Comprehensive, Genome-Wide Identification and Expression Analyses of Phenylalanine Ammonia-Lyase Family under Abiotic Stresses in Brassica oleracea
Abstract
1. Introduction
2. Results
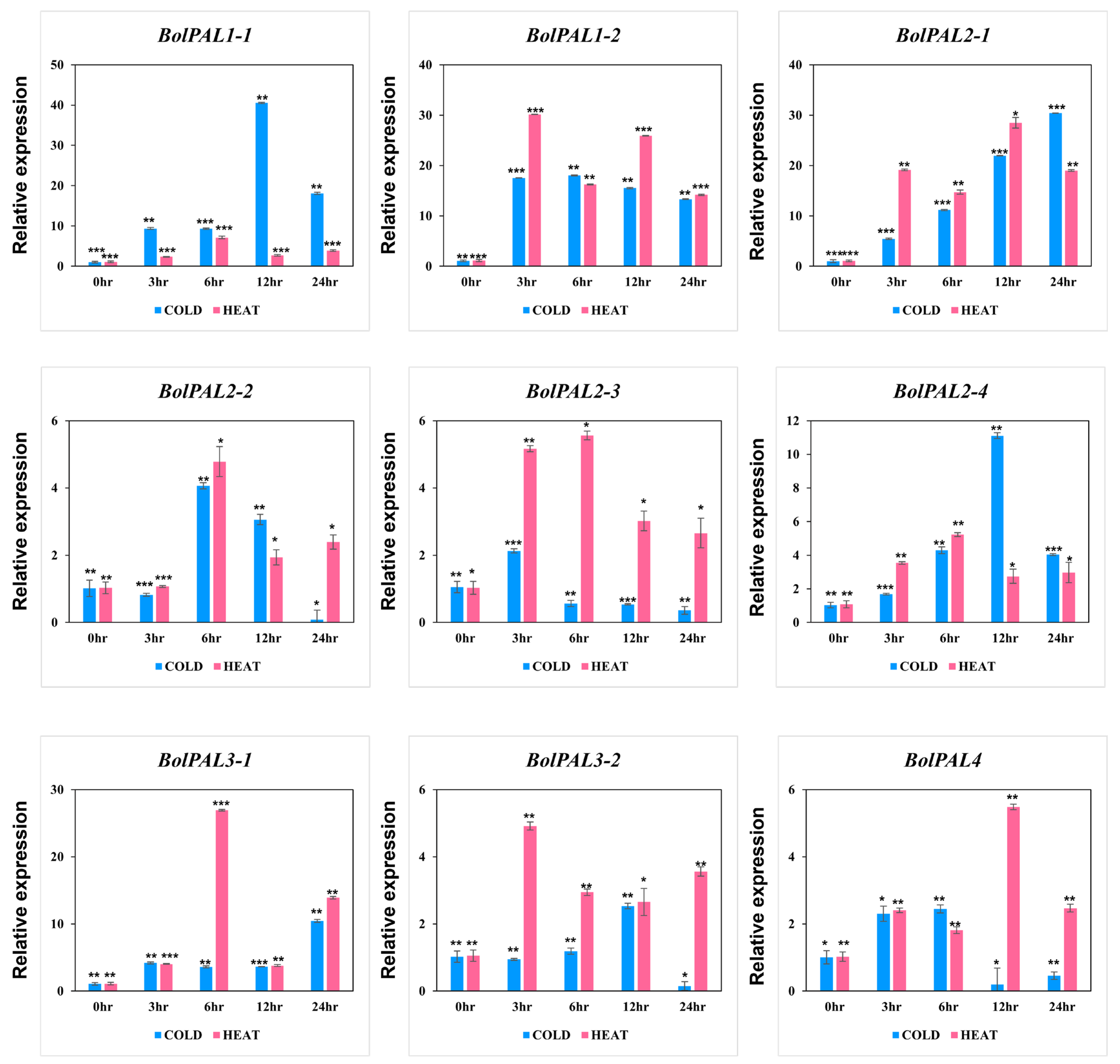
2.1. Identification and Characterization of the BolPALs
2.2. Phylogenetic Analysis of the PAL Family Genes
2.3. Circos and Synteny Analysis of BolPAL Genes
2.4. Gene Structure and Conserved Motif Analysis
2.5. Recognition of Cis-Acting Elements in the Promoter Region of BolPALs
2.6. Investigation of miRNAs Directing BolPALs
2.7. GO Annotation of BolPAL Gene Family
2.8. Expression Analysis of BolPAL Genes by Transcriptome Analysis
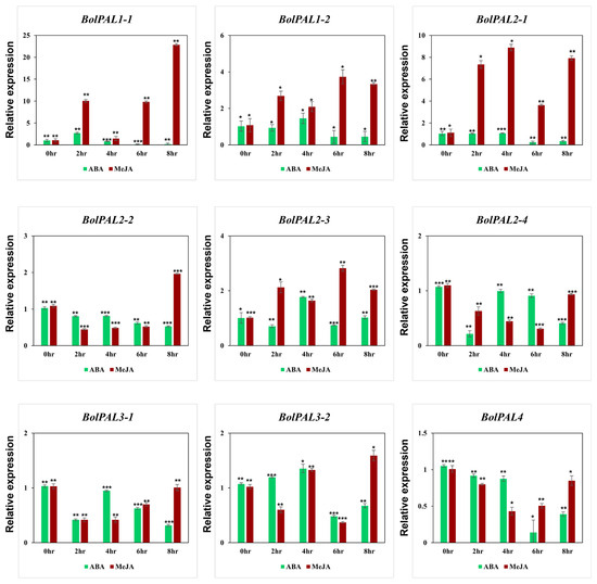
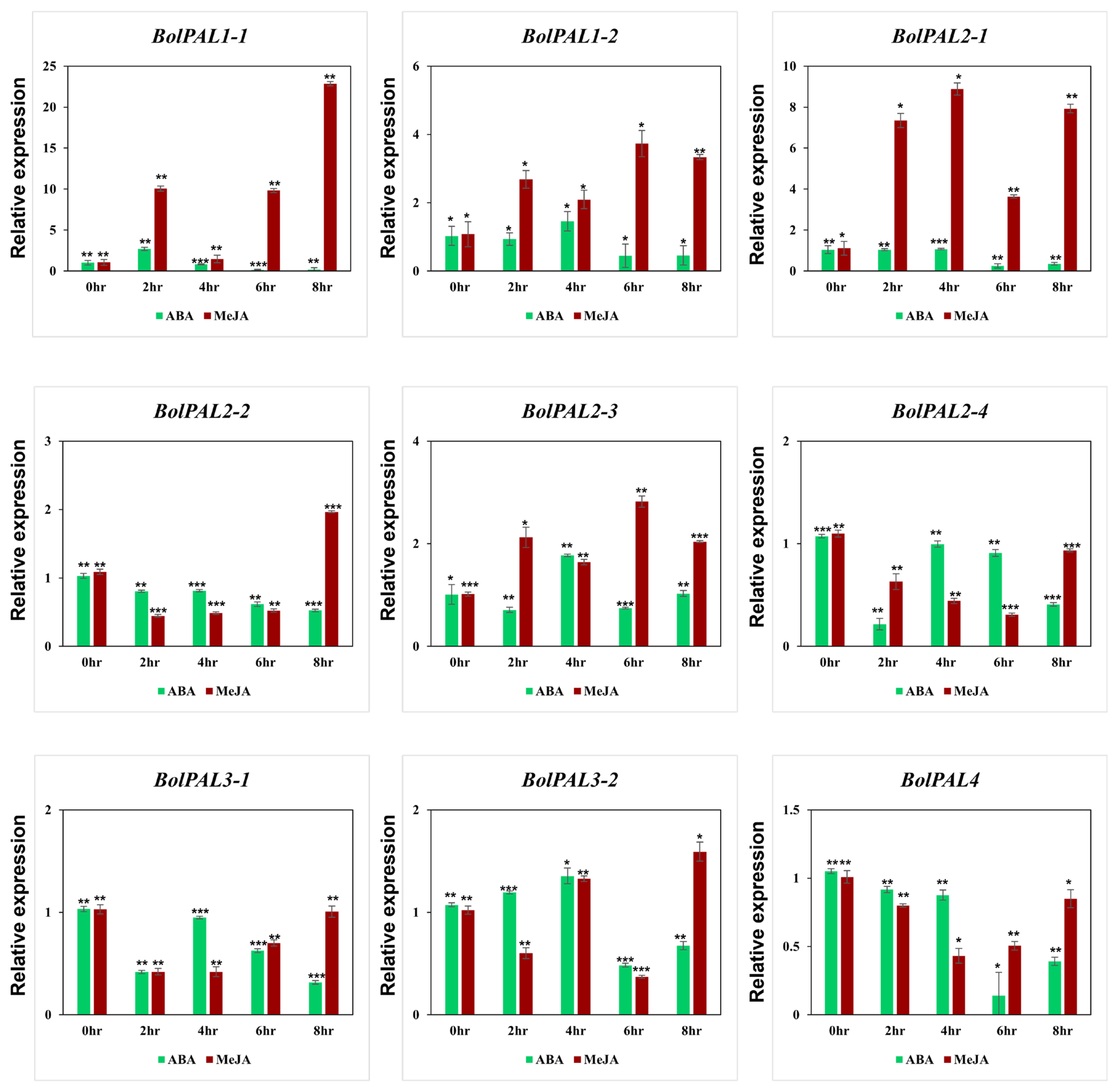
2.9. Expression Analysis of BolPAL Genes under Phytohormone, Abiotic, and Light Treatments
3. Discussion
4. Materials and Methods
4.1. Identification of BolPALs in B. oleracea
4.2. Phylogenetic Tree and Synteny Investigation of BolPALs
4.3. Cis-Elements Investigation in the Promoter Region of BolPALs
4.4. Prediction of Putative miRNA Targeting BolPALs
4.5. Expression Profiling of BolPALs by Transcriptome Data
4.6. Plant Materials and Stress Conditions
4.7. RNA Extraction and qRT-PCR Analysis
5. Conclusions
Supplementary Materials
Author Contributions
Funding
Institutional Review Board Statement
Informed Consent Statement
Data Availability Statement
Conflicts of Interest
References
- Jones, D.H. Phenylalanine ammonia-lyase: Regulation of its induction, and its role in plant development. Phytochemistry 1984, 23, 1349–1359. [Google Scholar] [CrossRef]
- Vogt, T. Phenylpropanoid biosynthesis. Mol. Plant 2010, 3, 2–20. [Google Scholar] [CrossRef] [PubMed]
- Koukol, J.; Conn, E.E. The metabolism of aromatic compounds in higher plants: IV. Purification and properties of the phenylalanine deaminase of Hordeum vulgare. J. Biol. Chem. 1961, 236, 2692–2698. [Google Scholar] [CrossRef]
- Blake, V.C.; Kling, J.G.; Hayes, P.M.; Jannink, J.L.; Jillella, S.R.; Lee, J.; Matthews, D.E.; Chao, S.; Close, T.J.; Muehlbauer, G.J. The Hordeum toolbox: The barley coordinated agricultural project genotype and phenotype resource. Plant Genome 2012, 5, 81–91. [Google Scholar] [CrossRef]
