Evaluation of Three Mutations in Codon 385 of Glucose-6-Phosphate Dehydrogenase via Biochemical and In Silico Analysis
Abstract
1. Introduction
2. Results and Discussion
2.1. Construction and Expression of Recombinant G6PD Variants
2.2. Purification of Recombinant G6PD Variants
2.3. Kinetic Analysis
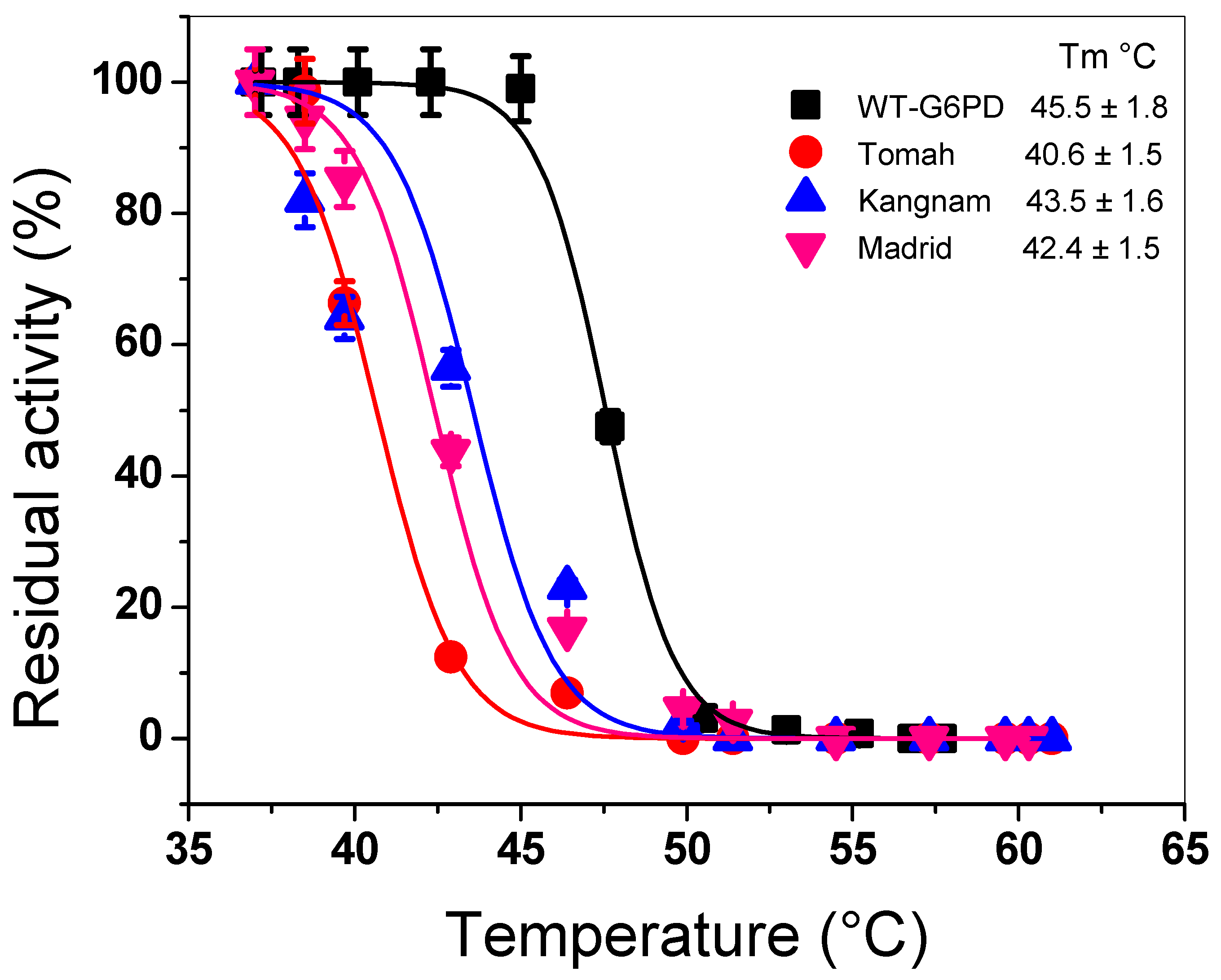
2.4. Thermal Inactivation Analysis
2.5. In Silico Analysis
2.6. Use of In Silico Approaches to Mine Structural Information on the Effects of the G6PD Variants
2.6.1. Molecular Dynamics Calculations of Dimeric G6PD Variants
2.6.2. Evaluation of Binding and Unbinding of G6PD Dimer Assembly with Metadynamics Simulations
3. Materials and Methods
3.1. Construction, Expression, and Purification of Recombinant G6PD Variants
3.2. Determination of Steady-State Kinetic Parameters
3.3. Thermal Inactivation Analysis
3.4. Analysis of In Silico and Site-Directed Mutagenesis
3.5. Enhanced Molecular Dynamics Calculations
3.6. Metadynamics Simulations
4. Conclusions
Supplementary Materials
Author Contributions
Funding
Institutional Review Board Statement
Informed Consent Statement
Data Availability Statement
Acknowledgments
Conflicts of Interest
References
- Wakao, S.; Andre, C.; Benning, C. Functional Analyses of Cytosolic Glucose-6-Phosphate Dehydrogenases and Their Contribution to Seed Oil Accumulation in Arabidopsis. Plant Physiol. 2008, 146, 277–288. [Google Scholar] [CrossRef] [PubMed]
- Hauschild, R.; von Schaewen, A. Differential Regulation of Glucose-6-Phosphate Dehydrogenase Isoenzyme Activities in Potato. Plant Physiol. 2003, 133, 47–62. [Google Scholar] [CrossRef] [PubMed]
- Landi, S.; Nurcato, R.; De Lillo, A.; Lentini, M.; Grillo, S.; Esposito, S. Glucose-6-phosphate dehydrogenase plays a central role in the response of tomato (Solanum lycopersicum) plants to short and long-term drought. Plant Physiol. Biochem. 2016, 105, 79–89. [Google Scholar] [CrossRef] [PubMed]
- Cortés-Morales, Y.Y.; Vanoye-Carlo, A.; Castillo-Rodríguez, R.A.; Serrano-Posada, H.; González-Valdez, A.; Ortega-Cuellar, D.; Hernández-Ochoa, B.; Moreno-Vargas, L.M.; Prada-Gracia, D.; Sierra-Palacios, E.; et al. Cloning and biochemical characterization of three glucose 6 phosphate dehydrogenase mutants presents in the Mexican population. Int. J. Biol. Macromol. 2018, 119, 926–936. [Google Scholar] [CrossRef]
- Gómez-Manzo, S.; Terrón-Hernández, J.; de la Mora-de la Mora, I.; González-Valdez, A.; Marcial-Quino, J.; García-Torres, I.; Vanoye-Carlo, A.; López-Velázquez, G.; Hernández-Alcántara, G.; Oria-Hernández, J.; et al. The Stability of G6PD Is Affected by Mutations with Different Clinical Phenotypes. Int. J. Mol. Sci. 2014, 15, 21179–21201. [Google Scholar] [CrossRef]
