Daily Brain Metabolic Rhythms of Wild Nocturnal Bats
Abstract
1. Introduction
2. Results
2.1. Classification of Bat Brain Metabolites
2.2. DAMs Detected between Different Physiological States
2.3. KEGG Pathways Enriched by DAMs
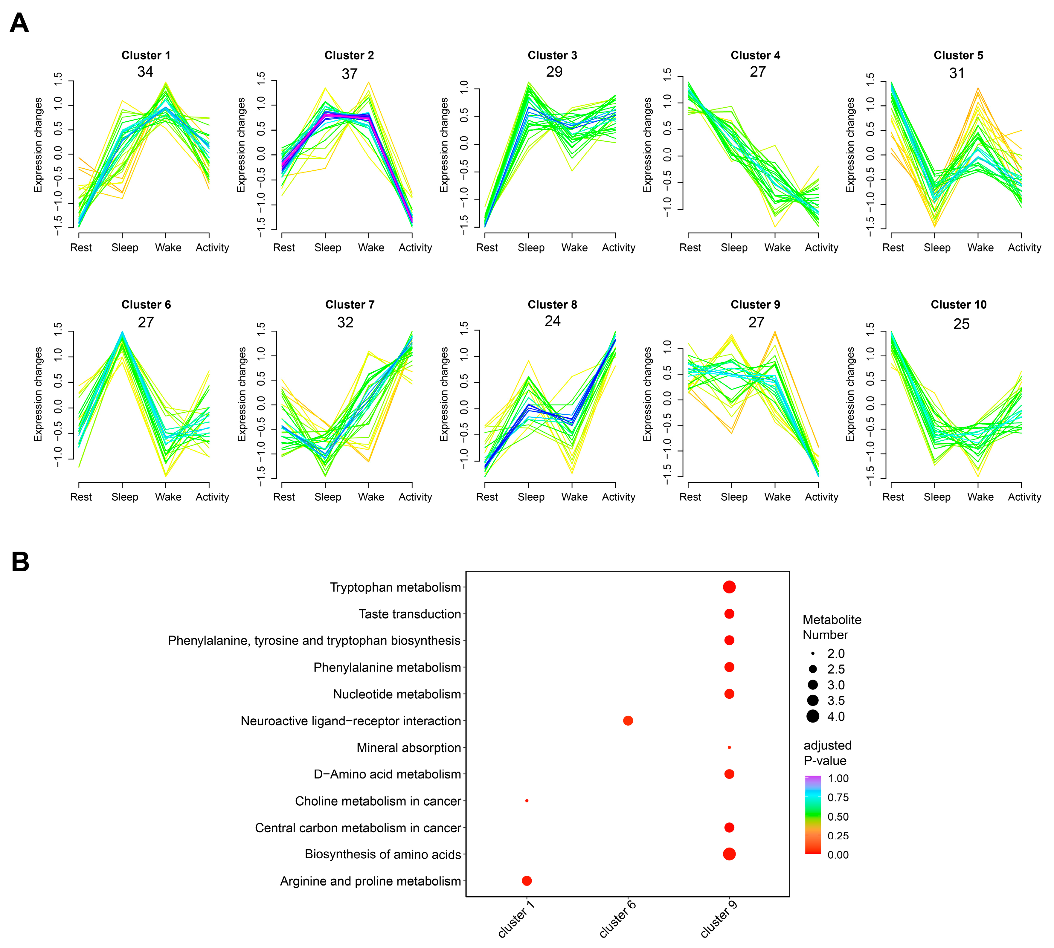
2.4. Clusters of Metabolites and Associated Pathways across Four Time Points
2.5. Rhythmic Metabolites in the Brain of Asian Particolored Bat
2.6. Key Metabolites in the Brains of Bats in a Rest State
2.7. Results of Correlation Analysis between Metabolomics and Transcriptomics
3. Discussion
3.1. Active Pentose Phosphate Pathway before Flight Activity
3.2. Insulin Resistance and Glucagon Keep Blood Glucose Balance in Bat Brain
3.3. Key Physiological Processes in Predation-Related States
3.4. Rhythmic Expression of Core Circadian Clock Genes Per1 and Per2 in the Bat Brain
4. Materials and Methods
4.1. Sample Collection
4.2. Metabolite Extraction and Sequencing Sample Preparation
4.3. LC-MS-Based Metabolomic Analysis
4.4. Metabolomic Data Processing
4.5. Differentially Accumulated Metabolites (DAMs) Identified
4.6. Rhythmic Analysis of Metabolites
4.7. WGCNA Visualization of Metabolite Networks
4.8. Correlation Analysis between Metabolomics and Transcriptomics
5. Conclusions
Supplementary Materials
Author Contributions
Funding
Institutional Review Board Statement
Informed Consent Statement
Data Availability Statement
Acknowledgments
Conflicts of Interest
References
- Kwon, I.; Choe, H.K.; Son, G.H.; Kim, K. Mammalian molecular clocks. Exp. Neurobiol. 2011, 20, 18–28. [Google Scholar] [CrossRef] [PubMed]
- Sim, S.Y.; Joo, K.M.; Kim, H.B.; Jang, S.; Kim, B.; Hong, S.; Kim, S.; Park, K.S. Estimation of Circadian Body Temperature Rhythm Based on Heart Rate in Healthy, Ambulatory Subjects. IEEE J. Biomed. Health Inform. 2017, 21, 407–415. [Google Scholar] [CrossRef]
- Challet, E. Minireview: Entrainment of the Suprachiasmatic clockwork in diurnal and nocturnal mammals. Endocrinology 2007, 148, 5648–5655. [Google Scholar] [CrossRef] [PubMed]
- Chung, S.; Son, G.H.; Kim, K. Adrenal peripheral oscillator in generating the circadian glucocorticoid rhythm. Ann. N. Y. Acad. Sci. 2011, 1220, 71–81. [Google Scholar] [CrossRef]
- Summa, K.C.; Turek, F.W. Chronobiology and Obesity: Interactions between Circadian Rhythms and Energy Regulatio. Adv. Nutr. 2014, 5, 312S–319S. [Google Scholar] [CrossRef]
- Carrero, L.; Antequera, D.; Alcalde, I.; Megías, D.; Figueiro-Silva, J.; Merayo-Lloves, J.; Municio, C.; Carro, E. Disturbed circadian rhythm and retinal degeneration in a mouse model of Alzheimer’s disease. Acta Neuropathol. Commun. 2023, 11, 55. [Google Scholar] [CrossRef]
