Targeting Oxidative Stress and Inflammation in the Eye: Insights from a New Model of Experimental Autoimmune Uveitis
Abstract
1. Introduction
2. Results
2.1. Recoverin-Induced EAU: Clinical Characteristics and Antibody Response
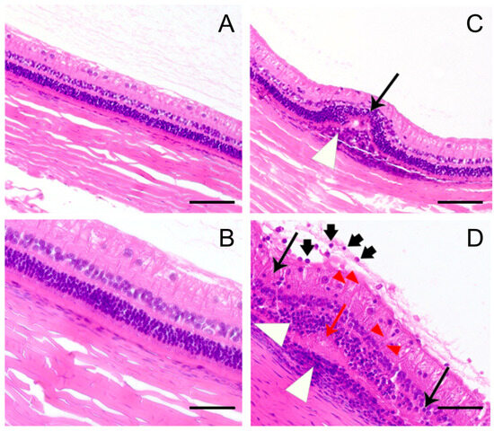
2.2. Recoverin-Induced EAU: Morphological Characteristics
2.3. Recoverin-Induced EAU: Biochemical Alterations
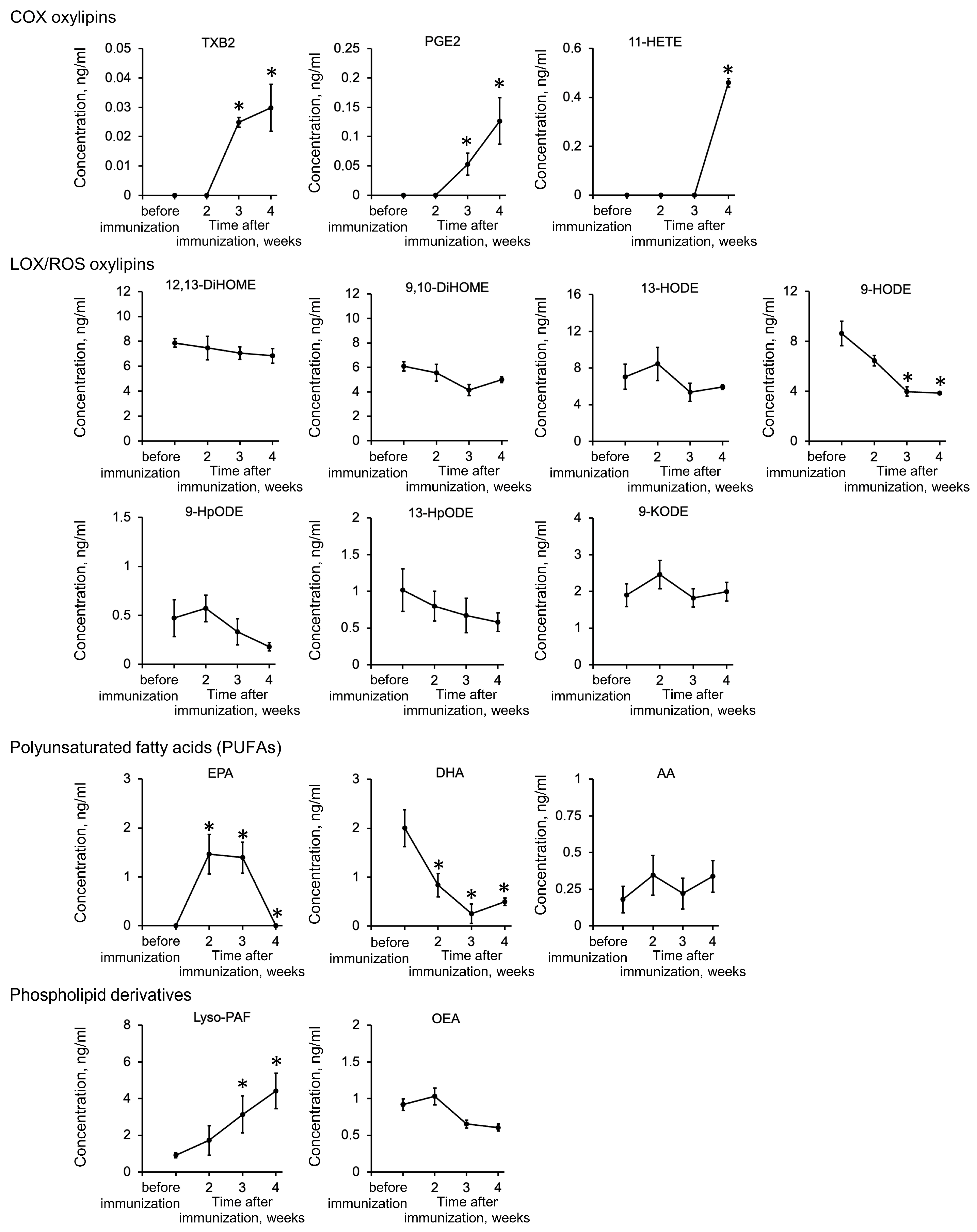
2.3.1. Inflammation and Oxidative Stress Markers
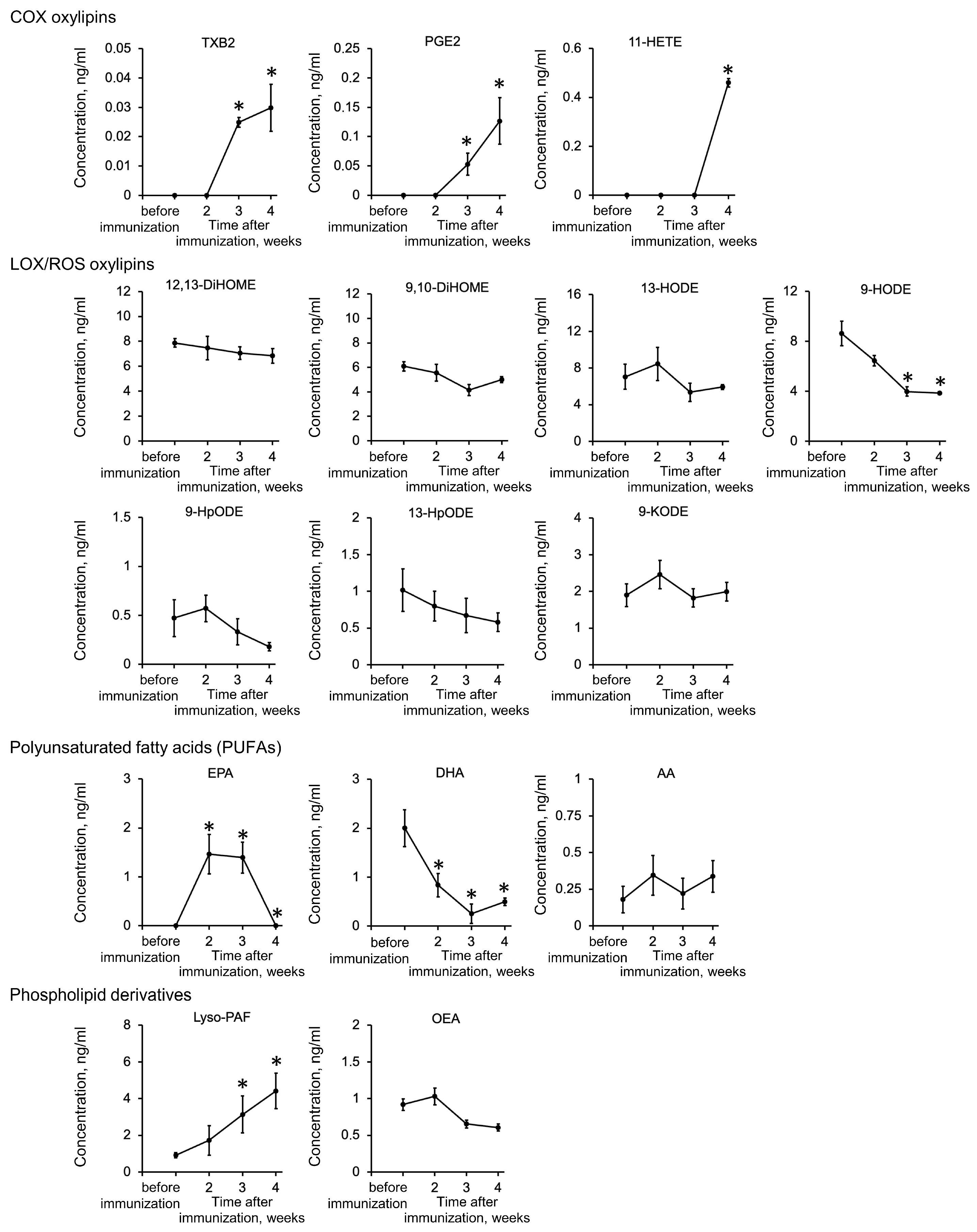
2.3.2. Signaling Lipidome
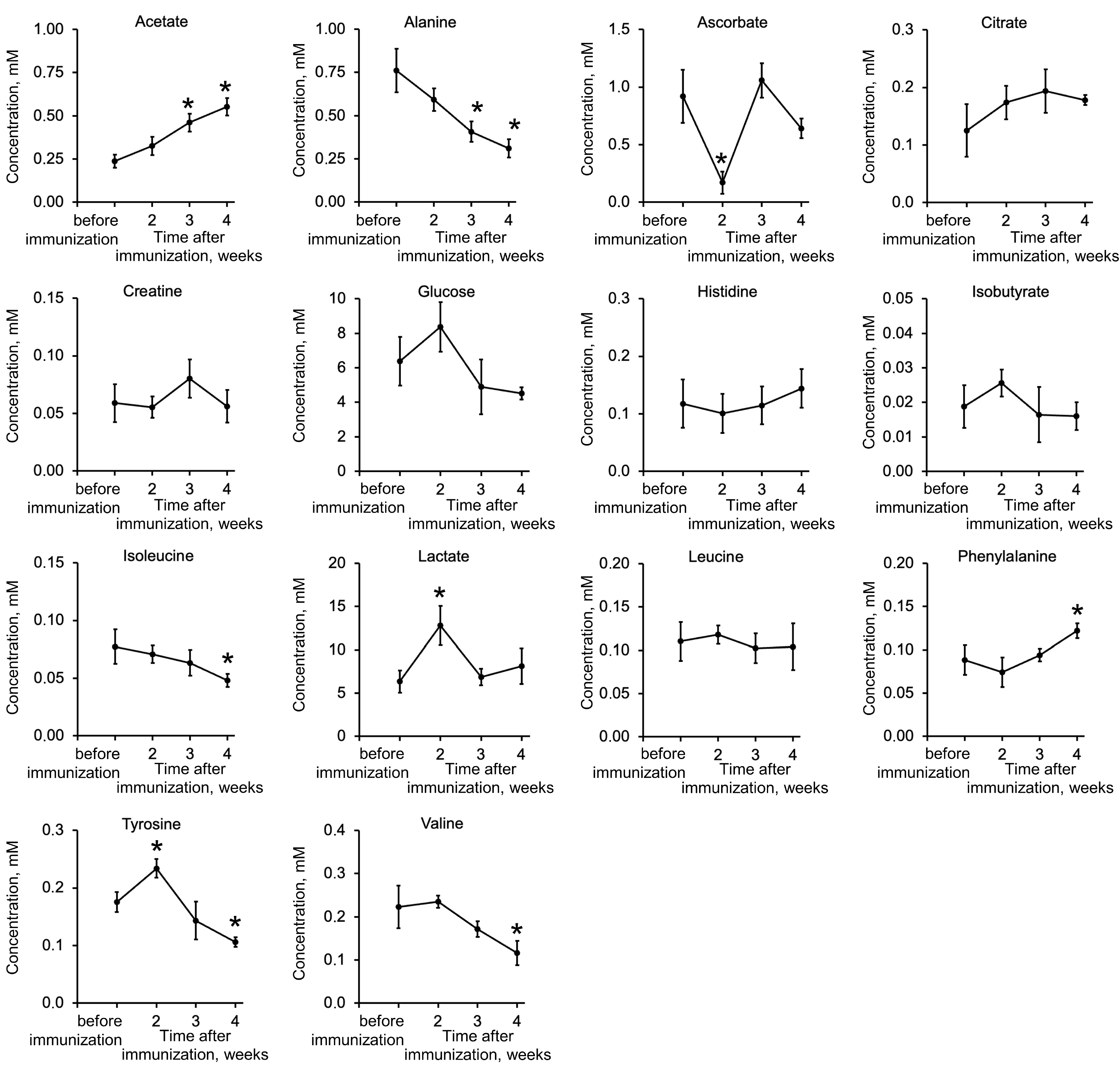
2.3.3. Metabolome
2.3.4. Recoverin
2.4. Recoverin-Induced EAU: Suppressing Oxidative Stress and Inflammation by Mitochondria-Targeted Antioxidant
3. Discussion
4. Materials and Methods
4.1. Materials
4.2. Animals and Ethics Statement
4.3. Induction, Clinical/Electrophysiological Evaluation and Treatment of EAU
4.4. Histological Evaluation of EAU
4.5. Biochemical Characterization of AH in EAU
4.6. Lipidomic Analysis of AH in EAU
4.7. Metablomic Analysis of AH in EAU
4.8. Statistical Analysis
5. Conclusions
Author Contributions
Funding
Institutional Review Board Statement
Informed Consent Statement
Data Availability Statement
Acknowledgments
Conflicts of Interest
References
- Selmi, C. Diagnosis and classification of autoimmune uveitis. Autoimmun. Rev. 2014, 13, 591–594. [Google Scholar] [CrossRef]
- Zhang, Y.; Amin, S.; Lung, K.I.; Seabury, S.; Rao, N.; Toy, B.C. Incidence, prevalence, and risk factors of infectious uveitis and scleritis in the United States: A claims-based analysis. PLoS ONE 2020, 15, e0237995. [Google Scholar] [CrossRef] [PubMed]
- Egwuagu, C.E.; Alhakeem, S.A.; Mbanefo, E.C. Uveitis: Molecular Pathogenesis and Emerging Therapies. Front. Immunol. 2021, 12, 623725. [Google Scholar] [CrossRef]
- Nussenblatt, R.B.; Mittal, K.K.; Ryan, S.; Green, W.R.; Maumenee, A.E. Birdshot retinochoroidopathy associated with HLA-A29 antigen and immune responsiveness to retinal S-antigen. Am. J. Ophthalmol. 1982, 94, 147–158. [Google Scholar] [CrossRef]
- Davis, J.L.; Mittal, K.K.; Freidlin, V.; Mellow, S.R.; Optican, D.C.; Palestine, A.G.; Nussenblatt, R.B. HLA associations and ancestry in Vogt-Koyanagi-Harada disease and sympathetic ophthalmia. Ophthalmology 1990, 97, 1137–1142. [Google Scholar] [CrossRef]
- Caspi, R.R.; Roberge, F.G.; McAllister, C.G.; el-Saied, M.; Kuwabara, T.; Gery, I.; Hanna, E.; Nussenblatt, R.B. T cell lines mediating experimental autoimmune uveoretinitis (EAU) in the rat. J. Immunol. 1986, 136, 928–933. [Google Scholar] [CrossRef] [PubMed]
- Jones, L.S.; Rizzo, L.V.; Agarwal, R.K.; Tarrant, T.K.; Chan, C.C.; Wiggert, B.; Caspi, R.R. IFN-gamma-deficient mice develop experimental autoimmune uveitis in the context of a deviant effector response. J. Immunol. 1997, 158, 5997–6005. [Google Scholar] [CrossRef]
- Luger, D.; Caspi, R.R. New perspectives on effector mechanisms in uveitis. Semin. Immunopathol. 2008, 30, 135–143. [Google Scholar] [CrossRef] [PubMed]
