The Impact of ARMS2 (rs10490924), VEGFA (rs3024997), TNFRSF1B (rs1061622), TNFRSF1A (rs4149576), and IL1B1 (rs1143623) Polymorphisms and Serum Levels on Age-Related Macular Degeneration Development and Therapeutic Responses
Abstract
1. Introduction
2. Results
2.1. Hardy–Weinberg Equilibrium Analysis
2.2. VEGFA rs3024997, IL1B rs1143623, TNFRSF1B rs1061622, TNFRSF1A rs4149576, and ARMS2 rs10490924 Associations with Early and Exudative AMD
Analysis of VEGFA rs3024997, IL1B rs1143623, TNFRSF1B rs1061622, TNFRSF1A rs4149576, and ARMS2 rs10490924 in Early and Exudative AMD in Female and Male Subgroups
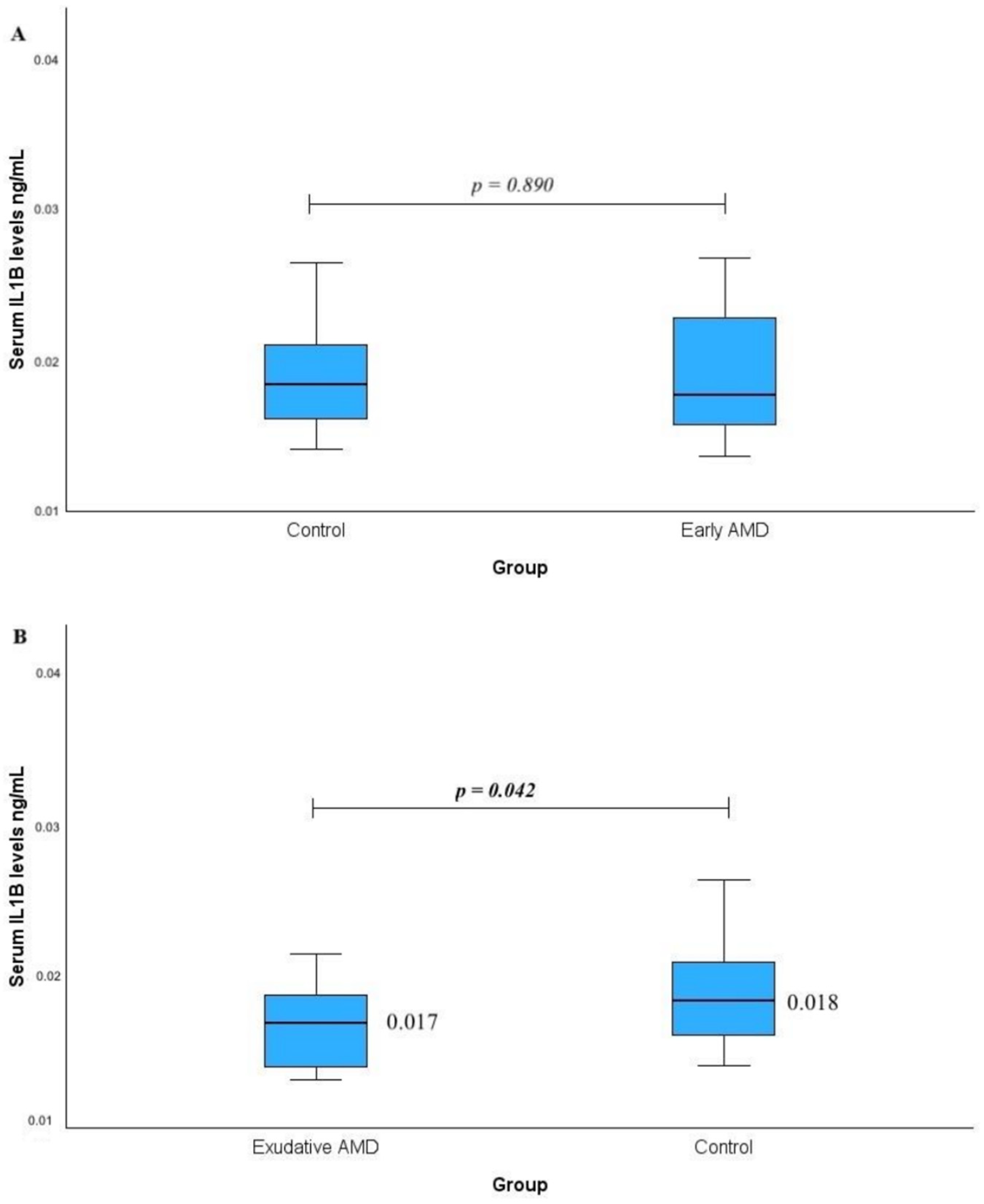
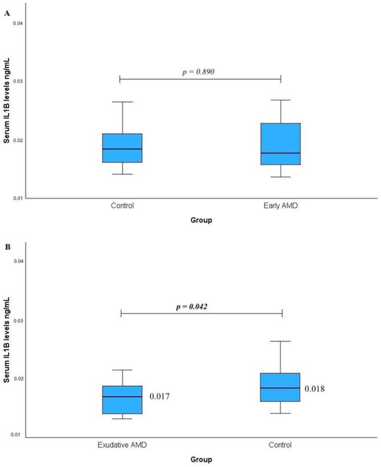
2.3. Serum IL1B, TNFRSF1B, TNFRSF1A, and ARMS2 Associations with Early and Exudative AMD
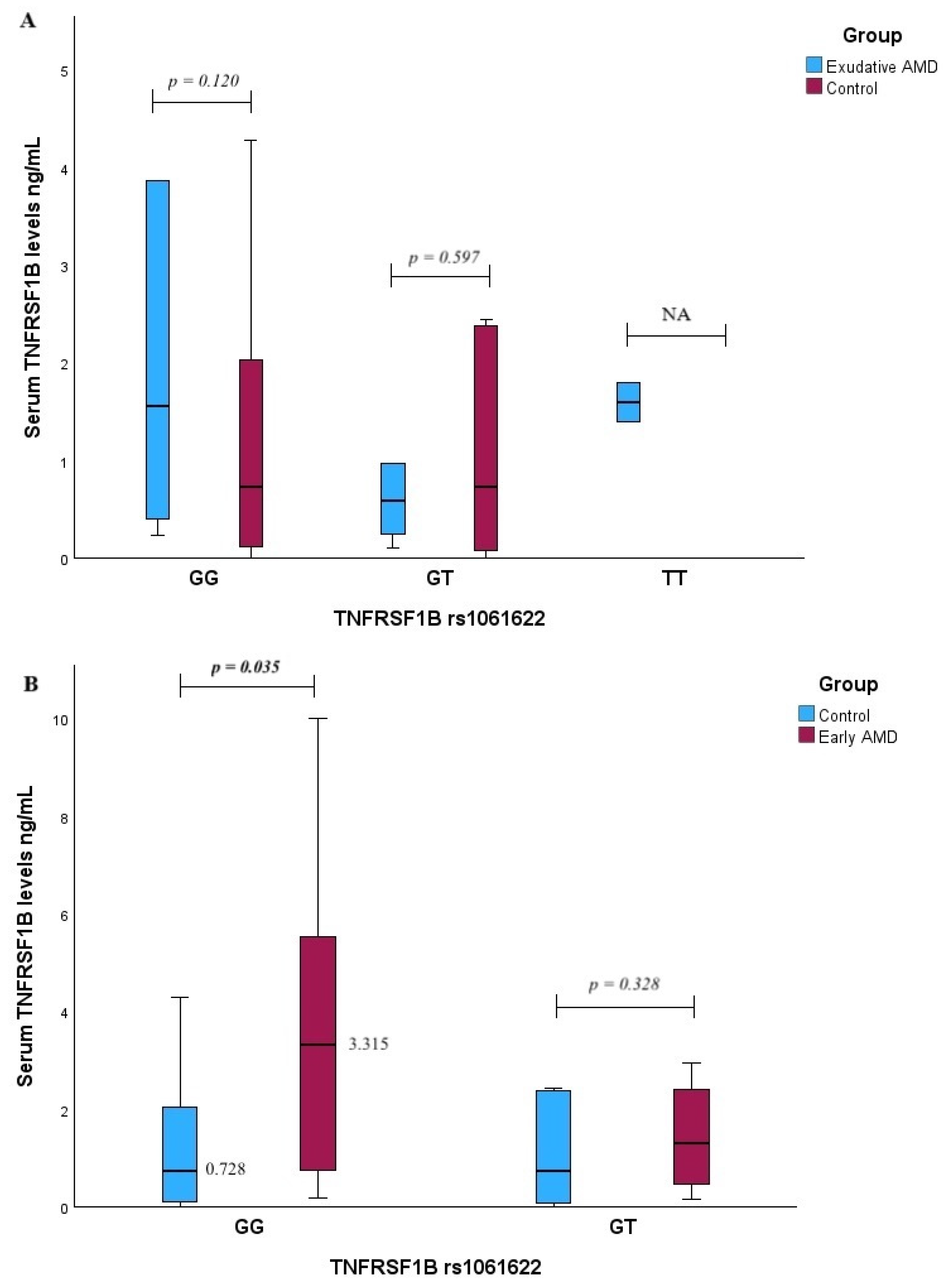
2.4. Serum IL1B, TNFRS1B, TNFRS1A, and ARMS2 Levels and IL1B, TNFRS1B, TNFRS1A, and ARMS2 SNP Associations with AMD
2.5. Response to Exudative AMD Treatment with Anti-VEGF Injections
2.6. Single-Nucleotide Polymorphism Associations with Exudative AMD Treatment Response
2.7. Serum IL1B, TNFRSF1B, TNFRSF1A, and ARMS2 Associations with the Treatment Response to Anti-VEGF Treatment
3. Discussion
3.1. Genetic Variants and AMD
3.2. Serum Biomarkers and AMD
3.3. Response to Anti-VEGF Treatment
4. Materials and Methods
4.1. Ethics
4.2. Study Design and Structure
4.3. SNP Selection
4.4. Study Group Formation
4.5. Exudative AMD Response to Anti-VEGF Injection Treatment
4.6. DNA Extraction from Peripheral Venous Blood and Genotyping
4.7. Serum Protein Concentration Measurement
4.8. Statistical Analysis
5. Conclusions
Supplementary Materials
Author Contributions
Funding
Institutional Review Board Statement
Informed Consent Statement
Data Availability Statement
Conflicts of Interest
References
- Thomas, C.J.; Mirza, R.G.; Gill, M.K. Age-Related Macular Degeneration. Med. Clin. N. Am. 2021, 105, 473–491. [Google Scholar] [CrossRef] [PubMed]
- Owen, C.G.; Jarrar, Z.; Wormald, R.; Cook, D.G.; Fletcher, A.E.; Rudnicka, A.R. The Estimated Prevalence and Incidence of Late-Stage Age-Related Macular Degeneration in the UK. Br. J. Ophthalmol. 2012, 96, 752–756. [Google Scholar] [CrossRef] [PubMed]
