Xu, T.; Wang, Z.; Fang, Y.; Xi, Z.; Zhang, Z. The ameliorative effects of exogenous melatonin on grape cuttings under water-deficient stress: Antioxidant metabolites, leaf anatomy, and chloroplast morphology. J. Pineal Res. 2014, 57, 200–212. [Google Scholar] [CrossRef] [PubMed]
- Wang, Y.; Reiter, R.J.; Chan, Z. Phytomelatonin: A universal abiotic stress regulator. J. Exp. Bot. 2018, 69, 963–974. [Google Scholar] [CrossRef] [PubMed]
- Back, K. Melatonin metabolism, signaling and possible roles in plants. Plant J. 2020, 105, 376–391. [Google Scholar] [CrossRef] [PubMed]
- Shi, Z.; Liang, J.; Zhang, H.; Zheng, S.; Wang, J.; Zhang, T. Effect of exogenous melatonin on cold resistance of Brassica rapa seedlings under low temperature stress. Agric. Res. Arid. Areas 2019, 37, 163–170. [Google Scholar]
- Jafari, M.; Shahsavar, A. The Effect of Foliar Application of Melatonin on Changes in Secondary Metabolite Contents in Two Citrus Species Under Drought Stress Conditions. Front. Plant Sci. 2021, 12, 692735. [Google Scholar] [CrossRef]
- Jahan, M.S.; Shu, S.; Wang, Y.; Chen, Z.; He, M.; Tao, M.; Sun, J.; Guo, S. Melatonin alleviates heat-induced damage of tomato seedlings by balancing redox homeostasis and modulating polyamine and nitric oxide biosynthesis. BMC Plant Biol. 2019, 19, 414. [Google Scholar] [CrossRef]
- Chang, J.; Guo, Y.; Zhang, Z.; Wei, C.; Zhang, Y.; Ma, J.; Yang, J.; Zhang, X.; Li, H. CBF-responsive pathway and phytohormones are involved in melatonin-improved photosynthesis and redox homeostasis under aerial cold stress in watermelon. Acta Physiol. Plant. 2020, 42, 159. [Google Scholar] [CrossRef]
- Zhao, H.; Zhang, K.; Zhou, X.; Xi, L.; Wang, Y.; Xu, H.; Pan, T.; Zou, Z. Melatonin alleviates chilling stress in cucumber seedlings by up-regulation of CsZat12 and modulation of polyamine and abscisic acid metabolism. Sci. Rep. 2017, 7, 4998. [Google Scholar] [CrossRef]
- He, F.; Liu, P.; Wang, L.; Qing, J.; Du, Q.; Du, H. Effects of drought stress and rewatering on physiological characteristics of Eucommia ulmoides seedling. Plant Physiol. J. 2021, 57, 661–671. [Google Scholar]
- Zhang, L.; Wu, J.; Mei, L.; Wu, J. Evaluation of salt tolerance and screening of salt tolerance indexes of tree species. For. Sci. 2011, 47, 66–72. [Google Scholar]
- Lu, Z.; Zhang, Y.; Zhang, C. The seedling growth and root physiological traits of Fagopyrum tataricum cultivars under drought stress. Acta Bot. Boreali-Occident. Sin. 2018, 38, 112–120. [Google Scholar]
- Liang, D.; Ni, Z.; Xia, H.; Xie, Y.; Lv, X.; Wang, J.; Lin, L.; Deng, Q.; Luo, X. Exogenous melatonin promotes biomass accumulation and photosynthesis of kiwifruit seedlings under drought stress. Sci. Hortic. 2019, 246, 34–43. [Google Scholar] [CrossRef]
- Ye, J.; Wang, S.; Deng, X.; Yin, L.; Xiong, B.; Wang, X. Melatonin increased maize (Zea mays L.) seedling drought tolerance by alleviating drought-induced photosynthetic inhibition and oxidative damage. Acta Physiol. Plant. 2016, 38, 48. [Google Scholar] [CrossRef]
