Modulation of miR-29a and miR-29b Expression and Their Target Genes Related to Inflammation and Renal Fibrosis by an Oral Nutritional Supplement with Probiotics in Malnourished Hemodialysis Patients
Abstract
1. Introduction
2. Results
2.1. Circulating miRNAs’ Expression Levels before and after Intervention
2.2. In Silico Identification of Predicted and Validated miR-29a and miR-29b Target Genes
2.3. Gene Expression Levels from Human Blood before and after Intervention
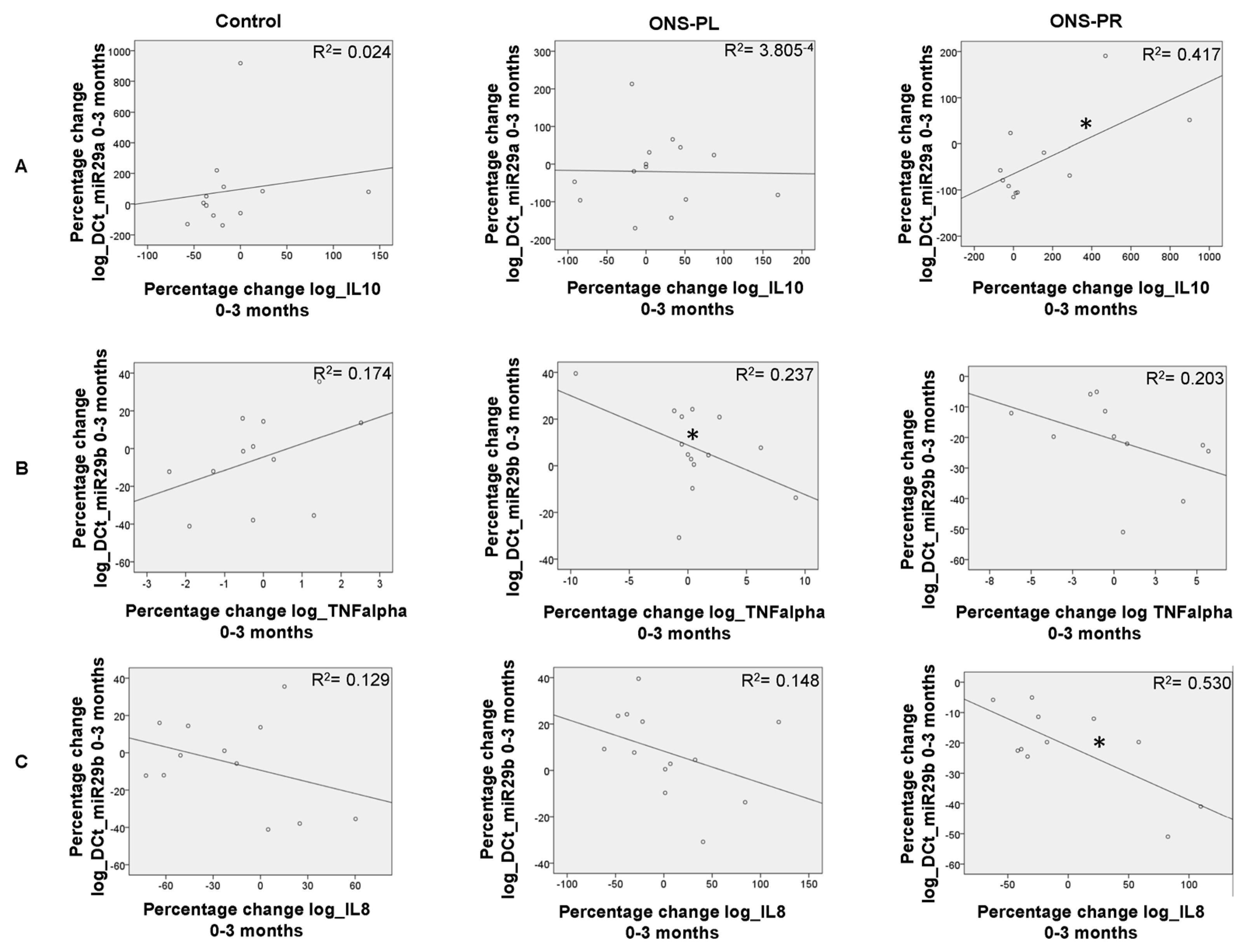
2.4. Correlations between miRNA Levels with Serum Biomarkers and Expression Levels of Target Genes
3. Discussion
4. Materials and Methods
4.1. Design
4.2. Outcomes
4.3. miRNA and RNA Extraction
4.4. RT-qPCR
4.5. In Silico Identification of Predicted and Validated miRNA Target Genes
4.6. Biomarkers
4.7. Statistical Analysis
5. Conclusions
Author Contributions
Funding
Institutional Review Board Statement
Informed Consent Statement
Data Availability Statement
Acknowledgments
Conflicts of Interest
References
- Ikizler, T.A.; Burrowes, J.D.; Byham-Gray, L.D.; Campbell, K.L.; Carrero, J.J.; Chan, W.; Fouque, D.; Friedman, A.N.; Ghaddar, S.; Goldstein-Fuchs, D.J.; et al. KDOQI Clinical Practice Guideline for Nutrition in CKD: 2020 Update. Am. J. Kidney Dis. 2020, 76, S1–S107. [Google Scholar] [CrossRef] [PubMed]
- Hevilla, F.; Padial, M.; Blanca, M.; Barril, G.; Jiménez-Salcedo, T.; Ramirez-Ortiz, M.; Nogueira, Á.; Gentile, A.; García-Escobar, E.; Romero-Zerbo, S.Y.; et al. Effect on Nutritional Status and Biomarkers of Inflammation and Oxidation of an Oral Nutritional Supplement (with or without Probiotics) in Malnourished Hemodialysis Patients. A Multicenter Randomized Clinical Trial “Renacare Trial”. Front. Nutr. 2023, 10, 1107869. [Google Scholar] [CrossRef] [PubMed]
- Lv, W.; Fan, F.; Wang, Y.; Gonzalez-Fernandez, E.; Wang, C.; Yang, L.; Booz, G.W.; Roman, R.J. Therapeutic Potential of MicroRNAs for the Treatment of Renal Fibrosis and CKD. Physiol. Genom. 2018, 50, 20–34. [Google Scholar] [CrossRef] [PubMed]
- O’Brien, J.; Hayder, H.; Zayed, Y.; Peng, C. Overview of MicroRNA Biogenesis, Mechanisms of Actions, and Circulation. Front. Endocrinol. 2018, 9, 402. [Google Scholar] [CrossRef]
- Mompeón, A.; Ortega-Paz, L.; Vidal-Gómez, X.; Costa, T.J.; Pérez-Cremades, D.; Garcia-Blas, S.; Brugaletta, S.; Sanchis, J.; Sabate, M.; Novella, S.; et al. Disparate MiRNA Expression in Serum and Plasma of Patients with Acute Myocardial Infarction: A Systematic and Paired Comparative Analysis. Sci. Rep. 2020, 10, 5373. [Google Scholar] [CrossRef] [PubMed]
- Carmona, A.; Guerrero, F.; Jimenez, M.J.; Ariza, F.; Agüera, M.L.; Obrero, T.; Noci, V.; Muñoz-Castañeda, J.R.; Rodríguez, M.; Soriano, S.; et al. Inflammation, Senescence and MicroRNAs in Chronic Kidney Disease. Front. Cell Dev. Biol. 2020, 8, 739. [Google Scholar] [CrossRef]
