One-Pot, Multi-Component Green Microwave-Assisted Synthesis of Bridgehead Bicyclo[4.4.0]boron Heterocycles and DNA Affinity Studies †
Abstract
1. Introduction
2. Results
2.1. Chemistry
2.2. CT DNA Binding Studies of Boron Heterocycles 18–24 and 26–48
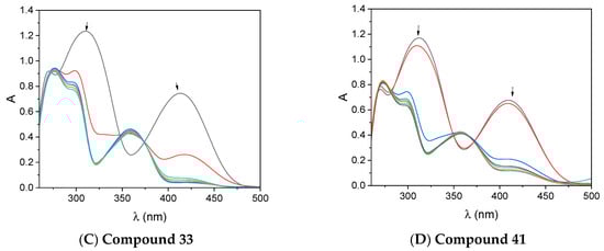
2.2.1. UV–Vis Experiments
2.2.2. Viscosity Experiments
2.2.3. EB-Displacement Fluorometric Experiments
3. Materials and Methods
3.1. General
3.2. General Method for the One-Pot Synthesis of Compounds 18–32 in Toluene (BASAN and BACAN): Method A
3.3. General Method for the One-Pot Synthesis of Compounds 21 and 23 and the Tandem Synthesis of Compound 24 in EtOH (BASAN): Method B
3.4. General Method for the One-Pot Synthesis of Compounds 18–23, 26 and 33–48 BASAN, BASAN-Cl and BASAN-Br: Method C
3.5. Data of Compounds (Pictures of 1H and 13C-NMR and HRMS: Supporting Information Part 1, Section S.1)
3.5.1. 7-Phenyl-5H,7H-7λ4,14λ4-benzo[d]benzo [5,6][1,3,2]oxazaborinino [2,3b][1,3,2]oxazaborinin-5-one (18)
3.5.2. 3-Methyl-7-phenyl-5H,7H-7λ4,14λ4-benzo[d]benzo [5,6][1,3,2]oxazaborinino [2,3-b] [1,3,2]oxazaborinin-5-one (19)
3.5.3. 3-Hydroxy-7-phenyl-5H,7H-7λ4,14λ4-benzo[d]benzo [5,6][1,3,2]oxazaborinino [2,3-b][1,3,2]oxazaborinin-5-one (20)
3.5.4. 3-Fluoro-7-phenyl-5H,7H-7λ4,14λ4-benzo[d]benzo [5,6][1,3,2]oxazaborinino [2,3-b][1,3,2]oxazaborinin-5-one (21)
3.5.5. 3-Chloro-7-phenyl-5H,7H-7λ4,14λ4-benzo[d]benzo [5,6][1,3,2]oxazaborinino [2,3-b][1,3,2]oxazaborinin-5-one (22)
3.5.6. 3-Bromo-7-phenyl-5H,7H-7λ4,14λ4-benzo[d]benzo [5,6][1,3,2]oxazaborinino [2,3-b][1,3,2]oxazaborinin-5-one (23)
3.5.7. 3-Iodo-7-phenyl-5H,7H-7λ4,14λ4-benzo[d]benzo [5,6][1,3,2]oxazaborinino [2,3-b][1,3,2]oxazaborinin-5-one (24)
3.5.8. 3-Nitro-7-phenyl-5H,7H-7λ4,14λ4-benzo[d]benzo [5,6][1,3,2]oxazaborinino [2,3-b][1,3,2]oxazaborinin-5-one (25)
3.5.9. 2-Chloro-7-phenyl-5H,7H-7λ4,14λ4-benzo[d]benzo [5,6][1,3,2]oxazaborinino [2,3-b][1,3,2]oxazaborinin-5-one (26)
3.5.10. 2-Nitro-7-phenyl-5H,7H-7λ4,14λ4-benzo[d]benzo [5,6][1,3,2]oxazaborinino [2,3-b][1,3,2]oxazaborinin-5-one (27)
3.5.11. 13-Methyl-7-phenyl-5H,7H-7λ4,14λ4-benzo[d]benzo [5,6][1,3,2]oxazaborinino [2,3-b] [1,3,2]oxazaborinin-5-one (28)
3.5.12. 3,13-Dimethyl-7-phenyl-5H,7H-7λ4,14λ4-benzo[d]benzo [5,6][1,3,2]oxazaborinino [2,3-b] [1,3,2]oxazaborinin-5-one (29)
3.5.13. 3-Fluoro-13-methyl-7-phenyl-5H,7H-7λ4,14λ4-benzo[d]benzo [5,6][1,3,2]oxazaborinino [2,3-b][1,3,2]oxazaborinin-5-one (30)
3.5.14. 3-Chloro-13-methyl-7-phenyl-5H,7H-7λ4,14λ4-benzo[d]benzo [5,6][1,3,2]oxazaborinino [2,3-b][1,3,2]oxazaborinin-5-one (31)
3.5.15. 3-Bromo-13-methyl-7-phenyl-5H,7H-7λ4,14λ4-benzo[d]benzo [5,6][1,3,2]oxazaborinino [2,3-b][1,3,2]oxazaborinin-5-one (32)
3.5.16. 11-Chloro-7-(4-chlorophenyl)-5H,7H-7λ4,14λ4-benzo[d]benzo [5,6][1,3,2]oxazaborinino [2,3-b][1,3,2]oxazaborinin-5-one (33)
3.5.17. 11-Chloro-7-(4-chlorophenyl)-3-methyl-5H,7H-7λ4,14λ4-benzo[d]benzo [5,6][1,3,2]oxazaborinino [2,3-b][1,3,2]oxazaborinin-5-one (34)
3.5.18. 11-Chloro-7-(4-chlorophenyl)-3-fluoro-5H,7H-7λ4,14λ4-benzo[d]benzo [5,6][1,3,2]oxazaborinino [2,3-b][1,3,2]oxazaborinin-5-one (35)
