Effect of Low-Frequency, Low-Energy Pulsed Electromagnetic Fields in Neuronal and Microglial Cells Injured with Amyloid-Beta
Abstract
1. Introduction
2. Results
2.1. Study of PEMF Effects on Oxidative Stress in SH-SY5Y Cells
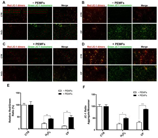
2.2. Investigation of PEMF Effects on MMP in SH-SY5Y Cells
2.3. Evaluation of PEMFs’ Effects on Cell Death in Human SH-SY5Y Cells
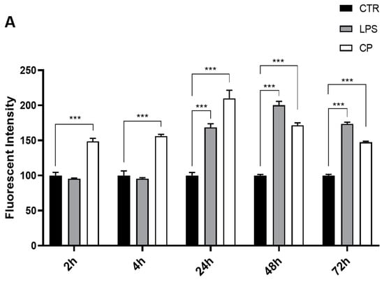
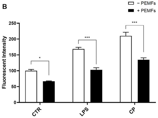
2.4. Study of PEMF Effects on Oxidative Stress in N9 Microglial Cells
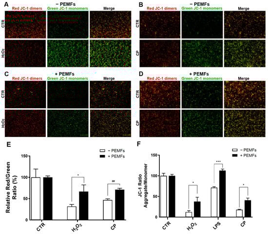
2.5. Investigation of PEMF Effects on MMP in N9 Microglial Cells
2.6. Evaluation of PEMF Effects on Cell Death in Murine N9 Cells
3. Discussion
Limitations of the Study
4. Materials and Methods
4.1. Drugs and Materials
4.2. Electromagnetic Field Exposure System
4.3. Cell Cultures
4.4. Cellular Treatment
4.5. Preparation of HFIP-Treated Aβ Peptide Stocks
4.6. Preparation of O-Acyl Isopeptide (CP) Stocks
4.7. ROS Detection Assay (DCFDA/H2DCFDA)
4.8. ELISA Assay
4.9. JC-1 Test
4.10. MTS Assay
4.11. Nuclear Hoechst 33342 Staining
4.12. Statistical Analysis
5. Conclusions
Author Contributions
Funding
Institutional Review Board Statement
Informed Consent Statement
Data Availability Statement
Conflicts of Interest
References
- Prince, M.; Wimo, A.; Guerchet, M.; Ali, G.-C.; Wu, Y.-T.; Prina, M. World Alzheimer Report 2015. The Global Impact of Dementia. An Analysis of Prevalence, Incidence, Cost and Trends. Ph.D. Thesis, Alzheimer’s Disease International, London, UK, 2015. [Google Scholar]
- Ribas, M.Z.; Paticcié, G.F.; Noleto, F.M.; Ramanzini, L.G.; Veras, A.D.O.; Dall’Oglio, R.; Filho, L.B.D.A.; Martins Da Silva, J.G.; Lima, M.P.P.; Teixeira, B.E.; et al. Impact of Dysexecutive Syndrome in Quality of Life in Alzheimer Disease: What We Know Now and Where We Are Headed. Ageing Res. Rev. 2023, 86, 101866. [Google Scholar] [CrossRef] [PubMed]
- Guo, L.; Li, X.; Gould, T.; Wang, Z.-Y.; Cao, W. T Cell Aging and Alzheimer’s Disease. Front. Immunol. 2023, 14, 1154699. [Google Scholar] [CrossRef] [PubMed]
- Twarowski, B.; Herbet, M. Inflammatory Processes in Alzheimer’s Disease—Pathomechanism, Diagnosis and Treatment: A Review. Int. J. Mol. Sci. 2023, 24, 6518. [Google Scholar] [CrossRef] [PubMed]
- Janoutová, J.; Kovalová, M.; Machaczka, O.; Ambroz, P.; Zatloukalová, A.; Němček, K.; Janout, V. Risk Factors for Alzheimer’s Disease: An Epidemiological Study. Curr. Alzheimer Res. 2021, 18, 372–379. [Google Scholar] [CrossRef] [PubMed]
- McMullan, J.; Khatri, P. Getting the Right Patient to the Right Place in the Right Amount of Time-A Role for Both Mobile Stroke Units and Prehospital Clinical Scales. JAMA Neurol. 2019, 76, 1424–1425. [Google Scholar] [CrossRef] [PubMed]
- Selkoe, D.J.; Hardy, J. The Amyloid Hypothesis of Alzheimer’s Disease at 25 Years. EMBO Mol. Med. 2016, 8, 595–608. [Google Scholar] [CrossRef]