- Gómez-Manzo, S.; Marcial-Quino, J.; Vanoye-Carlo, A.; Serrano-Posada, H.; González-Valdez, A.; Martínez-Rosas, V.; Hernández-Ochoa, B.; Sierra-Palacios, E.; Castillo-Rodríguez, R.A.; Cuevas-Cruz, M.; et al. Functional and Biochemical Characterization of Three Recombinant Human Glucose-6-Phosphate Dehydrogenase Mutants: Zacatecas, Vanua-Lava and Viangchan. Int. J. Mol. Sci. 2016, 17, 787. [Google Scholar] [CrossRef]
- Alatorre-Salas, M.A.; González-Bizarro, J.I.; López-Venegas, I.F.; Rojo-Contreras, W. Deficiencia de glucosa-6-fosfato-deshidrogenasa. Sal. Jal. 2017, 4, 178–184. [Google Scholar]
- Howes, R.E.; Battle, K.E.; Satyagraha, A.W.; Baird, J.K.; Hay, S.I. Chapter Four—G6PD Deficiency: Global Distribution, Genetic Variants and Primaquine Therapy. Adv. Parasitol. 2013, 81, 133–201. [Google Scholar] [CrossRef]
- García-Magallanes, N.; Luque-Ortega, F.; Aguilar-Medina, E.M.; Ramos-Payán, R.; Galaviz-Hernández, C.; Romero-Quintana, J.G.; del Pozo-Yauner, L.; Rangel-Villalobos, H.; Arámbula-Meraz, E. Glucose-6-phosphate dehydrogenase deficiency in northern Mexico and description of a novel mutation. J. Genet. 2014, 93, 325–330. [Google Scholar] [CrossRef]
- Boonyuen, U.; Chamchoy, K.; Swangsri, T.; Junkree, T.; Day, N.P.; White, N.J.; Imwong, M. A trade off between catalytic activity and protein stability determines the clinical manifestations of glucose-6-phosphate dehydrogenase (G6PD) deficiency. Int. J. Biol. Macromol. 2017, 104, 145–156. [Google Scholar] [CrossRef]
- Minucci, A.; Moradkhani, K.; Hwang, M.J.; Zuppi, C.; Giardina, B.; Capoluongo, E. Glucose-6-phosphate dehydrogenase (G6PD) mutations database: Review of the “old” and update of the new mutations. Blood Cells, Mol. Dis. 2012, 48, 154–165. [Google Scholar] [CrossRef] [PubMed]
- Gómez-Manzo, S.; Marcial-Quino, J.; Vanoye-Carlo, A.; Serrano-Posada, H.; Ortega-Cuellar, D.; González-Valdez, A.; Castillo-Rodríguez, R.A.; Hernández-Ochoa, B.; Sierra-Palacios, E.; Rodríguez-Bustamante, E.; et al. Glucose-6-Phosphate Dehydrogenase: Update and Analysis of New Mutations around the World. Int. J. Mol. Sci. 2016, 17, 2069. [Google Scholar] [CrossRef] [PubMed]
- Luzzatto, L.; Ally, M.; Notaro, R. Glucose-6-phosphate dehydrogenase deficiency. Blood 2020, 136, 1225–1240. [Google Scholar] [CrossRef] [PubMed]