3.5.19. 3,11-Dichloro-7-(4-chlorophenyl)-5H,7H-7λ4,14λ4-benzo[d]benzo [5,6][1,3,2]oxazaborinino [2,3-b][1,3,2]oxazaborinin-5-one (36)
3.5.20. 3-Bromo-11-chloro-7-(4-chlorophenyl)-5H,7H-7λ4,14λ4benzo[d]benzo [5,6][1,3,2]oxazaborinino [2,3-b][1,3,2]oxazaborinin-5-one (37)
3.5.21. 11-Chloro-7-(4-chlorophenyl)-3-iodo-5H,7H-7λ4,14λ4-benzo[d]benzo [5,6][1,3,2]oxazaborinino [2,3-b][1,3,2]oxazaborinin-5-one (38)
3.5.22. 2,11-Dichloro-7-(4-chlorophenyl)-5H,7H-7λ4,14λ4-benzo[d]benzo [5,6][1,3,2]oxazaborinino [2,3-b][1,3,2]oxazaborinin-5-one (39)
3.5.23. 11-Chloro-7-(4-chlorophenyl)-2-nitro-5H,7H-7λ4,14λ4-benzo[d]benzo [5,6][1,3,2]oxazaborinino [2,3-b][1,3,2]oxazaborinin-5-one (40)
3.5.24. 11-Bromo-7-(4-bromophenyl)-5H,7H-7λ4,14λ4-benzo[d]benzo [5,6][1,3,2]oxazaborinino [2,3-b][1,3,2]oxazaborinin-5-one (41)
3.5.25. 11-Bromo-7-(4-bromophenyl)-3-methyl-5H,7H-7λ4,14λ4-benzo[d]benzo [5,6][1,3,2]oxazaborinino [2,3-b][1,3,2]oxazaborinin-5-one (42)
3.5.26. 11-Bromo-7-(4-bromophenyl)-3-fluoro-5H,7H-7λ4,14λ4-benzo[d]benzo [5,6][1,3,2]oxazaborinino [2,3-b][1,3,2]oxazaborinin-5-one (43)
3.5.27. 11-Bromo-7-(4-bromophenyl)-3-chloro-5H,7H-7λ4,14λ4-benzo[d]benzo [5,6][1,3,2]oxazaborinino [2,3-b][1,3,2]oxazaborinin-5-one (44)
3.5.28. 3,11-Dibromo-7-(4-bromophenyl)-5H,7H-7λ4,14λ4-benzo[d]benzo [5,6][1,3,2]oxazaborinino [2,3-b][1,3,2]oxazaborinin-5-one (45)
3.5.29. 11-Bromo-7-(4-bromophenyl)-3-iodo-5H,7H-7λ4,14λ4-benzo[d]benzo [5,6][1,3,2]oxazaborinino [2,3-b][1,3,2]oxazaborinin-5-one (46)
3.5.30. 11-Bromo-7-(4-bromophenyl)-2-chloro-5H,7H-7λ4,14λ4-benzo[d]benzo [5,6][1,3,2]oxazaborinino [2,3-b][1,3,2]oxazaborinin-5-one (47)
3.5.31. 11-Bromo-7-(4-bromophenyl)-2-nitro-5H,7H-7λ4,14λ4-benzo[d]benzo [5,6][1,3,2]oxazaborinino [2,3-b][1,3,2]oxazaborinin-5-one (48)
3.6. Interaction with CT DNA
4. Conclusions
Supplementary Materials
Author Contributions
Funding
Institutional Review Board Statement
Informed Consent Statement
Data Availability Statement
Acknowledgments
Conflicts of Interest
References
- Kotali, A.; Maniadaki, A.; Kotali, E.; Harris, P.A.; Różycka-Sokołowska, E.; Bałczewski, P.; Joule, J.A. New tetrahedral boron heterobicycles: Cyclocondensation of phenylboronic acid with β-keto butanoic acid N-acyl hydrazones. Tetrahedron Lett. 2017, 58, 512–515. [Google Scholar] [CrossRef]
- Kotali, A.; Maniadaki, A.; Kotali, E.; Harris, P.A.; Różycka-Sokołowska, E.; Bałczewski, P.; Joule, J.A. Synthesis of Bicyclic Boron Heterocycles Containing [1,3,4,2]Oxadiazaborole and [1,3,2]Oxazaborine. Synthesis 2016, 48, 4117–4125. [Google Scholar] [CrossRef]
- Kotali, A.; Dimoulaki, F.; Kotali, E.; Maniadaki, A.; Harris, P.A.; Różycka-Sokołowska, E.; Bałczewski, P.; Joule, J.A. Synthesis of novel dehydroacetic acid N-aroylhydrazone-derived boron heterocycles. Tetrahedron 2015, 71, 7245–7249. [Google Scholar] [CrossRef]
- Santos, F.M.F.; Rosa, J.N.; Candeias, N.R.; Carvalho, C.P.; Matos, A.I.; Ventura, A.E.; Florindo, H.F.; Silva, L.C.; Pischel, U.; Gois, P.M.P. A Three-Component Assembly Promoted by Boronic Acids Delivers a Modular Fluorophore Platform (BASHY Dyes). Chem. Eur. J. 2015, 22, 1631–1637. [Google Scholar] [CrossRef] [PubMed]