- Oh, H.M.; Yu, C.R.; Lee, Y.; Chan, C.C.; Maminishkis, A.; Egwuagu, C.E. Autoreactive memory CD4+ T lymphocytes that mediate chronic uveitis reside in the bone marrow through STAT3-dependent mechanisms. J. Immunol. 2011, 187, 3338–3346. [Google Scholar] [CrossRef]
- Egwuagu, C.E.; Charukamnoetkanok, P.; Gery, I. Thymic expression of autoantigens correlates with resistance to autoimmune disease. J. Immunol. 1997, 159, 3109–3112. [Google Scholar] [CrossRef]
- Bansal, S.; Barathi, V.A.; Iwata, D.; Agrawal, R. Experimental autoimmune uveitis and other animal models of uveitis: An update. Indian J. Ophthalmol. 2015, 63, 211–218. [Google Scholar] [CrossRef] [PubMed]
- Kim, J.; Chun, J.; Ahn, M.; Jung, K.; Moon, C.; Shin, T. Blood-retina barrier dysfunction in experimental autoimmune uveitis: The pathogenesis and therapeutic targets. Anat. Cell Biol. 2022, 55, 20–27. [Google Scholar] [CrossRef] [PubMed]
- Caspi, R.R. Immunotherapy of Uveitis: Is Gene Therapy in our Future? In Uveitis and Immunological Disorders; Pleyer, U., Foster, C.S., Eds.; Springer: Berlin/Heidelberg, Germany, 2007; pp. 193–210. [Google Scholar]
- de Smet, M.D.; Yamamoto, J.H.; Mochizuki, M.; Gery, I.; Singh, V.K.; Shinohara, T.; Wiggert, B.; Chader, G.J.; Nussenblatt, R.B. Cellular immune responses of patients with uveitis to retinal antigens and their fragments. Am. J. Ophthalmol. 1990, 110, 135–142. [Google Scholar] [CrossRef] [PubMed]
- Zernii, E.Y.; Komolov, K.E.; Permyakov, S.E.; Kolpakova, T.; Dell’Orco, D.; Poetzsch, A.; Knyazeva, E.L.; Grigoriev, I.I.; Permyakov, E.A.; Senin, I.I.; et al. Involvement of the recoverin C-terminal segment in recognition of the target enzyme rhodopsin kinase. Biochem. J. 2011, 435, 441–450. [Google Scholar] [CrossRef] [PubMed]
- Zernii, E.Y.; Nazipova, A.A.; Nemashkalova, E.L.; Kazakov, A.S.; Gancharova, O.S.; Serebryakova, M.V.; Tikhomirova, N.K.; Baksheeva, V.E.; Vladimirov, V.I.; Zinchenko, D.V.; et al. Light-Induced Thiol Oxidation of Recoverin Affects Rhodopsin Desensitization. Front. Mol. Neurosci. 2018, 11, 474. [Google Scholar] [CrossRef]
- Gery, I.; Chanaud, N.P., III; Anglade, E. Recoverin is highly uveitogenic in Lewis rats. Investig. Ophthalmol. Vis. Sci. 1994, 35, 3342–3345. [Google Scholar]
- Adamus, G.; Ortega, H.; Witkowska, D.; Polans, A. Recoverin: A potent uveitogen for the induction of photoreceptor degeneration in Lewis rats. Exp. Eye Res. 1994, 59, 447–455. [Google Scholar] [CrossRef]
- Polans, A.S.; Burton, M.D.; Haley, T.L.; Crabb, J.W.; Palczewski, K. Recoverin, but not visinin, is an autoantigen in the human retina identified with a cancer-associated retinopathy. Investig. Ophthalmol. Vis. Sci. 1993, 34, 81–90. [Google Scholar]
- Senin, I.I.; Tikhomirova, N.K.; Churumova, V.A.; Grigoriev, I.I.; Kolpakova, T.A.; Zinchenko, D.V.; Philippov, P.P.; Zernii, E.Y. Amino acid sequences of two immune-dominant epitopes of recoverin are involved in Ca2+/recoverin-dependent inhibition of phosphorylation of rhodopsin. Biochemistry 2011, 76, 332–338. [Google Scholar] [CrossRef]
- Adamus, G. Are Anti-Retinal Autoantibodies a Cause or a Consequence of Retinal Degeneration in Autoimmune Retinopathies? Front. Immunol. 2018, 9, 765. [Google Scholar] [CrossRef]
