PER1 Oscillation in Rat Parathyroid Hormone and Calcitonin Producing Cells
Abstract
1. Introduction
2. Results
2.1. Diurnal Oscillation of PER1 in PTH Cells
2.2. Diurnal Cellular Oscillation of PTH
2.3. Co-Localization of PER1 and Calcitonin
2.4. The CSR Immunoreactivity in the Parathyroid and Thyroid Glands Shows No Diurnal Variation
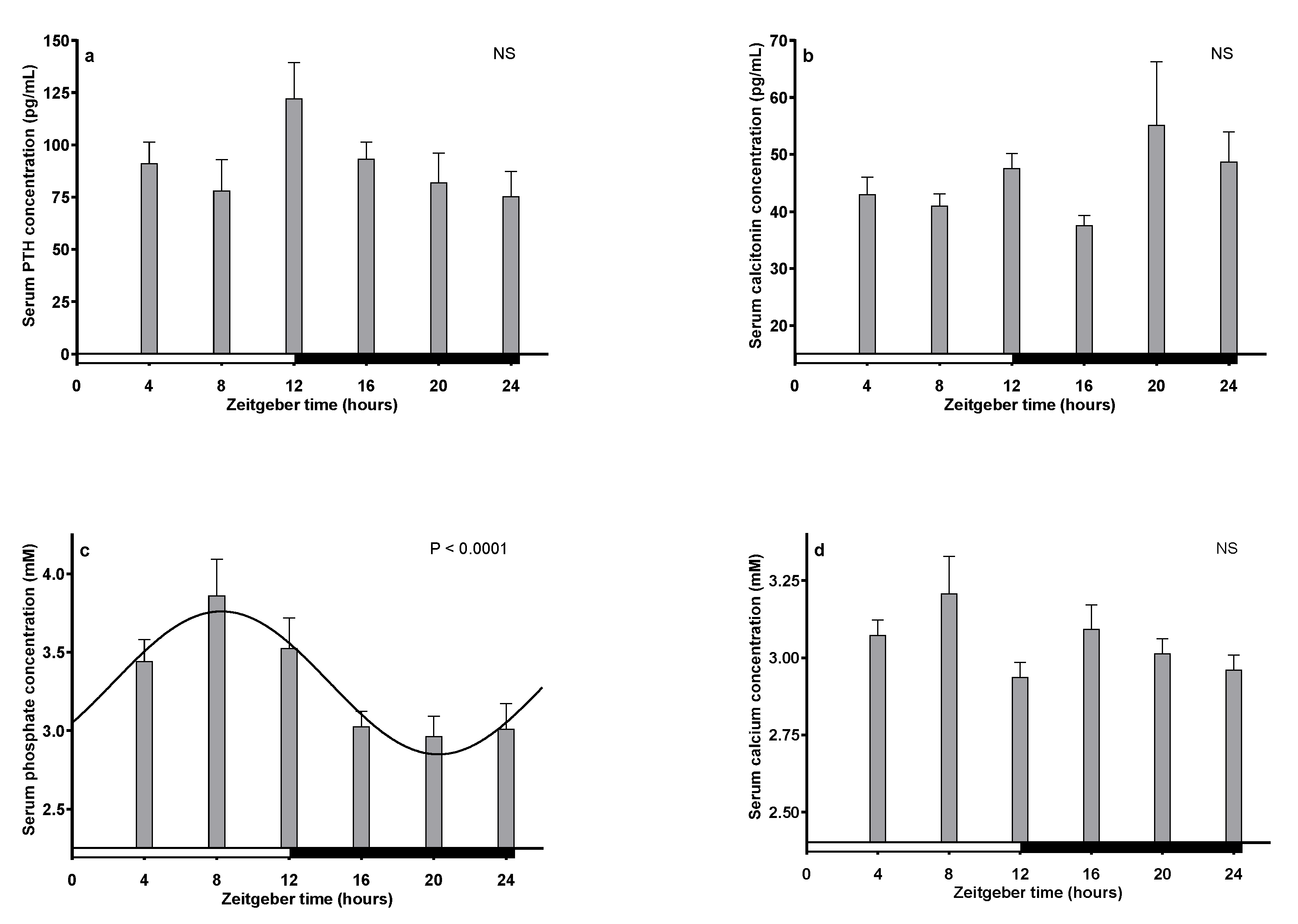
2.5. Serum Levels of PTH, CT, Phosphate and Calcium
3. Discussion
4. Materials and Methods
4.1. Animals
4.2. Immunohistochemistry
4.3. In Situ Hybridisation Histochemistry
4.4. ELISA
4.5. Statistical Analysis
Author Contributions
Funding
Institutional Review Board Statement
Data Availability Statement
Acknowledgments
Conflicts of Interest
References
- Bartness, T.J.; Song, C.K.; Demas, G.E. SCN efferents to peripheral tissues: Implications for biological rhythms. J. Biol. Rhythms 2001, 16, 196–204. [Google Scholar] [CrossRef] [PubMed]
- Buijs, R.M.; Kalsbeek, A. Hypothalamic integration of central and peripheral clocks. Nat. Rev. Neurosci. 2001, 2, 521–526. [Google Scholar] [CrossRef] [PubMed]
- Ikegami, K.; Refetoff, S.; Van Cauter, E.; Yoshimura, T. Interconnection between circadian clocks and thyroid function. Nat. Rev. Endocrinol. 2019, 15, 590–600. [Google Scholar] [CrossRef]
- Neumann, A.M.; Schmidt, C.X.; Brockmann, R.M.; Oster, H. Circadian regulation of endocrine systems. Auton. Neurosci. 2019, 216, 1–8. [Google Scholar] [CrossRef]
- Fahrenkrug, J.; Hannibal, J. Localisation of the neuropeptide PACAP and its receptors in the rat parathyroid and thyroid glands. Gen. Comp. Endocrinol. 2011, 171, 105–113. [Google Scholar] [CrossRef]
- Egstrand, S.; Nordholm, A.; Morevati, M.; Mace, M.L.; Hassan, A.; Naveh-Many, T.; Rukov, J.L.; Gravesen, E.; Olgaard, K.; Lewin, E. A molecular circadian clock operates in the parathyroid gland and is disturbed in chronic kidney disease associated bone and mineral disorder. Kidney Int. 2020, 98, 1461–1475. [Google Scholar] [CrossRef] [PubMed]
- Georg, B.; Fahrenkrug, J.; Jørgensen, H.L.; Hannibal, J. The Circadian Clock Is Sustained in the Thyroid Gland of VIP Receptor 2 Deficient Mice. Front. Endocrinol. 2021, 12, 737581. [Google Scholar] [CrossRef]
- Diemar, S.S.; Dahl, S.S.; West, A.S.; Simonsen, S.A.; Iversen, H.K.; Jorgensen, N.R. A Systematic Review of the Circadian Rhythm of Bone Markers in Blood. Calcif. Tissue Int. 2023, 112, 126–147. [Google Scholar] [CrossRef]
- Wong, C.C.; Döhler, K.D.; Atkinson, M.J.; Geerlings, H.; Hesch, R.D.; von zur Mühlen, A. Influence of age, strain and season on diurnal periodicity of thyroid stimulating hormone, thyroxine, triiodothyronine and parathyroid hormone in the serum of male laboratory rats. Acta Endocrinol. 1983, 102, 377–385. [Google Scholar] [CrossRef]
- Nordholm, A.; Egstrand, S.; Gravesen, E.; Mace, M.L.; Morevati, M.; Olgaard, K.; Lewin, E. Circadian rhythm of activin A and related parameters of mineral metabolism in normal and uremic rats. Pflugers Arch. 2019, 471, 1079–1094. [Google Scholar] [CrossRef]