- de Jong, F.; Hanley, S.J.; Beale, M.H.; Karp, A. Characterisation of the willow phenylalanine ammonia-lyase (PAL) gene family reveals expression differences compared with poplar. Phytochemistry 2015, 117, 90–97. [Google Scholar] [CrossRef]
- Chen, X.; Wang, P.; Gu, M.; Hou, B.; Zhang, C.; Zheng, Y.; Sun, Y.; Jin, S.; Ye, N. Identification of PAL genes related to anthocyanin synthesis in tea plants and its correlation with anthocyanin content. Hortic. Plant J. 2022, 8, 381–394. [Google Scholar] [CrossRef]
- Zhao, T.; Li, R.; Yao, W.; Wang, Y.; Zhang, C.; Li, Y. Genome-wide identification and characterisation of phenylalanine ammonia-lyase gene family in grapevine. J. Hortic. Sci. Biotechnol. 2021, 96, 456–468. [Google Scholar] [CrossRef]
- Zhan, C.; Li, Y.; Li, H.; Wang, M.; Gong, S.; Ma, D.; Li, Y. Phylogenomic analysis of phenylalanine ammonia-lyase (PAL) multigene family and their differential expression analysis in wheat (Triticum aestivum L.) suggested their roles during different stress responses. Front. Plant Sci. 2022, 13, 982457. [Google Scholar] [CrossRef]
- Mo, F.; Li, L.; Zhang, C.; Yang, C.; Chen, G.; Niu, Y.; Si, J.; Liu, T.; Sun, X.; Wang, S. Genome-wide analysis and expression profiling of the phenylalanine ammonia-lyase gene family in Solanum tuberosum. Int. J. Mol. Sci. 2022, 23, 6833. [Google Scholar] [CrossRef]
- Olsen, K.M.; Lea, U.S.; Slimestad, R.; Verheul, M.; Lillo, C. Differential expression of four Arabidopsis PAL genes; PAL1 and PAL2 have functional specialization in abiotic environmental-triggered flavonoid synthesis. J. Plant Physiol. 2008, 165, 1491–1499. [Google Scholar] [CrossRef]
- Rawal, H.; Singh, N.; Sharma, T. Conservation, divergence, and genome-wide distribution of PAL and POX A gene families in plants. Int. J. Genom. 2013, 2013, 678969. [Google Scholar]
- Zhang, X.; Liu, C. Multifaceted regulations of gateway enzyme phenylalanineammonia-lyase in the biosynthesis of phenylpropanoids. Mol. Plant 2015, 8, 17–27. [Google Scholar] [CrossRef] [PubMed]
- Zhu, Q.; Xie, X.; Lin, H.; Sui, S.; Shen, R.; Yang, Z.; Lu, K.; Li, M.; Liu, Y.-G. Isolation and functional characterization of a phenylalanine ammonia-lyase gene (SsPAL1) from coleus (Solenostemon scutellarioides (L.) Codd). Molecules 2015, 20, 16833–16851. [Google Scholar] [CrossRef]