- Kilic, A.; Durgun, M.; Durap, F.; Aydemir, M. The chiral boronate-catalyzed asymmetric transfer hydrogenation of various aromatic ketones to high-value alcohols: Preparation and spectroscopic studies. J. Organomet. Chem. 2019, 890, 1–12. [Google Scholar] [CrossRef]
- Kaiser, P.F.; White, J.M.; Hutton, C.A. Enantioselective Preparation of a Stable Boronate Complex Stereogenic Only at Boron. J. Am. Chem. Soc. 2008, 130, 16450–16451. [Google Scholar] [CrossRef] [PubMed]
- Santos, F.F.M.F.; Domínguez, Z.; Fernandes, J.P.L.; Carvalho, C.P.; Collado, D.; Pérez-Inestrosa, E.; Pinto, M.V.; Fernandes, A.; Arteaga, J.F.; Pischel, U.; et al. Cyanine-Like Boronic Acid-Derived Salicylidenehydrazone Complexes (Cy-BASHY) for Bioimaging Applications. Chem. Eur. J. 2020, 26, 14064–14069. [Google Scholar] [CrossRef]
- Hattori, Y.; Ishimura, M.; Ohta, Y.; Takenaka, H.; Watanabe, T.; Tanaka, H.; Ono, K.; Kirihata, M. Detection of boronic acid derivatives in cells using a fluorescent sensor. Org. Biomol. Chem. 2015, 13, 6927–6930. [Google Scholar] [CrossRef]
- Santos, F.M.F.; Matos, A.I.; Ventura, A.E.; Gonçalves, J.; Veiros, L.F.; Florindo, H.F.; Gois, P.M.P. Modular Assembly of Reversible Multivalent Cancer-Cell-Targeting Drug Conjugates. Angew. Chem. Int. Ed. 2017, 56, 9346–9350. [Google Scholar] [CrossRef]
- Zhang, B.; Wang, S.; Tan, J.; Zhang, X. Unique fluorescence of boronic acid derived salicylidenehydrazone complexes with two perpendicular ICT: Solvent effect on PET process. Dyes Pigments 2018, 155, 186–193. [Google Scholar] [CrossRef]
- Zhang, B.; Feng, G.; Wang, S.; Zhang, X. Boronic acid derived salicylidenehydrazone complexes for wash-free fluorescence imaging of cellular organelles. Dyes Pigments 2018, 149, 356–362. [Google Scholar] [CrossRef]
- Cal, P.M.S.D.; Sieglitz, F.; Santos, F.M.F.; Carvalho, C.P.; Guerreiro, A.; Bertoldo, J.B.; Pischel, U.; Gois, P.M.P.; Bernardes, G.J.L. Site-selective installation of BASHY fluorescent dyes to Annexin V for targeted detection of apoptotic cells. Chem. Commun. 2016, 53, 368–371. [Google Scholar] [CrossRef]
- Alcaide, M.M.; Santos, F.M.F.; Pais, V.F.; Carvalho, J.I.; Collado, D.; Pérez-Inestrosa, E.; Arteaga, J.F.; Boscá, F.; Gois, P.M.P.; Pischel, U. Electronic and Functional Scope of Boronic Acid Derived Salicylidenehydrazone (BASHY) Complexes as Fluorescent Dyes. J. Org. Chem. 2017, 82, 7151–7158. [Google Scholar] [CrossRef] [PubMed]
- Adib, M.; Sheikhi, E.; Bijanzadeh, H.R.; Zhu, L.-G. Microwave-assisted reaction between 2-aminobenzoic acids, 2-hydroxybenzaldehydes, and arylboronic acids: A one-pot three-component synthesis of bridgehead bicyclo[4.4.0]boron heterocycles. Tetrahedron 2012, 68, 3377–3383. [Google Scholar] [CrossRef]
- Guieu, S.; Esteves, C.I.C.; Rocha, J.; Silva, A.M.S. Multicomponent Synthesis of Luminescent Iminoboronates. Molecules 2020, 25, 6039. [Google Scholar] [CrossRef] [PubMed]