- Rovira, A.; Vulliamy, T.; Pujades, M.A.; Luzzatto, L.; Vives, J.L. Molecular genetics of glucose-6-phosphate dehydrogenase (G6PD) deficiency in Spain: Identification of two new point mutations in the G6PD gene. Br. J. Haematol. 1995, 91, 66–71. [Google Scholar] [CrossRef] [PubMed]
- Lee, J.; Park, J.; Choi, H.; Kim, J.; Kwon, A.; Jang, W.; Chae, H.; Kim, M.; Kim, Y.; Lee, J.W.; et al. Genetic Profiles of Korean Patients with Glucose-6-Phosphate Dehydrogenase Deficiency. Ann. Lab. Med. 2017, 37, 108–116. [Google Scholar] [CrossRef]
- Luzzatto, L.; Bancone, G.; Dugué, P.-A.; Jiang, W.; Minucci, A.; Nannelli, C.; Pfeffer, D.; Prchal, J.; Sirdah, M.; Sodeinde, O.; et al. New WHO classification of genetic variants causing G6PD deficiency. Bull. World Heal. Organ. 2024, 102, 615–617. [Google Scholar] [CrossRef]
- Zarza, R.; Pujades, A.; Rovira, A.; Saavedra, R.; Fernandez, J.; Aymerich, M.; Corrons, J.L.V. Two new mutations of the glucose-6-phospate dehydrogenase (G6PD) gene associated with haemolytic anaemia: Clinical, biochemical and molecular relationships. Br. J. Haematol. 1997, 98, 578–582. [Google Scholar] [CrossRef]
- Gómez-Manzo, S.; Marcial-Quino, J.; Vanoye-Carlo, A.; Enríquez-Flores, S.; De la Mora-De la Mora, I.; González-Valdez, A.; García-Torres, I.; Martínez-Rosas, V.; Sierra-Palacios, E.; Lazcano-Pérez, F.; et al. Mutations of Glucose-6-Phosphate Dehydrogenase Durham, Santa-Maria and A+ Variants Are Associated with Loss Functional and Structural Stability of the Protein. Int. J. Mol. Sci. 2015, 16, 28657–28668. [Google Scholar] [CrossRef]
- Ramírez-Nava, E.J.; Ortega-Cuellar, D.; Serrano-Posada, H.; González-Valdez, A.; Vanoye-Carlo, A.; Hernández-Ochoa, B.; Sierra-Palacios, E.; Hernández-Pineda, J.; Rodríguez-Bustamante, E.; Arreguin-Espinosa, R.; et al. Biochemical Analysis of Two Single Mutants that Give Rise to a Polymorphic G6PD A-Double Mutant. Int. J. Mol. Sci. 2017, 18, 2244. [Google Scholar] [CrossRef]
- Martínez-Rosas, V.; Juárez-Cruz, M.V.; Ramírez-Nava, E.J.; Hernández-Ochoa, B.; Morales-Luna, L.; González-Valdez, A.; Serrano-Posada, H.; Cárdenas-Rodríguez, N.; Ortiz-Ramírez, P.; Centeno-Leija, S.; et al. Effects of Single and Double Mutants in Human Glucose-6-Phosphate Dehydrogenase Variants Present in the Mexican Population: Biochemical and Structural Analysis. Int. J. Mol. Sci. 2020, 21, 2732. [Google Scholar] [CrossRef]