- Klein, R.; Klein, B.E.K.; Linton, K.L.P. Prevalence of Age-Related Maculopathy: The Beaver Dam Eye Study. Ophthalmology 1992, 99, 933–943. [Google Scholar] [CrossRef] [PubMed]
- Gass, J.D. Pathogenesis of Disciform Detachment of the Neuroepithelium. Am. J. Ophthalmol. 1967, 63, 1–139. [Google Scholar]
- Rosenfeld, P.J.; Brown, D.M.; Heier, J.S.; Boyer, D.S.; Kaiser, P.K.; Chung, C.Y.; Kim, R.Y. Ranibizumab for Neovascular Age-Related Macular Degeneration. N. Engl. J. Med. 2006, 355, 1419–1431. [Google Scholar] [CrossRef]
- Heier, J.S.; Brown, D.M.; Chong, V.; Korobelnik, J.F.; Kaiser, P.K.; Nguyen, Q.D.; Kirchhof, B.; Ho, A.; Ogura, Y. Intravitreal Aflibercept (VEGF Trap-Eye) in Wet Age-Related Macular Degeneration. Ophthalmology 2012, 119, 2537–2548. [Google Scholar] [CrossRef]
- Martin, D.F.; Maguire, M.G.; Fine, S.L.; Ying, G.S.; Jaffe, G.J.; Grunwald, J.E.; Toth, C.; Redford, M.; Ferris, F.L., 3rd. Ranibizumab and Bevacizumab for Treatment of Neovascular Age-Related Macular Degeneration: Two-Year Results. Ophthalmology 2012, 119, 1388–1398. [Google Scholar] [CrossRef]
- Fisher, S.A.; Abecasis, G.R.; Yashar, B.M.; Zareparsi, S.; Swaroop, A.; Iyengar, S.K.; Klein, B.E.K.; Klein, R.; Lee, K.E.; Majewski, J.; et al. Meta-Analysis of Genome Scans of Age-Related Macular Degeneration. Hum. Mol. Genet. 2005, 14, 2257–2264. [Google Scholar] [CrossRef]
- Klein, M.L.; Schultz, D.W.; Edwards, A.; Matise, T.C.; Rust, K.; Berselli, C.B.; Trzupek, K.; Weleber, R.G.; Ott, J.; Acott, T.S.; et al. Age-Related Macular Degeneration: Clinical Features in a Large Family and Linkage to Chromosome 1q. Arch. Ophthalmol. 1998, 116, 1082–1088. [Google Scholar] [CrossRef]
- Majewski, J.; Schultz, D.W.; Weleber, R.G.; Schain, M.B.; Edwards, A.O.; Matise, T.C.; Acott, T.S.; Ott, J.; Klein, M.L. Age-Related Macular Degeneration--A Genome Scan in Extended Families. Am. J. Hum. Genet. 2003, 73, 540–550. [Google Scholar] [CrossRef]
