Synthesis and Preliminary Studies for In Vitro Biological Activity of Two New Water-Soluble Bis(thio)carbohydrazones and Their Copper(II) and Zinc(II) Complexes
Abstract
1. Introduction
2. Results and Discussion
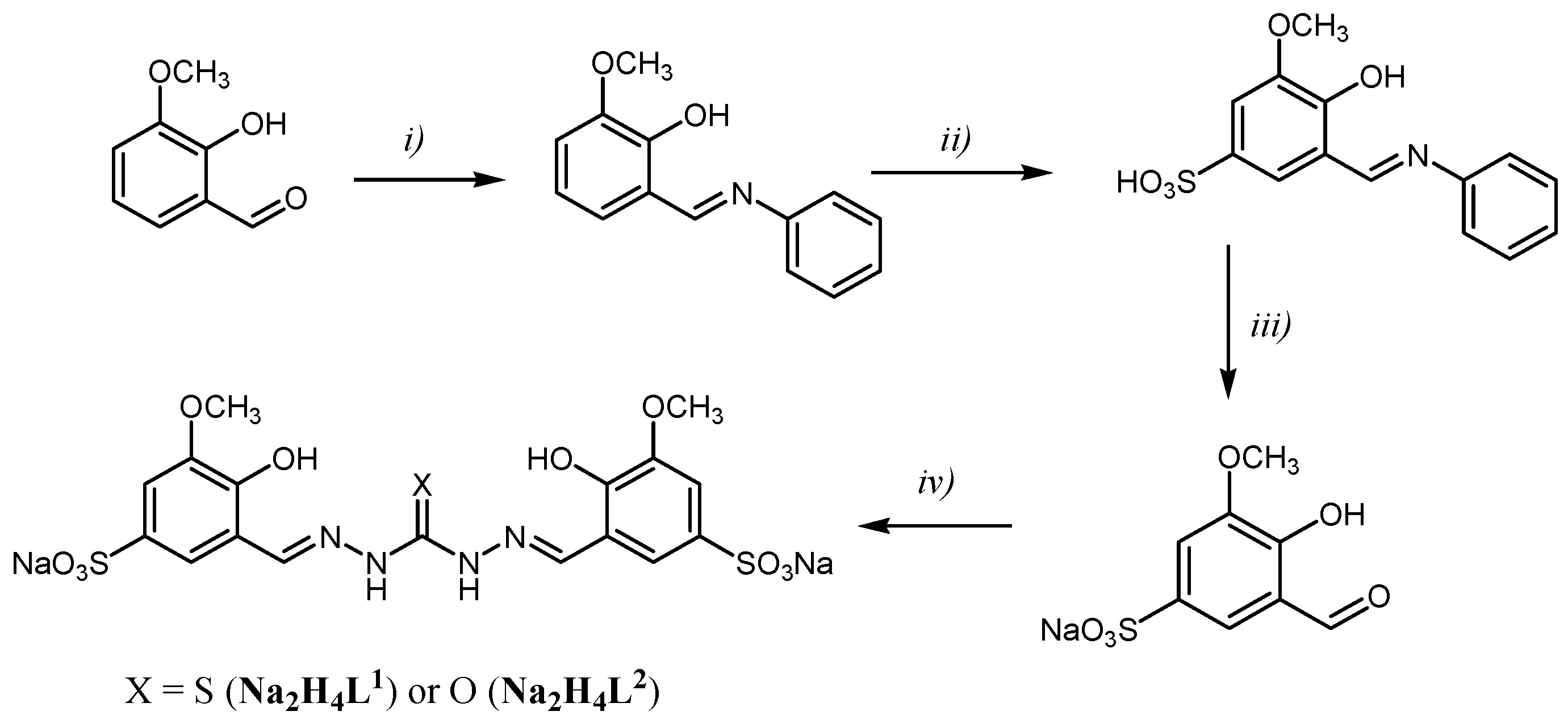
2.1. Synthesis
2.2. Proton Dissociation Processes
2.3. Cu(II)/bis-TCH Complexation Equilibria
2.4. Cu(II)/bis-CH Complex Formation Equilibria
2.5. Zn(II)/bis-TCH and Zn(II)/bis-CH Complex Formation Equilibria
2.6. Crystallography
2.7. Cytotoxicity against U937 and Hs27 Cell Lines
3. Materials and Methods
3.1. Synthesis
3.2. Studies in Solution
3.3. UV–Visible Spectrophotometric Titrations
3.4. Potentiometric Titrations
3.5. Cell Line and Culture Conditions
3.6. Crystallography
4. Conclusions
Supplementary Materials
Author Contributions
Funding
Institutional Review Board Statement
Informed Consent Statement
Data Availability Statement
Acknowledgments
Conflicts of Interest
References
- Aly, A.A.; Abdallah, E.M.; Ahmed, S.A.; Rabee, M.M.; Bräse, S. Transition Metal Complexes of Thiosemicarbazides, Thiocarbohydrazides, and Their Corresponding Carbazones with Cu(I), Cu(II), Co(II), Ni(II), Pd(II), and Ag(I)—A Review. Molecules 2023, 28, 1808. [Google Scholar] [CrossRef] [PubMed]
- de Siqueira, L.R.P.; de Moraes Gomes, P.A.T.; de Lima Ferreira, L.P.; de Melo Rêgo, M.J.B.; Leite, A.C.L. Multi-target compounds acting in cancer progression: Focus on thiosemicarbazone, thiazole and thiazolidinone analogues. Eur. J. Med. Chem. 2019, 170, 237–260. [Google Scholar] [CrossRef] [PubMed]
- Sun, S.; Shen, J.; Jiang, J.; Wang, F.; Min, J. Targeting ferroptosis opens new avenues for the development of novel therapeutics. Sig. Transduct. Target Ther. 2023, 8, 372. [Google Scholar] [CrossRef]
- Li, Y.; Du, Y.; Zhou, Y.; Chen, Q.; Luo, Z.; Ren, Y.; Chen, X.; Chen, G. Iron and copper: Critical executioners of ferroptosis, cuproptosis and other forms of cell death. Cell Commun. Signal 2023, 21, 327. [Google Scholar] [CrossRef]
- Heffeter, P.; Pape, V.F.S.; Enyedy, É.A.; Keppler, B.K.; Szakacs, G.; Kowol, C.R. Anticancer Thiosemicarbazones: Chemical Properties, Interaction with Iron Metabolism, and Resistance Development. Antioxid. Redox Signal. 2019, 30, 1062–1082. [Google Scholar] [CrossRef]
- Carcelli, M.; Tegoni, M.; Bartoli, J.; Marzano, C.; Pelosi, G.; Salvalaio, M.; Rogolino, D.; Gandin, V. In vitro and in vivo anticancer activity of tridentate thiosemicarbazone copper complexes: Unravelling an unexplored pharmacological target. Eur. J. Med. Chem. 2020, 194, 112266. [Google Scholar] [CrossRef]