- Alcántara-Ortigoza, M.A.; Hernández-Ochoa, B.; Angel, A.G.-D.; Ibarra-González, I.; Belmont-Martínez, L.; Gómez-Manzo, S.; Vela-Amieva, M. Functional characterization of the p. (Gln195His) or Tainan and novel p. (Ser184Cys) or Toluca glucose-6-phosphate dehydrogenase (G6PD) gene natural variants identified through Mexican newborn screening for glucose-6-phosphatedehydrogenase deficiency. Clin. Biochem. 2022, 109–110, 64–73. [Google Scholar] [CrossRef] [PubMed]
- Praoparotai, A.; Junkree, T.; Imwong, M.; Boonyuen, U. Functional and structural analysis of double and triple mutants reveals the contribution of protein instability to clinical manifestations of G6PD variants. Int. J. Biol. Macromol. 2020, 158, 884–893. [Google Scholar] [CrossRef] [PubMed]
- Hernández-Ochoa, B.; Ortega-Cuellar, D.; González-Valdez, A.; Martínez-Rosas, V.; Morales-Luna, L.; Rojas-Alarcón, M.A.; Vázquez-Bautista, M.; Arreguin-Espinosa, R.; Pérez de la Cruz, V.; Castillo-Rodríguez, R.A.; et al. An Overall View of the Functional and Structural Characterization of Glucose-6-Phosphate Dehydrogenase Variants in the Mexican Population. Int. J. Mol. Sci. 2023, 24, 12691. [Google Scholar] [CrossRef] [PubMed]
- Wang, X.-T.; Lam, V.M.; Engel, P.C. Functional properties of two mutants of human glucose 6-phosphate dehydrogenase, R393G and R393H, corresponding to the clinical variants G6PD Wisconsin and Nashville. Biochim. Biophys. Acta (BBA)—Mol. Basis Dis. 2006, 1762, 767–774. [Google Scholar] [CrossRef] [PubMed]
- Wang, X.-T.; Engel, P.C. Clinical mutants of human glucose 6-phosphate dehydrogenase: Impairment of NADP+ binding affects both folding and stability. Biochim. Biophys. Acta (BBA)—Mol. Basis Dis. 2009, 1792, 804–809. [Google Scholar] [CrossRef]
- Alakbaree, M.; Abdulsalam, A.H.; Ahmed, H.H.; Ali, F.H.; Al-Hili, A.; Omar, M.S.S.; Alonazi, M.; Jamalis, J.; Ab Latif, N.; Hamza, M.A.; et al. A computational study of structural analysis of Class I human glucose-6-phosphate dehydrogenase (G6PD) variants: Elaborating the correlation to chronic non-spherocytic hemolytic anemia (CNSHA). Comput. Biol. Chem. 2023, 104, 107873. [Google Scholar] [CrossRef]
- Garcia, A.A.; Mathews, I.I.; Horikoshi, N.; Matsui, T.; Kaur, M.; Wakatsuki, S.; Mochly-Rosen, D. Stabilization of glucose-6-phosphate dehydrogenase oligomers enhances catalytic activity and stability of clinical variants. J. Biol. Chem. 2022, 298, 101610. [Google Scholar] [CrossRef]
- Beutler, E. Glucose-6-phosphate dehydrogenase deficiency: A historical perspective. Blood 2008, 111, 16–24. [Google Scholar] [CrossRef]
- Bernhofer, M.; Dallago, C.; Karl, T.; Satagopam, V.; Heinzinger, M.; Littmann, M.; Olenyi, T.; Qiu, J.; Schütze, K.; Yachdav, G.; et al. PredictProtein—Predicting Protein Structure and Function for 29 Years. Nucleic Acids Res. 2021, 49, W535–W540. [Google Scholar] [CrossRef]