- Yan, F.; Li, H.; Zhao, P. Genome-Wide Identification and transcriptional expression of the PAL Gene family in common Walnut (Juglans regia L.). Genes 2019, 10, 46. [Google Scholar] [CrossRef]
- Zeng, J.; Ouyang, L.; Liu, J.; He, H.; Zhu, C.; Peng, X.; He, X.; Fu, J.; Chen, X.; Bian, J. Whole genome analysis and stress expression research of PAL gene in rice. Genom. Appl. Biol. 2018, 37, 3881–3888. [Google Scholar]
- Shi, R.; Shuford, C.M.; Wang, J.P.; Sun, Y.-H.; Yang, Z.; Chen, H.-C.; Tunlaya-Anukit, S.; Li, Q.; Liu, J.; Muddiman, D.C. Regulation of phenylalanine ammonia-lyase (PAL) gene family in wood forming tissue of Populus trichocarpa. Planta 2013, 238, 487–497. [Google Scholar] [CrossRef]
- Huang, J.; Gu, M.; Lai, Z.; Fan, B.; Shi, K.; Zhou, Y.-H.; Yu, J.-Q.; Chen, Z. Functional analysis of the Arabidopsis PAL gene family in plant growth, development, and response to environmental stress. Plant Physiol. 2010, 153, 1526–1538. [Google Scholar] [CrossRef]
- Larkcom, J. Oriental Vegetables: The Complete Guide for Garden and Kitchen; John Murray Ltd.: London, UK, 1991; ISBN 0719547814. [Google Scholar]
- Karamat, U.; Sun, X.; Li, N.; Zhao, J. Genetic regulators of leaf size in Brassica crops. Hortic. Res. 2021, 8, 91. [Google Scholar] [CrossRef]
- Chen, H.; Wang, T.; He, X.; Cai, X.; Lin, R.; Liang, J.; Wu, J.; King, G.; Wang, X. BRAD V3. 0: An upgraded Brassicaceae database. Nucleic Acids Res. 2022, 50, D1432–D1441. [Google Scholar] [CrossRef]
- Yu, H.; Li, Y.; Han, W.; Bao, L.; Liu, F.; Ma, Y.; Pu, Z.; Zeng, Q.; Zhang, L.; Bao, Z. Pan-evolutionary and regulatory genome architecture delineated by an integrated macro-and microsynteny approach. Nat. Protoc. 2024, 19, 1623–1678. [Google Scholar] [CrossRef]
- Schmitz, R.J.; Grotewold, E.; Stam, M. Cis-regulatory sequences in plants: Their importance, discovery, and future challenges. Plant Cell 2022, 34, 718–741. [Google Scholar] [CrossRef] [PubMed]
- Marand, A.P.; Eveland, A.L.; Kaufmann, K.; Springer, N.M. cis-Regulatory elements in plant development, adaptation, and evolution. Annu. Rev. Plant Biol. 2023, 74, 111–137. [Google Scholar] [CrossRef]
