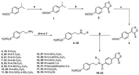
Hydrogen Sulfide-Releasing Carbonic Anhydrase Inhibitors Effectively Suppress Cancer Cell Growth
Abstract
1. Introduction
2. Results and Discussion
2.1. Drug Design and Chemistry
2.2. Carbonic Anhydrase Inhibition
- (i)
- Most compounds showed weak inhibition against hCA I, with KI values in the micromolar range, except for derivatives 19 and 28, which inhibited hCA I in the high nanomolar range. All compounds exhibited more pronounced hCA II inhibition compared to hCA I, except for compound 29.
- (ii)
- Derivatives 19, 20, 27, 28, and 32 inhibited hCA II in the medium–high nanomolar range. The elongation of the N-substituent from benzyl (19) to phenethyl (32) reduced inhibitory action against hCA I and hCA II.
- (iii)
- Tertiary amide derivative 33, without an aromatic scaffold on the N-substituent, showed the highest activity against hCAs I and II. The reduced steric hindrance of 33 likely favors ligand binding in the narrow active sites of these isoforms.
- (iv)
- Regarding hCA IV, only derivatives 23 and 31 exhibited KI values below 100 nM, making them the most potent and selective against hCA IV over hCA II. Other compounds inhibited hCA IV in the high nanomolar to low micromolar range.
- (v)
- hCA IX and XII were the most inhibited isoforms, with KIs in the low nanomolar range. Compounds 31 and 26 were the most potent and selective hCA IX inhibitors. The elongation of the N-substituent from 19 to 32 led to a KI exceeding 100 nM. The remaining compounds demonstrated hCA IX inhibition within the medium nanomolar range. For hCA XII, several compounds showed single-digit KIs. Derivatives 30 and 26 were the most potent hCA XII inhibitors, while 29 and 30 were the most selective over hCA II.
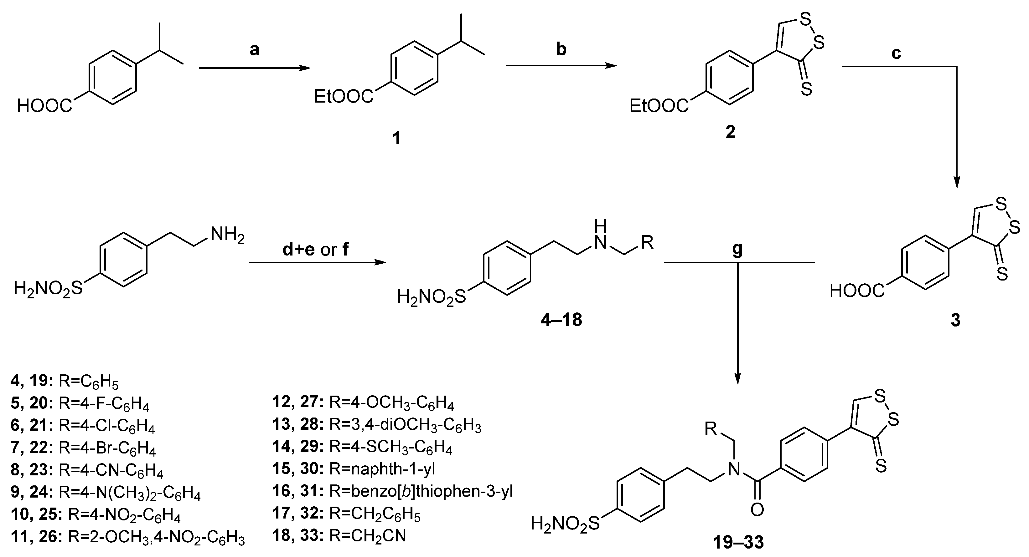
2.3. Evaluation of H2S Release
2.4. Anticancer Activity
2.4.1. In Vitro Antiproliferative Studies
2.4.2. Cell Cycle Analysis
2.4.3. Annexin V-FITC/PI Dual Staining Assay
3. Materials and Methods
3.1. Chemistry
3.2. Carbonic Anhydrase Inhibition Assay and KI Determination
3.3. Spectrophotometric Evaluation of H2S Release
3.4. In Vitro Antiproliferative Studies
3.5. Cell Cycle Analysis
3.6. Annexin V-FITC/PI Dual Staining Assay
3.7. Statistical Analysis
4. Conclusions
Author Contributions
Funding
Data Availability Statement
Conflicts of Interest
References
- Semenza, G.L. Hypoxia and cancer. Cancer Metastasis Rev. 2007, 26, 223. [Google Scholar] [CrossRef] [PubMed]
- Neri, D.; Supuran, C.T. Interfering with pH regulation in tumours as a therapeutic strategy. Nat. Rev. Drug Discov. 2011, 10, 767. [Google Scholar] [CrossRef] [PubMed]
- Muz, B.; de la Puente, P.; Azab, F.; Azab, A.K. The role of hypoxia in cancer progression, angiogenesis, metastasis, and resistance to therapy. Hypoxia 2015, 3, 83. [Google Scholar] [CrossRef] [PubMed]
- Ma, Z.; Xiang, X.; Li, S.; Xie, P.; Gong, Q.; Goh, B.C.; Wang, L. Targeting hypoxia-inducible factor-1 for cancer treatment: Recent advances in developing small-molecule inhibitors from natural compounds. Semin. Cancer Biol. 2022, 80, 379. [Google Scholar] [CrossRef]