- Cáceres-Castillo, D.; Mirón-López, G.; García-López, M.C.; Chan-Navarro, R.; Quijano-Quiñones, R.F.; Briceño-Vargas, F.M.; Cauich-Kumul, R.; Morales-Rojas, H.; Herrera-España, A.D. Boronate derivatives of damnacanthal: Synthesis, characterization, optical properties and theoretical calculations. J. Mol. Struct. 2023, 1271, 134048. [Google Scholar] [CrossRef]
- Montalbano, F.; Cal, P.M.S.D.; Carvalho, M.A.B.R.; Gonçalves, L.M.; Lucas, S.D.; Guedes, R.C.; Veiros, L.F.; Moreira, R.; Gois, P.M.P. Discovery of new heterocycles with activity against human neutrophile elastase based on a boron promoted one-pot assembly reaction. Org. Biomol. Chem. 2013, 11, 4465–4472. [Google Scholar] [CrossRef]
- Montalbano, F.; Leandro, J.; Farias, G.D.V.F.; Lino, P.R.; Guedes, R.C.; Vicente, J.B.; Leandro, P.; Gois, P.M.P. Phenylalanine iminoboronates as new phenylalanine hydroxylase modulators. RSC Adv. 2014, 4, 61022–61027. [Google Scholar] [CrossRef]
- Barba, V.; Cuahutle, D.; Santillan, R.; Farfán, N. Stereoselective addition of acetone to the C=N bond of [4.3.0] boron heterobicycles. Can. J. Chem. 2001, 79, 1229–1237. [Google Scholar] [CrossRef]
- Rivera, J.M.; Rincón, S.; Farfán, N.; Santillan, R. Synthesis, characterization and X-ray studies of new chiral five-six-membered ring, [4.3.0] heterobicyclic system of monomeric boronates. J. Organomet. Chem. 2011, 696, 2420–2428. [Google Scholar] [CrossRef]
- Chan-Navarro, R.; Jiménez-Pérez, V.M.; Muñoz-Flores, B.M.; Dias, H.R.; Moggio, I.; Arias, E.; Ramos-Ortíz, G.; Santillan, R.; García, C.; Ochoa, M.E.; et al. Luminescent organoboron compounds derived from salicylidenebenzohydrazide: Synthesis, characterization, structure, and photophysical properties. Dyes Pigments 2013, 99, 1036–1043. [Google Scholar] [CrossRef]
- Silva, M.J.S.A.; Zhang, Y.; Vinck, R.; Santos, F.M.F.; António, J.P.M.; Gourdon-Grünewaldt, L.; Zaouter, C.; Castonguay, A.; Patten, S.A.; Cariou, K.; et al. BASHY Dyes Are Highly Efficient Lipid Droplet-Targeting Photosensitizers that Induce Ferroptosis through Lipid Peroxidation. Bioconjug. Chem. 2023, 34, 2337–2344. [Google Scholar] [CrossRef]
- Portugal, J. Challenging transcription by DNA-binding antitumor drugs. Biochem. Pharmacol. 2018, 155, 336–345. [Google Scholar] [CrossRef]
- Sirajuddin, M.; Ali, S.; Badshah, A. Drug–DNA interactions and their study by UV–Visible, fluorescence spectroscopies and cyclic voltametry. J. Photochem. Photobiol. B Biol. 2013, 124, 1–19. [Google Scholar] [CrossRef] [PubMed]
- Özçeşmeci, I.; Katırcı, R.; Sesalan, B.S. The analysis of interactions between DNA and small molecules: Proposals for binding mechanisms based on computational data. Monatshefte Chem./Chem. Mon. 2021, 153, 113–124. [Google Scholar] [CrossRef]
- Rocha, M.S. DNA Interactions with Drugs and Other Small Ligands: Single Molecule Approaches and Techniques; Academic Press Inc. (London) Ltd.: London, UK, 2023; ISBN 978-0-323-99139-1. [Google Scholar]
- Bag, S.; Bhowmik, S. Fluorescence Spectroscopy: A Useful Method to Explore the Interactions of Small Molecule Ligands with DNA Structures; Methods in Molecular Biology; Humana: New York, NY, USA, 2024; pp. 33–49. [Google Scholar]