- Schick, J.H.; Iyengar, S.K.; Klein, B.E.; Klein, R.; Reading, K.; Liptak, R.; Millard, C.; Lee, K.E.; Elston, R.C. A Whole-Genome Screen of a Quantitative Trait of Age-Related Maculopathy in Sibships from the Beaver Dam Eye Study. Am. J. Hum. Genet. 2003, 72, 1412–1424. [Google Scholar] [CrossRef] [PubMed]
- Abecasis, G.R.; Yashar, B.M.; Zhao, Y.; Zareparsi, S.; Branham, K.E.; Dewan, A.; Stanwyck, L.K.; Forman, J.J.; Scheetz, T.E.; Jacobson, S.G.; et al. Age-Related Macular Degeneration: A High-Resolution Genome Scan for Susceptibility Loci in a Population Enriched for Late-Stage Disease. Am. J. Hum. Genet. 2004, 74, 482–494. [Google Scholar] [CrossRef] [PubMed]
- Iyengar, S.K.; Song, D.; Klein, B.E.K.; Klein, R.; Schick, J.H.; Liptak, R.; Millard, C.; Lee, K.E.; Reading, K.; McCarty, C.A.; et al. Dissection of Genomewide-Scan Data in Extended Families Reveals a Major Locus and Oligogenic Susceptibility for Age-Related Macular Degeneration. Am. J. Hum. Genet. 2004, 74, 20–39. [Google Scholar] [CrossRef] [PubMed]
- Schmidt, S.; Scott, W.K.; Postel, E.A.; Agarwal, A.; Hauser, E.R.; DeAngelis, M.; Klaver, C.C.; Barbazetto, I.A.; Piermarocchi, S.; Bracken, M.B.; et al. Ordered Subset Linkage Analysis Supports a Susceptibility Locus for Age-Related Macular Degeneration on Chromosome 16p12. BMC Genet. 2004, 5, 18. [Google Scholar] [CrossRef]
- Kenealy, S.J.; Schmidt, S.; Agarwal, A.; Postel, E.A.; Hauser, E.R.; Pericak-Vance, M.A.; Haines, J.L.; Gilbert, J.R. Linkage Analysis for Age-Related Macular Degeneration Supports a Gene on Chromosome 10q26. Mol. Vis. 2004, 10, 57–61. [Google Scholar] [CrossRef]
- Jun, G.; Klein, B.E.K.; Klein, R.; Fuchs, M.; Tomany, S.C.; Lee, K.E.; Iyengar, S.K. Genome-Wide Analyses Demonstrate Novel Loci that Predispose to Drusen Formation. Investig. Ophthalmol. Vis. Sci. 2005, 46, 3081–3088. [Google Scholar] [CrossRef]
- Silveira, A.C.; Morrison, M.A.; Ji, F.; Xu, H.; Nichols, C.; Qin, G.; Miller, E.N.; DeAngelis, M.M. Convergence of Linkage, Gene Expression, and Association Data Demonstrates the Influence of the RAR-Related Orphan Receptor Alpha (RORA) Gene on Neovascular AMD: A Systems Biology-Based Approach. Vision Res. 2010, 50, 698–715. [Google Scholar] [CrossRef]