- von Gall, C. The Effects of Light and the Circadian System on Rhythmic Brain Function. Int. J. Mol. Sci. 2022, 23, 278. [Google Scholar] [CrossRef]
- Ameen, R.W.; Warshawski, A.; Fu, L.; Antle, M.C. Early life circadian rhythm disruption in mice alters brain and behavior in adulthood. Sci. Rep. 2022, 12, 7366. [Google Scholar] [CrossRef]
- Drake, C.L.; Roehrs, T.; Richardson, G.; Walsh, J.K.; Roth, T. Shift work sleep disorder: Prevalence and consequences beyond that of symptomatic day workers. Sleep 2004, 27, 1453–1462. [Google Scholar] [CrossRef]
- Ramin, C.; Devore, E.E.; Wang, W.; Pierre-Paul, J.; Wegrzyn, L.R.; Schernhammer, E.S. Night shift work at specific age ranges and chronic disease risk factors. Occup. Environ. Med. 2015, 72, 100–107. [Google Scholar] [CrossRef]
- Guilding, C.; Piggins, H.D. Challenging the omnipotence of the suprachiasmatic timekeeper: Are circadian oscillators present throughout the mammalian brain? Eur. J. Neurosci. 2007, 25, 3195–3216. [Google Scholar] [CrossRef] [PubMed]
- Takahashi, J.S. Transcriptional architecture of the mammalian circadian clock. Nat. Rev. Genet. 2017, 18, 164–179. [Google Scholar] [CrossRef] [PubMed]
- Masri, S.; Zocchi, L.; Katada, S.; Mora, E.; Sassone-Corsi, P. The circadian clock transcriptional complex: Metabolic feedback intersects with epigenetic control. Ann. N. Y. Acad. Sci. 2011, 1264, 103–109. [Google Scholar] [CrossRef] [PubMed]
- O’Neill, J.S.; Maywood, E.S.; Chesham, J.E.; Takahashi, J.S.; Hastings, M.H. cAMP-dependent signaling as a core component of the mammalian circadian pacemaker. Science 2008, 320, 949–953. [Google Scholar] [CrossRef] [PubMed]
- Wang, D.; Sun, M.; Liu, Y.; Wang, L.; Li, C.; Li, Y.; Jiang, H. Isorhynchophylline Regulates the Circadian Rhythm of the Hypothalamus in Spontaneously Hypertensive Rats to Treat Hypertension. Curr. Pharm. Des. 2023, 29, 139–148. [Google Scholar]
- Gillette, M.U.; McArthur, A.J. Circadian actions of melatonin at the suprachiasmatic nucleus. Behav. Brain Res. 1996, 73, 135–139. [Google Scholar] [CrossRef]
- Shochat, T.; Haimov, I.; Lavie, P. Melatonin--the key to the gate of sleep. Ann. Med. 1998, 30, 109–114. [Google Scholar]
- Claustrat, B.; Geoffriau, M.; Brun, J.; Chazot, G. Melatonin in humans: A biochemical marker of the circadian clock and an endogenous synchronizer. Neurophysiol. Clin. = Clin. Neurophysiol. 1995, 25, 351–359. [Google Scholar] [CrossRef]
- Buijink, M.R.; van Weeghel, M.; Gulersonmez, M.C.; Harms, A.C.; Rohling, J.H.T.; Meijer, J.H.; Hankemeier, T.; Michel, S. The influence of neuronal electrical activity on the mammalian central clock metabolome. Metabolomics 2018, 14, 122. [Google Scholar] [CrossRef]