- Nortley, R.; Korte, N.; Izquierdo, P.; Hirunpattarasilp, C.; Mishra, A.; Jaunmuktane, Z.; Kyrargyri, V.; Pfeiffer, T.; Khennouf, L.; Madry, C.; et al. Amyloid β Oligomers Constrict Human Capillaries in Alzheimer’s Disease via Signaling to Pericytes. Science 2019, 365, eaav9518. [Google Scholar] [CrossRef]
- Singh, A.; Kukreti, R.; Saso, L.; Kukreti, S. Oxidative Stress: A Key Modulator in Neurodegenerative Diseases. Molecules 2019, 24, 1583. [Google Scholar] [CrossRef]
- Tönnies, E.; Trushina, E. Oxidative Stress, Synaptic Dysfunction, and Alzheimer’s Disease. J. Alzheimers Dis. 2017, 57, 1105–1121. [Google Scholar] [CrossRef]
- Shadfar, S.; Parakh, S.; Jamali, M.S.; Atkin, J.D. Redox Dysregulation as a Driver for DNA Damage and Its Relationship to Neurodegenerative Diseases. Transl. Neurodegener. 2023, 12, 18. [Google Scholar] [CrossRef]
- Wang, W.; Zhao, F.; Lu, Y.; Siedlak, S.L.; Fujioka, H.; Feng, H.; Perry, G.; Zhu, X. Damaged Mitochondria Coincide with Presynaptic Vesicle Loss and Abnormalities in Alzheimer’s Disease Brain. Acta Neuropathol. Commun. 2023, 11, 54. [Google Scholar] [CrossRef] [PubMed]
- Rai, S.N.; Singh, C.; Singh, A.; Singh, M.P.; Singh, B.K. Mitochondrial Dysfunction: A Potential Therapeutic Target to Treat Alzheimer’s Disease. Mol. Neurobiol. 2020, 57, 3075–3088. [Google Scholar] [CrossRef] [PubMed]
- Di Domenico, F.; Lanzillotta, C.; Perluigi, M. Redox Imbalance and Metabolic Defects in the Context of Alzheimer Disease. FEBS Lett. 2024, 598, 2047–2066. [Google Scholar] [CrossRef] [PubMed]
- Pardo-Moreno, T.; González-Acedo, A.; Rivas-Domínguez, A.; García-Morales, V.; García-Cozar, F.J.; Ramos-Rodríguez, J.J.; Melguizo-Rodríguez, L. Therapeutic Approach to Alzheimer’s Disease: Current Treatments and New Perspectives. Pharmaceutics 2022, 14, 1117. [Google Scholar] [CrossRef]
- Reardon, S. FDA Approves Alzheimer’s Drug Lecanemab amid Safety Concerns. Nature 2023, 613, 227–228. [Google Scholar] [CrossRef]
- Yeo-Teh, N.S.L.; Tang, B.L. A Review of Scientific Ethics Issues Associated with the Recently Approved Drugs for Alzheimer’s Disease. Sci. Eng. Ethics 2023, 29, 2. [Google Scholar] [CrossRef]
- Söderberg, L.; Johannesson, M.; Nygren, P.; Laudon, H.; Eriksson, F.; Osswald, G.; Möller, C.; Lannfelt, L. Lecanemab, Aducanumab, and Gantenerumab—Binding Profiles to Different Forms of Amyloid-Beta Might Explain Efficacy and Side Effects in Clinical Trials for Alzheimer’s Disease. Neurotherapeutics 2023, 20, 195–206. [Google Scholar] [CrossRef]
- Dou, K.-X.; Tan, M.-S.; Tan, C.-C.; Cao, X.-P.; Hou, X.-H.; Guo, Q.-H.; Tan, L.; Mok, V.; Yu, J.-T. Comparative Safety and Effectiveness of Cholinesterase Inhibitors and Memantine for Alzheimer’s Disease: A Network Meta-Analysis of 41 Randomized Controlled Trials. Alzheimers Res. Ther. 2018, 10, 126. [Google Scholar] [CrossRef]
- Wang, Y.; Pu, X.; Shi, W.; Fang, Q.; Chen, X.; Xi, H.; Gao, Y.; Zhou, J.; Xian, C.J.; Chen, K. Pulsed Electromagnetic Fields Promote Bone Formation by Activating the sAC–cAMP–PKA–CREB Signaling Pathway. J. Cell. Physiol. 2019, 234, 2807–2821. [Google Scholar] [CrossRef]