- Hager, S.; Korbula, K.; Bielec, B.; Grusch, M.; Pirker, C.; Schosserer, M.; Liendl, L.; Lang, J.; Grillari, K.; Nowikovsky, K.; et al. The thiosemicarbazone Me2NNMe2 induces paraptosis by disrupting the ER thiol redox homeostasis based on protein disulfide isomerase inhibition. Cell Death Dis. 2018, 9, 1052. [Google Scholar] [CrossRef] [PubMed]
- Bonaccorso, C.; Marzo, T.; La Mendola, D. Biological Applications of Thiocarbohydrazones and Their Metal Complexes: A Perspective Review. Pharmaceuticals 2020, 13, 4. [Google Scholar] [CrossRef]
- Cvijetić, I.N.; Herlah, B.; Marinković, A.; Perdih, A.; Bjelogrlić, S.K. Phenotypic Discovery of Thiocarbohydrazone with Anticancer Properties and Catalytic Inhibition of Human DNA Topoisomerase IIα. Pharmaceuticals 2023, 16, 341. [Google Scholar] [CrossRef]
- Dragancea, D.; Arion, V.B.; Shova, S.; Rentschler, E.; Gerbeleu, N.V. Vanadium(V) Complexes with Substituted 1,5-bis(2-hydroxybenzaldehyde)carbohydrazones and Their Use As Catalyst Precursors in Oxidation of Cyclohexane. Angew. Chem. Int. Ed. 2005, 44, 7938. [Google Scholar] [CrossRef]
- Miglioli, F.; De Franco, M.; Bartoli, J.; Scaccaglia, M.; Pelosi, G.; Marzano, C.; Rogolino, D.; Gandin, V.; Carcelli, M. Anticancer activity of new water-soluble sulfonated thiosemicarbazone copper(II) complexes targeting disulfide isomerase. Eur. J. Med. Chem. 2024, 276, 116697. [Google Scholar] [CrossRef]
- Dragancea, D.; Addison, A.W.; Zeller, M.; Thompson, L.K.; Hoole, D.; Revenco, M.D.; Hunter, A.D. Dinuclear Copper(II) Complexes with Bis-thiocarbohydrazone Ligands. Eur. J. Inorg. Chem. 2008, 2008, 2530–2536. [Google Scholar] [CrossRef]
- Hager, E.B.; Makhubela, B.C.E.; Smith, G.S. Aqueous-phase hydroformylation of 1-octene using hydrophilic sulfonate salicylaldimine dendrimers. Dalton Trans. 2012, 41, 13927–13935. [Google Scholar] [CrossRef] [PubMed]
- Moore, J.W.; Pearson, R.G.; Frost, A.A. Kinetics and Mechanism, 3rd ed.; John Wiley and Sons: Hoboken, NJ, USA, 1981. [Google Scholar]
- Mrđan, G.S.; Vastag, G.G.; Skoric, D.; Radanovic, M.M.; Verbic, T.Z.; Milcic, M.K.; Stojiljković, I.N.; Marković, O.S.; Matijević, B.M. Physicochemical Characterization, and TD–DFT Calculations of Monothiocarbohydrazone Derivatives. Struct. Chem. 2021, 32, 1231–1245. [Google Scholar] [CrossRef]
- Sîrbu, A.; Palamarciuc, O.; Babak, M.V.; Lim, J.M.; Ohui, K.; Enyedy, E.A.; Shova, S.; Darvasiová, D.; Rapta, P.; Ang, W.H. Copper(ii) thiosemicarbazone complexes induce marked ROS accumulation and promote nrf2-mediated antioxidant response in highly resistant breast cancer cells. Dalton Trans. 2017, 46, 3833–3847. [Google Scholar] [CrossRef] [PubMed]