- Yu, J.; Yu, C.; Feng, B.; Zhan, X.; Luo, N.; Yu, X.; Zhou, Q. Intrarenal MicroRNA Signature Related to the Fibrosis Process in Chronic Kidney Disease: Identification and Functional Validation of Key MiRNAs. BMC Nephrol. 2019, 20, 336. [Google Scholar] [CrossRef] [PubMed]
- Izzotti, A.; Cartiglia, C.; Steele, V.E.; De Flora, S. MicroRNAs as Targets for Dietary and Pharmacological Inhibitors of Mutagenesis and Carcinogenesis. Mutat. Res./Rev. Mutat. Res. 2012, 751, 287–303. [Google Scholar] [CrossRef]
- Quintanilha, B.J.; Reis, B.Z.; Silva Duarte, G.B.; Cozzolino, S.M.F.; Rogero, M.M. Nutrimiromics: Role of MicroRNAs and Nutrition in Modulating Inflammation and Chronic Diseases. Nutrients 2017, 9, 1168. [Google Scholar] [CrossRef]
- Belcheva, A. MicroRNAs at the Epicenter of Intestinal Homeostasis. BioEssays 2017, 39, 1600200. [Google Scholar] [CrossRef]
- Martino, F.; Lorenzen, J.; Schmidt, J.; Schmidt, M.; Broll, M.; Görzig, Y.; Kielstein, J.T.; Thum, T. Circulating MicroRNAs Are Not Eliminated by Hemodialysis. PLoS ONE 2012, 7, e38269. [Google Scholar] [CrossRef] [PubMed]
- Wang, H.; Peng, W.; Shen, X.; Huang, Y.; Ouyang, X.; Dai, Y. Circulating Levels of Inflammation-Associated MiR-155 and Endothelial-Enriched MiR-126 in Patients with End-Stage Renal Disease. Braz. J. Med. Biol. Res. 2012, 45, 1308. [Google Scholar] [CrossRef] [PubMed]
- Gomez, I.G.; Nakagawa, N.; Duffield, J.S. MicroRNAs as Novel Therapeutic Targets to Treat Kidney Injury and Fibrosis. Am. J. Physiol. Ren. Physiol. 2016, 310, F931–F944. [Google Scholar] [CrossRef]
- Zununi Vahed, S.; Poursadegh Zonouzi, A.; Ghanbarian, H.; Ghojazadeh, M.; Samadi, N.; Omidi, Y.; Ardalan, M. Differential Expression of Circulating MiR-21, MiR-142-3p and MiR-155 in Renal Transplant Recipients with Impaired Graft Function. Int. Urol. Nephrol. 2017, 49, 1681–1689. [Google Scholar] [CrossRef] [PubMed]
- Dooley, J.; Garcia-Perez, J.E.; Sreenivasan, J.; Schlenner, S.M.; Vangoitsenhoven, R.; Papadopoulou, A.S.; Tian, L.; Schonefeldt, S.; Serneels, L.; Deroose, C.; et al. The MicroRNA-29 Family Dictates the Balance Between Homeostatic and Pathological Glucose Handling in Diabetes and Obesity. Diabetes 2016, 65, 53–61. [Google Scholar] [CrossRef]
- Wang, B.; Komers, R.; Carew, R.; Winbanks, C.E.; Xu, B.; Herman-Edelstein, M.; Koh, P.; Thomas, M.; Jandeleit-Dahm, K.; Gregorevic, P.; et al. Suppression of MicroRNA-29 Expression by TGF-Β1 Promotes Collagen Expression and Renal Fibrosis. J. Am. Soc. Nephrol. 2012, 23, 252–265. [Google Scholar] [CrossRef]
- Wang, H.; Wang, B.; Zhang, A.; Hassounah, F.; Seow, Y.; Wood, M.; Ma, F.; Klein, J.D.; Price, S.R.; Wang, X.H. Exosome-Mediated MiR-29 Transfer Reduces Muscle Atrophy and Kidney Fibrosis in Mice. Mol. Ther. 2019, 27, 571–583. [Google Scholar] [CrossRef]