- Plumel, M.; Dumont, S.; Maes, P.; Sandu, C.; Felder-Schmittbuhl, M.-P.; Challet, E.; Bertile, F. Circadian Analysis of the Mouse Cerebellum Proteome. Int. J. Mol. Sci. 2019, 20, 1852. [Google Scholar] [CrossRef]
- Arita, H.T.; Fenton, M.B. Flight and echlocation in the ecology and evolution of bats. Trends Ecol. Evol. 1997, 12, 53–58. [Google Scholar] [CrossRef] [PubMed]
- Paksuz, E.P.; Hayretdag, S.; Olgun, K. Prenatal development in greater mouse-eared bat, Myotis myotis (Borkhausen, 1797) (Chiroptera, Vespertilionidae). Anat. Histol. Embryol. 2017, 46, 563–571. [Google Scholar] [CrossRef] [PubMed]
- Zhang, G.; Chu, Y.; Jiang, T.; Li, J.; Feng, L.; Wu, H.; Wang, H.; Feng, J. Comparative analysis of the daily brain transcriptomes of Asian particolored bat. Sci. Rep. 2022, 12, 3876. [Google Scholar] [CrossRef] [PubMed]
- Chong, J.; Xia, J. MetaboAnalystR: An R package for flexible and reproducible analysis of metabolomics data. Bioinformatics 2018, 34, 4313–4314. [Google Scholar] [CrossRef] [PubMed]
- Koop, S.; Oster, H. Eat, sleep, repeat—Endocrine regulation of behavioural circadian rhythms. FEBS J. 2022, 289, 6543–6558. [Google Scholar] [CrossRef]
- Las, L.; Ulanovsky, N. The Bats. Nat. Methods 2024, 21, 1135–1137. [Google Scholar] [CrossRef]
- Austad, S.N.; Fischer, K.E. Mammalian aging, metabolism, and ecology: Evidence from the bats and marsupials. J. Gerontol. 1991, 46, B47–B53. [Google Scholar] [CrossRef]
- Munshi-South, J.; Wilkinson, G.S. Bats and birds: Exceptional longevity despite high metabolic rates. Ageing Res. Rev. 2010, 9, 12–19. [Google Scholar] [CrossRef]
- Farooqui, A.A. Lipid Mediators in the Neural Cell Nucleus: Their Metabolism, Signaling, and Association with Neurological Disorders. Neuroscientist 2009, 15, 392–407. [Google Scholar] [CrossRef]
- Singh, A.; Kukal, S.; Kanojia, N.; Singh, M.; Saso, L.; Kukreti, S.; Kukreti, R. Lipid mediated brain disorders: A perspective. Prostaglandins Other Lipid Mediat. 2023, 167, 106737. [Google Scholar] [CrossRef]
- Berry, G.T.; Demirbas, D.; Volpe, J.J. Organic Acids. In Volpe’s Neurology of the Newborn; Elsevier: Amsterdam, The Netherlands, 2025; pp. 940–964. [Google Scholar]
- Park, S.J.; Choi, J.W. Brain energy metabolism and multiple sclerosis: Progress and prospects. Arch. Pharmacal Res. 2020, 43, 1017–1030. [Google Scholar] [CrossRef] [PubMed]
- Zheng, X.; Chen, T.; Zhao, A.; Wang, X.; Xie, G.; Huang, F.; Liu, J.; Zhao, Q.; Wang, S.; Wang, C.; et al. The Brain Metabolome of Male Rats across the Lifespan. Sci. Rep. 2016, 6, 24125. [Google Scholar] [CrossRef] [PubMed]