- Vaupel, P.; Schmidberger, H.; Mayer, A. The Warburg effect: Essential part of metabolic reprogramming and central contributor to cancer progression. Int. J. Radiat. Biol. 2019, 95, 912–919. [Google Scholar] [CrossRef] [PubMed]
- Vaupel, P.; Multhoff, G. Revisiting the Warburg effect: Historical dogma versus current understanding. J. Physiol. 2021, 599, 1745. [Google Scholar] [CrossRef] [PubMed]
- Liberti, M.V.; Locasale, J.W. The Warburg Effect: How Does it Benefit Cancer Cells? Trends Biochem. Sci. 2016, 41, 211. [Google Scholar] [CrossRef]
- Pérez-Tomás, R.; Pérez-Guillén, I. Lactate in the Tumor Microenvironment: An Essential Molecule in Cancer Progression and Treatment. Cancers 2020, 12, 3244. [Google Scholar] [CrossRef]
- Gatenby, R.A.; Gillies, R.J. Why do cancers have high aerobic glycolysis? Nat. Rev. Cancer 2004, 4, 891. [Google Scholar] [CrossRef]
- Supuran, C.T. Carbonic anhydrases: Novel therapeutic applications for inhibitors and activators. Nat. Rev. Drug Discov. 2008, 7, 168. [Google Scholar] [CrossRef]
- Alterio, V.; Hilvo, M.; Di Fiore, A.; Supuran, C.T.; Pan, P.; Parkkila, S.; Scaloni, A.; Pastorek, J.; Pastorekova, S.; Pedone, C.; et al. Crystal structure of the catalytic domain of the tumor-associated human carbonic anhydrase IX. Proc. Natl. Acad. Sci. USA 2009, 106, 16233. [Google Scholar] [CrossRef] [PubMed]
- Whittington, D.A.; Waheed, A.; Ulmasov, B.; Shah, G.N.; Grubb, J.H.; Sly, W.S.; Christianson, D.W. Crystal structure of the dimeric extracellular domain of human carbonic anhydrase XII, a bitopic membrane protein overexpressed in certain cancer tumor cells. Proc. Natl. Acad. Sci. USA 2001, 98, 9545. [Google Scholar] [CrossRef] [PubMed]
- Pastorekova, S.; Gillies, R.J. The role of carbonic anhydrase IX in cancer development: Links to hypoxia, acidosis, and beyond. Cancer Metastasis Rev. 2019, 38, 65. [Google Scholar] [CrossRef] [PubMed]
- Lee, S.H.; Griffiths, J.R. How and Why Are Cancers Acidic? Carbonic Anhydrase IX and the Homeostatic Control of Tumour Extracellular pH. Cancers 2020, 12, 1616. [Google Scholar] [CrossRef] [PubMed]
- Riemann, A.; Schneider, B.; Gündel, D.; Stock, C.; Gekle, M.; Thews, O. Acidosis promotes metastasis formation by enhancing tumor cell motility. Adv. Exp. Med. Biol. 2016, 876, 215. [Google Scholar]
- Huang, W.; Wang, K.; Huang, W.; He, Z.; Zhang, J.; Zhang, B.; Xiong, Z.; Gillen, K.M.; Li, W.; Chen, F.; et al. Carbonic anhydrase IX stratifies patient prognosis and identifies nodal status in animal models of nasopharyngeal carcinoma using a targeted imaging strategy. Eur. J. Nucl. Med. Mol. Imaging 2022, 49, 4427. [Google Scholar] [CrossRef]
- Sarnella, A.; Ferrara, Y.; Auletta, L.; Albanese, S.; Cerchia, L.; Alterio, V.; De Simone, G.; Supuran, C.T.; Zannetti, A. Inhibition of carbonic anhydrases IX/XII by SLC-0111 boosts cisplatin effects in hampering head and neck squamous carcinoma cell growth and invasion. J. Exp. Clin. Cancer Res. 2022, 41, 122. [Google Scholar] [CrossRef]