- Kumar, N.; Kaushal, R.; Awasthi, P. Non-covalent binding studies of transition metal complexes with DNA: A review. J. Mol. Struct. 2023, 1288, 135751. [Google Scholar] [CrossRef]
- Mihajlović, K.; Joksimović, N.; Janković, N.; Milović, E.; Petronijević, J.; Filipović, I.; Muškinja, J.; Petrović, N.; Kosanić, M. Synthesis, characterization, and biological activity of some 2,4-diketo esters containing dehydrozingerone fragment: DNA and protein binding study. Bioorg. Med. Chem. Lett. 2023, 93, 129413. [Google Scholar] [CrossRef]
- Luo, H.; Liang, Y.; Zhang, H.; Liu, Y.; Xiao, Q.; Huang, S. Comparison on binding interactions of quercetin and its metal complexes with calf thymus DNA by spectroscopic techniques and viscosity measurement. J. Mol. Recognit. 2021, 34, e2933. [Google Scholar] [CrossRef]
- Yelve, N.P.; Mitra, M.; Mujumdar, P.M. Detection of delamination in composite laminates using Lamb wave based nonlinear method. Compos. Struct. 2017, 159, 126. [Google Scholar] [CrossRef]
- Lazou, M.; Tarushi, A.; Gritzapis, P.; Psomas, G. Transition metal complexes with a novel guanine-based (E)-2-(2-(pyridin-2-ylmethylene)hydrazinyl)quinazolin-4(3H)-one: Synthesis, characterization, interaction with DNA and albumins and antioxidant activity. J. Inorg. Biochem. 2020, 206, 111019. [Google Scholar] [CrossRef]
- Kakoulidou, C.; Gritzapis, P.S.; Hatzidimitriou, A.G.; Fylaktakidou, K.C.; Psomas, G. Zn(II) complexes of (E)-4-(2-(pyridin-2-ylmethylene)hydrazinyl)quinazoline in combination with non-steroidal anti-inflammatory drug sodium diclofenac: Structure, DNA binding and photo-cleavage studies, antioxidant activity and interaction with albumin. J. Inorg. Biochem. 2020, 211, 111194. [Google Scholar] [CrossRef]
- Pasolli, M.; Dafnopoulos, K.; Andreou, N.-P.; Gritzapis, P.S.; Koffa, M.; Koumbis, A.E.; Psomas, G.; Fylaktakidou, K.C. Pyridine and p-Nitrophenyl Oxime Esters with Possible Photochemotherapeutic Activity: Synthesis, DNA Photocleavage and DNA Binding Studies. Molecules 2016, 21, 864. [Google Scholar] [CrossRef]
- Mikra, C.; Mitrakas, A.; Ghizzani, V.; Katsani, K.R.; Koffa, M.; Koukourakis, M.; Psomas, G.; Protti, S.; Fagnoni, M.; Fylaktakidou, K.C. Effect of Arylazo Sulfones on DNA: Binding, Cleavage, Photocleavage, Molecular Docking Studies and Interaction with A375 Melanoma and Non-Cancer Cells. Int. J. Mol. Sci. 2023, 24, 1834. [Google Scholar] [CrossRef]
- Perontsis, S.; Geromichalos, G.D.; Pekou, A.; Hatzidimitriou, A.G.; Pantazaki, A.; Fylaktakidou, K.C.; Psomas, G. Structure and biological evaluation of pyridine-2-carboxamidine copper(II) complex resulting from N′-(4-nitrophenylsulfonyloxy)2-pyridinecarboxamidoxime. J. Inorg. Biochem. 2020, 208, 111085. [Google Scholar] [CrossRef]
- Tobiszewski, M.; Namieśnik, J.; Pena-Pereira, F. Environmental risk-based ranking of solvents using the combination of a multimedia model and multi-criteria decision analysis. Green Chem. 2016, 19, 1034–1042. [Google Scholar] [CrossRef]