- Ding, J.; Ji, J.; Rabow, Z.; Shen, T.; Folz, J.; Brydges, C.R.; Fan, S.; Lu, X.; Mehta, S.; Showalter, M.R.; et al. A metabolome atlas of the aging mouse brain. Nat. Commun. 2021, 12, 6021. [Google Scholar] [CrossRef]
- Liu, P.; Yang, Q.; Yu, N.; Cao, Y.; Wang, X.; Wang, Z.; Qiu, W.-Y.; Ma, C. Phenylalanine Metabolism Is Dysregulated in Human Hippocampus with Alzheimer’s Disease Related Pathological Changes. J. Alzheimers Dis. 2021, 83, 609–622. [Google Scholar] [CrossRef]
- Teslaa, T.; Ralser, M.; Fan, J.; Rabinowitz, J.D. The pentose phosphate pathway in health and disease. Nat. Metab. 2023, 5, 1275–1289. [Google Scholar] [CrossRef]
- Rey, G.; Valekunja, U.K.; Feeney, K.A.; Wulund, L.; Milev, N.B.; Stangherlin, A.; Ansel-Bollepalli, L.; Velagapudi, V.; O’Neill, J.S.; Reddy, A.B. The Pentose Phosphate Pathway Regulates the Circadian Clock. Cell Metab. 2016, 24, 462–473. [Google Scholar] [CrossRef]
- Patra, K.C.; Hay, N. The pentose phosphate pathway and cancer. Trends Biochem. Sci. 2014, 39, 347–354. [Google Scholar] [CrossRef]
- Wamelink, M.M.C.; Struys, E.A.; Jakobs, C. The biochemistry, metabolism and inherited defects of the pentose phosphate pathway: A review. J. Inherit. Metab. Dis. 2008, 31, 703–717. [Google Scholar] [CrossRef]
- Yen, W.-C.; Wu, Y.-H.; Wu, C.-C.; Lin, H.-R.; Stern, A.; Chen, S.-H.; Shu, J.-C.; Chiu, D.T.-Y. Impaired inflammasome activation and bacterial clearance in G6PD deficiency due to defective NOX/p38 MAPK/AP-1 redox signaling. Redox Biol. 2020, 28, 101363. [Google Scholar] [CrossRef]
- Stanton, R.C. Glucose-6-phosphate dehydrogenase, NADPH, and cell survival. IUBMB Life 2012, 64, 362–369. [Google Scholar] [CrossRef]
- Aminuddin, M. Substrate level versus oxidative phosphorylation in the generation of ATP in Thiobacillus denitrificans. Arch. Microbiol. 1980, 128, 19–25. [Google Scholar] [CrossRef] [PubMed]
- Anderson, S.C.; Ruxton, G.D. The evolution of flight in bats: A novel hypothesis. Mammal Rev. 2020, 50, 426–439. [Google Scholar] [CrossRef]
- Maina, J.N. What it takes to fly: The structural and functional respiratory refinements in birds and bats. J. Exp. Biol. 2000, 203, 3045–3064. [Google Scholar] [CrossRef]
- Shen, Y.-Y.; Liang, L.; Zhu, Z.-H.; Zhou, W.-P.; Irwin, D.M.; Zhang, Y.-P. Adaptive evolution of energy metabolism genes and the origin of flight in bats. Proc. Natl. Acad. Sci. USA 2010, 107, 8666–8671. [Google Scholar] [CrossRef]
- Droge, W. Free radicals in the physiological control of cell function. Physiol. Rev. 2002, 82, 47–95. [Google Scholar] [CrossRef]
- Zhang, G.; Cowled, C.; Shi, Z.; Huang, Z.; Bishop-Lilly, K.A.; Fang, X.; Wynne, J.W.; Xiong, Z.; Baker, M.L.; Zhao, W.; et al. Comparative Analysis of Bat Genomes Provides Insight into the Evolution of Flight and Immunity. Science 2013, 339, 456–460. [Google Scholar] [CrossRef]