- Brigant, B.; Metzinger-Le Meuth, V.; Massy, Z.A.; McKay, A.; Liabeuf, S.; Pelletier, M.; Sallée, M.; M’Baya-Moutoula, L.; Paul, P.; Drueke, T.B.; et al. Serum MicroRNAs Are Altered in Various Stages of Chronic Kidney Disease: A Preliminary Study. Clin. Kidney J. 2017, 10, 30–37. [Google Scholar] [CrossRef]
- Pivarcsi, A.; Meisgen, F.; Xu, N.; Sonkoly, E. Changes in the Level of Serum MicroRNAs in Patients with Psoriasis after Antitumour Necrosis Factor-α Therapy. Br. J. Dermatol. 2013, 169, 563–570. [Google Scholar] [CrossRef]
- Xu, L.-L.; Shi, C.-M.; Xu, G.-F.; Chen, L.; Zhu, L.-L.; Zhu, L.; Guo, X.-R.; Xu, M.-Y.; Ji, C.-B. TNF-α, IL-6, and Leptin Increase the Expression of MiR-378, an Adipogenesis-Related MicroRNA in Human Adipocytes. Cell Biochem. Biophys. 2014, 70, 771–776. [Google Scholar] [CrossRef]
- Peters, L.J.F.; Floege, J.; Biessen, E.A.L.; Jankowski, J.; van der Vorst, E.P.C. MicroRNAs in Chronic Kidney Disease: Four Candidates for Clinical Application. Int. J. Mol. Sci. 2020, 21, 6547. [Google Scholar] [CrossRef]
- Motshwari, D.D.; Matshazi, D.M.; Erasmus, R.T.; Kengne, A.P.; Matsha, T.E.; George, C. MicroRNAs Associated with Chronic Kidney Disease in the General Population and High-Risk Subgroups—A Systematic Review. Int. J. Mol. Sci. 2023, 24, 1792. [Google Scholar] [CrossRef] [PubMed]
- Giardina, S.; Hernández-Alonso, P.; Díaz-López, A.; Salas-Huetos, A.; Salas-Salvadó, J.; Bulló, M. Changes in Circulating MiRNAs in Healthy Overweight and Obese Subjects: Effect of Diet Composition and Weight Loss. Clin. Nutr. 2019, 38, 438–443. [Google Scholar] [CrossRef]
- Yu, Y.; Zhang, J.; Wang, J.; Sun, B. MicroRNAs: The Novel Mediators for Nutrient-Modulating Biological Functions. Trends Food Sci. Technol. 2021, 114, 167–175. [Google Scholar] [CrossRef]
- Gondaliya, P.; Jash, K.; Srivastava, A.; Kalia, K. MiR-29b Modulates DNA Methylation in Promoter Region of MiR-130b in Mouse Model of Diabetic Nephropathy. J. Diabetes Metab. Disord. 2023, 22, 1105–1115. [Google Scholar] [CrossRef]
- Deng, L.; Huang, Y.; Li, L.; Chen, H.; Su, J. Serum MiR-29a/b Expression in Gestational Diabetes Mellitus and Its Influence on Prognosis Evaluation. J. Int. Med. Res. 2020, 48, 0300060520954763. [Google Scholar] [CrossRef] [PubMed]
- Muluhngwi, P.; Klinge, C.M. Identification and Roles of Mir-29b-1-3p and Mir29a-3p-Regulated and Non-Regulated Lncrnas in Endocrine-Sensitive and Resistant Breast Cancer Cells. Cancers 2021, 13, 3530. [Google Scholar] [CrossRef]
- Horita, M.; Farquharson, C.; Stephen, L.A. The Role of MiR-29 Family in Disease. J. Cell Biochem. 2021, 122, 696–715. [Google Scholar] [CrossRef]
- Hsu, Y.C.; Chang, P.J.; Ho, C.; Huang, Y.T.; Shih, Y.H.; Wang, C.J.; Lin, C.L. Protective Effects of MiR-29a on Diabetic Glomerular Dysfunction by Modulation of DKK1/Wnt/β-Catenin Signaling. Sci. Rep. 2016, 6, 30575. [Google Scholar] [CrossRef]
- Qin, W.; Chung, A.C.K.; Huang, X.R.; Meng, X.M.; Hui, D.S.C.; Yu, C.M.; Sung, J.J.Y.; Lan, H.Y. TGF-β/Smad3 Signaling Promotes Renal Fibrosis by Inhibiting MiR-29. J. Am. Soc. Nephrol. 2011, 22, 1462. [Google Scholar] [CrossRef]