- Luo, Y.; Guo, Z.; Li, L. Evolutionary conservation of microRNA regulatory programs in plant flower development. Dev. Biol. 2013, 380, 133–144. [Google Scholar] [CrossRef] [PubMed]
- Zhu, Q.-H.; Helliwell, C.A. Regulation of flowering time and floral patterning by miR172. J. Exp. Bot. 2011, 62, 487–495. [Google Scholar] [CrossRef] [PubMed]
- Tang, M.; Bai, X.; Niu, L.-J.; Chai, X.; Chen, M.-S.; Xu, Z.-F. miR172 regulates both vegetative and reproductive development in the perennial woody plant Jatropha curcas. Plant Cell Physiol. 2018, 59, 2549–2563. [Google Scholar] [CrossRef]
- Dong, N.Q.; Lin, H.X. Contribution of phenylpropanoid metabolism to plant development and plant–environment interactions. J. Integr. Plant Biol. 2021, 63, 180–209. [Google Scholar] [CrossRef] [PubMed]
- Tak, Y.; Kaur, M.; Gautam, C.; Kumar, R.; Tilgam, J.; Natta, S. Phenolic biosynthesis and metabolic pathways to alleviate stresses in plants. In Plant Phenolics in Abiotic Stress Management; Springer: Berlin/Heidelberg, Germany, 2023; pp. 63–87. [Google Scholar]
- Mattus-Araya, E.; Guajardo, J.; Herrera, R.; Moya-León, M.A. ABA speeds up the progress of color in developing F. chiloensis fruit through the activation of PAL, CHS and ANS, key genes of the phenylpropanoid/flavonoid and anthocyanin pathways. Int. J. Mol. Sci. 2022, 23, 3854. [Google Scholar] [CrossRef]
- Liu, H.; Liu, Z.; Wu, Y.; Zheng, L.; Zhang, G. Regulatory mechanisms of anthocyanin biosynthesis in apple and pear. Int. J. Mol. Sci. 2021, 22, 8441. [Google Scholar] [CrossRef]
- Tang, K.; Karamat, U.; Li, G.; Guo, J.; Jiang, S.; Fu, M.; Yang, X. Integrated metabolome and transcriptome analyses reveal the role of BoGSTF12 in anthocyanin accumulation in Chinese kale (Brassica oleracea var. alboglabra). BMC Plant Biol. 2024, 24, 335. [Google Scholar] [CrossRef]
- Sharma, A.; Shahzad, B.; Rehman, A.; Bhardwaj, R.; Landi, M.; Zheng, B. Response of phenylpropanoid pathway and the role of polyphenols in plants under abiotic stress. Molecules 2019, 24, 2452. [Google Scholar] [CrossRef]
- Rivero, R.M.; Ruiz, J.M.; Garcıa, P.C.; Lopez-Lefebre, L.R.; Sánchez, E.; Romero, L. Resistance to cold and heat stress: Accumulation of phenolic compounds in tomato and watermelon plants. Plant Sci. 2001, 160, 315–321. [Google Scholar] [CrossRef] [PubMed]