- Lambat, T.L.; Chopra, P.K.P.G.; Mahmood, S.H. Microwave: A Green Contrivance for the Synthesis of N-Heterocyclic Compounds. Curr. Org. Chem. 2020, 24, 2527–2554. [Google Scholar] [CrossRef]
- Das, S.; Banik, R.; Kumar, B.; Roy, S.; Noorussabah; Amhad, K.; Sukul, P.K. A Green Approach for Organic Transformations Using Microwave Reactor. Curr. Org. Synth. 2019, 16, 730–764. [Google Scholar] [CrossRef] [PubMed]
- Pyle, A.M.; Rehmann, J.P.; Meshoyrer, R.; Kumar, C.V.; Turro, N.J.; Barton, J.K. Mixed-ligand complexes of ruthenium(II): Factors governing binding to DNA. J. Am. Chem. Soc. 1989, 111, 3051–3058. [Google Scholar] [CrossRef]
- Wolfe, A.; Shimer, G.H.; Meehan, T. Polycyclic aromatic hydrocarbons physically intercalate into duplex regions of denatured DNA. Biochemistry 1987, 26, 6392–6396. [Google Scholar] [CrossRef]
- Dimitrakopoulou, A.; Dendrinou-Samara, C.; Pantazaki, A.A.; Alexiou, M.; Nordlander, E.; Kessissoglou, D.P. Synthesis, structure and interactions with DNA of novel tetranuclear, [Mn4(II/II/II/IV)] mixed valence complexes. J. Inorg. Biochem. 2008, 102, 618–628. [Google Scholar] [CrossRef]
- García-Giménez, J.L.; González-Álvarez, M.; Liu-González, M.; Macías, B.; Borrás, J.; Alzuet, G. Toward the development of metal-based synthetic nucleases: DNA binding and oxidative DNA cleavage of a mixed copper(II) complex with N-(9H-purin-6-yl)benzenesulfonamide and 1,10-phenantroline. Antitumor activity in human Caco-2 cells and Jurkat T lymphocytes. Evaluation of p53 and Bcl-2 proteins in the apoptotic mechanism. J. Inorg. Biochem. 2009, 103, 923–934. [Google Scholar] [CrossRef] [PubMed]
- Liu, J.; Zhang, H.; Chen, C.; Deng, H.; Lu, T.; Ji, L. Interaction of macrocyclic copper(ii) complexes with calf thymus DNA: Effects of the side chains of the ligands on the DNA-binding behaviors. Dalton Trans. 2002, 1, 114–119. [Google Scholar] [CrossRef]
- Pizarro, A.M.; Sadler, P.J. Unusual DNA binding modes for metal anticancer complexes. Biochimie 2009, 91, 1198–1211. [Google Scholar] [CrossRef]
- Lakowicz, J.R. Principles of Fluorescence Spectroscopy, 3rd ed.; Springer Science + Business Media LLC: New York, NY, USA, 2006; pp. 15–16. ISBN 978-0387-31278-1. [Google Scholar]
- Heller, D.P.; Greenstock, C.L. Fluorescence lifetime analysis of DNA intercalated ethidium bromide and quenching by free dye. Biophys. Chem. 1994, 50, 305–312. [Google Scholar] [CrossRef]
- Wilson, W.D.; Ratmeyer, L.; Zhao, M.; Strekowski, L.; Boykin, D. The search for structure-specific nucleic acid-interactive drugs: Effects of compound structure on RNA versus DNA interaction strength. Biochemistry 1993, 32, 4098–4104. [Google Scholar] [CrossRef]
- Marmur, J. A procedure for the isolation of deoxyribonucleic acid from micro-organisms. J. Mol. Biol. 1961, 3, 208–218. [Google Scholar] [CrossRef]
- Reichmann, M.E.; Rice, S.A.; Thomas, C.A.; Doty, P. A Further Examination of the Molecular Weight and Size of Desoxypentose Nucleic Acid. J. Am. Chem. Soc. 1954, 76, 3047–3053. [Google Scholar] [CrossRef]