- Somvanshi, P.R.; Tomar, M.; Kareenhalli, V. Computational Analysis of Insulin-Glucagon Signalling Network: Implications of Bistability to Metabolic Homeostasis and Disease states. Sci. Rep. 2019, 9, 15298. [Google Scholar] [CrossRef]
- Miller, R.A.; Chu, Q.; Xie, J.; Foretz, M.; Viollet, B.; Birnbaum, M.J. Biguanides suppress hepatic glucagon signalling by decreasing production of cyclic AMP. Nature 2013, 494, 256–260. [Google Scholar] [CrossRef]
- Rui, L. Energy Metabolism in the Liver. Compr. Physiol. 2014, 4, 177–197. [Google Scholar]
- Jones, B.J.; Tan, T.; Bloom, S.R. Minireview: Glucagon in Stress and Energy Homeostasis. Endocrinology 2012, 153, 1049–1054. [Google Scholar] [CrossRef]
- Szablewski, L. Changes in Cells Associated with Insulin Resistance. Int. J. Mol. Sci. 2024, 25, 2397. [Google Scholar] [CrossRef] [PubMed]
- Bass, J. Circadian topology of metabolism. Nature 2012, 491, 348–356. [Google Scholar] [CrossRef] [PubMed]
- Froy, O. Circadian aspects of energy metabolism and aging. Ageing Res. Rev. 2013, 12, 931–940. [Google Scholar] [CrossRef] [PubMed]
- Chamorro, R.; Farias, R.; Peirano, P. Regulación circadiana, patrón horario de alimentación y sueño: Enfoque en el problema de obesidad. Rev. Chil. Nutr. 2018, 45, 285–292. [Google Scholar] [CrossRef]
- Wakamatsu, H.; Yoshinobu, Y.; Aida, R.; Moriya, T.; Akiyama, M.; Shibata, S. Restricted-feeding-induced anticipatory activity rhythm is associated with a phase-shift of the expression of mPer1 and mPer2 mRNA in the cerebral cortex and hippocampus but not in the suprachiasmatic nucleus of mice. Eur. J. Neurosci. 2001, 13, 1190–1196. [Google Scholar] [CrossRef]
- Otsuka, A.; Shiuchi, T. Modification of Energy Metabolism and Higher Brain Function by Feeding Rhythm. Yakugaku Zasshi-J. Pharm. Soc. Jpn. 2018, 138, 1297–1304. [Google Scholar] [CrossRef]
- Tahara, Y.; Shibata, S. Chronobiology and Nutrition. Neuroscience 2013, 253, 78–88. [Google Scholar] [CrossRef]
- Dashti, H.S.; Scheer, F.A.J.L.; Saxena, R.; Garaulet, M. Timing of Food Intake: Identifying Contributing Factors to Design Effective Interventions. Adv. Nutr. 2019, 10, 606–620. [Google Scholar] [CrossRef]
- Hutchison, A.T.; Heilbronn, L.K. Metabolic impacts of altering meal frequency and timing—Does when we eat matter? Biochimie 2016, 124, 187–197. [Google Scholar] [CrossRef]
- Mattson, M.P.; Allison, D.B.; Fontana, L.; Harvie, M.; Longo, V.D.; Malaisse, W.J.; Mosley, M.; Notterpek, L.; Ravussin, E.; Scheer, F.A.J.L.; et al. Meal frequency and timing in health and disease. Proc. Natl. Acad. Sci. USA 2014, 111, 16647–16653. [Google Scholar] [CrossRef]