- Rezuchova, I.; Bartosova, M.; Belvoncikova, P.; Takacova, M.; Zatovicova, M.; Jelenska, L.; Csaderova, L.; Meciarova, I.; Pohlodek, K. Carbonic Anhydrase IX in Tumor Tissue and Plasma of Breast Cancer Patients: Reliable Biomarker of Hypoxia and Prognosis. Int. J. Mol. Sci. 2023, 24, 4325. [Google Scholar] [CrossRef]
- Watson, P.H.; Chia, S.K.; Wykoff, C.C.; Han, C.; Leek, R.D.; Sly, W.S.; Gatter, K.C.; Ratcliffe, P.; Harris, A.L. Carbonic anhydrase XII is a marker of good prognosis in invasive breast carcinoma. Br. J. Cancer 2003, 88, 1065. [Google Scholar] [CrossRef]
- Ilie, M.; Mazure, N.M.; Hofman, V.; Ammadi, R.E.; Ortholan, C.; Bonnetaud, C.; Havet, K.; Venissac, N.; Mograbi, B.; Mouroux, J.; et al. High levels of carbonic anhydrase IX in tumour tissue and plasma are biomarkers of poor prognosis in patients with non-small cell lung cancer. Br. J. Cancer 2010, 102, 1627. [Google Scholar] [CrossRef]
- Mori, M.; Staniunas, R.J.; Barnard, G.F.; Jessup, J.M.; Steele, G.D., Jr.; Chen, L.B. The significance of carbonic anhydrase expression in human colorectal cancer. Gastroenterology 1993, 105, 820. [Google Scholar] [CrossRef]
- de Martino, M.; Lucca, I.; Mbeutcha, A.; Wiener, H.G.; Haitel, A.; Susani, M.; Shariat, S.F.; Klatte, T. Carbonic anhydrase IX as a diagnostic urinary marker for urothelial bladder cancer. Eur. Urol. 2015, 68, 552. [Google Scholar] [CrossRef] [PubMed]
- Grincevičienė, Š.; Vaitkienė, D.; Kanopienė, D.; Vansevičiūtė, R.; Tykvart, J.; Sukovas, A.; Celiešiūtė, J.; Didžiokienė, E.I.; Čižauskas, A.; Laurinavičienė, A.; et al. Factors associated with elevated concentration of soluble carbonic anhydrase IX in plasma of women with cervical dysplasia. Sci. Rep. 2022, 12, 15397. [Google Scholar]
- Hiepp, L.; Mayr, D.; Gärtner, K.; Schmoeckel, E.; Klauschen, F.; Burges, A.; Mahner, S.; Zeidler, R.; Czogalla, B. Carbonic anhydrase XII as biomarker and therapeutic target in ovarian carcinomas. PLoS ONE 2022, 17, e0271630. [Google Scholar]
- Courcier, J.; de la Taille, A.; Nourieh, M.; Leguerney, I.; Lassau, N.; Ingels, A. Carbonic Anhydrase IX in Renal Cell Carcinoma, Implications for Disease Management. Int. J. Mol. Sci. 2020, 21, 7146. [Google Scholar] [CrossRef]
- Hon, W.C.; Wilson, M.I.; Harlos, K.; Claridge, T.D.; Schofield, C.J.; Pugh, C.W.; Maxwell, P.H.; Ratcliffe, P.J.; Stuart, D.I.; Jones, E.Y. Structural basis for the recognition of hydroxyproline in HIF-1α by pVHL. Nature 2002, 417, 975. [Google Scholar] [PubMed]
- Sharma, A.; Sinha, S.; Shrivastava, N. Therapeutic Targeting Hypoxia-Inducible Factor (HIF-1) in Cancer: Cutting Gordian Knot of Cancer Cell Metabolism. Front. Genet. 2022, 13, 849040. [Google Scholar]
- Pouysségur, J.; Dayan, F.; Mazure, N.M. Hypoxia signalling in cancer and approaches to enforce tumour regression. Nature 2006, 441, 437. [Google Scholar]
- Jaakkola, P.; Mole, D.R.; Tian, Y.M.; Wilson, M.I.; Gielbert, J.; Gaskell, S.J.; von Kriegsheim, A.; Hebestreit, H.F.; Mukherji, M.; Schofield, C.J.; et al. Targeting of HIF-α to the von Hippel-Lindau ubiquitylation complex by O2-regulated prolyl hydroxylation. Science 2001, 292, 468. [Google Scholar] [CrossRef]