- Drummond, C.A.; Fan, X.; Haller, S.T.; Kennedy, D.J.; Liu, J.; Tian, J. Na/K-ATPase Signaling Mediates MiR-29b-3p Regulation and Cardiac Fibrosis Formation in Mice with Chronic Kidney Disease. PLoS ONE 2018, 13, e0197688. [Google Scholar] [CrossRef] [PubMed]
- Huynh, P.; Chai, Z. Transforming Growth Factor β (TGFβ) and Related Molecules in Chronic Kidney Disease (CKD). Clin. Sci. 2019, 133, 287–313. [Google Scholar] [CrossRef]
- Ruiz-Ortega, M.; Rayego-Mateos, S.; Lamas, S.; Ortiz, A.; Rodrigues-Diez, R.R. Targeting the Progression of Chronic Kidney Disease. Nat. Rev. Nephrol. 2020, 16, 269–288. [Google Scholar] [CrossRef] [PubMed]
- Zhong, L.; Zhao, J.; Huang, L.; Liu, Y.; Pang, X.; Zhan, K.; Li, S.; Xue, Q.; Pan, X.; Deng, L. Runx2 Activates Hepatic Stellate Cells to Promote Liver Fibrosis via Transcriptionally Regulating Itgav Expression. Clin. Transl. Med. 2023, 13, e1316. [Google Scholar] [CrossRef]
- Mümmler, C.; Burgy, O.; Hermann, S.; Mutze, K.; Günther, A.; Königshoff, M. Cell-Specific Expression of Runt-Related Transcription Factor 2 Contributes to Pulmonary Fibrosis. FASEB J. 2018, 32, 703–716. [Google Scholar] [CrossRef] [PubMed]
- Zhou, T.; Luo, M.; Cai, W.; Zhou, S.; Feng, D.; Xu, C.; Wang, H. Runt-Related Transcription Factor 1 (RUNX1) Promotes TGF-β-Induced Renal Tubular Epithelial-to-Mesenchymal Transition (EMT) and Renal Fibrosis through the PI3K Subunit P110δ. EBioMedicine 2018, 31, 217–225. [Google Scholar] [CrossRef]
- Zhou, P.; Wan, X.; Zou, Y.; Chen, Z.; Zhong, A. Transforming Growth Factor Beta (TGF-β) Is Activated by the CtBP2-P300-AP1 Transcriptional Complex in Chronic Renal Failure. Int. J. Biol. Sci. 2020, 16, 204. [Google Scholar] [CrossRef]
- Kim, J.I.; Jang, H.S.; Jeong, J.H.; Noh, M.R.; Choi, J.Y.; Park, K.M. Defect in Runx2 Gene Accelerates Ureteral Obstruction-Induced Kidney Fibrosis via Increased TGF-β Signaling Pathway. Biochim. Biophys. Acta (BBA)-Mol. Basis Dis. 2013, 1832, 1520–1527. [Google Scholar] [CrossRef]
- Lee, K.-S.; Kim, H.-J.; Li, Q.-L.; Chi, X.-Z.; Ueta, C.; Komori, T.; Wozney, J.M.; Kim, E.-G.; Choi, J.-Y.; Ryoo, H.-M.; et al. Runx2 Is a Common Target of Transforming Growth Factor Β1 and Bone Morphogenetic Protein 2, and Cooperation between Runx2 and Smad5 Induces Osteoblast-Specific Gene Expression in the Pluripotent Mesenchymal Precursor Cell Line C2C12. Mol. Cell Biol. 2000, 20, 8783–8792. [Google Scholar] [CrossRef]
- Higgins, D.F.; Ewart, L.M.; Masterson, E.; Tennant, S.; Grebnev, G.; Prunotto, M.; Pomposiello, S.; Conde-Knape, K.; Martin, F.M.; Godson, C. BMP7-Induced-Pten Inhibits Akt and Prevents Renal Fibrosis. Biochim. Biophys. Acta (BBA)-Mol. Basis Dis. 2017, 1863, 3095–3104. [Google Scholar] [CrossRef]