- Wilinski, D.; Winzeler, J.; Duren, W.; Persons, J.L.; Holme, K.J.; Mosquera, J.; Khabiri, M.; Kinchen, J.M.; Freddolino, P.L.; Karnovsky, A.; et al. Rapid metabolic shifts occur during the transition between hunger and satiety in Drosophila melanogaster. Nat. Commun. 2019, 10, 4052. [Google Scholar] [CrossRef] [PubMed]
- Shu, T.; Wu, T.; Pang, M.; Liu, C.; Wang, X.; Wang, J.; Liu, B.; Rong, L.M. Effects and mechanisms of melatonin on neural differentiation of induced pluripotent stem cells. Biochem. Biophys. Res. Commun. 2016, 474, 566–571. [Google Scholar] [CrossRef] [PubMed]
- Lai, L.; Yuan, L.; Chen, Q.; Dong, C.; Mao, L.; Rowan, B.; Frasch, T.; Hill, S.M. The Gαi and Gαq proteins mediate the effects of melatonin on steroid/thyroid hormone receptor transcriptional activity and breast cancer cell proliferation. J. Pineal Res. 2008, 45, 476–488. [Google Scholar] [CrossRef] [PubMed]
- Anisimov, V.N.; Popovich, I.G.; Zabezhinski, M.A.; Anisimov, S.V.; Vesnushkin, G.M.; Vinogradova, I.A. Melatonin as antioxidant, geroprotector and anticarcinogen. Biochim. Biophys. Acta-Bioenerg. 2006, 1757, 573–589. [Google Scholar] [CrossRef] [PubMed]
- Mohd Azmi, N.A.S.; Juliana, N.; Azmani, S.; Mohd Effendy, N.; Abu, I.F.; Mohd Fahmi Teng, N.I.; Das, S. Cortisol on Circadian Rhythm and Its Effect on Cardiovascular System. Int. J. Environ. Res. Public Health 2021, 18, 676. [Google Scholar] [CrossRef] [PubMed]
- Kim, T.W.; Jeong, J.-H.; Hong, S.-C. The Impact of Sleep and Circadian Disturbance on Hormones and Metabolism. Int. J. Endocrinol. 2015, 2015, 591729. [Google Scholar] [CrossRef]
- Porkka-Heiskanen, T.; Kalinchuk, A.V. Adenosine, energy metabolism and sleep homeostasis. Sleep Med. Rev. 2011, 15, 123–135. [Google Scholar] [CrossRef]
- Wang, Y.; Liu, Z.; Liu, C.; Liu, R.; Yang, C.; Wang, L.; Song, L. Cortisol modulates glucose metabolism and oxidative response after acute high temperature stress in Pacific oyster Crassostrea gigas. Fish Shellfish Immunol. 2022, 126, 141–149. [Google Scholar] [CrossRef]
- Willis, C.K.R.; Wilcox, A. Hormones and hibernation: Possible links between hormone systems, winter energy balance and white-nose syndrome in bats. Horm. Behav. 2014, 66, 66–73. [Google Scholar] [CrossRef]
- Xue, C.; Li, G.; Zheng, Q.; Gu, X.; Shi, Q.; Su, Y.; Chu, Q.; Yuan, X.; Bao, Z.; Lu, J.; et al. Tryptophan metabolism in health and disease. Cell Metab. 2023, 35, 1304–1326. [Google Scholar] [CrossRef]
- Konturek, S.J.; Konturek, P.C.; Brzozowski, T.; Bubenik, G.A. Role of melatonin in upper gastrointestinal tract. J. Physiol. Pharmacol. 2007, 58, 23–52. [Google Scholar] [PubMed]