- Fritsche, L.G.; Igl, W.; Bailey, J.N.C.; Grassmann, F.; Sengupta, S.; Bragg-Gresham, J.L.; Burdon, K.P.; Hebbring, S.J.; Wen, C.; Gorski, M.; et al. A Large Genome-Wide Association Study of Age-Related Macular Degeneration Highlights Contributions of Rare and Common Variants. Nat. Genet. 2016, 48, 134–143. [Google Scholar] [CrossRef]
- Seddon, J.M.; Cote, J.; Page, W.F.; Aggen, S.H.; Neale, M.C. The US twin study of age-related macular degeneration: Relative roles of genetic and environmental influences. Arch. Ophthalmol. 2005, 123, 321–327. [Google Scholar] [CrossRef]
- Colijn, J.M.; Meester-Smoor, M.; Verzijden, T.; de Breuk, A.; Silva, R.; Merle, B.M.J.; Cougnard-Grégoire, A.; Hoyng, C.B.; Fauser, S.; Coolen, A.; et al. Genetic risk, lifestyle, and age-related macular degeneration in Europe: The EYE-RISK consortium. Ophthalmology 2021, 128, 1039–1049. [Google Scholar] [CrossRef]
- de Breuk, A.; Acar, I.E.; Kersten, E.; Schijvenaars, M.M.V.A.P.; Colijn, J.M.; Haer-Wigman, L.; Bakker, B.; de Jong, S.; Meester-Smoor, M.A.; Verzijden, T.; et al. Development of a genotype assay for age-related macular degeneration: The EYE-RISK consortium. Ophthalmology 2020, 128, 1604–1617. [Google Scholar] [CrossRef] [PubMed]
- Lambert, N.G.; ElShelmani, H.; Singh, M.K.; Mansergh, F.C.; Wride, M.A.; Padilla, M.; Keegan, D.; Hogg, R.E.; Ambati, B.K. Risk factors and biomarkers of age-related macular degeneration. Prog. Retin. Eye Res. 2016, 54, 64–102. [Google Scholar] [CrossRef] [PubMed]
- Wang, J.J.; Buitendijk, G.H.; Rochtchina, E.; Lee, K.E.; Klein, B.E.; van Duijn, C.M.; Flood, V.M.; Meuer, S.M.; Attia, J.; Myers, C.; et al. Genetic susceptibility, dietary antioxidants, and long-term incidence of age-related macular degeneration in two populations. Ophthalmology 2014, 121, 667–675. [Google Scholar] [CrossRef] [PubMed]
- Farinha, C.; Barreto, P.; Coimbra, R.; Cachulo, M.L.; Melo, J.B.; Cunha-Vaz, J.; Lechanteur, Y.; Hoyng, C.B.; Silva, R. Common and rare genetic risk variants in age-related macular degeneration and genetic risk score in the Coimbra eye study. Acta Ophthalmol. 2023, 101, 185–199. [Google Scholar] [CrossRef]