- Alakbaree, M.; Amran, S.; Shamsir, M.; Ahmed, H.; Hamza, M.; Alonazi, M.; Warsy, A.; Ab Latif, N. Construction of a complete human glucose-6-phosphate dehydrogenase dimer structure bound to glucose-6-phosphate and nicotinamide adenine dinucleotide phosphate cofactors using molecular docking approach. In Proceedings of the 1st Samarra International Conference for Pure and Applied Sciences, Samarra, Iraq, 23–24 March 2021; AIP: Melville, NY, USA, 2021; p. 030006. [Google Scholar]
- Pejaver, V.; Urresti, J.; Lugo-Martinez, J.; Pagel, K.A.; Lin, G.N.; Nam, H.-J.; Mort, M.; Cooper, D.N.; Sebat, J.; Iakoucheva, L.M.; et al. Inferring the molecular and phenotypic impact of amino acid variants with MutPred2. Nat. Commun. 2020, 11, 5918. [Google Scholar] [CrossRef]
- Mahlich, Y.; Steinegger, M.; Rost, B.; Bromberg, Y. HFSP: High speed homology-driven function annotation of proteins. Bioinformatics 2018, 34, i304–i312. [Google Scholar] [CrossRef] [PubMed]
- Gerasimavicius, L.; Liu, X.; Marsh, J.A. Identification of pathogenic missense mutations using protein stability predictors. Sci. Rep. 2020, 10, 15387. [Google Scholar] [CrossRef]
- Olenyi, T.; Marquet, C.; Heinzinger, M.; Kröger, B.; Nikolova, T.; Bernhofer, M.; Sändig, P.; Schütze, K.; Littmann, M.; Mirdita, M.; et al. LambdaPP: Fast and accessible protein-specific phenotype predictions. Protein Sci. 2023, 32, e4524. [Google Scholar] [CrossRef] [PubMed]
- Jumper, J.; Evans, R.; Pritzel, A.; Green, T.; Figurnov, M.; Ronneberger, O.; Tunyasuvunakool, K.; Bates, R.; Žídek, A.; Potapenko, A.; et al. Highly accurate protein structure prediction with AlphaFold. Nature 2021, 596, 583–589. [Google Scholar] [CrossRef] [PubMed]
- Pak, M.A.; Markhieva, K.A.; Novikova, M.S.; Petrov, D.S.; Vorobyev, I.S.; Maksimova, E.S.; Kondrashov, F.A.; Ivankov, D.N. Using AlphaFold to predict the impact of single mutations on protein stability and function. PLoS ONE 2023, 18, e0282689. [Google Scholar] [CrossRef] [PubMed]
- Karakoyun, H.K.; Yüksel, K.; Amanoglu, I.; Naserikhojasteh, L.; Yeşilyurt, A.; Yakıcıer, C.; Timuçin, E.; Akyerli, C.B. Evaluation of AlphaFold structure-based protein stability prediction on missense variations in cancer. Front. Genet. 2023, 14, 1052383. [Google Scholar] [CrossRef]
