1-Butyl-3-methylimidazolium-Based Ionic Liquid in Biomass Fractionation—Green Solvent or Active Reagent Toward Lignin Compounds?
Abstract
1. Introduction
2. Results and Discussion
2.1. Reactions with Aromatic Aldehydes and Alcohols
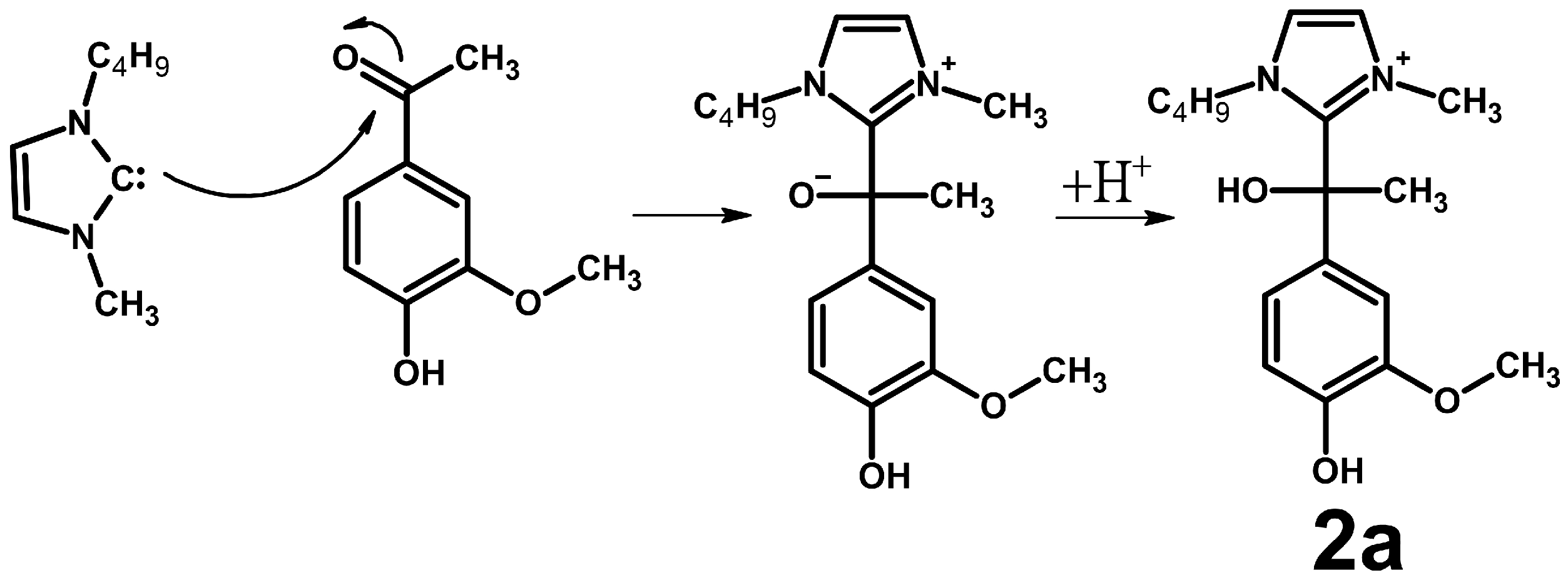
2.2. Reactions with Ketones
2.3. Reactions with Double C=C Bond
3. Materials and Methods
3.1. Reagents and Materials
3.2. Reaction Mixtures and Sampling
3.3. Analytical Methods
4. Conclusions
Supplementary Materials
Author Contributions
Funding
Institutional Review Board Statement
Informed Consent Statement
Data Availability Statement
Acknowledgments
Conflicts of Interest
References
- Leskinen, T.; King, A.W.T.; Argyropoulos, D.S. Fractionation of Lignocellulosic Materials with Ionic Liquids. In Production of Biofuels and Chemicals with Ionic Liquids; Fang, Z., Smith, J.R.L., Qi, X., Eds.; Springer: Amsterdam, The Netherlands, 2014; pp. 145–168. [Google Scholar] [CrossRef]
- Brandt-Talbot, A.; Gschwend, F.J.V.; Fennell, P.S.; Lammens, T.M.; Tan, B.; Weale, J.; Hallett, J.P. An economically viable ionic liquid for the fractionation of lignocellulosic biomass. Green Chem. 2017, 19, 3078–3102. [Google Scholar] [CrossRef]
- Dong, S.; Zhang, B.; Zhang, P.; Wu, K.; He, X.; Ding, W.; Gao, Y.; Liu, D.; Hu, X. Functional acidic ionic liquids as effective solvents for the fractionation of lignocelluloses. BioResources 2019, 14, 4721–4732. [Google Scholar] [CrossRef]
- Zhang, B.-X.; Wang, X.-Y.; Wang, J.-J.; Liu, X.-L.; Gao, Y.-F.; Hu, X.-M. Synthesis of functional dicationic ionic liquids for the treatment of lignocellulosic biomass. RSC Adv. 2022, 12, 3630–3634. [Google Scholar] [CrossRef] [PubMed]
- da Costa Lopes, A.M.; João, K.G.; Morais, A.R.C.; Bogel-Łukasik, E.; Bogel-Łukasik, R. Ionic liquids as a tool for lignocellulosic biomass fractionation. Sustain. Chem. Process. 2013, 1, 3. [Google Scholar] [CrossRef]
- New, E.K.; Tnah, S.K.; Voon, K.S.; Yong, K.J. The application of green solvent in a biorefinery using lignocellulosic biomass as a feedstock. J. Environ. Manag. 2022, 307, 114385. [Google Scholar] [CrossRef]
- Muhammad, N.; Man, Z.; Mutalib, M.I.A.; Bustam, M.A.; Wilfred, C.D.; Khan, A.S.; Ullah, Z.; Gonfa, G.; Nasrullah, A. Dissolution and Separation of Wood Biopolymers Using Ionic Liquids. ChemBioEng Rev. 2015, 2, 257–278. [Google Scholar] [CrossRef]
- Singh, S.K.; Savoy, A.W. Ionic liquids synthesis and applications: An overview. J. Mol. Liq. 2019, 297, 112038. [Google Scholar] [CrossRef]