| Compound | λmax(nm) ((ΔA/A0) a (in %), Δλ (in nm) b) | Κb (M−1) | |
|---|---|---|---|
| 18 | 316 (<−50 c, +3); 408 (<−50, −3) | 3.89 (± 0.35) × 105 | |
| BASAN COMPOUNDS | 19 | 321 (−26 a, +1 b); 408 (−25, −5 b) | 1.63 (± 0.06) × 106 |
| 20 | 335 (−19, +2); 411 (−18, +2) | 1.75 (± 0.31) × 106 | |
| 21 | 318 (<−50, +5); 405 (−45, −17) | 3.37 (± 0.27) × 105 | |
| 22 | 321 (<−50, +3); 409 (<−50, −31) | 4.17 (± 0.28) × 105 | |
| 23 | 319 (<−50, +3/Elim d); 410 (<−50, −33) | 6.38 (± 0.27) × 105 | |
| 24 | 295 (+9 a, −1); 326 (−41, +1); 408 (−46, −15) | 2.83 (± 0.12) × 104 | |
| 26 | 313 (−11, −30); 399 (<−50, Elim) | 1.59 (± 0.07) × 106 | |
| 27 | 309 (<−50, Elim); 408 (<−50, +42) | 1.10 (± 0.06) × 106 | |
| BACAN COMPOUNDS | 28 | 302 (−36, +12); 387 (−25, −22) | 1.24 (± 0.08) × 106 |
| 29 | 300 (sh) e (−20, +10); 387 (−40, −7) | 8.41 (± 0.13) × 106 | |
| 30 | 303 (−16, +4); 387 (<−50, −3) | 1.68 (± 0.11) × 105 | |
| 31 | 308 (−30, +11); 388 (−43, −5) | 4.17 (± 0.24) × 105 | |
| 32 | 307 (−31, +10); 388 (<−50, −4) | 2.73 (± 0.07) × 105 | |
| 33 | 310 (−37, −15); 413 (−43, −51) | 2.97 (± 0.07) × 106 | |
| BASAN-Cl COMPOUNDS | 34 | 315 (−20, −18); 414 (<−50, −45/Elim) | 1.54 (± 0.06) × 106 |
| 35 | 307 (−36, −14); 412 (−39, −36) | 5.68 (± 0.06) × 106 | |
| 36 | 312 (−10, −20); 416 (<−50, −43/Elim) | 2.64 (± 0.31) × 106 | |
| 37 | 313 (−12, −18); 417 (<−50, −40/Elim) | 3.12 (± 0.32) × 105 | |
| 38 | 326 (+3, −28); 420 (<−50, −50) | 1.58 (± 0.07) × 106 | |
| 39 | 307 (−30, −15); 417 (−40, −52) | 2.08 (± 0.08) × 106 | |
| 40 | 297 (−5, −6); 418 (<−5, +27) | 3.74 (± 0.26) × 105 | |
| 41 | 268 (+8, +1); 312 (−45, −15); 409 (<−50, −6) | 1.39 (± 0.07) × 106 | |
| BASAN-Br COMPOUNDS | 42 | 267 (+6, 0); 324 (<−50, −15); 415 (−45, +6) | 3.38 (± 0.10) × 106 |
| 43 | 268 (+22, +2); 318 (<−50, −18); 412 (−40, −20) | 1.78 (± 0.09) × 106 | |
| 44 | 317 (−25, −25); 416 (<−50, Elim) | 1.53 (± 0.61) × 106 | |
| 45 | 276 (+18, +9); 314 (<−50, +40); 417 (<−50, Elim) | 3.81 (± 0.39) × 105 | |
| 46 | 278 (+12, +14); 328 (<−50, +25); 418 (<−50, +10) | 1.11 (± 0.06) × 106 | |
| 47 | 272 (+16, +2); 330 (−39, +4); 404 (−13, +20) | 2.67 (± 0.09) × 106 | |
| 48 | 274 (+14, 0); 302 (−30, Elim); 420 (<−50, +30) | 1.02 (± 0.07) × 106 |
| Compound | ∆I/Io (%) | KSV (M−1) | kq, M−1 s−1 | |
|---|---|---|---|---|
| BASAN COMPOUNDS | 18 | 30.5 | 1.84 (± 0.03) × 104 | 8.00 (± 0.11) × 1011 |
| 19 | 29.8 | 1.59 (± 0.03) × 104 | 6.93 (± 0.13) × 1011 | |
| 20 | 26.5 | 1.49 (± 0.04) × 104 | 6.46 (± 0.17) × 1011 | |
| 21 | 29.5 | 1.61 (± 0.04) × 104 | 6.98 (± 0.18) × 1011 | |
| 22 | 50.7 | 4.00 (± 0.11) × 104 | 1.74 (± 0.05) × 1012 | |
| 23 | 51.9 | 4.55 (± 0.09) × 104 | 1.98 (± 0.04) × 1012 | |
| 24 | 54.9 | 4.88 (± 0.13) × 104 | 2.12 (± 0.06) × 1012 | |
| 26 | 52.9 | 4.70 (± 0.07) × 104 | 2.04 (± 0.03) × 1012 | |
| 27 | 55.8 | 4.78 (± 0.13) × 104 | 2.08 (± 0.06) × 1012 | |
| BACAN COMPOUNDS | 28 | 40.1 | 2.82 (± 0.07) × 104 | 1.23 (± 0.03) × 1012 |
| 29 | 52.5 | 4.18 (± 0.10) × 104 | 1.82 (± 0.04) × 1012 | |