- Madhusmita, P.; Neelofar, M. Low-light and its effects on crop yield: Genetic and genomic implications. J. Biosci. 2020, 45, 102. [Google Scholar]
- Liu, L.; Xie, Y.; Yahaya, B.S.; Wu, F. GIGANTEA Unveiled: Exploring Its Diverse Roles and Mechanisms. Genes 2024, 15, 94. [Google Scholar] [CrossRef]
- Pazuki, A.; Aflaki, F.; Pessarakli, M. Ultraviolet Radiation Effects on Plants: Harmful or Beneficial? In Handbook of Plant and Crop Stress, Fourth Edition; CRC Press: Boca Raton, FL, USA, 2019; pp. 451–466. [Google Scholar]
- Barros, J.; Dixon, R.A. Plant phenylalanine/tyrosine ammonia-lyases. Trends Plant Sci. 2020, 25, 66–79. [Google Scholar] [CrossRef] [PubMed]
- Yadav, V.; Wang, Z.; Wei, C.; Amo, A.; Ahmed, B.; Yang, X.; Zhang, X. Phenylpropanoid pathway engineering: An emerging approach towards plant defense. Pathogens 2020, 9, 312. [Google Scholar] [CrossRef]
- Liu, Y.; Feng, X.; Zhang, Y.; Zhou, F.; Zhu, P. Simultaneous changes in anthocyanin, chlorophyll, and carotenoid contents produce green variegation in pink–leaved ornamental kale. BMC Genom. 2021, 22, 455. [Google Scholar] [CrossRef]
- Zou, J.; Gong, Z.; Liu, Z.; Ren, J.; Feng, H. Investigation of the Key Genes Associated with Anthocyanin Accumulation during Inner Leaf Reddening in Ornamental Kale (Brassica oleracea L. var. acephala). Int. J. Mol. Sci. 2023, 24, 2837. [Google Scholar] [CrossRef] [PubMed]
- Hajam, Y.A.; Lone, R.; Kumar, R. Role of plant phenolics against reactive oxygen species (ROS) induced oxidative stress and biochemical alterations. In Plant Phenolics in Abiotic Stress Management; Springer: Berlin/Heidelberg, Germany, 2023; pp. 125–147. [Google Scholar]
- Yadav, S.; Chattopadhyay, D. Lignin: The building block of defense responses to stress in plants. J. Plant Growth Regul. 2023, 42, 6652–6666. [Google Scholar] [CrossRef]
- MacDonald, M.J.; D’Cunha, G.B. A modern view of phenylalanine ammonia lyase. Biochem. Cell Biol. 2007, 85, 273–282. [Google Scholar] [CrossRef]
- Ferrer, J.-L.; Austin, M.; Stewart, C., Jr.; Noel, J. Structure and function of enzymes involved in the biosynthesis of phenylpropanoids. Plant Physiol. Biochem. 2008, 46, 356–370. [Google Scholar] [CrossRef]