- Maxwell, P.H.; Wiesener, M.S.; Chang, C.W.; Clifford, S.C.; Vaux, E.C.; Cockman, M.E.; Wykoff, C.C.; Pugh, C.W.; Maher, E.R.; Ratcliffe, P.J. The tumour suppressor protein VHL targets hypoxia-inducible factors for oxygen-dependent proteolysis. Nature 1999, 399, 271. [Google Scholar]
- Tong, C.K.; Brion, L.P.; Suarez, C.; Chesler, M. Interstitial carbonic anhydrase (CA) activity in brain is attributable to membrane-bound CA type IV. J. Neurosci. 2000, 20, 8247. [Google Scholar]
- Svichar, N.; Esquenazi, S.; Waheed, A.; Sly, W.S.; Chesler, M. Functional demonstration of surface carbonic anhydrase IV activity on rat astrocytes. Glia 2006, 53, 241. [Google Scholar] [PubMed]
- Svichar, N.; Chesler, M. Surface carbonic anhydrase activity on astrocytes and neurons facilitates lactate transport. Glia 2003, 41, 415. [Google Scholar] [PubMed]
- Forero-Quintero, L.S.; Ames, S.; Schneider, H.-P.; Thyssen, A.; Boone, C.D.; Andring, J.T.; McKenna, R.; Casey, J.R.; Deitmer, J.W.; Becker, H.M. Membrane-anchored carbonic anhydrase IV interacts with monocarboxylate transporters via their chaperones CD147 and GP70. J. Biol. Chem. 2019, 294, 593. [Google Scholar]
- Stridh, M.H.; Alt, M.D.; Wittmann, S.; Heidtmann, H.; Aggarwal, M.; Riederer, B.; Seidler, U.; Wennemuth, G.; McKenna, R.; Deitmer, J.W.; et al. Lactate-flux in astrocytes is enhanced by a non-catalytic action of carbonic anhydrase II. J. Physiol. 2012, 590, 2333. [Google Scholar]
- Epalle, N.H.; Beitz, E. Local Attraction of Substrates and Co-Substrates Enhances Weak Acid and Base Transmembrane Transport. Biomolecules 2022, 12, 1794. [Google Scholar] [CrossRef] [PubMed]
- Becker, H.M.; Deitmer, J.W. Proton Transport in Cancer Cells: The Role of Carbonic Anhydrases. Int. J. Mol. Sci. 2021, 22, 3171. [Google Scholar] [CrossRef]
- Becker, H.M. Carbonic anhydrase IX and acid transport in cancer. Br. J. Cancer 2020, 122, 157. [Google Scholar]
- Mboge, M.Y.; McKenna, R.; Frost, S.C. Advances in Anti-Cancer Drug Development Targeting Carbonic Anhydrase IX and XII. Top. Anticancer Res. 2015, 5, 3. [Google Scholar]
- Kciuk, M.; Gielecińska, A.; Mujwar, S.; Mojzych, M.; Marciniak, B.; Drozda, R.; Kontek, R. Targeting carbonic anhydrase IX and XII isoforms with small molecule inhibitors and monoclonal antibodies. J. Enzyme Inhib. Med. Chem. 2022, 37, 1278. [Google Scholar]
- Bonardi, A.; Bua, S.; Combs, J.; Lomelino, C.; Andring, J.; Osman, S.M.; Toti, A.; Di Cesare Mannelli, L.; Gratteri, P.; Ghelardini, C.; et al. The three-tails approach as a new strategy to improve selectivity of action of sulphonamide inhibitors against tumour-associated carbonic anhydrase IX and XII. J. Enzyme Inhib. Med. Chem. 2022, 37, 930. [Google Scholar]
- Pacchiano, F.; Carta, F.; McDonald, P.C.; Lou, Y.; Vullo, D.; Scozzafava, A.; Dedhar, S.; Supuran, C.T. Ureido-substituted benzenesulfonamides potently inhibit carbonic anhydrase IX and show antimetastatic activity in a model of breast cancer metastasis. J. Med. Chem. 2011, 54, 1896. [Google Scholar] [PubMed]
- A Study of SLC-0111 and Gemcitabine for Metastatic Pancreatic Ductal Cancer in Subjects Positive for CAIX (SLC-0111-17-01). Available online: https://clinicaltrials.gov/ct2/show/NCT03450018 (accessed on 25 July 2024).