- Schrems, M.; Brandt, A.; Welton, T.; Liebner, F.; Rosenau, T.; Potthast, A. Ionic liquids as media for biomass processing: Opportunities and restrictions. Holzforschung 2011, 65, 527–533. [Google Scholar] [CrossRef]
- Afonso, J.; Mezzetta, A.; Marrucho, I.M.; Guazzelli, L. History repeats itself again: Will the mistakes of the past for ILs be repeated for DESs? From being considered ionic liquids to becoming their alternative: The unbalanced turn of deep eutectic solvents. Green Chem. 2023, 25, 59–105. [Google Scholar] [CrossRef]
- Liu, L.; Peng, H.; Shen, Y.; Shen, L.; Fu, G.; Wan, Y.; Xu, Z. 1-Butyl-3-methylimidazolium halide based ionic liquids as solvents for the pretreatment of bamboo slices: Effect of electronegativity of anions. Ind. Crops Prod. 2024, 217, 118877. [Google Scholar] [CrossRef]
- Belesov, A.V.; Lvova, D.A.; Pikovskoi, I.I.; Popov, M.S.; Ul’yanovskii, N.V.; Kosyakov, D.S. Effect of modifiers on the stability of 1-butyl-3-methylimidazolium-based ionic liquids. J. Ion. Liq. 2024, 4, 100124. [Google Scholar] [CrossRef]
- Leitch, A.C.; Abdelghany, T.M.; Probert, P.M.; Dunn, M.P.; Meyer, S.K.; Palmer, J.M.; Cooke, M.P.; Blake, L.I.; Morse, K.; Rosenmai, A.K.; et al. The toxicity of the methylimidazolium ionic liquids, with a focus on M8OI and hepatic effects. Food Chem. Toxicol. 2020, 136, 111069. [Google Scholar] [CrossRef] [PubMed]
- Płotka-Wasylka, J.; de la Guardia, M.; Andruch, V.; Vilková, M. Deep eutectic solvents vs ionic liquids: Similarities and differences. Microchem. J. 2020, 159, 105539. [Google Scholar] [CrossRef]
- Qasim, U.; Rafiq, S.; Jamil, F.; Ahmed, A.; Ali, T.; Kers, J.; Khurram, M.S.; Hussain, M.; Inayat, A.; Park, Y.-K. Processing of lignocellulose in ionic liquids: A cleaner and sustainable approach. J. Clean. Prod. 2021, 323, 129189. [Google Scholar] [CrossRef]
- Kilpeläinen, I.; Xie, H.; King, A.; Granstrom, M.; Heikkinen, S.; Argyropoulos, D.S. Dissolution of wood in ionic liquids. J. Agric. Food Chem. 2007, 55, 9142–9148. [Google Scholar] [CrossRef]
- Cao, Y.; Zhang, R.; Cheng, T.; Guo, J.; Xian, M.; Liu, H. Imidazolium-based ionic liquids for cellulose pretreatment: Recent progresses and future perspectives. Appl. Microbiol. Biotechnol. 2017, 101, 521–532. [Google Scholar] [CrossRef]
- Pu, Y.; Jiang, N.; Ragauskas, A.J. Ionic Liquid as a Green Solvent for Lignin. J. Wood Chem. Technol. 2007, 27, 23–33. [Google Scholar] [CrossRef]
- Singh, S.K. Ionic liquids and lignin interaction: An overview. Bioresour. Technol. Rep. 2022, 17, 100958. [Google Scholar] [CrossRef]
- Achinivu, E.C. Protic Ionic Liquids for Lignin Extraction—A Lignin Characterization Study. Int. J. Mol. Sci. 2018, 19, 428. [Google Scholar] [CrossRef]