- Dunwiddie, T.V.; Masino, S.A. The role and regulation of adenosine in the central nervous system. Annu. Rev. Neurosci. 2001, 24, 31–55. [Google Scholar] [CrossRef] [PubMed]
- Kun, X.; Hong, H.C.; Subramanian, P. Melatonin and sleep. Biol. Rhythm Res. 2019, 50, 490–493. [Google Scholar] [CrossRef]
- Pang, S.F.; Brown, G.M. Regional concentrations of melatonin in the rat brain in the light and dark period. Life Sci. 1983, 33, 1199–1204. [Google Scholar] [CrossRef]
- Benstaali, C.; Mailloux, A.; Bogdan, A.; Auzeby, A.; Touitou, Y. Circadian rhythms of body temperature and motor activity in rodents their relationships with the light-dark cycle. Life Sci. 2001, 68, 2645–2656. [Google Scholar] [CrossRef]
- Asai, M.; Yoshinobu, Y.; Kaneko, S.; Mori, A.; Nikaido, T.; Moriya, T.; Akiyama, M.; Shibata, S. Circadian profile of Per gene mRNA expression in the suprachiasmatic nucleus, paraventricular nucleus, and pineal body of aged rats. J. Neurosci. Res. 2001, 66, 1133–1139. [Google Scholar] [CrossRef]
- Zhu, L.; Yu, J.; Zhang, W.; Xie, B.; Zhu, Y. Research progress on the central mechanism underlying regulation of visceral biological rhythm by by per2. Mol. Med. Rep. 2014, 10, 2241–2248. [Google Scholar] [CrossRef]
- Manfredini, R.; Portaluppi, F. Night shift and impaired endothelial function: Circadian out-of-synch may play a role. Int. J. Cardiol. 2012, 154, 94–95. [Google Scholar] [CrossRef]
- Tonsfeldt, K.J.; Chappell, P.E. Clocks on top: The role of the circadian clock in the hypothalamic and pituitary regulation of endocrine physiology. Mol. Cell. Endocrinol. 2012, 349, 3–12. [Google Scholar] [CrossRef]
- Swanson, G.; Forsyth, C.B.; Tang, Y.; Shaikh, M.; Zhang, L.; Turek, F.W.; Keshavarzian, A. Role of Intestinal Circadian Genes in Alcohol-Induced Gut Leakiness. Alcohol.-Clin. Exp. Res. 2011, 35, 1305–1314. [Google Scholar] [CrossRef]
- Konturek, P.C.; Brzozowski, T.; Konturek, S.J. Gut Clock: Implication of Circadian Rhythms in the Gastointestinal Tract. J. Physiol. Pharmacol. 2011, 62, 139–150. [Google Scholar] [PubMed]
- Kim, M.; de la Pena, J.B.; Cheong, J.H.; Kim, H.J. Neurobiological Functions of the Period Circadian Clock 2 Gene, Per2. Biomol. Ther. 2018, 26, 358–367. [Google Scholar] [CrossRef] [PubMed]
- Wang, H.; Sun, R.; Xu, N.; Wang, X.; Bao, M.; Li, X.; Li, J.; Lin, A.; Feng, J. Untargeted metabolomics of the cochleae from two laryngeally echolocating bats. Front. Mol. Biosci. 2023, 10, 1171366. [Google Scholar] [CrossRef] [PubMed]
- Miyamoto, H.; Ishibashi, T. Liquid nitrogen vapour freezing of mouse embryos. J. Reprod. Fertil. 1986, 78, 471–478. [Google Scholar] [CrossRef]