- Božić, A.R.; Filipović, N.R.; Verbić, T.Ž.; Milčić, M.K.; Todorović, T.R.; Cvijetić, I.N.; Klisurić, O.R.; Radišić, M.M.; Marinković, A.D. A detailed experimental and computational study of monocarbohydrazones. Arab. J. Chem. 2020, 13, 932–953. [Google Scholar] [CrossRef]
- Montalbano, S.; Buschini, A.; Pelosi, G.; Bisceglie, F. Antiproliferative Activity and DNA Interaction Studies of a Series of N4,N4-Dimethylated Thiosemicarbazone Derivatives. Molecules 2023, 28, 2778. [Google Scholar] [CrossRef]
- Montalbano, S.; Bisceglie, F.; Pelosi, G.; Lazzaretti, M.; Buschini, A. Modulation of Transcription Profile Induced by Antiproliferative Thiosemicarbazone Metal Complexes in U937 Cancer Cells. Pharmaceutics 2023, 15, 1325. [Google Scholar] [CrossRef]
- Vogel, A.I. Quantitative Inorganic Analysis Including Elementary Instrumental Analysis, 3rd ed.; Longmans: London, UK, 1962. [Google Scholar]
- Gans, A.; Sabatini, A.; Vacca, A. Investigation of equilibria in solution. Determination of equilibrium constants with the HYPERQUAD suite of programs. Talanta 1996, 43, 1739–1753. [Google Scholar] [CrossRef]
- Alderighi, L.; Gans, P.; Ienco, A.; Peters, D.; Sabatini, A.; Vacca, A. Hyperquad Simulation and Speciation (HySS): A Utility Program for the Investigation of Equilibria Involving Soluble and Partially Soluble Species. Coord. Chem. Rev. 1999, 184, 311–318. [Google Scholar] [CrossRef]
- Sokołowska, M.; Bal, W. Cu(II) complexation by “non-coordinating” N-2-hydroxyethylpiperazine-N’-2-ethanesulfonic acid (HEPES buffer). J. Inorg. Biochem. 2005, 99, 1653–1660. [Google Scholar] [CrossRef] [PubMed]
- Ferreira, C.M.H.; Pinto, I.S.S.; Soares, E.V.; Soares, H.M.V.M. (Un)suitability of the use of pH buffers in biological, biochemical and environmental studies and their interaction with metal ions—A review. RSC Adv. 2015, 5, 30989–31003. [Google Scholar] [CrossRef]
- Soares, H.M.V.M.; Conde, P.C.F.L. Electrochemical investigations of the effect of N-substituted aminosulfonic acids with a piperazinic ring pH buffers on heavy metal processes which may have implications on speciation studies. Anal. Chim. Acta 2000, 421, 103–111. [Google Scholar] [CrossRef]
- Gran, G. Determination of the equivalence point in potentiometric titrations. Part II. Analyst 1952, 77, 661–671. [Google Scholar] [CrossRef]
- Shoemaker, R.H. The NCI60 human tumour cell line anticancer drug screen. Nat. Rev. Cancer 2006, 6, 813–823. [Google Scholar] [CrossRef] [PubMed]