- Eloranta, K.; Pihlajoki, M.; Liljeström, E.; Nousiainen, R.; Soini, T.; Lohi, J.; Cairo, S.; Wilson, D.B.; Parkkila, S.; Heikinheimo, M. SLC-0111, an inhibitor of carbonic anhydrase IX, attenuates hepatoblastoma cell viability and migration. Front. Oncol. 2023, 13, 1118268. [Google Scholar]
- Powell, C.R.; Dillon, K.M.; Matson, J.B. A Review of Hydrogen Sulfide (H2S) Donors: Chemistry and Potential Therapeutic Applications. Biochem. Pharmacol. 2018, 149, 110. [Google Scholar]
- Szabo, C.; Papapetropoulos, A. International Union of Basic and Clinical Pharmacology. CII: Pharmacological Modulation of H2S Levels: H2S Donors and H2S Biosynthesis Inhibitors. Pharmacol. Rev. 2017, 69, 497. [Google Scholar] [PubMed]
- Kimura, Y.; Koike, S.; Shibuya, N.; Lefer, D.; Ogasawara, Y.; Kimura, H. 3-Mercaptopyruvate sulfurtransferase produces potential redox regulators cysteine and glutathione-persulfide (Cys-SSH and GSSH) together with signaling molecules H2S2, H2S3 and H2S. Sci. Rep. 2017, 7, 10459. [Google Scholar]
- Zhao, Y.; Biggs, T.D.; Xian, M. Hydrogen Sulfide (H2S) Releasing Agents: Chemistry and Biological Applications. Chem. Commun. 2014, 50, 11788. [Google Scholar]
- Cuevasanta, E.; Denicola, A.; Alvarez, B.; Möller, M.N. Solubility and Permeation of Hydrogen Sulfide in Lipid Membranes. PLoS ONE 2012, 7, e34562. [Google Scholar]
- Wallace, J.L.; Blackler, R.W.; Chan, M.V.; Da Silva, G.J.; Elsheikh, W.; Flannigan, K.L.; Gamaniek, I.; Manko, A.; Wang, L.; Motta, J.P.; et al. Anti-inflammatory and cytoprotective actions of hydrogen sulfide: Translation to therapeutics. Antioxid. Redox Signal. 2015, 22, 398. [Google Scholar]
- Zhang, L.; Wang, Y.; Li, Y.; Li, L.; Xu, S.; Feng, X.; Liu, S. Hydrogen Sulfide (H2S)-Releasing Compounds: Therapeutic Potential in Cardiovascular Diseases. Front. Pharmacol. 2018, 9, 1066. [Google Scholar]
- Gopalakrishnan, P.; Shrestha, B.; Kaskas, A.M.; Green, J.; Alexander, J.S.; Pattillo, C.B. Hydrogen sulfide: Therapeutic or injurious in ischemic stroke? Pathophysiology 2019, 26, 1. [Google Scholar]
- Gambari, L.; Grigolo, B.; Grassi, F. Hydrogen Sulfide in Bone Tissue Regeneration and Repair: State of the Art and New Perspectives. Int. J. Mol. Sci. 2019, 20, 5231. [Google Scholar] [CrossRef] [PubMed]
- Szabo, C. Gasotransmitters in cancer: From pathophysiology to experimental therapy. Nat. Rev. Drug Discov. 2016, 15, 185. [Google Scholar] [PubMed]
- Ma, W.; Zhang, X.; Zhuang, L. Exogenous Hydrogen Sulfide Induces A375 Melanoma Cell Apoptosis Through Overactivation of the Unfolded Protein Response. Clin. Cosmet. Investig. Dermatol. 2023, 16, 1641. [Google Scholar]
- Wu, D.; Si, W.; Wang, M.; Lv, S.; Ji, A.; Li, Y. Hydrogen sulfide in cancer: Friend or foe? Nitric Oxide 2015, 50, 38. [Google Scholar]
- Panisova, E.; Kery, M.; Sedlakova, O.; Brisson, L.; Debreova, M.; Sboarina, M.; Sonveaux, P.; Pastorekova, S.; Svastova, E. Lactate stimulates CA IX expression in normoxic cancer cells. Oncotarget 2017, 8, 77819. [Google Scholar]
- Bonardi, A.; Micheli, L.; Di Cesare Mannelli, L.; Ghelardini, C.; Gratteri, P.; Nocentini, A.; Supuran, C.T. Development of Hydrogen Sulfide-Releasing Carbonic Anhydrases IX- and XII-Selective Inhibitors with Enhanced Antihyperalgesic Action in a Rat Model of Arthritis. J. Med. Chem. 2022, 65, 13143. [Google Scholar]