- Horikoshi, N.; Hwang, S.; Gati, C.; Matsui, T.; Castillo-Orellana, C.; Raub, A.G.; Garcia, A.A.; Jabbarpour, F.; Batyuk, A.; Broweleit, J.; et al. Long-range structural defects by pathogenic mutations in most severe glucose-6-phosphate dehydrogenase deficiency. Proc. Natl. Acad. Sci. USA 2021, 118, e2022790118. [Google Scholar] [CrossRef]
- Richards, S.; Aziz, N.; Bale, S.; Bick, D.; Das, S.; Gastier-Foster, J.; Grody, W.W.; Hegde, M.; Lyon, E.; Spector, E.; et al. Standards and guidelines for the interpretation of sequence variants: A joint consensus recommendation of the American College of Medical Genetics and Genomics and the Association for Molecular Pathology. Genet. Med. 2015, 17, 405–424. [Google Scholar] [CrossRef]
- Adzhubei, I.A.; Schmidt, S.; Peshkin, L.; Ramensky, V.E.; Gerasimova, A.; Bork, P.; Kondrashov, A.S.; Sunyaev, S.R. A method and server for predicting damaging missense mutations. Nat. Methods 2010, 7, 248–249. [Google Scholar] [CrossRef]
- Tavtigian, S.V.; Deffenbaugh, A.M.; Yin, L.; Judkins, T.; Scholl, T.; Samollow, P.B.; de Silva, D.; Zharkikh, A.; Thomas, A. Comprehensive statistical study of 452 BRCA1 missense substitutions with classification of eight recurrent substitutions as neutral. J. Med. Genet. 2006, 43, 295–305. [Google Scholar] [CrossRef]
- Mathe, E.; Olivier, M.; Kato, S.; Ishioka, C.; Hainaut, P.; Tavtigian, S.V. Computational approaches for predicting the biological effect of p53 missense mutations: A comparison of three sequence analysis based methods. Nucleic Acids Res. 2006, 34, 1317–1325. [Google Scholar] [CrossRef] [PubMed]
- Zhou, Y.; Pan, Q.; Pires, D.E.V.; Rodrigues, C.H.M.; Ascher, D.B. DDMut: Predicting effects of mutations on protein stability using deep learning. Nucleic Acids Res. 2023, 51, W122–W128. [Google Scholar] [CrossRef] [PubMed]
- Hamza, M.A. Determination of structural stability and catalytic activity of G6PD variants using molecular dynamic simulation (MDS) approach. FASEB J. 2020, 34, 1. [Google Scholar] [CrossRef]
- Saddala, M.S.; Lennikov, A.; Huang, H. Discovery of Small-Molecule Activators for Glucose-6-Phosphate Dehydrogenase (G6PD) Using Machine Learning Approaches. Int. J. Mol. Sci. 2020, 21, 1523. [Google Scholar] [CrossRef] [PubMed]
- Rueangweerayut, R.; Bancone, G.; Harrell, E.J.; Beelen, A.P.; Kongpatanakul, S.; Möhrle, J.J.; Rousell, V.; Mohamed, K.; Qureshi, A.; Narayan, S.; et al. Hemolytic Potential of Tafenoquine in Female Volunteers Heterozygous for Glucose-6-Phosphate Dehydrogenase (G6PD) Deficiency (G6PD Mahidol Variant) versus G6PD-Normal Volunteers. Am. J. Trop. Med. Hyg. 2017, 97, 702–711. [Google Scholar] [CrossRef]