- Qi, X.; Wang, W.; Hu, S.; Liu, Y.; Zheng, C.; Sun, X. Effects of exogenous melatonin on photosynthesis and physiological characteristics of chrysanthemum seedlings under high temperature stress. Chin. J. Appl. Ecol. 2021, 32, 2496–2504. [Google Scholar]
- Mittler, R.; Zandalinas, S.I.; Fichman, Y.; Breusegem, F. Reactive oxygen species signalling in plant stress responses. Nat. Rev. Mol. Cell Biol. 2022, 23, 663–679. [Google Scholar] [CrossRef] [PubMed]
- Ma, D.; Ji, D.; Xu, Y.; Tian, S. Advances in the regulation on autophagy by reactive oxygen species in plant cells. Chin. Bull. Bot. 2019, 54, 81–92. [Google Scholar]
- Li, C.; Tan, D.; Liang, D.; Chang, C.; Jia, D.; Ma, F. Melatonin mediates the regulation of ABA metabolism, free-radical scavenging, and stomatal behaviour in two Malus species under drought stress. J. Exp. Bot. 2014, 66, 669–680. [Google Scholar] [CrossRef]
- Lou, L.; Li, X.; Chen, J.; Li, Y.; Tang, Y.; Lv, J. Photosynthetic and ascorbate-glutathione metabolism in the flag leaves as compared to spikes under drought stress of winter wheat (Triticum aestivum L.). PLoS ONE 2018, 13, e0194625. [Google Scholar] [CrossRef]
- Xu, M.; Feng, Y.; Tong, Y.; Yue, D.; Zhang, H.; Zheng, C. Effects of low temperature stress on leaf photosynthetic physiology and antioxidant characteristics in mangrove plants seedlings with different cold tolerance. For. Res. 2024, 37, 124–133. [Google Scholar]
- Wang, P.; Sun, X.; Li, C.; Wei, Z.; Liang, D.; Ma, F. Long-term exogenous application of melatonin delays drought-induced leaf senescence in apple. J. Pineal Res. 2013, 54, 292–302. [Google Scholar] [CrossRef]
- Campos, C.N.; Ávila, R.G.; Souza, K.R.D.; Azevedo, L.M.; Alves, J.D. Melatonin reduces oxidative stress and promotes drought tolerance in young Coffea arabica L. plants. Agric. Water Manag. 2019, 211, 37–47. [Google Scholar] [CrossRef]
- Wang, Y.; Hou, Y.; Ma, Y.; Zhu, X.; Zheng, Y.; Jin, P. Effect of glycine betaine treatment on chilling injury and ascorbic acid-glutathione cycle metabolism in peach fruit. Food Sci. 2021, 42, 158–165. [Google Scholar]
- Liu, M.; Li, Z.; Zhang, G.; Wang, J.; Zu, Y. Response of ascorbate-glutathione cycle in wild Arabis alpina L. to soil Cd and Pb stress. J. Agric. Resour. Environ. 2021, 38, 558–569. [Google Scholar]
- Wu, S.; Hu, C.; Tan, Q.; Nie, Z.; Sun, X. Effects of molybdenum on water utilization, antioxidative defense system and osmotic-adjustment ability in winter wheat (Triticum aestivum) under drought stress. Plant Physiol. Biochem. 2014, 83, 365–374. [Google Scholar] [CrossRef] [PubMed]
- Cui, G.; Zhao, X.; Liu, S.; Sun, F.; Zhang, C.; Xi, Y. Beneficial effects of melatonin in overcoming drought stress in wheat seedlings. Plant Physiol. Biochem. 2017, 118, 138–149. [Google Scholar] [CrossRef]
- Ding, K.; Wang, L.; Tian, G.; Wang, H.; Li, F.; Pan, Y.; Pang, Z.; Shan, Y. Effect of exogenous uniconazole on antioxidant capacity and osmotic adjustment of potato leaves under drought stress. J. Nucl. Agric. Sci. 2024, 38, 169–178. [Google Scholar]