- Borge, S.J.; Sennels, H.P.; Schwarz, P.; Jorgensen, H.L. Diurnal fluctuations in biochemical parameters related to calcium homeostasis—The Bispebjerg study of diurnal variations. Scand. J. Clin. Lab. Invest. 2024, 84, 305–310. [Google Scholar] [CrossRef] [PubMed]
- Matikainen, N.; Pekkarinen, T.; Ryhanen, E.M.; Schalin-Jantti, C. Physiology of Calcium Homeostasis: An Overview. Endocrinol. Metab. Clin. N. Am. 2021, 50, 575–590. [Google Scholar] [CrossRef] [PubMed]
- Brown, E.M. Role of the calcium-sensing receptor in extracellular calcium homeostasis. Best. Pract. Res. Clin. Endocrinol. Metab. 2013, 27, 333–343. [Google Scholar] [CrossRef] [PubMed]
- Lederer, E. Regulation of serum phosphate. J. Physiol. 2014, 592, 3985–3995. [Google Scholar] [CrossRef]
- Goretti Penido, M.; Alon, U.S. Phosphate homeostasis and its role in bone health. Pediatr. Nephrol. 2012, 27, 2039–2048. [Google Scholar] [CrossRef]
- Babić Leko, M.; Pleić, N.; Gunjača, I.; Zemunik, T. Environmental Factors That Affect Parathyroid Hormone and Calcitonin Levels. Int. J. Mol. Sci. 2021, 23, 44. [Google Scholar] [CrossRef]
- Fernandez-Santos, J.M.; Utrilla, J.C.; Conde, E.; Hevia, A.; Loda, M.; Martin-Lacave, I. Decrease in calcitonin and parathyroid hormone mRNA levels and hormone secretion under long-term hypervitaminosis D3 in rats. Histol. Histopathol. 2001, 16, 407–414. [Google Scholar] [CrossRef]
- Kikyo, N. Circadian Regulation of Bone Remodeling. Int. J. Mol. Sci. 2024, 25, 4717. [Google Scholar] [CrossRef]
- Fahrenkrug, J.; Georg, B.; Hannibal, J.; Jørgensen, H.L. Hypophysectomy abolishes rhythms in rat thyroid hormones but not in the thyroid clock. J. Endocrinol. 2017, 233, 209–216. [Google Scholar] [CrossRef]
- Fahrenkrug, J.; Georg, B.; Hannibal, J.; Hindersson, P.; Gras, S. Diurnal rhythmicity of the clock genes Per1 and Per2 in the rat ovary. Endocrinology 2006, 147, 3769–3776. [Google Scholar] [CrossRef]
- Fahrenkrug, J.; Hannibal, J.; Georg, B. Diurnal rhythmicity of the canonical clock genes Per1, Per2 and Bmal1 in the rat adrenal gland is unaltered after hypophysectomy. J. Neuroendocrinol. 2008, 20, 323–329. [Google Scholar] [CrossRef] [PubMed]
- Suarez-Bregua, P.; Cal, L.; Canestro, C.; Rotllant, J. PTH Reloaded: A New Evolutionary Perspective. Front. Physiol. 2017, 8, 776. [Google Scholar] [CrossRef] [PubMed]
- Fraser, W.D.; Ahmad, A.M.; Vora, J.P. The physiology of the circadian rhythm of parathyroid hormone and its potential as a treatment for osteoporosis. Curr. Opin. Nephrol. Hypertens. 2004, 13, 437–444. [Google Scholar] [CrossRef]
- Magno, A.L.; Ward, B.K.; Ratajczak, T. The calcium-sensing receptor: A molecular perspective. Endocr. Rev. 2011, 32, 3–30. [Google Scholar] [CrossRef] [PubMed]
- Momsen, G.; Schwarz, P. A mathematical/physiological model of parathyroid hormone secretion in response to blood-ionized calcium lowering in vivo. Scand. J. Clin. Lab. Investig. 1997, 57, 381–394. [Google Scholar] [CrossRef] [PubMed]