- SAINT: SAX, Area Detector Integration; Siemens Analytical Instruments Inc.: Madison, WI, USA, 1986.
- Sheldrick, G. SADABS: Siemens Area Detector Absorption Correction Software; University of Goettingen: Göttingen, Germany, 1996. [Google Scholar]
- Altomare, A.; Burla, C.; Camalli, M.; Cascarano, G.L.; Giacovazzo, C.; Guagliardi, A.; Moliterni, A.G.G.; Polidori, G.; Spagna, R. SIR97: A new tool for crystal structure determination and refinement. J. Appl. Crystallogr. 1999, 32, 115–119. [Google Scholar] [CrossRef]
- Sheldrick, G.M. A short history of SHELX. Acta Crystallogr. A 2008, 64, 112–122. [Google Scholar] [CrossRef]
- Farrugia, L.J. WinGX suite for small-molecule single-crystal crystallography. J. Appl. Crystallogr. 1999, 32, 837–838. [Google Scholar] [CrossRef]
- Hickey, J.L.; Crouch, P.J.; Mey, S.; Caragounis, A.; White, J.M.; White, A.R.; Donnelly, P.S. Copper(II) complexes of hybrid hydroxyquinoline-thiosemicarbazone ligands: GSK3β inhibition due to intracellular delivery of copper. Dalton Trans. 2011, 40, 1338–1347. [Google Scholar] [CrossRef]
- Božić, A.; Marinkovic, A.; Bjelogrli, S.; Todorović, T.R.; Cvijetić, I.N.; Novaković, I.; Müller, C.D.; Filipovic, N.R. Quinoline based mono- and bis-(thio)carbohydrazones: Synthesis, anticancer activity in 2D and 3D cancer and cancer stem cell models. RSC Adv. 2016, 6, 104763–104781. [Google Scholar] [CrossRef]













| Metal | Ligand | M:L Ratio | Complex | M:L Ratio | Complex |
|---|---|---|---|---|---|
| Cu(II) | bis-TCH | 1:1 | C1 | 2:1 | C5 |
| bis-CH | 1:1 | C2 | 2:1 | C6 | |
| Zn(II) | bis-TCH | 1:1 | C3 | 2:1 | C7 |
| bis-CH | 1:1 | C4 | 2:1 | C8 |
| bis-TCH | bis-CH | |||
|---|---|---|---|---|
| UV–Visible Spectrophotometry | pH Potentiometry | UV–Visible Spectrophotometry | pH Potentiometry | |
| pKa2 | - | - | - | 1.70(10) |
| pKa3 | 6.78(1) | 7.08(4) | 7.34(1) | 7.77(3) |
| pKa4 | 8.77(1) | 8.54(4) | 8.58(1) | 8.45(3) |
| pKa5 | - | 11.29(2) | - | - |
| bis-TCH | bis-CH | |
|---|---|---|
| Log β([Cu3L4]) | 38.6(1) | - |
| Log β([CuL]) | - | 6.26(2) |
| Log β([Cu3L2]) | 26.4(1) | - |
| Log β([Cu2L]) | - | 11.30(2) |
| bis-TCH | bis-CH | |
|---|---|---|
| Log β([ZnL]) | 8.40(6) | 7.08(3) |
| Log β([Zn2L]) | 15.29(10) | 13.61(4) |
| Compound | GI50 Value (µg/mL) | |||||
|---|---|---|---|---|---|---|
| Hs27 | U937 | |||||
| 24 h | 48 h | 72 h | 24 h | 48 h | 72 h | |
| bis-TCH | - | - | - | - | - | 98.00 ± 2.82 |
| bis-CH | - | - | - | - | - | 46.50 ± 4.94 |