- Zhao, H.; Ye, L.; Wang, Y.; Zhou, X.; Yang, J.; Wang, J.; Cao, K.; Zou, Z. Melatonin Increases the Chilling Tolerance of Chloroplast in Cucumber Seedlings by Regulating Photosynthetic Electron Flux and the Ascorbate-Glutathione Cycle. Front. Plant Sci. 2016, 7, 1814. [Google Scholar] [CrossRef]
- Fan, D.; Zhao, J.; Abudukayoumu, A.; Jin, J.; Yang, L.; Hao, Q.; Gen, W. Effect of gibberellin spraying on leaf development, yield and quality of Junzao. Acta Agric. Boreali-Occident. Sin. 2021, 30, 1199–1209. [Google Scholar]
- Li, D.; Shen, H.; Wang, Y.; Wang, Y.; Wang, L.; Zhao, S.; Liu, L. Effects of exogenous melatonin on photosynthetic carbon assimilation and endogenous hormones in tobacco seedlings under drought stress. Acta Prataculturae Sin. 2021, 30, 130–139. [Google Scholar]
- Tang, Z.; Du, Y.; Yang, H.; Li, X.; Yu, Y.; Wang, W. Changes of endogenous hormone contents and expression analysis of related genes in leaves of tea under heat and drought stresses. J. Tea Sci. 2023, 43, 489–500. [Google Scholar]
- Cui, S.; Zhang, Z.; Fu, X.; Liu, J.; Yang, H. Key genes in response to drought stress in plant hormone signal transduction pathway of oat. J. Triticeae Crops 2023, 43, 1384–1393. [Google Scholar]
- Li, S.; Li, X.; Wei, Z.; Liu, F. ABA-mediated modulation of elevated CO2 on stomatal response to drought. Curr. Opin. Plant Biol. 2020, 56, 174–180. [Google Scholar] [CrossRef] [PubMed]
- Zhao, B.; Liu, Q.; Wang, B.; Yuan, F. Roles of Phytohormones and Their Signaling Pathways in Leaf Development and Stress Responses. J. Agric. Food Chem. 2021, 69, 3566–3584. [Google Scholar] [CrossRef] [PubMed]
- Nasircilar, A.G.; Erkaymaz, T.; Ulukapi, K. Reflection of the synergistic/antagonistic effects of melatonin and salicylic acid on the biochemical profile of Allium cepa L. under drought stress. S. Afr. J. Bot. 2024, 166, 1–13. [Google Scholar] [CrossRef]
- Zhang, H.; Duan, W.; Xie, B.; Dong, S.; Wang, B.; Shi, C.; Zhang, L. Effects of drought stress at different Growth Stages on endogenous hormones and its relationship with Storage root yield in Sweetpotato. Acta Agron. Sin. 2018, 44, 126–136. [Google Scholar] [CrossRef]
- Jiang, C.; Cui, Q.; Feng, K.; Xu, D.; Li, C.; Zheng, Q. Melatonin improves antioxidant capacity and ion homeostasis and enhances salt tolerance in maize seedlings. Acta Physiol. Plant. 2016, 38, 82. [Google Scholar] [CrossRef]
- Yang, Y.; Xiao, B. Effects of exogenous melatonin on the photosynthesis, ASA-GSH cycle, and hormone changes of malus ‘royalty’ under drought stress. J. Henan Agric. Sci. 2024, 53, 100–110. [Google Scholar]
- Liu, H.; Cao, Y.; Du, P.; Zhou, S.; Li, Z.; Zhang, X.; Xu, J.; Liang, B. Effects of exogenous melatonin on nitrogen metabolism related enzyme activities and genes expression in apple rootstock seedlings under nutrient stress. J. Plant Nutr. Fertil. 2023, 29, 1884–1895. [Google Scholar]
- Zheng, X.; Zhou, J.; Tan, D.; Wang, N.; Wang, L.; Shan, D.; Kong, J. Melatonin Improves Waterlogging Tolerance of Malus baccata (Linn.) Borkh. Seedlings by Maintaining Aerobic Respiration, Photosynthesis and ROS Migration. Front. Plant Sci. 2017, 8, 483. [Google Scholar] [CrossRef]