- Toomey, C.B.; Johnson, L.V.; Bowes Rickman, C. Complement factor H in AMD: Bridging genetic associations and pathobiology. Progress Retin. Eye Res. 2018, 62, 38–57. [Google Scholar] [CrossRef]
- Kanda, A.; Chen, W.; Othman, M.; Branham, K.E.; Brooks, M.; Khanna, R.; He, S.; Lyons, R.; Abecasis, G.R.; Swaroop, A. A Variant of Mitochondrial Protein LOC387715/ARMS2, Not HTRA1, is Strongly Associated with Age-Related Macular Degeneration. Proc. Natl. Acad. Sci. USA 2007, 104, 16227–16232. [Google Scholar] [CrossRef]
- Wang, G.; Scott, W.K.; Whitehead, P.; Court, B.L.; Kovach, J.L.; Schwartz, S.G.; Postel, E.A.; DeAngelis, M.M.; Haines, J.L.; Pericak-Vance, M.A.; et al. A Novel ARMS2 Splice Variant is Identified in Human Retina. Exp. Eye Res. 2012, 94, 187–191. [Google Scholar] [CrossRef][Green Version]
- Andreoli, M.T.; Morrison, M.A.; Kim, B.J.; Chen, L.; Adams, S.M.; Miller, J.W.; Kim, I.K.; Seddon, J.M.; Hageman, G.S.; DeAngelis, M.M. Comprehensive Analysis of Complement Factor H and LOC387715/ARMS2/HTRA1 Variants with Respect to Phenotype in Advanced Age-Related Macular Degeneration. Am. J. Ophthalmol. 2009, 148, 869–874. [Google Scholar] [CrossRef][Green Version]
- Hansen, T.F.; Jakobsen, A. Clinical Implications of Genetic Variations in the VEGF System in Relation to Colorectal Cancer. Pharmacogenomics 2011, 12, 1681–1693. [Google Scholar] [CrossRef]
- Gupta, S.; Johnson, S.H.; Vasmatzis, G.; Aydin, H.; von Keitz, B.; Boylan, K.L.; Fan, J.; Lindgren, C.M.; Klee, E.W.; Eckloff, B.; et al. TFEB-VEGFA (6p21.1) Co-Amplified Renal Cell Carcinoma: A Distinct Entity with Potential Implications for Clinical Management. Mod. Pathol. 2017, 30, 998–1012. [Google Scholar] [CrossRef]
- Harper, S.J.; Bates, D.O. VEGF-A Splicing: The Key to Anti-Angiogenic Therapeutics? Nat. Rev. Cancer 2008, 8, 880–887. [Google Scholar] [CrossRef] [PubMed]