- Deeg, C.A.; Pompetzki, D.; Raith, A.J.; Hauck, S.M.; Amann, B.; Suppmann, S.; Goebel, T.W.; Olazabal, U.; Gerhards, H.; Reese, S.; et al. Identification and functional validation of novel autoantigens in equine uveitis. Mol. Cell. Proteom. MCP 2006, 5, 1462–1470. [Google Scholar] [CrossRef]
- Gibbs, E.; Matsubara, J.; Cao, S.; Cui, J.; Forooghian, F. Antigen-specificity of antiretinal antibodies in patients with noninfectious uveitis. Can. J. Ophthalmol. 2017, 52, 463–467. [Google Scholar] [CrossRef]
- Kalsow, C.M.; Wacker, W.B. Rabbit ocular and pineal autoimmune response to retina antigens. Curr. Eye Res. 1986, 5, 579–586. [Google Scholar] [CrossRef] [PubMed]
- Zernii, E.Y.; Baksheeva, V.E.; Iomdina, E.N.; Averina, O.A.; Permyakov, S.E.; Philippov, P.P.; Zamyatnin, A.A.; Senin, I.I. Rabbit Models of Ocular Diseases: New Relevance for Classical Approaches. CNS Neurol. Disord. Drug Targets 2016, 15, 267–291. [Google Scholar] [CrossRef] [PubMed]
- Chistyakov, D.V.; Azbukina, N.V.; Astakhova, A.A.; Goriainov, S.V.; Chistyakov, V.V.; Tiulina, V.V.; Baksheeva, V.E.; Kotelin, V.I.; Fedoseeva, E.V.; Zamyatnin, A.A., Jr.; et al. Comparative lipidomic analysis of inflammatory mediators in the aqueous humor and tear fluid of humans and rabbits. Metabolomics 2020, 16, 27. [Google Scholar] [CrossRef] [PubMed]
- Eisenfeld, A.J.; Bunt-Milam, A.H.; Saari, J.C. Uveoretinitis in rabbits following immunization with interphotoreceptor retinoid-binding protein. Exp. Eye Res. 1987, 44, 425–438. [Google Scholar] [CrossRef] [PubMed]
- Curnow, S.J.; Falciani, F.; Durrani, O.M.; Cheung, C.M.; Ross, E.J.; Wloka, K.; Rauz, S.; Wallace, G.R.; Salmon, M.; Murray, P.I. Multiplex bead immunoassay analysis of aqueous humor reveals distinct cytokine profiles in uveitis. Investig. Ophthalmol. Vis. Sci. 2005, 46, 4251–4259. [Google Scholar] [CrossRef] [PubMed]
- El-Asrar, A.M.; Struyf, S.; Kangave, D.; Al-Obeidan, S.S.; Opdenakker, G.; Geboes, K.; Van Damme, J. Cytokine profiles in aqueous humor of patients with different clinical entities of endogenous uveitis. Clin. Immunol. 2011, 139, 177–184. [Google Scholar] [CrossRef]
- Horai, R.; Caspi, R.R. Cytokines in autoimmune uveitis. J. Interferon Cytokine Res. 2011, 31, 733–744. [Google Scholar] [CrossRef]
- Bonacini, M.; Soriano, A.; Cimino, L.; De Simone, L.; Bolletta, E.; Gozzi, F.; Muratore, F.; Nicastro, M.; Belloni, L.; Zerbini, A.; et al. Cytokine Profiling in Aqueous Humor Samples From Patients with Non-Infectious Uveitis Associated with Systemic Inflammatory Diseases. Front. Immunol. 2020, 11, 358. [Google Scholar] [CrossRef]
- Agrawal, R.; Iyer, J.; Connolly, J.; Iwata, D.; Teoh, S. Cytokines and Biologics in non-infectious autoimmune uveitis: Bench to bedside. Indian J. Ophthalmol. 2014, 62, 74–81. [Google Scholar] [CrossRef] [PubMed]
- Ohta, K.; Wiggert, B.; Yamagami, S.; Taylor, A.W.; Streilein, J.W. Analysis of immunomodulatory activities of aqueous humor from eyes of mice with experimental autoimmune uveitis. J. Immunol. 2000, 164, 1185–1192. [Google Scholar] [CrossRef] [PubMed]