- Kerr, I.D.; Bennett, M.J. New insight into the biochemical mechanisms regulating auxin transport in plants. Biochem. J. 2007, 401, 613–622. [Google Scholar] [CrossRef]
- Li, X.; Gao, Y.; Miao, S.; Li, T.; Dong, S.; Shi, X.; Xue, J.; Ji, C.; Li, R. Identification of auxin receptor gene TIR1 family in Cyperus esculentus and the expression analysis in response to salt stress and exogenous IBA. Chin. J. Trop. Crops 2023, 1–11. [Google Scholar]
- Xie, F.; Ren, L.; Ding, F.; Zhang, S. Physiological and transcriptomic analyses of the effects of melatonin on Zanthoxylum bungeanum under drought stress. J. Northwest For. Univ. 2023, 38, 1–10. [Google Scholar]
- Liu, M.; Yao, J.; Bao, M.; Chun, Y.; Wang, X. Research progress on the mechanism of GAs-induced seedlessness in grape. Acta Hortic. Sin. 2024, 51, 1610–1622. [Google Scholar]
- Song, S.; Liu, J.; Huang, H.; Wu, J.; Xu, H.; Zhang, Q.; Li, X.; Liang, J. Gibberellin metabolism and signaling and its molecular mechanism in regulating seed germination and dormancy. Chin. Sci. Life Sci. 2020, 50, 599–615. [Google Scholar]
- Hu, P.; Huang, T.; Li, M.; Wang, R.; Li, L. Research progress on abscisic acid biosynthesis and signaling regulation. Chin. Bull. Life Sci. 2015, 27, 1193–1196. [Google Scholar]
- Shi, H.; Jiang, C.; Ye, T.; Tan, D.; Reiter, R.J.; Zhang, H.; Liu, R.; Chan, Z. Comparative physiological, metabolomic, and transcriptomic analyses reveal mechanisms of improved abiotic stress resistance in bermudagrass [Cynodon dactylon (L). Pers.] by exogenous melatonin. J. Exp. Bot. 2015, 66, 681–694. [Google Scholar] [CrossRef]
- Sun, L.; Lv, C.; Ma, L.; Gao, S.; Zhao, H.; Wang, B. Carbohydrate changes of ‘Kyoho’ grape during dormancy and dormancy-release. Chin. Agric. Sci. Bull. 2017, 33, 93–98. [Google Scholar]
- Lu, C.; Zheng, X.; Jia, H.; Lu, R.; Teng, Y. Effects of root restriction on soluble sugar contents and related enzyme activities in ‘Jumeigui’ grape berries. Acta Hortic. Sin. 2011, 38, 825–832. [Google Scholar]
- Lin, B.; Zhang, R.; Dong, B.; Wen, W.; Gao, Y.; Wang, Y.; Yang, C.; Wang, T. Effects of drought stress on WUE, yield and quality of greenhouse grape at different growth stages. J. Irrig. Drain. 2019, 38, 11–18. [Google Scholar]
- Yang, B.; Yao, H.; Zhang, J.; Li, Y.; Ju, Y.; Zhao, X.; Sun, X.; Fang, Y. Effect of regulated deficit irrigation on the content of soluble sugars, organic acids and endogenous hormones in Cabernet Sauvignon in the Ningxia region of China. Food Chem. 2020, 312, 126020. [Google Scholar] [CrossRef]
- He, A.; An, J.; Zhang, R.; Wang, W.; Wu, Y.; Yang, G.; Chen, N.; Wang, F. Effects of water deficit on leaf protecting system and quality yield of delayed grape cultivation during different growth stage. J. Soil Water Conserv. 2016, 30, 196–201. [Google Scholar]
- Du, T.; Kang, S.; Zhang, J.; Li, F.; Yan, B. Water use efficiency and fruit quality of table grape under alternate partial root-zone drip irrigation. Agric. Water Manag. 2008, 95, 659–668. [Google Scholar] [CrossRef]