- Boltz, A.; Ruiß, M.; Jonas, J.B.; Shen, Y.; Schmid-Kubista, K.E.; Koch, F.; Fischer, M.; Meyer, C.H.; Holz, F.G.; Kampik, A.; et al. Role of Vascular Endothelial Growth Factor Polymorphisms in the Treatment Success in Patients with Wet Age-Related Macular Degeneration. Ophthalmology 2012, 119, 1615–1620. [Google Scholar] [CrossRef] [PubMed]
- Rittore, C.; Méchin, D.; Sanchez, E.; Marinèche, L.; Ea, V.; Soler, S.; Vereecke, M.; Mallavialle, A.; Richard, E.; Duroux-Richard, I.; et al. TNFR1-d2 Carrying the p.(Thr79Met) Pathogenic Variant is a Potential Novel Actor of TNFα/TNFR1 Signalling Regulation in the Pathophysiology of TRAPS. Sci. Rep. 2021, 11, 4172. [Google Scholar] [CrossRef] [PubMed]
- Alshevskaya, A.; Zhukova, J.; Kireev, F.; Lopatnikova, J.; Evsegneeva, I.; Demina, D.; Nepomniashchikh, V.; Gladkikh, V.; Karaulov, A.; Sennikov, S. Redistribution of TNF Receptor 1 and 2 Expression on Immune Cells in Patients with Bronchial Asthma. Cells 2022, 11, 1736. [Google Scholar] [CrossRef]
- Lainez, B.; Fernandez-Real, J.M.; Romero, X.; Esplugues, E.; Cañete, J.D.; Ricart, W.; Engel, P. Identification and Characterization of a Novel Spliced Variant that Encodes Human Soluble Tumor Necrosis Factor Receptor 2. Int. Immunol. 2004, 16, 169–177. [Google Scholar] [CrossRef]
- Dinarello, C.A. Immunological and Inflammatory Functions of the Interleukin-1 Family. Annu. Rev. Immunol. 2009, 27, 519–550. [Google Scholar] [CrossRef]
- Isoda, K.; Sawada, S.; Ishigami, N.; Matsuki, T.; Miyazaki, K.; Kusuhara, M.; Iwakura, Y.; Ohsuzu, F. Lack of Interleukin-1 Receptor Antagonist Modulates Plaque Composition in Apolipoprotein E-Deficient Mice. Arterioscler. Thromb. Vasc. Biol. 2004, 24, 1068–1073. [Google Scholar] [CrossRef]
- BenEzra, D.; Hemo, I.; Maftzir, G. In Vivo Angiogenic Activity of Interleukins. Arch. Ophthalmol. 1990, 108, 573–576. [Google Scholar] [CrossRef]
- Yamasaki, Y.; Matsuura, N.; Shozuhara, H.; Onodera, H.; Itoyama, Y.; Kogure, K. Interleukin-1 as a Pathogenetic Mediator of Ischemic Brain Damage in Rats. Stroke 1995, 26, 676–680. [Google Scholar] [CrossRef]