- Thierry, M.; Majira, A.; Pégot, B.; Cezard, L.; Bourdreux, F.; Clément, G.; Perreau, F.; Boutet-Mercey, S.; Diter, P.; Vo-Thanh, G.; et al. Imidazolium-Based Ionic Liquids as Efficient Reagents for the C−O Bond Cleavage of Lignin. ChemSusChem. 2018, 11, 439–448. [Google Scholar] [CrossRef]
- Wen, J.-L.; Sun, S.-L.; Xue, B.-L.; Sun, R.-C. Quantitative Structures and Thermal Properties of Birch Lignins after Ionic Liquid Pretreatment. J. Agric. Food Chem. 2013, 61, 635–645. [Google Scholar] [CrossRef] [PubMed]
- Pin, T.C.; Nascimento, V.M.; Costa, A.C.; Pu, Y.; Ragauskas, A.J.; Rabelo, S.C. Structural characterization of sugarcane lignins extracted from different protic ionic liquid pretreatments. Renew. Energy 2020, 161, 579–592. [Google Scholar] [CrossRef]
- Achinivu, E.C.; Howard, R.M.; Li, G.; Gracz, H.; Henderson, W.A. Lignin extraction from biomass with protic ionic liquids. Green Chem. 2014, 16, 1114–1119. [Google Scholar] [CrossRef]
- Hart, W.E.S.; Harper, J.B.; Aldous, L. The effect of changing the components of an ionic liquid upon the solubility of lignin. Green Chem. 2015, 17, 214–218. [Google Scholar] [CrossRef]
- Ladesov, A.V.; Belesov, A.V.; Kuznetsova, M.V.; Pochtovalova, A.S.; Malkov, A.V.; Shestakov, S.L.; Kosyakov, D.S. Fractionation of Wood with Binary Solvent 1-Butyl-3-methylimidazolium Acetate + Dimethyl Sulfoxide. Russ. J. Appl. Chem. 2018, 91, 663–670. [Google Scholar] [CrossRef]
- Belesov, A.V.; Ladesov, A.V.; Pikovskoi, I.I.; Faleva, A.V.; Kosyakov, D.S. Characterization of Ionic Liquid Lignins Isolated from Spruce Wood with 1-Butyl-3-methylimidazolium Acetate and Methyl Sulfate and Their Binary Mixtures with DMSO. Molecules 2020, 25, 2479. [Google Scholar] [CrossRef]
- Belesov, A.V.; Anikeenko, E.A.; Faleva, A.V.; Ul’yanovskii, N.V.; Kosyakov, D.S. Study of Nitrogen-Containing Products of the Interaction of 1-Butyl-3-Methylimidazolium Cation with Lignin by MALDI Mass Spectrometry. J. Anal. Chem. 2022, 77, 1784–1792. [Google Scholar] [CrossRef]
- Chiarotto, I.; Feroci, M.; Inesi, A. First direct evidence of N-heterocyclic carbene in BMIm acetate ionic liquids. An electrochemical and chemical study on the role of temperature. New J. Chem. 2017, 41, 7840–7843. [Google Scholar] [CrossRef]
- Berkessel, A.; Elfert, S.; Etzenbach-Effers, K.; Teles, J.H. Aldehyde Umpolung by N-Heterocyclic Carbenes: NMR Characterization of the Breslow Intermediate in its Keto Form, and a Spiro-Dioxolane as the Resting State of the Catalytic System. Angew. Chem. Int. Ed. 2010, 49, 7120–7124. [Google Scholar] [CrossRef]