- Jia, R.; Wang, Y.; Li, B.; Li, Y.; Yao, Y. Effects of exogenous melatonin treatment on quality of ‘Shine Muscat’ grape berries. Plant Physiol. J. 2022, 58, 2034–2044. [Google Scholar]
- Xia, H.; Shen, Y.; Shen, T.; Wang, X.; Zhang, X.; Hu, P.; Liang, D.; Lin, L.; Deng, H.; Wang, J.; et al. Melatonin Accumulation in Sweet Cherry and Its Influence on Fruit Quality and Antioxidant Properties. Molecules 2020, 25, 753. [Google Scholar] [CrossRef] [PubMed]
- Fan, S.; Li, Q.; Feng, S.; Lei, Q.; Abbas, F.; Yao, Y.; Chen, W.; Li, X.; Zhu, X. Melatonin Maintains Fruit Quality and Reduces Anthracnose in Postharvest Papaya via Enhancement of Antioxidants and Inhibition of Pathogen Development. Antioxidants 2022, 11, 804. [Google Scholar] [CrossRef]
- Wu, P.; Lv, J.; Yu, J.; Liu, N.; Ji, L.; Jin, N.; Wang, X. Effects of melatonin on photosynthetic properties and osmoregulatory substance contents of cucumber seedlings under salt-alkali stress. Chin. J. Appl. Ecol. 2022, 33, 1901–1910. [Google Scholar]
- Li, G.; Gao, Y.; Ma, W.; Zhang, Z.; Liu, Y.; Li, N.; Li, Q. Effects of foliar spraying melatonin on strawberry growth, photosynthesis and fruit quality. China Veg. 2022, 1, 80–85. [Google Scholar]
- Zhou, B.; Sun, J.; Liu, S.; Jin, W.; Zhang, Q.; Wei, Q. Dwarfing apple rootstock responses to elevated temperatures: A study on plant physiological features and transcription level of related genes. J. Integr. Agric. 2016, 15, 1025–1033. [Google Scholar] [CrossRef]
- Li, Y.; Fan, H.; Zhang, Z.; Lian, Y.; Ren, Y.; Xin, Z.; Wang, Z.; Lin, T. Effects of root application of propionic acid on proline metabolic enzymes and drought resistance in winter wheat seedling leaves. Acta Bot. Boreali-Occident. Sin. 2020, 40, 649–657. [Google Scholar]
- Wang, J.; Zhang, Q.; Gao, Z.; Ma, X.; Qu, F.; Hu, X. Effects of two microbial agents on yield, quality and rhizosphere environment of autumn cucumber cultured in organic substrate. Sci. Agric. Sin. 2021, 54, 3077–3087. [Google Scholar]
- Vasquez-Vivar, J.; Thirugnanam, K. 36-Quantitative relationship between NADPH depletion and inhibition of NOX2-induced superoxide radical anion. Free Radic. Biol. Med. 2016, 100, S30–S31. [Google Scholar] [CrossRef]
- Wu, Z.; Jiang, Q.; Yan, T.; Zhang, X.; Xu, S.; Shi, H.; Deng, T.; Li, F.; Du, Y.; Du, R.; et al. Ammonium nutrition mitigates cadmium toxicity in rice (Oryza sativa L.) through improving antioxidase system and the glutathione-ascorbate cycle efficiency. Ecotoxicol. Environ. Saf. 2020, 189, 110010. [Google Scholar] [CrossRef] [PubMed]
- Giannopolitis, C.N.; Ries, S.K. Superoxide dismutases: I. Occurrence in higher plants. Plant Physiol. 1977, 59, 309–314. [Google Scholar] [CrossRef] [PubMed]
- Shannon, L.M.; Kay, E.; Lew, J.Y. Peroxidase isozymes from horseradish roots. I. Isolation and physical properties. J. Biol. Chem. 1966, 241, 2166–2172. [Google Scholar] [CrossRef] [PubMed]
- Bergmeyer, H.U. Methods of Enzymatic Analysis, 2nd ed.; Verlag Chemie International: Deerfield Beach, FL, USA, 1974; Volume 3. [Google Scholar]