- Prendergast, R.A.; Iliff, C.E.; Coskuncan, N.M.; Caspi, R.R.; Sartani, G.; Tarrant, T.K.; Lutty, G.A.; McLeod, D.S. T cell traffic and the inflammatory response in experimental autoimmune uveoretinitis. Investig. Ophthalmol. Vis. Sci. 1998, 39, 754–762. [Google Scholar]
- Chistyakov, D.V.; Azbukina, N.V.; Goriainov, S.V.; Chistyakov, V.V.; Gancharova, O.S.; Tiulina, V.V.; Baksheeva, V.E.; Iomdina, E.N.; Philippov, P.P.; Sergeeva, M.G.; et al. Inflammatory metabolites of arahidonic acid in tear fluid in UV-induced corneal damage. Biomed. Khim 2019, 65, 33–40. [Google Scholar] [CrossRef] [PubMed]
- Chistyakov, D.V.; Baksheeva, V.E.; Tiulina, V.V.; Goriainov, S.V.; Azbukina, N.V.; Gancharova, O.S.; Arifulin, E.A.; Komarov, S.V.; Chistyakov, V.V.; Tikhomirova, N.K.; et al. Mechanisms and Treatment of Light-Induced Retinal Degeneration-Associated Inflammation: Insights from Biochemical Profiling of the Aqueous Humor. Int. J. Mol. Sci. 2020, 21, 704. [Google Scholar] [CrossRef] [PubMed]
- Chistyakov, D.V.; Gancharova, O.S.; Baksheeva, V.E.; Tiulina, V.V.; Goriainov, S.V.; Azbukina, N.V.; Tsarkova, M.S.; Zamyatnin, A.A., Jr.; Philippov, P.P.; Sergeeva, M.G.; et al. Inflammation in Dry Eye Syndrome: Identification and Targeting of Oxylipin-Mediated Mechanisms. Biomedicines 2020, 8, 344. [Google Scholar] [CrossRef] [PubMed]
- Azbukina, N.V.; Chistyakov, D.V.; Goriainov, S.V.; Kotelin, V.I.; Fedoseeva, E.V.; Petrov, S.Y.; Sergeeva, M.G.; Iomdina, E.N.; Zernii, E.Y. Targeted Lipidomic Analysis of Aqueous Humor Reveals Signaling Lipid-Mediated Pathways in Primary Open-Angle Glaucoma. Biology 2021, 10, 658. [Google Scholar] [CrossRef]
- Yan, J.; Hobbs, S.D. Sympathetic Ophthalmia; StatPearls: Treasure Island, FL, USA, 2024. [Google Scholar]
- Ahmed, K.; Siddiqui, M.A.R.; Sarwar, H. Imaging of Classic Dalen Fuchs Nodules in Sympathetic Ophthalmia with Spectral Domain OCT. Cureus 2022, 14, e20876. [Google Scholar] [CrossRef]
- Mahlberg, K.; Uusitalo, H.; Palkama, A.; Tallberg, T. Correlation between histopathological, clinical and biochemical parameters in S-antigen-induced experimental autoimmune uveitis in guinea-pigs. Exp. Eye Res. 1987, 45, 157–167. [Google Scholar] [CrossRef]
- Mahlberg, K.; Uusitalo, R.; Palkama, A.; Tallberg, T. Phospholipase A2, leukotriene C4 and prostaglandin E2 levels in aqueous humour of guinea pigs with experimental S-antigen induced autoimmune uveitis. Curr. Eye Res. 1987, 6, 321–335. [Google Scholar] [CrossRef]
- Yadav, U.C.; Shoeb, M.; Srivastava, S.K.; Ramana, K.V. Amelioration of experimental autoimmune uveoretinitis by aldose reductase inhibition in Lewis rats. Investig. Ophthalmol. Vis. Sci. 2011, 52, 8033–8041. [Google Scholar] [CrossRef] [PubMed]
- Xu, J.; Su, G.; Huang, X.; Chang, R.; Chen, Z.; Ye, Z.; Cao, Q.; Kijlstra, A.; Yang, P. Metabolomic Analysis of Aqueous Humor Identifies Aberrant Amino Acid and Fatty Acid Metabolism in Vogt-Koyanagi-Harada and Behcet’s Disease. Front. Immunol. 2021, 12, 587393. [Google Scholar] [CrossRef] [PubMed]