- Capone, F.; Dileone, M.; Profice, P.; Pilato, F.; Musumeci, G.; Minicuci, G.; Ranieri, F.; Cadossi, R.; Setti, S.; Tonali, P.A.; et al. Does Exposure to Extremely Low Frequency Magnetic Fields Produce Functional Changes in Human Brain? J. Neural Transm. 2009, 116, 257–265. [Google Scholar] [CrossRef]
- Gessi, S.; Merighi, S.; Bencivenni, S.; Battistello, E.; Vincenzi, F.; Setti, S.; Cadossi, M.; Borea, P.A.; Cadossi, R.; Varani, K. Pulsed Electromagnetic Field and Relief of Hypoxia-induced Neuronal Cell Death: The Signaling Pathway. J. Cell. Physiol. 2019, 234, 15089–15097. [Google Scholar] [CrossRef]
- Vincenzi, F.; Ravani, A.; Pasquini, S.; Merighi, S.; Gessi, S.; Setti, S.; Cadossi, R.; Borea, P.A.; Varani, K. Pulsed Electromagnetic Field Exposure Reduces Hypoxia and Inflammation Damage in Neuron-Like and Microglial Cells. J. Cell. Physiol. 2017, 232, 1200–1208. [Google Scholar] [CrossRef]
- Vincenzi, F.; Pasquini, S.; Setti, S.; Salati, S.; Cadossi, R.; Borea, P.A.; Varani, K. Pulsed Electromagnetic Fields Stimulate HIF-1α-Independent VEGF Release in 1321N1 Human Astrocytes Protecting Neuron-like SH-SY5Y Cells from Oxygen-Glucose Deprivation. Int. J. Mol. Sci. 2020, 21, 8053. [Google Scholar] [CrossRef] [PubMed]
- Merighi, S.; Gessi, S.; Bencivenni, S.; Battistello, E.; Vincenzi, F.; Setti, S.; Cadossi, M.; Borea, P.A.; Cadossi, R.; Varani, K. Signaling Pathways Involved in Anti-Inflammatory Effects of Pulsed Electromagnetic Field in Microglial Cells. Cytokine 2020, 125, 154777. [Google Scholar] [CrossRef]
- Funk, R.; Fähnle, M. A Short Review on the Influence of Magnetic Fields on Neurological Diseases. Front. Biosci.-Sch. 2021, 13, 181. [Google Scholar] [CrossRef] [PubMed]
- Li, R.-L.; Huang, J.-J.; Shi, Y.-Q.; Hu, A.; Lu, Z.-Y.; Weng, L.; Wang, S.-Q.; Han, Y.-P.; Zhang, L.; Hao, C.-N.; et al. Pulsed Electromagnetic Field Improves Postnatal Neovascularization in Response to Hindlimb Ischemia. Am. J. Transl. Res. 2015, 7, 430–444. [Google Scholar] [CrossRef]
- Pena-Philippides, J.C.; Yang, Y.; Bragina, O.; Hagberg, S.; Nemoto, E.; Roitbak, T. Effect of Pulsed Electromagnetic Field (PEMF) on Infarct Size and Inflammation After Cerebral Ischemia in Mice. Transl. Stroke Res. 2014, 5, 491–500. [Google Scholar] [CrossRef]
- Capone, F.; Liberti, M.; Apollonio, F.; Camera, F.; Setti, S.; Cadossi, R.; Quattrocchi, C.C.; Di Lazzaro, V. An Open-Label, One-Arm, Dose-Escalation Study to Evaluate Safety and Tolerability of Extremely Low Frequency Magnetic Fields in Acute Ischemic Stroke. Sci. Rep. 2017, 7, 12145. [Google Scholar] [CrossRef]
- ClinicalTrials.Gov, Campus Bio-Medico National Library of Medicine (US), Identifier NCT02767778, Low-Frequency Pulsed Electromagnetic Fields (ELF-MF) as Treatment for Acute Ischemic Stroke (I-NIC). 2016. Available online: https://Clinicaltrials.Gov/Ct2/Show/Study/NCT02767778 (accessed on 27 November 2024).