- Murshed, R.; Lauri, F.L.; Sallanon, H. Microplate quantification of enzymes of the plant ascorbate–glutathione cycle. Anal. Biochem. 2008, 383, 320–322. [Google Scholar] [CrossRef]
- Gillespie, K.M.; Ainsworth, E.A. Measurement of reduced, oxidized and total ascorbate content in plants. Nat. Protoc. 2007, 2, 871–874. [Google Scholar] [CrossRef]
- Pradedova, E.V.; Nimaeva, O.D.; Karpova, A.B.; Semenova, N.V.; Rakevich, A.L.; Nurminskii, V.N.; Stepanov, A.V.; Salyaev, R.K. Glutathione in Intact Vacuoles: Comparison of Glutathione Pools in Isolated Vacuoles, Plastids, and Mitochondria from Roots of Red Beet. Russ. J. Plant Physiol. 2018, 65, 168–176. [Google Scholar] [CrossRef]
- Zhu, Y.; Huo, D.; Zhang, M.; Wang, G.; Xiao, F.; Xu, J.; Li, F.; Zeng, Q.; Wei, Y.; Xu, J. Integrated transcriptome and endogenous hormone analyses reveal the factors affecting the yield of Camellia oleifera. BMC Genom. 2024, 25, 887. [Google Scholar] [CrossRef]
- Chen, P.; Du, H.; Qin, Y.; Yang, H.; Li, C.; Mo, Z. Improvement and application of determination method of acid content in fruits and vegetables. Zhejiang Agric. Sci. 2013, 451–453, 456. [Google Scholar]
- He, Y.; Ma, Z.; Wei, X.; Li, Y.; Li, Y.; Ma, W.; Ding, S.; Mao, J.; Chen, B. Comparative analysis of sugar and organic acid contents of different apple cultivars in dryland of Loess Plateau. Sci. Technol. Food Ind. 2021, 42, 248–254. [Google Scholar]
- Wang, H.; Zhang, Y.; Han, Y.; Guan, Y.; Xie, T. Determination of total phenolic content in immature cucumber by Folin-Ciocalteu colorimetry. Food Ind. 2015, 36, 262–266. [Google Scholar]
- Geng, N.; Li, X.; Gu, D.; Liu, L. Folin-Denis spectrophotometric method for the determination of tannic acid in Chinese nutgall. Anhui Agric. Sci. 2013, 41, 11848–11850, 11915. [Google Scholar]
- Liu, Z.; Li, L.; Dong, Z.; Tan, W.; Li, X.; Tang, X. Study on the changes of phenolic compounds in the fruit of four vines of Merlot grape. Chin. Brew. 2017, 36, 114–118. [Google Scholar]
















| Treatment | Soluble Solids (%) | Titratable Acid (%) | Solid Acid Ratio | Firmness (kg·cm−2) |
|---|---|---|---|---|
| W1CK | 16.83 ± 0.23 e | 0.35 ± 0.01 a | 48.6 ± 1.98 h | 0.61 ± 0.02 f |
| W1MT | 17.97 ± 0.31 d | 0.34 ± 0.01 a | 53.47 ± 1.46 g | 0.72 ± 0.02 de |
| W2CK | 20.5 ± 0.30 b | 0.29 ± 0.01 cd | 69.74 ± 2.48 d | 0.75 ± 0.04 cd |
| W2MT | 21.4 ± 0.11 a | 0.28 ± 0.01 de | 75.1 ± 1.01 c | 0.79 ± 0.03 bc |
| W3CK | 21.53 ± 0.35 a | 0.27 ± 0.01 e | 78.57 ± 1.84 b | 0.81 ± 0.01 b |
| W3MT | 21.63 ± 0.76 a | 0.25 ± 0.01 f | 85.94 ± 1.63 a | 0.99 ± 0.03 a |
| W4CK | 18.27 ± 0.15 d | 0.32 ± 0.02 b | 57.38 ± 0.14 f | 0.7 ± 0.02 e |
| W4MT | 19.13 ± 0.21 c | 0.3 ± 0.01 cd | 63.36 ± 1.66 e | 0.75 ± 0.04 cd |
| Treatment | Total Soluble Sugar (mg·g−1) | Glucose (mg·g−1) | Fructose (mg·g−1) | Sucrose (mg·g−1) |
|---|---|---|---|---|
| W1CK | 72.46 ± 2.46 d | 28.91 ± 0.26 e | 24.97 ± 1.21 f | 2.50 ± 0.02 c |
| W1MT | 74.88 ± 2.95 d | 29.87 ± 0.50 e | 26.14 ± 0.19 f | 2.60 ± 0.05 c |