- Ding, J.; Su, G.; Wang, H.; Tian, X.; Xu, J.; Li, N.; Luo, X.; Yang, P. Comparison of metabolic profiles in aqueous humour of Fuchs’ syndrome and presumed viral-induced anterior uveitis patients. Clin. Exp. Ophthalmol. 2022, 50, 1065–1081. [Google Scholar] [CrossRef] [PubMed]
- Zernii, E.Y.; Nazipova, A.A.; Gancharova, O.S.; Kazakov, A.S.; Serebryakova, M.V.; Zinchenko, D.V.; Tikhomirova, N.K.; Senin, I.I.; Philippov, P.P.; Permyakov, E.A.; et al. Light-induced disulfide dimerization of recoverin under ex vivo and in vivo conditions. Free Radic. Biol. Med. 2015, 83, 283–295. [Google Scholar] [CrossRef]
- Ban, N.; Siegfried, C.J.; Apte, R.S. Monitoring Neurodegeneration in Glaucoma: Therapeutic Implications. Trends Mol. Med. 2018, 24, 7–17. [Google Scholar] [CrossRef] [PubMed]
- Midena, E.; Frizziero, L.; Midena, G.; Pilotto, E. Intraocular fluid biomarkers (liquid biopsy) in human diabetic retinopathy. Graefes Arch. Clin. Exp. Ophthalmol. 2021, 259, 3549–3560. [Google Scholar] [CrossRef]
- Baksheeva, V.E.; Tiulina, V.V.; Tikhomirova, N.K.; Gancharova, O.S.; Komarov, S.V.; Philippov, P.P.; Zamyatnin, A.A., Jr.; Senin, I.I.; Zernii, E.Y. Suppression of Light-Induced Oxidative Stress in the Retina by Mitochondria-Targeted Antioxidant. Antioxidants 2018, 8, 3. [Google Scholar] [CrossRef]
- Ohkoshi, M.; Abe, T.; Satoh, N.; Nakajima, A.; Sakuragi, S. Uveitopathogenic sites in recoverin. Curr. Eye Res. 2001, 22, 304–311. [Google Scholar] [CrossRef]
- Rao, N.A.; Brown, C.J.; Marak, G.E. Ultrastructural analysis of experimental allergic uveitis in rabbit. Ophthalmic Res. 1986, 18, 15–20. [Google Scholar] [CrossRef]
- Goto, H.; Rao, N.A. Sympathetic ophthalmia and Vogt-Koyanagi-Harada syndrome. Int. Ophthalmol. Clin. 1990, 30, 279–285. [Google Scholar] [CrossRef]
- Tan, J.J.; Rao, N.A. Vogt-Koyanagi-Harada Disease and Sympathetic Ophthalmia. In Posterior Uveitis: Advances in Imaging and Treatment; Rao, N.A., Schallhorn, J., Rodger, D.C., Eds.; Springer International Publishing: Cham, Switzerland, 2019; pp. 39–56. [Google Scholar]
- Lawwill, T.; Wacker, W.; Macdonald, R., Jr. The role of electroretinography in evaluating posterior uveitis. Am. J. Ophthalmol. 1972, 74, 1086–1093. [Google Scholar] [CrossRef] [PubMed]
- Ong, S.S.; Nti, A.A.; Arevalo, J.F. Sympathetic Ophthalmia. In Albert and Jakobiec’s Principles and Practice of Ophthalmology; Albert, D.M., Miller, J.W., Azar, D.T., Young, L.H., Eds.; Springer International Publishing: Cham, Switzerland, 2022; pp. 4277–4291. [Google Scholar]
- Graham, E.M.; Stanford, M.R.; Shilling, J.S.; Sanders, M.D. Neovascularisation associated with posterior uveitis. Br. J. Ophthalmol. 1987, 71, 826–833. [Google Scholar] [CrossRef] [PubMed]
- Atan, D.; Fraser-Bell, S.; Plskova, J.; Kuffova, L.; Hogan, A.; Tufail, A.; Kilmartin, D.J.; Forrester, J.V.; Bidwell, J.; Dick, A.D.; et al. Cytokine polymorphism in noninfectious uveitis. Investig. Ophthalmol. Vis. Sci. 2010, 51, 4133–4142. [Google Scholar] [CrossRef] [PubMed]
- Yoshimura, T.; Sonoda, K.H.; Ohguro, N.; Ohsugi, Y.; Ishibashi, T.; Cua, D.J.; Kobayashi, T.; Yoshida, H.; Yoshimura, A. Involvement of Th17 cells and the effect of anti-IL-6 therapy in autoimmune uveitis. Rheumatology 2009, 48, 347–354. [Google Scholar] [CrossRef] [PubMed]