- Capelli, E.; Torrisi, F.; Venturini, L.; Granato, M.; Fassina, L.; Lupo, G.F.D.; Ricevuti, G. Low-Frequency Pulsed Electromagnetic Field Is Able to Modulate miRNAs in an Experimental Cell Model of Alzheimer’s Disease. J. Healthc. Eng. 2017, 2017, 1–10. [Google Scholar] [CrossRef]
- De Medeiros, L.M.; De Bastiani, M.A.; Rico, E.P.; Schonhofen, P.; Pfaffenseller, B.; Wollenhaupt-Aguiar, B.; Grun, L.; Barbé-Tuana, F.; Zimmer, E.R.; Castro, M.A.A.; et al. Cholinergic Differentiation of Human Neuroblastoma SH-SY5Y Cell Line and Its Potential Use as an In Vitro Model for Alzheimer’s Disease Studies. Mol. Neurobiol. 2019, 56, 7355–7367. [Google Scholar] [CrossRef]
- Wang, H.; Jiang, T.; Li, W.; Gao, N.; Zhang, T. Resveratrol Attenuates Oxidative Damage through Activating Mitophagy in an in Vitro Model of Alzheimer’s Disease. Toxicol. Lett. 2018, 282, 100–108. [Google Scholar] [CrossRef] [PubMed]
- Wang, Z.; Vilekar, P.; Huang, J.; Weaver, D.F. Furosemide as a Probe Molecule for the Treatment of Neuroinflammation in Alzheimer’s Disease. ACS Chem. Neurosci. 2020, 11, 4152–4168. [Google Scholar] [CrossRef] [PubMed]
- Chen, W.-T.; Lin, G.-B.; Kuo, Y.-Y.; Hsieh, C.-H.; Lu, C.-H.; Sun, Y.-K.; Chao, C.-Y. Effect of High-Frequency Low-Intensity Pulsed Electric Field on Protecting SH-SY5Y Cells against Hydrogen Peroxide and β-Amyloid-Induced Cell Injury via ERK Pathway. PLoS ONE 2021, 16, e0250491. [Google Scholar] [CrossRef] [PubMed]
- Firdous, S.M.; Khan, S.A.; Maity, A. Oxidative Stress–Mediated Neuroinflammation in Alzheimer’s Disease. Naunyn. Schmiedebergs Arch. Pharmacol. 2024, 397, 8189–8209. [Google Scholar] [CrossRef] [PubMed]
- Bae, S.-J.; Lee, W.-Y.; Bak, S.B.; Lee, S.J.; Hwang, S.-J.; Kim, G.-W.; Koo, B.-S.; Park, S.-D.; Yoo, H.-H.; Kim, C.-O.; et al. Antioxidant Efficacy of Hwangryunhaedok-Tang through Nrf2 and AMPK Signaling Pathway against Neurological Disorders In Vivo and In Vitro. Int. J. Mol. Sci. 2024, 25, 2313. [Google Scholar] [CrossRef]
- Goel, P.; Chakrabarti, S.; Goel, K.; Bhutani, K.; Chopra, T.; Bali, S. Neuronal Cell Death Mechanisms in Alzheimer’s Disease: An Insight. Front. Mol. Neurosci. 2022, 15, 937133. [Google Scholar] [CrossRef]
- Prajapat, M.; Kaur, G.; Choudhary, G.; Pahwa, P.; Bansal, S.; Joshi, R.; Batra, G.; Mishra, A.; Singla, R.; Kaur, H.; et al. A Systematic Review for the Development of Alzheimer’s Disease in in Vitro Models: A Focus on Different Inducing Agents. Front. Aging Neurosci. 2023, 15, 1296919. [Google Scholar] [CrossRef]
- Tiwari, S.; Atluri, V.; Kaushik, A.; Yndart, A.; Nair, M. Alzheimer’s Disease: Pathogenesis, Diagnostics, and Therapeutics. Int. J. Nanomed. 2019, 14, 5541–5554. [Google Scholar] [CrossRef]