- Lan, R.; Geng, H.; Polichnowski, A.J.; Singha, P.K.; Saikumar, P.; Mcewen, D.G.; Griffin, K.A.; Koesters, R.; Weinberg, J.M.; Bidani, A.K.; et al. PTEN Loss Defines a TGF-(β-Induced Tubule Phenotype of Failed Differentiation and JNK Signaling during Renal Fibrosis. Am. J. Physiol. Ren. Physiol. 2012, 302, F1210–F1223. [Google Scholar] [CrossRef]
- Du, Y.; Liu, P.; Chen, Z.; He, Y.; Zhang, B.; Dai, G.; Xia, W.; Liu, Y.; Chen, X. PTEN Improve Renal Fibrosis in Vitro and in Vivo through Inhibiting FAK/AKT Signaling Pathway. J. Cell Biochem. 2019, 120, 17887–17897. [Google Scholar] [CrossRef] [PubMed]
- Yu, F.; Chen, B.; Dong, P.; Zheng, J. HOTAIR Epigenetically Modulates PTEN Expression via MicroRNA-29b: A Novel Mechanism in Regulation of Liver Fibrosis. Mol. Ther. 2017, 25, 205–217. [Google Scholar] [CrossRef]
- Hu, H.; Hu, S.; Xu, S.; Gao, Y.; Zeng, F.; Shui, H. MiR-29b Regulates Ang II-Induced EMT of Rat Renal Tubular Epithelial Cells via Targeting PI3K/AKT Signaling Pathway. Int. J. Mol. Med. 2018, 42, 453–460. [Google Scholar] [CrossRef] [PubMed]
- Barrios-Correa, A.A.; Estrada, J.A.; Contreras, I. Leptin Signaling in the Control of Metabolism and Appetite: Lessons from Animal Models. J. Mol. Neurosci. 2018, 66, 390–402. [Google Scholar] [CrossRef]
- Hausman, G.J.; Richardson, R.L. Adipose Tissue Angiogenesis. J. Anim. Sci. 2004, 82, 925–934. [Google Scholar] [CrossRef] [PubMed]
- Zhu, Q.; Scherer, P.E. Immunologic and Endocrine Functions of Adipose Tissue: Implications for Kidney Disease. Nat. Rev. Nephrol. 2017, 14, 105–120. [Google Scholar] [CrossRef]
- Canpolat, N.; Sever, L.; Agbas, A.; Tasdemir, M.; Oruc, C.; Ekmekci, O.B.; Caliskan, S. Leptin and Ghrelin in Chronic Kidney Disease: Their Associations with Protein-Energy Wasting. Pediatr. Nephrol. 2018, 33, 2113–2122. [Google Scholar] [CrossRef]
- Markaki, A.; Grammatikopoulou, M.G.; Venihaki, M.; Kyriazis, J.; Perakis, K.; Stylianou, K. Associations of Adiponectin and Leptin Levels with Protein-Energy Wasting, in End Stage Renal Disease Patients. Endocrinol. Y Nutr. 2016, 63, 449–457. [Google Scholar] [CrossRef]
- Yamamoto, T.; Carrero, J.J.; Lindholm, B.; Stenvinkel, P.; Axelsson, J. PROGRESS IN UREMIC TAXIN RESEARCH: Leptin and Uremic Protein-Energy Wasting—The Axis of Eating. Semin. Dial. 2009, 22, 387–390. [Google Scholar] [CrossRef]
- Hamamah, S.; Amin, A.; Al-Kassir, A.L.; Chuang, J.; Covasa, M. Dietary Fat Modulation of Gut Microbiota and Impact on Regulatory Pathways Controlling Food Intake. Nutrients 2023, 15, 3365. [Google Scholar] [CrossRef] [PubMed]
- Ikizler, T.A.; Cano, N.J.; Franch, H.; Fouque, D.; Himmelfarb, J.; Kalantar-Zadeh, K.; Kuhlmann, M.K.; Stenvinkel, P.; Terwee, P.; Teta, D.; et al. Prevention and Treatment of Protein Energy Wasting in Chronic Kidney Disease Patients: A Consensus Statement by the International Society of Renal Nutrition and Metabolism. Kidney Int. 2013, 84, 1096–1107. [Google Scholar] [CrossRef] [PubMed]