- Zhang, X.; Shen, Y.; Mu, K.; Cai, W.; Zhao, Y.; Shen, H.; Wang, X.; Ma, H. Phenylalanine ammonia lyase GmPAL1. 1 promotes seed vigor under high-temperature and-humidity stress and enhances seed germination under salt and drought stress in transgenic Arabidopsis. Plants 2022, 11, 3239. [Google Scholar] [CrossRef] [PubMed]
- Shang, Q.-M.; Li, L.; Dong, C.-J. Multiple tandem duplication of the phenylalanine ammonia-lyase genes in Cucumis sativus L. Planta 2012, 236, 1093–1105. [Google Scholar] [CrossRef] [PubMed]
- Shi, R.; Sun, Y.-H.; Li, Q.; Heber, S.; Sederoff, R.; Chiang, V.L. Towards a systems approach for lignin biosynthesis in Populus trichocarpa: Transcript abundance and specificity of the monolignol biosynthetic genes. Plant Cell Physiol. 2010, 51, 144–163. [Google Scholar] [CrossRef]
- Liu, S.; Liu, Y.; Yang, X.; Tong, C.; Edwards, D.; Parkin, I.A.; Zhao, M.; Ma, J.; Yu, J.; Huang, S. The Brassica oleracea genome reveals the asymmetrical evolution of polyploid genomes. Nat. Commun. 2014, 5, 3930. [Google Scholar] [CrossRef]
- He, Z.; Ji, R.; Havlickova, L.; Wang, L.; Li, Y.; Lee, H.T.; Song, J.; Koh, C.; Yang, J.; Zhang, M. Genome structural evolution in Brassica crops. Nat. Plants 2021, 7, 757–765. [Google Scholar] [CrossRef]
- Hu, B.; Jin, J.; Guo, A.-Y.; Zhang, H.; Luo, J.; Gao, G. GSDS 2.0: An upgraded gene feature visualization server. Bioinformatics 2015, 31, 1296–1297. [Google Scholar] [CrossRef] [PubMed]
- The Brassica rapa Genome Sequencing Project Consortium; Wang, X.; Wang, H.; Wang, J.; Sun, R.; Wu, J.; Liu, S.; Bai, Y.; Mun, J.-H.; Bancroft, I.; et al. The genome of the mesopolyploid crop species Brassica rapa. Nat. Genet. 2011, 43, 1035–1039. [Google Scholar] [CrossRef]
- Tian, J.; Xu, R.; Chang, K.; Yuan, S.; Huang, C.; Wang, J.; Li, S.; Liu, F.; Zhong, F. Identification of PAL gene in purple cabbage and functional analysis related to anthocyanin synthesis. Horticulturae 2023, 9, 469. [Google Scholar] [CrossRef]
- Feng, Y.; Huang, Q.; Zhang, R.; Li, J.; Luo, K.; Chen, Y. Molecular characterisation of PAL gene family reveals their role in abiotic stress response in lucerne (Medicago sativa). Crop Pasture Sci. 2022, 73, 300–311. [Google Scholar] [CrossRef]