- Zhang, M.; Wang, Y.; Wong, R.M.S.; Yung, K.K.L.; Li, R. Fine Particulate Matter Induces Endoplasmic Reticulum Stress-Mediated Apoptosis in Human SH-SY5Y Cells. NeuroToxicology 2022, 88, 187–195. [Google Scholar] [CrossRef]
- You, R.; Ho, Y.-S.; Chang, R.C.-C. The Pathogenic Effects of Particulate Matter on Neurodegeneration: A Review. J. Biomed. Sci. 2022, 29, 15. [Google Scholar] [CrossRef]
- Jiang, S.; Borjigin, G.; Sun, J.; Li, Q.; Wang, Q.; Mu, Y.; Shi, X.; Li, Q.; Wang, X.; Song, X.; et al. Identification of Uncaria Rhynchophylla in the Potential Treatment of Alzheimer’s Disease by Integrating Virtual Screening and In Vitro Validation. Int. J. Mol. Sci. 2023, 24, 15457. [Google Scholar] [CrossRef] [PubMed]
- Pang, Q.Q.; Kim, J.H.; Kim, H.Y.; Kim, J.-H.; Cho, E.J. Protective Effects and Mechanisms of Pectolinarin against H2O2-Induced Oxidative Stress in SH-SY5Y Neuronal Cells. Molecules 2023, 28, 5826. [Google Scholar] [CrossRef]
- Krishtal, J.; Bragina, O.; Metsla, K.; Palumaa, P.; Tõugu, V. In Situ Fibrillizing Amyloid-Beta 1-42 Induces Neurite Degeneration and Apoptosis of Differentiated SH-SY5Y Cells. PLoS ONE 2017, 12, e0186636. [Google Scholar] [CrossRef] [PubMed]
- Kumaran, A.; Ho, C.C.; Hwang, L.S. Protective Effect of Nelumbo Nucifera Extracts on Beta Amyloid Protein Induced Apoptosis in PC12 Cells, in Vitro Model of Alzheimer’s Disease. J. Food Drug Anal. 2018, 26, 172–181. [Google Scholar] [CrossRef] [PubMed]
- Son, Y.; Cheong, Y.-K.; Kim, N.-H.; Chung, H.-T.; Kang, D.G.; Pae, H.-O. Mitogen-Activated Protein Kinases and Reactive Oxygen Species: How Can ROS Activate MAPK Pathways? J. Signal Transduct. 2011, 2011, 792639. [Google Scholar] [CrossRef]
- Raffaele, I.; Silvestro, S.; Mazzon, E. MicroRNAs and MAPKs: Evidence of These Molecular Interactions in Alzheimer’s Disease. Int. J. Mol. Sci. 2023, 24, 4736. [Google Scholar] [CrossRef]
- Park, H.-J.; Choi, J.-H.; Nam, M.-H.; Seo, Y.-K. Induced Neurodifferentiation of hBM-MSCs through Activation of the ERK/CREB Pathway via Pulsed Electromagnetic Fields and Physical Stimulation Promotes Neurogenesis in Cerebral Ischemic Models. Int. J. Mol. Sci. 2022, 23, 1177. [Google Scholar] [CrossRef] [PubMed]
- Urnukhsaikhan, E.; Mishig-Ochir, T.; Kim, S.-C.; Park, J.-K.; Seo, Y.-K. Neuroprotective Effect of Low Frequency-Pulsed Electromagnetic Fields in Ischemic Stroke. Appl. Biochem. Biotechnol. 2017, 181, 1360–1371. [Google Scholar] [CrossRef]
- Zhu, L.; Chen, D.; He, C. Metabolomics Comparison of Metabolites and Functional Pathways in the SH-SY5Y Cell Model of Parkinson’s Disease under PEMF Exposure. Heliyon 2024, 10, e26540. [Google Scholar] [CrossRef]