| 30 | 56.9 | 5.13 (± 0.08) × 104 | 2.23 (± 0.04) × 1012 | |
| 31 | 48.7 | 3.74 (± 0.06) × 104 | 1.62 (± 0.03) × 1012 | |
| 32 | 52.1 | 4.68 (± 0.08) × 104 | 2.04 (± 0.03) × 1012 | |
| BASAN-Cl COMPOUNDS | 33 | 51.4 | 4.11 (± 0.07) × 104 | 1.79 (± 0.03) × 1012 |
| 34 | 42.0 | 3.02 (± 0.06) × 104 | 1.31 (± 0.03) × 1012 | |
| 35 | 53.9 | 4.72 (± 0.14) × 104 | 2.05 (± 0.06) × 1012 | |
| 36 | 55.7 | 4.96 (± 0.08) × 104 | 2.16 (± 0.03) × 1012 | |
| 37 | 46.4 | 3.44 (± 0.07) × 104 | 1.50 (± 0.03) × 1012 | |
| 38 | 53.7 | 4.46 (± 0.10) × 104 | 1.94 (± 0.04) × 1012 | |
| 39 | 54.5 | 4.81 (± 0.05) × 104 | 2.09 (± 0.02) × 1012 | |
| 40 | 54.5 | 4.80 (± 0.09) × 104 | 2.09 (± 0.04) × 1012 | |
| BASAN-Br COMPOUNDS | 41 | 55.7 | 4.60 (± 0.06) × 104 | 2.00 (± 0.03) × 1012 |
| 42 | 57.2 | 5.28 (± 0.06) × 104 | 2.29 (± 0.02) × 1012 | |
| 43 | 55.8 | 5.12 (± 0.09) × 104 | 2.22 (± 0.04) × 1012 | |
| 44 | 52.6 | 4.22 (± 0.11) × 104 | 1.84 (± 0.05) × 1012 | |
| 45 | 58.3 | 5.13 (± 0.12) × 104 | 2.23 (± 0.05) × 1012 | |
| 46 | 53.1 | 4.46 (± 0.07) × 104 | 1.94 (± 0.03) × 1012 | |
| 47 | 57.0 | 5.36 (± 0.13) × 104 | 2.33 (± 0.06) × 1012 | |
| 48 | 53.0 | 4.23 (± 0.11) × 104 | 1.84 (± 0.05) × 1012 |
Disclaimer/Publisher’s Note: The statements, opinions and data contained in all publications are solely those of the individual author(s) and contributor(s) and not of MDPI and/or the editor(s). MDPI and/or the editor(s) disclaim responsibility for any injury to people or property resulting from any ideas, methods, instructions or products referred to in the content. |
© 2024 by the authors. Licensee MDPI, Basel, Switzerland. This article is an open access article distributed under the terms and conditions of the Creative Commons Attribution (CC BY) license (https://creativecommons.org/licenses/by/4.0/).
Share and Cite
Paisidis, P.; Kokotou, M.G.; Kotali, A.; Psomas, G.; Fylaktakidou, K.C. One-Pot, Multi-Component Green Microwave-Assisted Synthesis of Bridgehead Bicyclo[4.4.0]boron Heterocycles and DNA Affinity Studies. Int. J. Mol. Sci. 2024, 25, 9842. https://doi.org/10.3390/ijms25189842
Paisidis P, Kokotou MG, Kotali A, Psomas G, Fylaktakidou KC. One-Pot, Multi-Component Green Microwave-Assisted Synthesis of Bridgehead Bicyclo[4.4.0]boron Heterocycles and DNA Affinity Studies. International Journal of Molecular Sciences. 2024; 25(18):9842. https://doi.org/10.3390/ijms25189842
Chicago/Turabian StylePaisidis, Polinikis, Maroula G. Kokotou, Antigoni Kotali, George Psomas, and Konstantina C. Fylaktakidou. 2024. "One-Pot, Multi-Component Green Microwave-Assisted Synthesis of Bridgehead Bicyclo[4.4.0]boron Heterocycles and DNA Affinity Studies" International Journal of Molecular Sciences 25, no. 18: 9842. https://doi.org/10.3390/ijms25189842
APA StylePaisidis, P., Kokotou, M. G., Kotali, A., Psomas, G., & Fylaktakidou, K. C. (2024). One-Pot, Multi-Component Green Microwave-Assisted Synthesis of Bridgehead Bicyclo[4.4.0]boron Heterocycles and DNA Affinity Studies. International Journal of Molecular Sciences, 25(18), 9842. https://doi.org/10.3390/ijms25189842