- He, Y.; Zhong, X.; Jiang, X.; Cong, H.; Sun, H.; Qiao, F. Characterisation, expression and functional analysis of PAL gene family in Cephalotaxus hainanensis. Plant Physiol. Biochem. 2020, 156, 461–470. [Google Scholar] [CrossRef]
- Guo, J.; Wang, M.-H. Characterization of the phenylalanine ammonia-lyase gene (SlPAL5) from tomato (Solanum lycopersicum L.). Mol. Biol. Rep. 2009, 36, 1579–1585. [Google Scholar] [CrossRef] [PubMed]
- Poole, R.L. The TAIR database. In Plant Bioinformatics: Methods and Protocols; Humana Press: Totowa, NJ, USA, 2007; pp. 179–212. [Google Scholar]
- Chen, C.; Wu, Y.; Li, J.; Wang, X.; Zeng, Z.; Xu, J.; Liu, Y.; Feng, J.; Chen, H.; He, Y.; et al. TBtools-II: A “one for all, all for one” bioinformatics platform for biological big-data mining. Mol. Plant 2023, 16, 1733–1742. [Google Scholar] [CrossRef] [PubMed]
- Kohl, M.; Wiese, S.; Warscheid, B. Cytoscape: Software for visualization and analysis of biological networks. In Data Mining in Proteomics: From Standards to Applications; Springer Science+Business Media, LLC: Totowa, NJ, USA, 2011; pp. 291–303. [Google Scholar]
- Karamat, U.; Tabusam, J.; Khan, M.K.U.; Awan, M.J.A.; Zulfiqar, S.; Du, W.; Farooq, M.A. Genome-wide identification, characterization, and expression profiling of eukaryotic-specific UBP Family genes in Brassica rapa. J. Plant Growth Regul. 2023, 42, 3552–3567. [Google Scholar] [CrossRef]










| Gene ID | Gene Name | Start, Stop | Strand | CDS/bp | Protein/aa | MW/kDa | pI | GRAVY | Predicted Sub-Cellular Localization |
|---|---|---|---|---|---|---|---|---|---|
| BolC04g011300.2J | BolPAL1-1 | 8851040, 8853849 | + | 2157 | 719 | 78.09 | 5.86 | −0.144 | Plastid |
| BolC04g062040.2J | BolPAL1-2 | 61207976, 61210509 | − | 2166 | 722 | 78.3 | 5.97 | −0.161 | Chloroplast |
| BolC08g037230.2J | BolPAL2-1 | 38002613, 38005124 | − | 2169 | 723 | 78.6 | 5.97 | −0.169 | Cytoplasm |
| BolC04g039290.2J | BolPAL2-2 | 40458443, 40460957 | + | 2172 | 724 | 78.6 | 6.03 | −0.157 | Cytoplasm |
| BolC06g020590.2J | BolPAL2-3 | 23428035, 23430891 | − | 2154 | 718 | 78.03 | 5.54 | −0.202 | Chloroplast |
| BolC04g038920.2J | BolPAL2-4 | 40141340, 40143854 | + | 2172 | 724 | 78.6 | 6.03 | −0.157 | Chloroplast |