- Tian, R.; Abarientos, A.; Hong, J.; Hashemi, S.H.; Yan, R.; Dräger, N.; Leng, K.; Nalls, M.A.; Singleton, A.B.; Xu, K.; et al. Genome-Wide CRISPRi/a Screens in Human Neurons Link Lysosomal Failure to Ferroptosis. Nat. Neurosci. 2021, 24, 1020–1034. [Google Scholar] [CrossRef]
- Lee, K.; Lee, A.; Choi, I. Melandrii Herba Extract Attenuates H2O2-Induced Neurotoxicity in Human Neuroblastoma SH-SY5Y Cells and Scopolamine-Induced Memory Impairment in Mice. Molecules 2017, 22, 1646. [Google Scholar] [CrossRef]
- Islam, M.S.; Shin, H.-Y.; Yoo, Y.-J.; Lee, E.-Y.; Kim, R.; Jang, Y.-J.; Akanda, M.R.; Tae, H.-J.; Kim, I.-S.; Ahn, D.; et al. Fermented Mentha Arvensis Administration Provides Neuroprotection against Transient Global Cerebral Ischemia in Gerbils and SH-SY5Y Cells via Downregulation of the MAPK Signaling Pathway. BMC Complement. Med. Ther. 2022, 22, 172. [Google Scholar] [CrossRef]
- Kirouac, L.; Rajic, A.J.; Cribbs, D.H.; Padmanabhan, J. Activation of Ras-ERK Signaling and GSK-3 by Amyloid Precursor Protein and Amyloid Beta Facilitates Neurodegeneration in Alzheimer’s Disease. eNeuro 2017, 4, ENEURO.0149-16.2017. [Google Scholar] [CrossRef]
- Khezri, M.R.; Yousefi, K.; Esmaeili, A.; Ghasemnejad-Berenji, M. The Role of ERK1/2 Pathway in the Pathophysiology of Alzheimer’s Disease: An Overview and Update on New Developments. Cell. Mol. Neurobiol. 2023, 43, 177–191. [Google Scholar] [CrossRef] [PubMed]
- Alqahtani, T.; Deore, S.L.; Kide, A.A.; Shende, B.A.; Sharma, R.; Dadarao Chakole, R.; Nemade, L.S.; Kishor Kale, N.; Borah, S.; Shrikant Deokar, S.; et al. Mitochondrial Dysfunction and Oxidative Stress in Alzheimer’s Disease, and Parkinson’s Disease, Huntington’s Disease and Amyotrophic Lateral Sclerosis -An Updated Review. Mitochondrion 2023, 71, 83–92. [Google Scholar] [CrossRef]
- Mangalmurti, A.; Lukens, J.R. How Neurons Die in Alzheimer’s Disease: Implications for Neuroinflammation. Curr. Opin. Neurobiol. 2022, 75, 102575. [Google Scholar] [CrossRef]
- Song, C.; Shi, J.; Zhang, P.; Zhang, Y.; Xu, J.; Zhao, L.; Zhang, R.; Wang, H.; Chen, H. Immunotherapy for Alzheimer’s Disease: Targeting β-Amyloid and Beyond. Transl. Neurodegener. 2022, 11, 18. [Google Scholar] [CrossRef]
- Massot, O.; Grimaldi, B.; Bailly, J.-M.; Kochanek, M.; Deschamps, F.; Lambrozo, J.; Fillion, G. Magnetic Field Desensitizes 5-HT1B Receptor in Brain: Pharmacological and Functional Studies. Brain Res. 2000, 858, 143–150. [Google Scholar] [CrossRef]
- Barbault, A.; Costa, F.P.; Bottger, B.; Munden, R.F.; Bomholt, F.; Kuster, N.; Pasche, B. Amplitude-Modulated Electromagnetic Fields for the Treatment of Cancer: Discovery of Tumor-Specific Frequencies and Assessment of a Novel Therapeutic Approach. J. Exp. Clin. Cancer Res. 2009, 28, 51. [Google Scholar] [CrossRef]