- Sun, X.; Weckwerth, W. COVAIN: A toolbox for uni- and multivariate statistics, time-series and correlation network analysis and inverse estimation of the differential Jacobian from metabolomics covariance data. Metabolomics 2012, 8, S81–S93. [Google Scholar] [CrossRef]
- Tang, C.; Li, X.; Wang, T.; Wang, J.; Xiao, M.; He, M.; Chang, X.; Fan, Y.; Li, Y. Characterization of Metabolite Landscape Distinguishes Medicinal Fungus Cordyceps sinensis and other Cordyceps by UHPLC-Q Exactive HF-X Untargeted Metabolomics. Molecules 2023, 28, 7745. [Google Scholar] [CrossRef]














| Comparable Group | Up DAMs | KEGG Pathway | Down DAMs | KEGG Pathway | Total DAMs | ||
|---|---|---|---|---|---|---|---|
| p < 0.05 | Adjusted p < 0.05 | p < 0.05 | Adjusted p < 0.05 | ||||
| Rest vs. Sleep | 48 | 6 | 0 | 62 | 13 | 0 | 110 |
| Sleep vs. Wake | 28 | 10 | 0 | 20 | 11 | 0 | 48 |
| Wake vs. Activity | 71 | 20 | 3 | 30 | 8 | 1 | 101 |
| Activity vs. Rest | 69 | 6 | 0 | 96 | 19 | 5 | 165 |
| Rest vs. Wake | 42 | 5 | 0 | 62 | 9 | 0 | 104 |
| Sleep vs. Activity | 79 | 18 | 3 | 32 | 2 | 0 | 111 |
Disclaimer/Publisher’s Note: The statements, opinions and data contained in all publications are solely those of the individual author(s) and contributor(s) and not of MDPI and/or the editor(s). MDPI and/or the editor(s) disclaim responsibility for any injury to people or property resulting from any ideas, methods, instructions or products referred to in the content. |
© 2024 by the authors. Licensee MDPI, Basel, Switzerland. This article is an open access article distributed under the terms and conditions of the Creative Commons Attribution (CC BY) license (https://creativecommons.org/licenses/by/4.0/).
Share and Cite
Wang, T.; Wang, H.; Chu, Y.; Bao, M.; Li, X.; Zhang, G.; Feng, J. Daily Brain Metabolic Rhythms of Wild Nocturnal Bats. Int. J. Mol. Sci. 2024, 25, 9850. https://doi.org/10.3390/ijms25189850
Wang T, Wang H, Chu Y, Bao M, Li X, Zhang G, Feng J. Daily Brain Metabolic Rhythms of Wild Nocturnal Bats. International Journal of Molecular Sciences. 2024; 25(18):9850. https://doi.org/10.3390/ijms25189850
Chicago/Turabian StyleWang, Tianhui, Hui Wang, Yujia Chu, Mingyue Bao, Xintong Li, Guoting Zhang, and Jiang Feng. 2024. "Daily Brain Metabolic Rhythms of Wild Nocturnal Bats" International Journal of Molecular Sciences 25, no. 18: 9850. https://doi.org/10.3390/ijms25189850
APA StyleWang, T., Wang, H., Chu, Y., Bao, M., Li, X., Zhang, G., & Feng, J. (2024). Daily Brain Metabolic Rhythms of Wild Nocturnal Bats. International Journal of Molecular Sciences, 25(18), 9850. https://doi.org/10.3390/ijms25189850