- Luna, J.D.; Chan, C.C.; Derevjanik, N.L.; Mahlow, J.; Chiu, C.; Peng, B.; Tobe, T.; Campochiaro, P.A.; Vinores, S.A. Blood-retinal barrier (BRB) breakdown in experimental autoimmune uveoretinitis: Comparison with vascular endothelial growth factor, tumor necrosis factor alpha, and interleukin-1beta-mediated breakdown. J. Neurosci. Res. 1997, 49, 268–280. [Google Scholar] [CrossRef]
- Hohki, S.; Ohguro, N.; Haruta, H.; Nakai, K.; Terabe, F.; Serada, S.; Fujimoto, M.; Nomura, S.; Kawahata, H.; Kishimoto, T.; et al. Blockade of interleukin-6 signaling suppresses experimental autoimmune uveoretinitis by the inhibition of inflammatory Th17 responses. Exp. Eye Res. 2010, 91, 162–170. [Google Scholar] [CrossRef]
- Sartani, G.; Silver, P.B.; Rizzo, L.V.; Chan, C.C.; Wiggert, B.; Mastorakos, G.; Caspi, R.R. Anti-tumor necrosis factor alpha therapy suppresses the induction of experimental autoimmune uveoretinitis in mice by inhibiting antigen priming. Investig. Ophthalmol. Vis. Sci. 1996, 37, 2211–2218. [Google Scholar]
- Prete, M.; Guerriero, S.; Dammacco, R.; Fatone, M.C.; Vacca, A.; Dammacco, F.; Racanelli, V. Autoimmune uveitis: A retrospective analysis of 104 patients from a tertiary reference center. J. Ophthalmic Inflamm. Infect. 2014, 4, 17. [Google Scholar] [CrossRef] [PubMed]
- Kasudhan, K.S.; Sarkar, S.; Gupta, V.; Gupta, A.; Chakraborti, A. Identification of unique proteins in vitreous fluid of patients with noninfectious uveitis. Acta Ophthalmol. 2018, 96, e989–e1003. [Google Scholar] [CrossRef]
- Kazakov, A.S.; Sokolov, A.S.; Vologzhannikova, A.A.; Permyakova, M.E.; Khorn, P.A.; Ismailov, R.G.; Denessiouk, K.A.; Denesyuk, A.I.; Rastrygina, V.A.; Baksheeva, V.E.; et al. Interleukin-11 binds specific EF-hand proteins via their conserved structural motifs. J. Biomol. Struct. Dyn. 2017, 35, 78–91. [Google Scholar] [CrossRef]
- Nagineni, C.N.; Kommineni, V.K.; William, A.; Hooks, J.J.; Detrick, B. IL-11 expression in retinal and corneal cells is regulated by interferon-gamma. Biochem. Biophys. Res. Commun. 2010, 391, 287–292. [Google Scholar] [CrossRef] [PubMed]
- Kida, T.; Kozai, S.; Takahashi, H.; Isaka, M.; Tokushige, H.; Sakamoto, T. Pharmacokinetics and efficacy of topically applied nonsteroidal anti-inflammatory drugs in retinochoroidal tissues in rabbits. PLoS ONE 2014, 9, e96481. [Google Scholar] [CrossRef] [PubMed]
- Prescott, S.M.; Zimmerman, G.A.; Stafforini, D.M.; McIntyre, T.M. Platelet-activating factor and related lipid mediators. Annu. Rev. Biochem. 2000, 69, 419–445. [Google Scholar] [CrossRef] [PubMed]
- Rosenbaum, J.T.; Angell, E.; Wilson, D.; Broquet, C.; Boney, R.S.; Braquet, P. Intravitreally injected platelet activating factor induces retinitis in experimental animals. Curr. Eye Res. 1999, 18, 342–348. [Google Scholar] [CrossRef]
- Bazan, N.G.; Molina, M.F.; Gordon, W.C. Docosahexaenoic acid signalolipidomics in nutrition: Significance in aging, neuroinflammation, macular degeneration, Alzheimer’s, and other neurodegenerative diseases. Annu. Rev. Nutr. 2011, 31, 321–351. [Google Scholar] [CrossRef] [PubMed]