- Goodman, W.G. Calcium-sensing receptors. Semin. Nephrol. 2004, 24, 17–24. [Google Scholar] [CrossRef]
- Milhaud, G.; Perault-Staub, A.M.; Staub, J.F. Diurnal variation of plasma calcium and calcitonin function in the rat. J. Physiol. 1972, 222, 559–567. [Google Scholar] [CrossRef]
- Nielsen, H.K.; Laurberg, P.; Brixen, K.; Mosekilde, L. Relations between diurnal variations in serum osteocalcin, cortisol, parathyroid hormone, and ionized calcium in normal individuals. Acta Endocrinol. 1991, 124, 391–398. [Google Scholar] [CrossRef]
- Hanyu, R.; Hayata, T.; Nagao, M.; Saita, Y.; Hemmi, H.; Notomi, T.; Nakamoto, T.; Schipani, E.; Knonenbery, H.; Kaneko, K.; et al. Per-1 is a specific clock gene regulated by parathyroid hormone (PTH) signaling in osteoblasts and is functional for the transcriptional events induced by PTH. J. Cell Biochem. 2011, 112, 433–438. [Google Scholar] [CrossRef]
- Riedel, C.S.; Georg, B.; Hannibal, J. Phenotyping of light-activated neurons in the mouse SCN based on the expression of FOS and EGR1. Front. Physiol. 2023, 14, 1321007. [Google Scholar] [CrossRef]
- Riedel, C.S.; Georg, B.; Fahrenkrug, J.; Hannibal, J. Altered light induced EGR1 expression in the SCN of PACAP deficient mice. PLoS ONE 2020, 15, e0232748. [Google Scholar] [CrossRef] [PubMed]
- Nelson, W.; Tong, Y.L.; Lee, J.K.; Halberg, F. Methods for cosinor-rhythmometry. Chronobiologia 1979, 6, 305–323. [Google Scholar] [PubMed]









Disclaimer/Publisher’s Note: The statements, opinions and data contained in all publications are solely those of the individual author(s) and contributor(s) and not of MDPI and/or the editor(s). MDPI and/or the editor(s) disclaim responsibility for any injury to people or property resulting from any ideas, methods, instructions or products referred to in the content. |
© 2024 by the authors. Licensee MDPI, Basel, Switzerland. This article is an open access article distributed under the terms and conditions of the Creative Commons Attribution (CC BY) license (https://creativecommons.org/licenses/by/4.0/).
Share and Cite
Georg, B.; Jørgensen, H.L.; Hannibal, J. PER1 Oscillation in Rat Parathyroid Hormone and Calcitonin Producing Cells. Int. J. Mol. Sci. 2024, 25, 13006. https://doi.org/10.3390/ijms252313006
Georg B, Jørgensen HL, Hannibal J. PER1 Oscillation in Rat Parathyroid Hormone and Calcitonin Producing Cells. International Journal of Molecular Sciences. 2024; 25(23):13006. https://doi.org/10.3390/ijms252313006
Chicago/Turabian StyleGeorg, Birgitte, Henrik L. Jørgensen, and Jens Hannibal. 2024. "PER1 Oscillation in Rat Parathyroid Hormone and Calcitonin Producing Cells" International Journal of Molecular Sciences 25, no. 23: 13006. https://doi.org/10.3390/ijms252313006
APA StyleGeorg, B., Jørgensen, H. L., & Hannibal, J. (2024). PER1 Oscillation in Rat Parathyroid Hormone and Calcitonin Producing Cells. International Journal of Molecular Sciences, 25(23), 13006. https://doi.org/10.3390/ijms252313006