- Rovira, A.; De Angioletti, M.; Camacho-Vanegas, O.; Liu, D.; Rosti, V.; Gallardo, H.F.; Notaro, R.; Sadelain, M.; Luzzatto, L. Stable in vivo expression of glucose-6-phosphate dehydrogenase (G6PD) and rescue of G6PD deficiency in stem cells by gene transfer. Blood 2000, 96, 4111–4117. [Google Scholar] [CrossRef]
- Shi, P.A.; De Angioletti, M.; Donahue, R.E.; Notaro, R.; Luzzatto, L.; Dunbar, C.E. In vivo gene marking of rhesus macaque long-term repopulating hematopoietic cells using a VSV-G pseudotyped versus amphotropic oncoretroviral vector. J. Gene Med. 2004, 6, 367–373. [Google Scholar] [CrossRef]
- Datsenko, K.A.; Wanner, B.L. One-step inactivation of chromosomal genes in Escherichia coli K-12 using PCR products. Proc. Natl. Acad. Sci. USA 2000, 97, 6640–6645. [Google Scholar] [CrossRef]







| Kinetic Constants | WT-G6PD | Variants | ||
|---|---|---|---|---|
| Tomah | Kangnam | Madrid | ||
| Km G6P (µM) | 37.5 ± 1.8 | 64.9 ± 3.2 | 66.2 ± 3.1 | 78.2 ± 3.4 |
| Km NADP+ (µM) | 7.2 ± 0.3 | 13.8 ± 0.6 | 10.3 ± 0.5 | 12.2 ± 0.5 |
| kcat (s−1) | 223 ± 8.9 | 15 ± 0.6 | 0.4 ± 0.01 | 40.5 ± 1.2 |
| kcat/Km G6P (s−1·M−1) | 5.9 × 106 | 0.2 × 106 | 0.006 × 106 | 0.52 × 106 |
| kcat/Km NADP+ (s−1·M−1) | 32.3 × 106 | 1.1 × 106 | 0.04 × 106 | 3.3 × 106 |
| G6PD Variant | Structural NADP+ Binding Pocket Volume (Å3) | Catalytic NADP+ Binding Pocket Volume (Å3) | Structural NADP+ SASA (Å2) | Catalytic NADP+ SASA (Å2) |
|---|---|---|---|---|
| WT | 494.3 | 490.1 | 261.1 | 270.9 |
| Tomah | 497.4 | 500.3 | 289.9 | 278.2 |
| Kangnam | 490.2 | 491.7 | 262.2 | 261.3 |
| Madrid | 505.6 | 507.2 | 288.3 | 285.7 |
| G6PD Variant | ΔGbound | ΔGunbound | ΔΔG |
|---|---|---|---|
| WT | −2867.57 ± 173.23 | −1796.98 ± 122.95 | −1070.59 |
| Tomah (C385R) | −1574.32 ± 79.56 | −1083.38 ± 101.33 | −490.94 |
| Kangnam (C385G) | −1420.67 ± 123.43 | −1312.59 ± 102.94 | −108.08 |
| Madrid (C385W) | −1556.81 ± 92.30 | −853.04 ± 67.90 | −703.77 |
| Mutant | Mutagenic Oligonucleotide Sequence | Reference |
|---|---|---|
| Tomah | Fw: 5′-CACCAGCAGCGCAAGCGCAA-3′ | This study |
| Rv: 5′-TTGCGCTTGCGCTGCTGGTG-3′ | ||
| Kangnam | Fw: 5′-CACCAGCAGGGCAAGCGCAA-3′ | This study |
| Rv: 5′-TTGCGCTTGCGCTGCTGGTG-3′ | ||
| Madrid | Fw: 5′-CACCAGCAGTGGAAGCGCAA-3′ | This study |
| Rv: 5′-TTGCGCTTCCACTGCTGGTG-3′ | ||
| Strains | Genetic Characteristics | Reference |
| E. coli TOP-10 | F−, DE(araD-araB)567, lacZ4787(del)::rrnB-3, LAM−, rph-1, DE(rhaD-rhaB)568, hsdR514 | [49] |
| E. coli BL21(DE3)Δzwf::kanr | F− ompT gal dcm lon hsdSB(r− m−) λ(DE3 [lacI lacUV5-T7 gene 1 ind1 sam7 nin5]) Δzwf-777::kan | [5] |