- Donati, S.; Ciuffi, S.; Brandi, M.L. Human Circulating MiRNAs Real-Time QRT-PCR-Based Analysis: An Overview of Endogenous Reference Genes Used for Data Normalization. Int. J. Mol. Sci. 2019, 20, 4353. [Google Scholar] [CrossRef] [PubMed]





| Control | ONS-PL | ONS-PR | p-Values | |
|---|---|---|---|---|
| (n = 11) | (n = 10) | (n = 10) | ||
| Age in years m ± ds | 76.3 ± 8.7 | 65.1 ± 18.4 | 66 ± 18.5 | ns |
| Sex, men % (n) | 73 (8) | 80 (8) | 70 (7) | ns |
| Body mass index (kg/m2) | 25.1 ± 3 | 23.4 ± 5 | 25.2 ± 5 | ns |
| Diabetes mellitus % (n) | 36.4 (4) | 40 (4) | 30 (3) | ns |
| Antibiotic treatment in the past month | 9.1 (1) | 20 (2) | 10 (1) | ns |
| Yoghurt or fermented milk consumption in the last month % (n) | 63.6 (7) | 60 (6) | 60 (6) | ns |
| Charlson Comorbidity Index. m ± ds | 4 ± 2.31 | 5.1 ± 2.02 | 4.18 ± 2.6 | ns |
| MiRNA | Database | Biological Process | Genes |
|---|---|---|---|
| MiR-29a | Panther | Inflammation | IFNG, ITGB1, RELA, RGS4 |
| DAVID | Osteoclast differentiation | TGFB1, GLO1, PIK3R1, FOS, GAB2, FOXP1, BMP2, CALCR, CTNNB1 | |
| Chondrocyte differentiation | WNT10B, MEF2C, TGFB1, COL3A1, BMP2, COL2A1, NFIB, CTNNB1, ADAMTS12 | ||
| Ossification | MEF2C, SFRP1, TGFB1, CALCR, CHSY1, BCL2 | ||
| Cardiomyopathy | IRS1, PTEN, RELA, MAPK8, AKT2, TGFB2, TGFB1, TGFB3, MMP2, MYH7B, COL1A1, COL3A1, GAPDH | ||
| Regulation of angiogenesis | GPNMB, LEP, ENPP2, VASH2, CTNNB1, VEGFA | ||
| Cell–matrix adhesion | ADAMTS12, COL3A1, COL2A1, ITGA11, ITGA8, ADAM9, CTNNB1 | ||
| MiR-29b | Panther | Inflammation | ITGB1, RELA, AKT1, AKT2, AKT3, COL6A3 |
| DAVID | Osteoclast differentiation | FARP2, TGFB1, CALCR, GLO1, IREB2, CTNNB1, FOS, PIK3R1, FOXP1 | |
| Chondrocyte differentiation | WNT10B, MEF2C, COL3A1, COL2A1, TGFB1, RUNX2, ADAMTS7 | ||
| Ossification | SMPD3, COL1A1, MEF2C, COL2A1, RUNX2 | ||
| Cardiomyopathy | ITGB1, TGFB2, TGFB1, MYH7B, TGFB3, IGF, RELA, AKT2, AKT3, ITGA6, ITGA5, AKT1 | ||
| Regulation of angiogenesis | LEP, ENPP2, VASH2, CTNNB1, PTEN, VEGFA | ||
| Cell–matrix adhesion | FGB, ITGB1, COL3A1, COL5A3, ITGA11, CTNNB1, ITGA6, ITGA5 | ||
| Regulation of fat cell differentiation | WNT10B, TGFB1, INSIG1, RUNX1T1 |
| miRNA Assay ID | miRCURY LNA miRNA PCR Assays | Mature miRNA Sequence | miRBase Accession |
|---|---|---|---|
| hsa-miR-21-5p | YP00204230 | 5′UAGCUUAUCAGACUGAUGUUGA | MIMAT0000076 (https://www.mirbase.org/mature/MIMAT0000076, accessed on 15 October 2023) |
| hsa-miR-29a-3p | YP00204698 | 5′UAGCACCAUCUGAAAUCGGUUA | MIMAT0000086 (https://www.mirbase.org/mature/MIMAT0000086, accessed on 15 October 2023) |
| hsa-miR-29b-3p | YP00204679 | 5′UAGCACCAUUUGAAAUCAGUGUU | MIMAT0000100 (https://www.mirbase.org/mature/MIMAT0000100, accessed on 15 October 2023) |
| hsa-miR-93-5p | YP00204715 | 5′CAAAGUGCUGUUCGUGCAGGUAG | MIMAT0000093 (https://mirbase.org/mature/MIMAT0000093, accessed on 15 October 2023) |