- Namekata, K.; Harada, C.; Guo, X.; Kikushima, K.; Kimura, A.; Fuse, N.; Mitamura, Y.; Kohyama, K.; Matsumoto, Y.; Tanaka, K.; et al. Interleukin-1 Attenuates Normal Tension Glaucoma-Like Retinal Degeneration in EAAC1-Deficient Mice. Neurosci. Lett. 2009, 465, 160–164. [Google Scholar] [CrossRef]
- LaVail, M.M.; Unoki, K.; Yasumura, D.; Matthes, M.T.; Yancopoulos, G.D.; Steinberg, R.H. Multiple Growth Factors, Cytokines, and Neurotrophins Rescue Photoreceptors from the Damaging Effects of Constant Light. Proc. Natl. Acad. Sci. USA 1992, 89, 11249–11253. [Google Scholar] [CrossRef] [PubMed]
- Oh, H.; Takagi, H.; Takagi, C.; Suzuma, K.; Otani, A.; Ishida, K.; Matsumura, M.; Ogura, Y.; Honda, Y. The Potential Angiogenic Role of Macrophages in the Formation of Choroidal Neovascular Membranes. Investig. Ophthalmol. Vis. Sci. 1999, 40, 1891–1898. [Google Scholar]
- Vilkeviciute, A.; Cebatoriene, D.; Kriauciuniene, L.; Liutkeviciene, R. VEGFA Haplotype and VEGF-A and VEGF-R2 Protein Associations with Exudative Age-Related Macular Degeneration. Cells 2022, 11, 996. [Google Scholar] [CrossRef] [PubMed]
- Chaudhary, V.; Brent, M.; Lam, W.-C.; Devenyi, R.; Teichman, J.; Mak, M.; Barbosa, J.; Kaur, H.; Carter, R.; Farrokhyar, F.; et al. Genetic Risk Evaluation in Wet Age-Related Macular Degeneration Treatment Response. Ophthalmologica 2016, 236, 88–94. [Google Scholar] [CrossRef]
- Asten, F.; Rovers, M.M.; Lechanteur, Y.T.E.; Smailhodzic, D.; Muether, P.S.; Chen, J.; den Hollander, A.I.; Fauser, S.; Hoyng, C.B.; Jan van der Wilt, G.; et al. Predicting Non-Response to Ranibizumab in Patients with Neovascular Age-Related Macular Degeneration. Ophthalmic Epidemiol. 2014, 21, 347–355. [Google Scholar] [CrossRef]
- Seddon, J.M.; Ajani, U.A.; Mitchell, B.D. Familial Aggregation of Age-Related Maculopathy. Am. J. Ophthalmol. 1997, 123, 199–206. [Google Scholar] [CrossRef]
- Abul-Husn, N.S.; Owusu Obeng, A.; Sanderson, S.C.; Gottesman, O.; Scott, S.A. Implementation and Utilization of Genetic Testing in Personalized Medicine. Pharmacogenomics Pers. Med. 2014, 7, 227–240. [Google Scholar]
- Stradiotto, E.; Allegrini, D.; Fossati, G.; Raimondi, R.; Sorrentino, T.; Tripepi, D.; Barone, G.; Inforzato, A.; Romano, M.R. Genetic Aspects of Age-Related Macular Degeneration and Their Therapeutic Potential. Int. J. Mol. Sci. 2022, 23, 13280. [Google Scholar] [CrossRef]