Disclaimer/Publisher’s Note: The statements, opinions and data contained in all publications are solely those of the individual author(s) and contributor(s) and not of MDPI and/or the editor(s). MDPI and/or the editor(s) disclaim responsibility for any injury to people or property resulting from any ideas, methods, instructions or products referred to in the content. |
© 2024 by the authors. Licensee MDPI, Basel, Switzerland. This article is an open access article distributed under the terms and conditions of the Creative Commons Attribution (CC BY) license (https://creativecommons.org/licenses/by/4.0/).
Share and Cite
Gálvez-Ramírez, A.; González-Valdez, A.; Hernández-Ochoa, B.; Canseco-Ávila, L.M.; López-Roblero, A.; Arreguin-Espinosa, R.; Pérez de la Cruz, V.; Hernández-Urzua, E.; Cárdenas-Rodríguez, N.; Enríquez-Flores, S.; et al. Evaluation of Three Mutations in Codon 385 of Glucose-6-Phosphate Dehydrogenase via Biochemical and In Silico Analysis. Int. J. Mol. Sci. 2024, 25, 12556. https://doi.org/10.3390/ijms252312556
Gálvez-Ramírez A, González-Valdez A, Hernández-Ochoa B, Canseco-Ávila LM, López-Roblero A, Arreguin-Espinosa R, Pérez de la Cruz V, Hernández-Urzua E, Cárdenas-Rodríguez N, Enríquez-Flores S, et al. Evaluation of Three Mutations in Codon 385 of Glucose-6-Phosphate Dehydrogenase via Biochemical and In Silico Analysis. International Journal of Molecular Sciences. 2024; 25(23):12556. https://doi.org/10.3390/ijms252312556
Chicago/Turabian StyleGálvez-Ramírez, Adriana, Abigail González-Valdez, Beatriz Hernández-Ochoa, Luis Miguel Canseco-Ávila, Alexander López-Roblero, Roberto Arreguin-Espinosa, Verónica Pérez de la Cruz, Elizabeth Hernández-Urzua, Noemi Cárdenas-Rodríguez, Sergio Enríquez-Flores, and et al. 2024. "Evaluation of Three Mutations in Codon 385 of Glucose-6-Phosphate Dehydrogenase via Biochemical and In Silico Analysis" International Journal of Molecular Sciences 25, no. 23: 12556. https://doi.org/10.3390/ijms252312556
APA StyleGálvez-Ramírez, A., González-Valdez, A., Hernández-Ochoa, B., Canseco-Ávila, L. M., López-Roblero, A., Arreguin-Espinosa, R., Pérez de la Cruz, V., Hernández-Urzua, E., Cárdenas-Rodríguez, N., Enríquez-Flores, S., De la Mora-De la Mora, I., Vidal-Limon, A., & Gómez-Manzo, S. (2024). Evaluation of Three Mutations in Codon 385 of Glucose-6-Phosphate Dehydrogenase via Biochemical and In Silico Analysis. International Journal of Molecular Sciences, 25(23), 12556. https://doi.org/10.3390/ijms252312556