| hsa-miR-126-3p | YP00204227 | 5′UCGUACCGUGAGUAAUAAUGCG | MIMAT0000445 (https://mirbase.org/mature/MIMAT0000445, accessed on 15 October 2023) |
| hsa-miR-128-3p | YP00205995 | 5′UCACAGUGAACCGGUCUCUUU | MIMAT0000424 (https://mirbase.org/mature/MIMAT0000424, accessed on 15 October 2023) |
| hsa-miR-155-5p | YP02119311 | 5′UUAAUGCUAAUCGUGAUAGGGGUU | MIMAT0000646 (https://mirbase.org/mature/MIMAT0000646, accessed on 15 October 2023) |
| hsa-miR-223-3p | YP00205986 | 5′UGUCAGUUUGUCAAAUACCCCA | MIMAT0000280 (https://mirbase.org/mature/MIMAT0000280, accessed on 15 October 2023) |
| hsa-miR-378a-3p | YP00205946 | 5′ACUGGACUUGGAGUCAGAAGGC | MIMAT0000732 (https://mirbase.org/mature/MIMAT0000732, accessed on 15 October 2023) |
| Gene | Ref_Seq | Assay_ID | Dye Label | Chromosome Location |
|---|---|---|---|---|
| TBP | NM_001172085.1 (http://www.ncbi.nlm.nih.gov/nuccore/NM_001172085.1, accessed on 15 October 2023) | Hs00427620_m1 | FAM-MGB | Chr.6 170554333–170572870 |
| TGFB1 | NM_000660.5 (http://www.ncbi.nlm.nih.gov/nuccore/NM_000660.5, accessed on 15 October 2023) | Hs00998133_m1 | FAM-MGB | Chr.19: 41330531-41353933 |
| RUNX2 | NM_001015051.3 (http://www.ncbi.nlm.nih.gov/nuccore/NM_001015051.3, accessed on 15 October 2023) | Hs01047973_m1 | FAM-MGB | Chr.6: 45328142-45664032 |
| PTEN | NM_000314.6 (http://www.ncbi.nlm.nih.gov/nuccore/NM_000314.6, accessed on 15 October 2023) | Hs02621230_s1 | FAM-MGB | Chr.10: 87863438-87971930 |
| AKT1 | NM_001014431.1 (http://www.ncbi.nlm.nih.gov/nuccore/NM_001014431.1, accessed on 15 October 2023) | Hs00178289_m1 | FAM-MGB | Chr.14: 104769349-104795743 |
| RELA | NM_001145138.1 (http://www.ncbi.nlm.nih.gov/nuccore/NM_001145138.1, accessed on 15 October 2023) | Hs01042014_m1 | FAM-MGB | Chr.11: 65653596-65662972 |
| TNF | NM_000594.3 (http://www.ncbi.nlm.nih.gov/nuccore/NM_000594.3, accessed on 15 October 2023) | Hs00174128_m1 | FAM-MGB | Chr.6: 31575567-31578336 |
| IL1 B | NM_000576.2 (http://www.ncbi.nlm.nih.gov/nuccore/NM_000576.2, accessed on 15 October 2023) | Hs01555410_m1 | FAM-MGB | Chr.2: 112829758-112836842 |
| IL6 | NM_000600.4 (http://www.ncbi.nlm.nih.gov/nuccore/NM_000600.4, accessed on 15 October 2023) | Hs00174131_m1 | FAM-MGB | Chr.7: 22725889-22732002 |
| MYH7B | NM_020884.4 (http://www.ncbi.nlm.nih.gov/nuccore/NM_020884.4, accessed on 15 October 2023) | Hs00293096_m1 | FAM-MGB | Chr.20: 34955835-35002437 |
| MEF2C | NM_001131005.2 (http://www.ncbi.nlm.nih.gov/nuccore/NM_001131005.2, accessed on 15 October 2023) | Hs00231149_m1 | FAM-MGB | Chr.5: 88718241-88904105 |
| CTNNB1 | NM_001098209.1 (http://www.ncbi.nlm.nih.gov/nuccore/NM_001098209.1, accessed on 15 October 2023) | Hs00355045_m1 | FAM-MGB | Chr.3: 41199451-41240448 |
| LEP | NM_000230.2 (http://www.ncbi.nlm.nih.gov/nuccore/NM_000230.2, accessed on 15 October 2023) | Hs00174877_m1 | FAM-MGB | Chr.7: 128241201-128257629 |