- Galkin, K.I.; Karlinskii, B.Y.; Kostyukovich, A.Y.; Gordeev, E.G.; Ananikov, V.P. Ambident Reactivity of Imidazolium Cations as Evidence of the Dynamic Nature of N-Heterocyclic Carbene-Mediated Organocatalysis. Chem. Eur. J. 2020, 26, 8567–8571. [Google Scholar] [CrossRef]
- Belesov, A.V.; Shkaeva, N.V.; Popov, M.S.; Skrebets, T.E.; Faleva, A.V.; Ul’yanovskii, N.V.; Kosyakov, D.S. New Insights into the Thermal Stability of 1-Butyl-3-methylimidazolium-Based Ionic Liquids. Int. J. Mol. Sci. 2022, 23, 10966. [Google Scholar] [CrossRef] [PubMed]
- Henrique Teles, J.; Melder, J.-P.; Ebel, K.; Schneider, R.; Gehrer, E.; Harder, W.; Brode, S.; Enders, D.; Breuer, K.; Raabe, G. The Chemistry of Stable Carbenes. Part 2. Benzoin-type condensations of formaldehyde catalyzed by stable carbenes. Helv. Chim. Acta 1996, 79, 61–83. [Google Scholar] [CrossRef]
- Clough, M.T.; Geyer, K.; Hunt, P.A.; Mertes, J.; Welton, T. Thermal decomposition of carboxylate ionic liquids: Trends and mechanisms. Phys. Chem. Chem. Phys. 2013, 15, 20480–20495. [Google Scholar] [CrossRef] [PubMed]
- Efimova, A.; Hubrid, G.; Schmidt, P. Thermal stability and crystallization behavior of imidazolium halide ionic liquids. Thermochim. Acta 2013, 573, 162–169. [Google Scholar] [CrossRef]
- Williams, M.L.; Holahan, S.P.; McCorkill, M.E.; Dickmann, J.S.; Erdogan, K. Thermal and spectral characterization and stability of mixtures of ionic liquids [EMIM]Ac and [BMIM]Ac with ethanol, methanol, and water at ambient conditions and at elevated temperatures and pressures. Thermochim. Acta 2018, 669, 126–139. [Google Scholar] [CrossRef]








| Substrate | Product Type | Formula | Retention Time, min | m/z | Δm/z, ppm |
|---|---|---|---|---|---|
| Vanillin/ Vanillin Alcohol | 1a | [C16H23N2O3]+ | 5.3 | 291.1700 | 1.0 |
| 1b | [C16H21N2O3]+ | 5.8 | 289.1552 | 1.7 | |
| 1c | [C16H23N2O2]+ | 5.5 | 275.1749 | 1.8 | |
| 1d | [C17H24N3O2]+ | 5.6 | 302.1867 | 1.3 | |
| 1e | [C20H30N3O2]+ | 6.5 | 344.2322 | 3.2 | |
| Syringaldehyde | 1a | [C17H25N2O4]+ | 5.3 | 321.1807 | 0.6 |
| 1b | [C17H23N2O4]+ | 5.8 | 319.1656 | 1.3 | |
| 1c | [C17H25N2O3]+ | 5.5 | 305.1855 | 1.6 | |
| 1d | [C18H26N3O3]+ | 5.7 | 332.1962 | 2.1 | |
| 1e | [C21H32N3O3]+ | 6.5 | 374.2452 | 3.7 | |
| Veratraldehyde | 1a | [C17H25N2O3]+ | 5.5 | 305.1862 | 0.7 |
| 1c | [C17H25N2O2]+ | 6.0 | 289.1906 | 1.7 |
| Substrate | Product Type | Formula | Retention Time, min | m/z | Δm/z, ppm |
|---|---|---|---|---|---|
| Acetovanillone | 2a | [C17H25N2O3]+ | 5.2 | 305.1854 | 2.0 |
| 2b | [C17H23N2O3]+ | 6.8 | 303.1701 | 0.7 | |
| 2c | [C18H25N2O3]+ | 6.0 | 317.1854 | 1.9 | |