- Khalifah, R.G. The carbon dioxide hydration activity of carbonic anhydrase I. Stop-flow kinetic studies on the native human isoenzymes B and C. J. Biol. Chem. 1971, 246, 2561. [Google Scholar]
- Kalinin, S.; Nocentini, A.; Kovalenko, A.; Sharoyko, V.; Bonardi, A.; Angeli, A.; Gratteri, P.; Tennikova, T.B.; Supuran, C.T.; Krasavin, M. From random to rational: A discovery approach to selective subnanomolar inhibitors of human carbonic anhydrase IV based on the Castagnoli-Cushman multicomponent reaction. Eur. J. Med. Chem. 2019, 182, 111642. [Google Scholar] [PubMed]
- Li, L.; Rossoni, G.; Sparatore, A.; Lee, L.C.; Del Soldato, P.; Moore, P.K. Anti-inflammatory and gastrointestinal effects of a novel diclofenac derivative. Free Radic. Biol. Med. 2007, 42, 706. [Google Scholar]
- Devarie-Baez, N.O.; Bagdon, P.E.; Peng, B.; Zhao, Y.; Park, C.M.; Xian, M. Light-induced hydrogen sulfide release from "caged" gem-dithiols. Org. Lett. 2013, 15, 2786. [Google Scholar]
- Klika, Z.; Pustková, P.; Dudová, M.; Čapková, P.; Kliková, C.; Grygar, T.M. The adsorption of methylene blue on montmorillonite from acid solutions. Clay Miner. 2011, 46, 461. [Google Scholar]
- Bujda´k, J.; Komadel, P. Interaction of Methylene Blue with Reduced Charge Montmorillonite. J. Phys. Chem. B 1997, 101, 9065. [Google Scholar]
- Li, M.; Li, J.; Zhang, T.; Zhao, Q.; Cheng, J.; Liu, B.; Wang, Z.; Wang, C. Syntheses, toxicities and anti-inflammation of H2S-donors based on non-steroidal anti-inflammatory drugs. Eur. J. Med. Chem. 2017, 138, 51. [Google Scholar] [PubMed]
- Lee, M.; Tazzari, V.; Giustarini, D.; Rossi, R.; Sparatore, A.; Del Soldato, P.; McGeer, E.; McGeer, P.L. Effects of hydrogen sulfide-releasing L-DOPA derivatives on glial activation: Potential for treating Parkinson disease. J. Biol. Chem. 2010, 285, 17318. [Google Scholar]
- Giustarini, D.; Tazzari, V.; Bassanini, I.; Rossi, R.; Sparatore, A. The new H2S-releasing compound ACS94 exerts protective effects through the modulation of thiol homeostasis. J. Enzyme Inhib. Med. Chem. 2018, 33, 1392. [Google Scholar]
- Lin, H.; Yu, Y.; Zhu, L.; Lai, N.; Zhang, L.; Guo, Y.; Lin, X.; Yang, D.; Ren, N.; Zhu, Z.; et al. Implications of hydrogen sulfide in colorectal cancer: Mechanistic insights and diagnostic and therapeutic strategies. Redox Biol. 2023, 59, 102601. [Google Scholar]
- Li, H.; Xu, F.; Gao, G.; Gao, X.; Wu, B.; Zheng, C.; Wang, P.; Li, Z.; Hua, H.; Li, D. Hydrogen sulfide and its donors: Novel antitumor and antimetastatic therapies for triple-negative breast cancer. Redox Biol. 2020, 34, 101564. [Google Scholar]
- Youness, R.A.; Assal, R.A.; Abdel Motaal, A.; Gad, M.Z. A novel role of sONE/NOS3/NO signaling cascade in mediating hydrogen sulphide bilateral effects on triple negative breast cancer progression. Nitric Oxide 2018, 80, 12–23. [Google Scholar]
- Yang, Y.L.; Zhang, K.; Zhou, Z.T.; Jiang, Z.L.; Liu, Y.; Zhang, Y.X.; Liu, Z.H.; Ji, X.Y.; Wu, D.D. The Role of Hydrogen Sulfide in the Development and Progression of Lung Cancer. Molecules 2022, 27, 9005. [Google Scholar] [CrossRef]
- Ngowi, E.E.; Afzal, A.; Sarfraz, M.; Khattak, S.; Zaman, S.U.; Khan, N.H.; Li, T.; Jiang, Q.Y.; Zhang, X.; Duan, S.F.; et al. Role of hydrogen sulfide donors in cancer development and progression. Int. J. Biol. Sci. 2021, 17, 73–88. [Google Scholar]