- Reale, M.; Kamal, M.A.; Patruno, A.; Costantini, E.; D’Angelo, C.; Pesce, M.; Greig, N.H. Neuronal Cellular Responses to Extremely Low Frequency Electromagnetic Field Exposure: Implications Regarding Oxidative Stress and Neurodegeneration. PLoS ONE 2014, 9, e104973. [Google Scholar] [CrossRef]
- Sohma, Y.; Hirayama, Y.; Taniguchi, A.; Mukai, H.; Kiso, Y. ‘Click Peptide’ Using Production of Monomer Aβ from the O-Acyl Isopeptide: Application to Assay System of Aggregation Inhibitors and Cellular Cytotoxicity. Bioorg. Med. Chem. 2011, 19, 1729–1733. [Google Scholar] [CrossRef] [PubMed]













Disclaimer/Publisher’s Note: The statements, opinions and data contained in all publications are solely those of the individual author(s) and contributor(s) and not of MDPI and/or the editor(s). MDPI and/or the editor(s) disclaim responsibility for any injury to people or property resulting from any ideas, methods, instructions or products referred to in the content. |
© 2024 by the authors. Licensee MDPI, Basel, Switzerland. This article is an open access article distributed under the terms and conditions of the Creative Commons Attribution (CC BY) license (https://creativecommons.org/licenses/by/4.0/).
Share and Cite
Merighi, S.; Nigro, M.; Travagli, A.; Fernandez, M.; Vincenzi, F.; Varani, K.; Pasquini, S.; Borea, P.A.; Salati, S.; Cadossi, R.; et al. Effect of Low-Frequency, Low-Energy Pulsed Electromagnetic Fields in Neuronal and Microglial Cells Injured with Amyloid-Beta. Int. J. Mol. Sci. 2024, 25, 12847. https://doi.org/10.3390/ijms252312847
Merighi S, Nigro M, Travagli A, Fernandez M, Vincenzi F, Varani K, Pasquini S, Borea PA, Salati S, Cadossi R, et al. Effect of Low-Frequency, Low-Energy Pulsed Electromagnetic Fields in Neuronal and Microglial Cells Injured with Amyloid-Beta. International Journal of Molecular Sciences. 2024; 25(23):12847. https://doi.org/10.3390/ijms252312847
Chicago/Turabian StyleMerighi, Stefania, Manuela Nigro, Alessia Travagli, Mercedes Fernandez, Fabrizio Vincenzi, Katia Varani, Silvia Pasquini, Pier Andrea Borea, Simona Salati, Ruggero Cadossi, and et al. 2024. "Effect of Low-Frequency, Low-Energy Pulsed Electromagnetic Fields in Neuronal and Microglial Cells Injured with Amyloid-Beta" International Journal of Molecular Sciences 25, no. 23: 12847. https://doi.org/10.3390/ijms252312847
APA StyleMerighi, S., Nigro, M., Travagli, A., Fernandez, M., Vincenzi, F., Varani, K., Pasquini, S., Borea, P. A., Salati, S., Cadossi, R., & Gessi, S. (2024). Effect of Low-Frequency, Low-Energy Pulsed Electromagnetic Fields in Neuronal and Microglial Cells Injured with Amyloid-Beta. International Journal of Molecular Sciences, 25(23), 12847. https://doi.org/10.3390/ijms252312847