| C1 | - | - | 69.50 ± 3.18 | 78.50 ± 6.36 | 82.75 ± 0.35 | 76.50 ± 2.12 |
| C2 | 74.25 ± 11.66 | 38.00 ± 4.94 | 36.50 ± 0.71 | 89.75 ± 0.35 | 53.50 ± 4.24 | 34.25 ± 10.25 |
| C3 | - | - | 91.00 ± 7.77 | - | - | - |
| C4 | - | - | - | - | - | - |
Disclaimer/Publisher’s Note: The statements, opinions and data contained in all publications are solely those of the individual author(s) and contributor(s) and not of MDPI and/or the editor(s). MDPI and/or the editor(s) disclaim responsibility for any injury to people or property resulting from any ideas, methods, instructions or products referred to in the content. |
© 2024 by the authors. Licensee MDPI, Basel, Switzerland. This article is an open access article distributed under the terms and conditions of the Creative Commons Attribution (CC BY) license (https://creativecommons.org/licenses/by/4.0/).
Share and Cite
Zavaroni, A.; Riva, E.; Borghesani, V.; Donati, G.; Santoro, F.; D’Amore, V.M.; Tegoni, M.; Pelosi, G.; Buschini, A.; Rogolino, D.; et al. Synthesis and Preliminary Studies for In Vitro Biological Activity of Two New Water-Soluble Bis(thio)carbohydrazones and Their Copper(II) and Zinc(II) Complexes. Int. J. Mol. Sci. 2024, 25, 10831. https://doi.org/10.3390/ijms251910831
Zavaroni A, Riva E, Borghesani V, Donati G, Santoro F, D’Amore VM, Tegoni M, Pelosi G, Buschini A, Rogolino D, et al. Synthesis and Preliminary Studies for In Vitro Biological Activity of Two New Water-Soluble Bis(thio)carbohydrazones and Their Copper(II) and Zinc(II) Complexes. International Journal of Molecular Sciences. 2024; 25(19):10831. https://doi.org/10.3390/ijms251910831
Chicago/Turabian StyleZavaroni, Alessio, Elena Riva, Valentina Borghesani, Greta Donati, Federica Santoro, Vincenzo Maria D’Amore, Matteo Tegoni, Giorgio Pelosi, Annamaria Buschini, Dominga Rogolino, and et al. 2024. "Synthesis and Preliminary Studies for In Vitro Biological Activity of Two New Water-Soluble Bis(thio)carbohydrazones and Their Copper(II) and Zinc(II) Complexes" International Journal of Molecular Sciences 25, no. 19: 10831. https://doi.org/10.3390/ijms251910831
APA StyleZavaroni, A., Riva, E., Borghesani, V., Donati, G., Santoro, F., D’Amore, V. M., Tegoni, M., Pelosi, G., Buschini, A., Rogolino, D., & Carcelli, M. (2024). Synthesis and Preliminary Studies for In Vitro Biological Activity of Two New Water-Soluble Bis(thio)carbohydrazones and Their Copper(II) and Zinc(II) Complexes. International Journal of Molecular Sciences, 25(19), 10831. https://doi.org/10.3390/ijms251910831