- Yang, C.T.; Chen, L.; Xu, S.; Day, J.J.; Li, X.; Xian, M. Recent Development of Hydrogen Sulfide Releasing/Stimulating Reagents and Their Potential Applications in Cancer and Glycometabolic Disorders. Front. Pharmacol. 2017, 8, 664. [Google Scholar]
- Li, Y.; Tu, C.; Wang, H.; Silverman, D.N.; Frost, S.C. Catalysis and pH control by membrane-associated carbonic anhydrase IX in MDA-MB-231 breast cancer cells. J. Biol. Chem. 2011, 286, 15789–15796. [Google Scholar] [PubMed]
- Hsieh, M.J.; Chen, K.S.; Chiou, H.L.; Hsieh, Y.S. Carbonic anhydrase XII promotes invasion and migration ability of MDA-MB-231 breast cancer cells through the p38 MAPK signaling pathway. Eur. J. Cell Biol. 2010, 89, 598–606. [Google Scholar] [PubMed]
- Sansone, P.; Piazzi, G.; Paterini, P.; Strillacci, A.; Ceccarelli, C.; Minni, F.; Biasco, G.; Chieco, P.; Bonafè, M. Cyclooxygenase-2/carbonic anhydrase-IX up-regulation promotes invasive potential and hypoxia survival in colorectal cancer cells. J. Cell Mol. Med. 2009, 13, 3876–3887. [Google Scholar]
- Swinson, D.E.; Jones, J.L.; Richardson, D.; Wykoff, C.; Turley, H.; Pastorek, J.; Taub, N.; Harris, A.L.; O’Byrne, K.J. Carbonic anhydrase IX expression, a novel surrogate marker of tumor hypoxia, is associated with a poor prognosis in non-small-cell lung cancer. J. Clin. Oncol. 2003, 21, 473–482. [Google Scholar]
- Eldehna, W.M.; Abo-Ashour, M.F.; Nocentini, A.; El-Haggar, R.S.; Bua, S.; Bonardi, A.; Al-Rashood, S.T.; Hassan, G.S.; Gratteri, P.; Abdel-Aziz, H.A.; et al. Enhancement of the tail hydrophobic interactions within the carbonic anhydrase IX active site via structural extension: Design and synthesis of novel N-substituted isatins-SLC-0111 hybrids as carbonic anhydrase inhibitors and antitumor agents. Eur. J. Med. Chem. 2019, 162, 147. [Google Scholar]
- Petreni, A.; Bonardi, A.; Lomelino, C.; Osman, S.M.; ALOthman, Z.A.; Eldehna, W.M.; El-Haggar, R.; McKenna, R.; Nocentini, A.; Supuran, C.T. Inclusion of a 5-fluorouracil moiety in nitrogenous bases derivatives as human carbonic anhydrase IX and XII inhibitors produced a targeted action against MDA-MB-231 and T47D breast cancer cells. Eur. J. Med. Chem. 2020, 190, 112112. [Google Scholar]






![]() | ||||||
|---|---|---|---|---|---|---|
| KI (nM) a,b | ||||||
| Cmpd | R | hCA I | hCA II | hCA IV | hCA IX | hCA XII |
| 19 | -C6H5 | 770.7 | 479.9 | 4339 | 43.0 | 9.7 |
| 20 | -4-F-C6H4 | 5324 | 599.8 | >10,000 | 46.3 | 65.3 |
| 21 | -4-Cl-C6H4 | 5505 | 2974 | 430.1 | 24.0 | 9.8 |
| 22 | -4-Br-C6H4 | 7704 | 3661 | 1042 | 19.1 | 12.9 |
| 23 | -4-CN-C6H4 | >10,000 | 4826 | 46.2 | 40.3 | 8.8 |
| 24 | -4-N(CH3)2-C6H4 | 4261 | 995.4 | 3412 | 22.7 | 9.5 |
| 25 | -4-NO2-C6H4 | 7453 | 918.7 | >10,000 | 36.6 | 32.9 |
| 26 | -2-OCH3,4-NO2-C6H3 | 6697 | 2950 | 4093 | 4.1 | 7.7 |
| 27 | -4-OCH3-C6H4 | 2215 | 589.1 | 1586 | 50.3 | 76.4 |
| 28 | -3,4-diOCH3-C6H3 | 890.3 | 218.5 | 292.6 | 18.6 | 8.9 |
| 29 | -4-SCH3-C6H4 | 7210 | 9646 | 403.8 | 46.2 | 8.4 |
| 30 | -1-naphthyl | >10,000 | 4464 | 244.2 | 15.6 | 7.0 |
| 31 | -benzo[b]thiophen-3-yl | >10,000 | 2482 | 48.0 | 2.4 | 8.0 |
| 32 | -CH2C6H4 | 4387 | 660.9 | 243.2 | 125.7 | 9.6 |
| 33 | -CH2CN | 429.2 | 60.4 | 523.1 | 28.7 | 9.1 |
| AAZ | - | 250.0 | 12.5 | 74 | 25.0 | 5.7 |
| Cmpd | Cmax | t/2 (min) |
|---|---|---|
| 3 a | 12.1 | 3.1 |
| 22 | 8.0 | 4.7 |
| 23 | 8.2 | 5.2 |
| 26 a | 7.9 | 4.9 |
| 29 a | 8.2 | 4.6 |
| 30 a | 8.0 | 5.0 |
| Cmpds | IC50 (µM) a | ||
|---|---|---|---|