| W2CK | 78.32 ± 5.13 cd | 33.06 ± 0.60 d | 28.83 ± 1.47 e | 2.52 ± 0.03 c |
| W2MT | 82.40 ± 3.62 bc | 34.43 ± 0.57 cd | 32.55 ± 0.84 d | 2.81 ± 0.12 b |
| W3CK | 88.10 ± 3.68 ab | 35.48 ± 0.67 bc | 33.93 ± 0.99 cd | 2.80 ± 0.11 b |
| W3MT | 92.07 ± 4.38 a | 36.71 ± 0.87 bc | 34.81 ± 0.40 bc | 2.91 ± 0.14 ab |
| W4CK | 93.31 ± 3.51 a | 40.11 ± 1.06 a | 36.05 ± 0.70 ab | 3.03 ± 0.02 a |
| W4MT | 95.07 ± 4.46 a | 40.69 ± 1.66 a | 37.57 ± 1.07 a | 3.05 ± 0.06 a |
| Treatment | Total Phenols (mg·g−1) | Tannin (mg·g−1) | Total Flavonoids (mg·g−1) | Vitamin C (mg·100 g−1) |
|---|---|---|---|---|
| W1CK | 4.31 ± 0.23 g | 2.37 ± 0.03 f | 1.72 ± 0.02 e | 8.02 ± 0.21 d |
| W1MT | 4.70 ± 0.23 f | 2.32 ± 0.08 f | 1.91 ± 0.01 d | 9.28 ± 0.25 cd |
| W2CK | 5.47 ± 0.06 d | 2.49 ± 0.01 e | 1.94 ± 0.04 d | 11.63 ± 0.10 a |
| W2MT | 5.75 ± 0.09 c | 2.39 ± 0.01 f | 2.31 ± 0.01 c | 11.88 ± 0.15 a |
| W3CK | 6.03 ± 0.17 b | 2.87 ± 0.03 c | 2.42 ± 0.07 b | 10.78 ± 0.25 ab |
| W3MT | 6.38 ± 0.13 a | 2.59 ± 0.01 d | 2.64 ± 0.04 a | 11.48 ± 0.05 a |
| W4CK | 4.95 ± 0.02 ef | 3.37 ± 0.07 a | 2.35 ± 0.05 c | 10.03 ± 2.01 bc |
| W4MT | 5.21 ± 0.14 de | 3.15 ± 0.05 b | 2.43 ± 0.03 b | 10.97 ± 0.44 ab |
| Treatment | Single Fruit Weight (g) | Vertical Diameter (mm) | Transverse Diameter (mm) | Index of Fruit Figure |
|---|---|---|---|---|
| W1CK | 10.94 ± 0.24 b | 28.32 ± 0.22 c | 26.37 ± 0.23 d | 1.074 ± 0.011 c |
| W1MT | 12.46 ± 0.19 a | 29.68 ± 0.19 b | 27.7 ± 0.07 b | 1.071 ± 0.010 c |
| W2CK | 11.23 ± 0.07 b | 29.57 ± 0.17 b | 27.01 ± 0.10 c | 1.095 ± 0.007 bc |
| W2MT | 12.72 ± 0.16 a | 30.77 ± 0.27 a | 28.26 ± 0.04 a | 1.089 ± 0.011 bc |
| W3CK | 10.27 ± 0.24 c | 27.3 ± 0.41 d | 24.37 ± 0.29 f | 1.12 ± 0.030 b |
| W3MT | 11.09 ± 0.50 b | 28.56 ± 0.46 c | 25.52 ± 0.32 e | 1.119 ± 0.025 b |
| W4CK | 9.25 ± 0.09 d | 26.1 ± 0.17 e | 22.28 ± 0.59 h | 1.172 ± 0.025 a |
| W4MT | 9.92 ± 0.16 c | 27.05 ± 0.44 d | 23.37 ± 0.31 g | 1.158 ± 0.021 a |
| Treatment | Principal Component Score | Comprehensive Score (F) | Ranking | |||
|---|---|---|---|---|---|---|
| FAC1 | FAC2 | FAC3 | FAC4 | |||
| W1CK | −1.21 | −1.15 | 0.39 | −0.69 | −106.01 | 8 |
| W1MT | −0.98 | −0.22 | 1.18 | −0.30 | −67.76 | 7 |
| W2CK | −0.80 | 0.16 | −1.37 | 0.60 | −63.24 | 6 |
| W2MT | −0.53 | 1.15 | 0.18 | 1.37 | −14.89 | 5 |
| W3CK | 0.36 | 0.25 | −1.38 | −0.37 | 19.76 | 4 |
| W3MT | 0.69 | 1.48 | 0.44 | −1.61 | 73.22 | 2 |
| W4CK | 1.16 | −1.39 | −0.52 | −0.20 | 57.94 | 3 |
| W4MT | 1.31 | −0.28 | 1.08 | 1.19 | 100.98 | 1 |
| Eigen value | 29.13 | 6.51 | 2.71 | 1.07 | ||
| Variance contribution (%) | 72.83 | 16.27 | 6.78 | 2.67 | ||
| Cumulative variance proportion (%) | 72.83 | 89.11 | 95.89 | 98.55 | ||
| Primer Name | NCBI Login Number | Primer Sequence (5′-3′) |
|---|---|---|
| VvTDC1 | XM_010654123.2 | F: ATGGAGAGTGGACTGAGGCCCA R: TGATTAGGTGCGGAATCTGGCA |
| VvT5H1 | XM_002276522.4 | F: GCCATCATTGGCAACCTTCATC R: GCCAGATCATGGGTCTTCATCACT |
| VvSNAT1 | XM_002266325.4 | F: CGCCCTCCTCTCCACTTCTCAG R: GCTTTCTTCTTGCTCTCCCAACCC |
| VvASMT1 | XM_002278056.3 | F: AGGTATGTGAACCGGCTCATGC R: TCGAGCATTGCCAGAACGAAG |