- Shoda, H.; Yanai, R.; Yoshimura, T.; Nagai, T.; Kimura, K.; Sobrin, L.; Connor, K.M.; Sakoda, Y.; Tamada, K.; Ikeda, T.; et al. Dietary Omega-3 Fatty Acids Suppress Experimental Autoimmune Uveitis in Association with Inhibition of Th1 and Th17 Cell Function. PLoS ONE 2015, 10, e0138241. [Google Scholar] [CrossRef]
- Jovanovic, P.; Zoric, L.; Stefanovic, I.; Dzunic, B.; Djordjevic-Jocic, J.; Radenkovic, M.; Jovanovic, M. Lactate dehydrogenase and oxidative stress activity in primary open-angle glaucoma aqueous humour. Bosn. J. Basic. Med. Sci. 2010, 10, 83–88. [Google Scholar] [CrossRef]
- Rose, R.C.; Richer, S.P.; Bode, A.M. Ocular oxidants and antioxidant protection. Proc. Soc. Exp. Biol. Med. 1998, 217, 397–407. [Google Scholar] [CrossRef]
- Zhang, X.; Xia, M.; Wu, Y.; Zhang, F. Branched-Chain Amino Acids Metabolism and Their Roles in Retinopathy: From Relevance to Mechanism. Nutrients 2023, 15, 2161. [Google Scholar] [CrossRef]
- Bala, C.G.; Rusu, A.; Ciobanu, D.; Bucsa, C.; Roman, G. Amino Acid Signature of Oxidative Stress in Patients with Type 2 Diabetes: Targeted Exploratory Metabolomic Research. Antioxidants 2021, 10, 610. [Google Scholar] [CrossRef]
- Maret, W.; Krezel, A. Cellular zinc and redox buffering capacity of metallothionein/thionein in health and disease. Mol. Med. 2007, 13, 371–375. [Google Scholar] [CrossRef] [PubMed]
- Junemann, A.G.; Stopa, P.; Michalke, B.; Chaudhri, A.; Reulbach, U.; Huchzermeyer, C.; Schlotzer-Schrehardt, U.; Kruse, F.E.; Zrenner, E.; Rejdak, R. Levels of aqueous humor trace elements in patients with non-exsudative age-related macular degeneration: A case-control study. PLoS ONE 2013, 8, e56734. [Google Scholar] [CrossRef] [PubMed]
- Hohberger, B.; Chaudhri, M.A.; Michalke, B.; Lucio, M.; Nowomiejska, K.; Schlotzer-Schrehardt, U.; Grieb, P.; Rejdak, R.; Junemann, A.G.M. Levels of aqueous humor trace elements in patients with open-angle glaucoma. J. Trace Elem. Med. Biol. 2018, 45, 150–155. [Google Scholar] [CrossRef] [PubMed]
- Ugarte, M.; Osborne, N.N. Recent advances in the understanding of the role of zinc in ocular tissues. Metallomics 2014, 6, 189–200. [Google Scholar] [CrossRef]
- Nguyen, A.M.; Rao, N.A. Oxidative photoreceptor cell damage in autoimmune uveitis. J. Ophthalmic Inflamm. Infect. 2010, 1, 7–13. [Google Scholar] [CrossRef]
- Conrady, C.D.; Yeh, S. A Review of Ocular Drug Delivery Platforms and Drugs for Infectious and Noninfectious Uveitis: The Past, Present, and Future. Pharmaceutics 2021, 13, 1224. [Google Scholar] [CrossRef]
- Baksheeva, V.E.; Gancharova, O.S.; Tiulina, V.V.; Iomdina, E.N.; Zamyatnin, A.A., Jr.; Philippov, P.P.; Zernii, E.Y.; Senin, I.I. Iatrogenic Damage of Eye Tissues: Current Problems and Possible Solutions. Biochemistry 2018, 83, 1563–1574. [Google Scholar] [CrossRef]
- Vladimirov, V.I.; Baksheeva, V.E.; Mikhailova, I.V.; Ismailov, R.G.; Litus, E.A.; Tikhomirova, N.K.; Nazipova, A.A.; Permyakov, S.E.; Zernii, E.Y.; Zinchenko, D.V. A Novel Approach to Bacterial Expression and Purification of Myristoylated Forms of Neuronal Calcium Sensor Proteins. Biomolecules 2020, 10, 1025. [Google Scholar] [CrossRef]