| MDA-MB-231 | HCT-116 | A549 | |
| 22 | 6.31 ± 0.22 | 6.62 ± 0.21 | 23.72 ± 1.61 |
| 23 | 1.53 ± 0.04 | 1.24 ± 0.04 | 4.53 ± 0.12 |
| 26 | 10.43 ± 0.61 | 2.30 ± 0.072 | 7.47 ± 0.31 |
| 29 | 3.25 ± 0.09 | 10.13 ± 0.66 | 60.91 ± 2.17 |
| 30 | 9.59 ± 0.31 | 2.30 ± 0.14 | 1.78 ± 0.04 |
| Staurosporine | 8.24 ± 0.34 | 10.13 ± 0.35 | 5.11 ± 0.19 |
| Cmpds | IC50 (µM) a | IC50 Normoxia / IC50 Hypoxia | |
|---|---|---|---|
| HCT-116 (Hypoxia) | HCT-116 (Normoxia) | ||
| 22 | 11.38 ± 0.22 | 6.62 ± 0.21 | 0.6 |
| 23 | 4.27 ± 0.08 | 1.24 ± 0.04 | 0.3 |
| 26 | 3.73 ± 0.07 | 2.30 ± 0.072 | 0.6 |
| 29 | 12.66 ± 0.25 | 10.13 ± 0.66 | 0.8 |
| 30 | 0.93 ± 0.02 | 2.30 ± 0.14 | 2.5 |
| Staurosporine | 11.75 ± 0.23 | 10.13 ± 0.35 | 0.8 |
| Cmpds | %G0-G1 | %S | %G2/M | %Sub-G1 | |
|---|---|---|---|---|---|
| HCT-166 | 23 | 20.35 | 23.29 | 32.2 | 24.16 |
| 26 | 27.14 | 24.13 | 30.29 | 18.44 | |
| 30 | 28.22 | 18.4 | 31.39 | 21.99 | |
| Control | 49.16 | 38.6 | 10.8 | 1.44 | |
| A549 | 23 | 29.65 | 26.28 | 28.09 | 15.98 |
| 26 | 29.49 | 22.54 | 33.05 | 14.92 | |
| 30 | 22.93 | 20.77 | 34.96 | 21.34 | |
| Control | 56.09 | 35.55 | 6.36 | 2 |
| Cmpds | Early Apoptosis (Lower Right %) | Late Apoptosis (Upper Right %) | Total | |
|---|---|---|---|---|
| HCT-166 | 23 | 7.69 | 21.33 | 29.02 |
| 26 | 4.13 | 14.96 | 19.09 | |
| 30 | 10.23 | 15.49 | 25.72 | |
| Control | 0.47 | 0.31 | 0.78 | |
| A549 | 23 | 6.91 | 10.13 | 17.04 |
| 26 | 6.47 | 9.3 | 15.77 | |
| 30 | 5.36 | 18.59 | 23.95 | |
| Control | 0.89 | 0.31 | 1.2 |
Disclaimer/Publisher’s Note: The statements, opinions and data contained in all publications are solely those of the individual author(s) and contributor(s) and not of MDPI and/or the editor(s). MDPI and/or the editor(s) disclaim responsibility for any injury to people or property resulting from any ideas, methods, instructions or products referred to in the content. |
© 2024 by the authors. Licensee MDPI, Basel, Switzerland. This article is an open access article distributed under the terms and conditions of the Creative Commons Attribution (CC BY) license (https://creativecommons.org/licenses/by/4.0/).
Share and Cite
Bonardi, A.; Nocentini, A.; de Luca, V.; Capasso, C.; Elkaeed, E.B.; Eldehna, W.M.; Supuran, C.T. Hydrogen Sulfide-Releasing Carbonic Anhydrase Inhibitors Effectively Suppress Cancer Cell Growth. Int. J. Mol. Sci. 2024, 25, 10006. https://doi.org/10.3390/ijms251810006
Bonardi A, Nocentini A, de Luca V, Capasso C, Elkaeed EB, Eldehna WM, Supuran CT. Hydrogen Sulfide-Releasing Carbonic Anhydrase Inhibitors Effectively Suppress Cancer Cell Growth. International Journal of Molecular Sciences. 2024; 25(18):10006. https://doi.org/10.3390/ijms251810006
Chicago/Turabian StyleBonardi, Alessandro, Alessio Nocentini, Viviana de Luca, Clemente Capasso, Eslam B. Elkaeed, Wagdy M. Eldehna, and Claudiu T. Supuran. 2024. "Hydrogen Sulfide-Releasing Carbonic Anhydrase Inhibitors Effectively Suppress Cancer Cell Growth" International Journal of Molecular Sciences 25, no. 18: 10006. https://doi.org/10.3390/ijms251810006
APA StyleBonardi, A., Nocentini, A., de Luca, V., Capasso, C., Elkaeed, E. B., Eldehna, W. M., & Supuran, C. T. (2024). Hydrogen Sulfide-Releasing Carbonic Anhydrase Inhibitors Effectively Suppress Cancer Cell Growth. International Journal of Molecular Sciences, 25(18), 10006. https://doi.org/10.3390/ijms251810006