| VvYUCCA6 | XM_002267965.3 | F: TGGACAGGAGGTTCGATGGACTAAG R: GTTCCGCATTCTCACCAGTAGCC |
| VvAUX1 | XM_002279183.4 | F: TTCGTGTGGGAGAAGGTGATAGGG R: TCGGGATAACAACTGGGAGTCTGG |
| VvTIR | XM_002269091.4 | F: ACTACATCGCCTTTCCCTCTCTGG R: TTTCTAGCTTCTTGGCATGGGTTCC |
| VvIPT2 | XM_019222408.1 | F: CCAGGTTTCCCGCAGAGATTGTG R: CTGCTCCTCCTCTGTGATCTTGTTG |
| VvCKX1 | XM_002284524.3 | F: ACCTTCCATCGGCAATTCTACATCC R: CCTCTAGCGGCAATGGTTAGTTCTG |
| VvG20ox1 | NM_001319281.1 | F: GCCACCTGAGCTTCTTGTTCCTC R: AAGACGAGCCGCATTTGAGATGG |
| VvDELLA | NM_001397856.1 | F: TACAGGGTGGAGGAGAACAATGGG R: TCAGTTGGAGGCAGGTGTGGAG |
| VvNCED1 | XM_019216859.1 | F: AATGCTACTGACGCTTCTGGTATGC R: CAGGAGCCAATCACCACGACTTC |
| VvPP2C | XM_002283400.3 | F: CTTGAGGAGCGAGAACGTGTTACC R: ACAGCAGGCTTCAGATCATCATCAC |
| VvSNRK2A | XM_002269185.3 | F: GTGGCTAGGCTTATGAGGAACAAGG R: TATGTTTGGATGCCGAAGGGAACG |
| VvABAH3 | XM_010650812.2 | F: GCAGGCGAAGTGGAAAGGAGTAC R: CAGCCGCAGTGGTGGTTTGTC |
| VvPAL | NM_001397918.1 | F: CACCAGGGGAGGATTTTGACAAGG R: GAGCACCGTTCCAAGCACTGAG |
| VvNPR1 | XM_002281439.4 | F: GACTTCTTCACAGACGCCAGGATC R: ACTTCGCCTCCTTCTCCTTCCTC |
| Actin | XM_002263109.3 | F: TTCTCGTTGAGGGCTATTCCA R: CCACAGACTTCATCGGTGACA |
Disclaimer/Publisher’s Note: The statements, opinions and data contained in all publications are solely those of the individual author(s) and contributor(s) and not of MDPI and/or the editor(s). MDPI and/or the editor(s) disclaim responsibility for any injury to people or property resulting from any ideas, methods, instructions or products referred to in the content. |
© 2024 by the authors. Licensee MDPI, Basel, Switzerland. This article is an open access article distributed under the terms and conditions of the Creative Commons Attribution (CC BY) license (https://creativecommons.org/licenses/by/4.0/).
Share and Cite
Chen, Y.; Yang, J.; Shao, Z.; Dai, Z.; Li, D. Melatonin-Mediated Modulation of Grapevine Resistance Physiology, Endogenous Hormonal Dynamics, and Fruit Quality Under Varying Irrigation Amounts. Int. J. Mol. Sci. 2024, 25, 13081. https://doi.org/10.3390/ijms252313081
Chen Y, Yang J, Shao Z, Dai Z, Li D. Melatonin-Mediated Modulation of Grapevine Resistance Physiology, Endogenous Hormonal Dynamics, and Fruit Quality Under Varying Irrigation Amounts. International Journal of Molecular Sciences. 2024; 25(23):13081. https://doi.org/10.3390/ijms252313081
Chicago/Turabian StyleChen, Yajuan, Jiangshan Yang, Zhang Shao, Zibo Dai, and Dou Li. 2024. "Melatonin-Mediated Modulation of Grapevine Resistance Physiology, Endogenous Hormonal Dynamics, and Fruit Quality Under Varying Irrigation Amounts" International Journal of Molecular Sciences 25, no. 23: 13081. https://doi.org/10.3390/ijms252313081
APA StyleChen, Y., Yang, J., Shao, Z., Dai, Z., & Li, D. (2024). Melatonin-Mediated Modulation of Grapevine Resistance Physiology, Endogenous Hormonal Dynamics, and Fruit Quality Under Varying Irrigation Amounts. International Journal of Molecular Sciences, 25(23), 13081. https://doi.org/10.3390/ijms252313081