- Chistyakov, D.V.; Grabeklis, S.; Goriainov, S.V.; Chistyakov, V.V.; Sergeeva, M.G.; Reiser, G. Astrocytes synthesize primary and cyclopentenone prostaglandins that are negative regulators of their proliferation. Biochem. Biophys. Res. Commun. 2018, 500, 204–210. [Google Scholar] [CrossRef]
- Ivanova, A.Y.; Shirokov, I.V.; Toshchakov, S.V.; Kozlova, A.D.; Obolenskaya, O.N.; Mariasina, S.S.; Ivlev, V.A.; Gartseev, I.B.; Medvedev, O.S. Effects of Coenzyme Q10 on the Biomarkers (Hydrogen, Methane, SCFA and TMA) and Composition of the Gut Microbiome in Rats. Pharmaceuticals 2023, 16, 686. [Google Scholar] [CrossRef]







Disclaimer/Publisher’s Note: The statements, opinions and data contained in all publications are solely those of the individual author(s) and contributor(s) and not of MDPI and/or the editor(s). MDPI and/or the editor(s) disclaim responsibility for any injury to people or property resulting from any ideas, methods, instructions or products referred to in the content. |
© 2024 by the authors. Licensee MDPI, Basel, Switzerland. This article is an open access article distributed under the terms and conditions of the Creative Commons Attribution (CC BY) license (https://creativecommons.org/licenses/by/4.0/).
Share and Cite
Chistyakov, D.V.; Tiulina, V.V.; Gancharova, O.S.; Baksheeva, V.E.; Goriainov, S.V.; Shebardina, N.G.; Ivlev, V.A.; Komarov, S.V.; Shevelyova, M.P.; Tikhomirova, N.K.; et al. Targeting Oxidative Stress and Inflammation in the Eye: Insights from a New Model of Experimental Autoimmune Uveitis. Int. J. Mol. Sci. 2024, 25, 12910. https://doi.org/10.3390/ijms252312910
Chistyakov DV, Tiulina VV, Gancharova OS, Baksheeva VE, Goriainov SV, Shebardina NG, Ivlev VA, Komarov SV, Shevelyova MP, Tikhomirova NK, et al. Targeting Oxidative Stress and Inflammation in the Eye: Insights from a New Model of Experimental Autoimmune Uveitis. International Journal of Molecular Sciences. 2024; 25(23):12910. https://doi.org/10.3390/ijms252312910
Chicago/Turabian StyleChistyakov, Dmitry V., Veronika V. Tiulina, Olga S. Gancharova, Viktoriia E. Baksheeva, Sergei V. Goriainov, Natalia G. Shebardina, Vasily A. Ivlev, Sergey V. Komarov, Marina P. Shevelyova, Natalia K. Tikhomirova, and et al. 2024. "Targeting Oxidative Stress and Inflammation in the Eye: Insights from a New Model of Experimental Autoimmune Uveitis" International Journal of Molecular Sciences 25, no. 23: 12910. https://doi.org/10.3390/ijms252312910
APA StyleChistyakov, D. V., Tiulina, V. V., Gancharova, O. S., Baksheeva, V. E., Goriainov, S. V., Shebardina, N. G., Ivlev, V. A., Komarov, S. V., Shevelyova, M. P., Tikhomirova, N. K., Philippov, P. P., Vasil’ev, V. G., Sergeeva, M. G., Permyakov, S. E., Iomdina, E. N., Tsvetkov, P. O., Senin, I. I., & Zernii, E. Y. (2024). Targeting Oxidative Stress and Inflammation in the Eye: Insights from a New Model of Experimental Autoimmune Uveitis. International Journal of Molecular Sciences, 25(23), 12910. https://doi.org/10.3390/ijms252312910