| GHRL | NM_001134941.2 (http://www.ncbi.nlm.nih.gov/nuccore/NM_001134941.2, accessed on 15 October 2023) | Hs01074053_m1 | FAM-MGB | Chr.3: 10285750-10292947 |
| RASA1 | NM_002890.2 (www.ncbi.nlm.nih.gov/nuccore/NM_002890.2, accessed on 15 October 2023) | Hs00243115_m1 | FAM-MGB | Chr.5: 87267801-87391926 |
| PPARG | NM_005037.5 (http://www.ncbi.nlm.nih.gov/nuccore/NM_005037.5, accessed on 15 October 2023) | Hs01115513_m1 | FAM-MGB | Chr.3: 12287850-12471054 |
Disclaimer/Publisher’s Note: The statements, opinions and data contained in all publications are solely those of the individual author(s) and contributor(s) and not of MDPI and/or the editor(s). MDPI and/or the editor(s) disclaim responsibility for any injury to people or property resulting from any ideas, methods, instructions or products referred to in the content. |
© 2024 by the authors. Licensee MDPI, Basel, Switzerland. This article is an open access article distributed under the terms and conditions of the Creative Commons Attribution (CC BY) license (https://creativecommons.org/licenses/by/4.0/).
Share and Cite
Sasso, C.V.; Lhamyani, S.; Hevilla, F.; Padial, M.; Blanca, M.; Barril, G.; Jiménez-Salcedo, T.; Martínez, E.S.; Nogueira, Á.; Lago-Sampedro, A.M.; et al. Modulation of miR-29a and miR-29b Expression and Their Target Genes Related to Inflammation and Renal Fibrosis by an Oral Nutritional Supplement with Probiotics in Malnourished Hemodialysis Patients. Int. J. Mol. Sci. 2024, 25, 1132. https://doi.org/10.3390/ijms25021132
Sasso CV, Lhamyani S, Hevilla F, Padial M, Blanca M, Barril G, Jiménez-Salcedo T, Martínez ES, Nogueira Á, Lago-Sampedro AM, et al. Modulation of miR-29a and miR-29b Expression and Their Target Genes Related to Inflammation and Renal Fibrosis by an Oral Nutritional Supplement with Probiotics in Malnourished Hemodialysis Patients. International Journal of Molecular Sciences. 2024; 25(2):1132. https://doi.org/10.3390/ijms25021132
Chicago/Turabian StyleSasso, Corina Verónica, Said Lhamyani, Francisco Hevilla, Marina Padial, María Blanca, Guillermina Barril, Tamara Jiménez-Salcedo, Enrique Sanz Martínez, Ángel Nogueira, Ana María Lago-Sampedro, and et al. 2024. "Modulation of miR-29a and miR-29b Expression and Their Target Genes Related to Inflammation and Renal Fibrosis by an Oral Nutritional Supplement with Probiotics in Malnourished Hemodialysis Patients" International Journal of Molecular Sciences 25, no. 2: 1132. https://doi.org/10.3390/ijms25021132
APA StyleSasso, C. V., Lhamyani, S., Hevilla, F., Padial, M., Blanca, M., Barril, G., Jiménez-Salcedo, T., Martínez, E. S., Nogueira, Á., Lago-Sampedro, A. M., & Olveira, G. (2024). Modulation of miR-29a and miR-29b Expression and Their Target Genes Related to Inflammation and Renal Fibrosis by an Oral Nutritional Supplement with Probiotics in Malnourished Hemodialysis Patients. International Journal of Molecular Sciences, 25(2), 1132. https://doi.org/10.3390/ijms25021132