| 2d | [C21H31N2O3]+ | 6.1 | 359.2327 | 0.6 | |
| Acetosyringone | 2a | [C18H27N2O4]+ | 5.4 | 335.1962 | 0.9 |
| 2b | [C18H25N2O4]+ | 6.3 | 333.1807 | 0.6 | |
| 2c | [C19H27N2O4]+ | 6.0 | 347.1950 | 4.3 | |
| 2d | [C22H33N2O4]+ | 6.6 | 389.2427 | 1.8 |
| Substrate | Product Type | Formula | Retention Time, min | m/z | Δm/z, ppm |
|---|---|---|---|---|---|
| Isoeugenol | 3a | [C18H27N2O2]+ | 6.12 | 303.2071 | 1.3 |
| 3b | [C18H25N2O2]+ | 6.13 | 301.1896 | 5.0 | |
| Eugenol | 3a | [C18H27N2O2]+ | 6.12 | 303.2058 | 3.0 |
| 3b | [C18H25N2O2]+ | 6.13 | 301.1907 | 1.3 |
Disclaimer/Publisher’s Note: The statements, opinions and data contained in all publications are solely those of the individual author(s) and contributor(s) and not of MDPI and/or the editor(s). MDPI and/or the editor(s) disclaim responsibility for any injury to people or property resulting from any ideas, methods, instructions or products referred to in the content. |
© 2024 by the authors. Licensee MDPI, Basel, Switzerland. This article is an open access article distributed under the terms and conditions of the Creative Commons Attribution (CC BY) license (https://creativecommons.org/licenses/by/4.0/).
Share and Cite
Belesov, A.V.; Mazur, D.M.; Faleva, A.V.; Varsegov, I.S.; Pikovskoi, I.I.; Ulyanovskii, N.V.; Kosyakov, D.S. 1-Butyl-3-methylimidazolium-Based Ionic Liquid in Biomass Fractionation—Green Solvent or Active Reagent Toward Lignin Compounds? Int. J. Mol. Sci. 2024, 25, 12623. https://doi.org/10.3390/ijms252312623
Belesov AV, Mazur DM, Faleva AV, Varsegov IS, Pikovskoi II, Ulyanovskii NV, Kosyakov DS. 1-Butyl-3-methylimidazolium-Based Ionic Liquid in Biomass Fractionation—Green Solvent or Active Reagent Toward Lignin Compounds? International Journal of Molecular Sciences. 2024; 25(23):12623. https://doi.org/10.3390/ijms252312623
Chicago/Turabian StyleBelesov, Artyom V., Dmitrii M. Mazur, Anna V. Faleva, Ilya S. Varsegov, Ilya I. Pikovskoi, Nikolay V. Ulyanovskii, and Dmitry S. Kosyakov. 2024. "1-Butyl-3-methylimidazolium-Based Ionic Liquid in Biomass Fractionation—Green Solvent or Active Reagent Toward Lignin Compounds?" International Journal of Molecular Sciences 25, no. 23: 12623. https://doi.org/10.3390/ijms252312623
APA StyleBelesov, A. V., Mazur, D. M., Faleva, A. V., Varsegov, I. S., Pikovskoi, I. I., Ulyanovskii, N. V., & Kosyakov, D. S. (2024). 1-Butyl-3-methylimidazolium-Based Ionic Liquid in Biomass Fractionation—Green Solvent or Active Reagent Toward Lignin Compounds? International Journal of Molecular Sciences, 25(23), 12623. https://doi.org/10.3390/ijms252312623