| BolC02g001850.2J | BolPAL3-1 | 1348328, 1349230 | + | 801 | 267 | 29.8 | 7.71 | −0.37 | Chloroplast |
| BolC04g048500.2J | BolPAL3-2 | 49763466, 49765706 | − | 1734 | 578 | 63.98 | 5.73 | −0.146 | Cytoplasm |
| BolC05g056320.2J | BolPAL4 | 52636659, 52640911 | − | 2118 | 706 | 76.23 | 5.73 | −0.133 | Cytoplasm |
Disclaimer/Publisher’s Note: The statements, opinions and data contained in all publications are solely those of the individual author(s) and contributor(s) and not of MDPI and/or the editor(s). MDPI and/or the editor(s) disclaim responsibility for any injury to people or property resulting from any ideas, methods, instructions or products referred to in the content. |
© 2024 by the authors. Licensee MDPI, Basel, Switzerland. This article is an open access article distributed under the terms and conditions of the Creative Commons Attribution (CC BY) license (https://creativecommons.org/licenses/by/4.0/).
Share and Cite
Karamat, U.; Guo, J.; Jiang, S.; Khan, I.; Lu, M.; Fu, M.; Li, G. Comprehensive, Genome-Wide Identification and Expression Analyses of Phenylalanine Ammonia-Lyase Family under Abiotic Stresses in Brassica oleracea. Int. J. Mol. Sci. 2024, 25, 10276. https://doi.org/10.3390/ijms251910276
Karamat U, Guo J, Jiang S, Khan I, Lu M, Fu M, Li G. Comprehensive, Genome-Wide Identification and Expression Analyses of Phenylalanine Ammonia-Lyase Family under Abiotic Stresses in Brassica oleracea. International Journal of Molecular Sciences. 2024; 25(19):10276. https://doi.org/10.3390/ijms251910276
Chicago/Turabian StyleKaramat, Umer, Juxian Guo, Shizheng Jiang, Imran Khan, Mengting Lu, Mei Fu, and Guihua Li. 2024. "Comprehensive, Genome-Wide Identification and Expression Analyses of Phenylalanine Ammonia-Lyase Family under Abiotic Stresses in Brassica oleracea" International Journal of Molecular Sciences 25, no. 19: 10276. https://doi.org/10.3390/ijms251910276
APA StyleKaramat, U., Guo, J., Jiang, S., Khan, I., Lu, M., Fu, M., & Li, G. (2024). Comprehensive, Genome-Wide Identification and Expression Analyses of Phenylalanine Ammonia-Lyase Family under Abiotic Stresses in Brassica oleracea. International Journal of Molecular Sciences, 25(19), 10276. https://doi.org/10.3390/ijms251910276