- Warwick, A.; Lotery, A. Genetics and Genetic Testing for Age-Related Macular Degeneration. Eye 2018, 32, 849–857. [Google Scholar] [CrossRef]
- Cascella, R.; Strafella, C.; Caputo, V.; Errichiello, V.; Zampatti, S.; Milano, F.; Potenza, S.; Mauriello, S.; Novelli, G.; Ricci, F.; et al. Towards the Application of Precision Medicine in Age-Related Macular Degeneration. Prog. Retin. Eye Res. 2018, 63, 132–146. [Google Scholar] [CrossRef]
- Spooner, K.; Hong, T.; Wijeyakumar, W.; Chang, A.A. Switching to Aflibercept among Patients with Treatment-Resistant Neovascular Age-Related Macular Degeneration: A Systematic Review with Meta-Analysis. Clin. Ophthalmol. 2017, 11, 161–177. [Google Scholar] [CrossRef] [PubMed]
- Broadhead, G.K.; Hong, T.; Chang, A.A. Treating the Untreatable Patient: Current Options for the Management of Treatment-Resistant Neovascular Age-Related Macular Degeneration. Acta Ophthalmol. 2014, 92, 713–723. [Google Scholar] [CrossRef] [PubMed]
- Torres-Costa, S.; Ramos, D.; Brandão, E.; Carneiro, Â.; Rosas, V.; Rocha-Sousa, A.; Falcão-Reis, F.; Falcão, M. Incidence of Endophthalmitis after Intravitreal Injection with and without Topical Antibiotic Prophylaxis. Eur. J. Ophthalmol. 2021, 31, 600–606. [Google Scholar] [CrossRef] [PubMed]
- Patil, N.S.; Dhoot, A.S.; Popovic, M.M.; Kertes, P.J.; Muni, R.H. Risk of Intraocular Inflammation after Injection of Anti-Vascular Endothelial Growth Factor Agents: A Meta-Analysis. Retina 2022, 42, 2134–2142. [Google Scholar] [CrossRef]
- Levin, A.M.; Chaya, C.J.; Kahook, M.Y.; Wirostko, B.M. Intraocular Pressure Elevation Following Intravitreal Anti-VEGF Injections: Short- and Long-Term Considerations. J. Glaucoma 2021, 30, 1019–1026. [Google Scholar] [CrossRef]
- Daien, V.; Nguyen, V.; Essex, R.W.; Guymer, R.; Arnold, J.J.; Munk, M.; Ceklic, L.; Gillies, M.C.; Barthelmes, D. Prevalence and Characteristics of Macular Atrophy in Eyes with Neovascular Age-Related Macular Degeneration. A Study from a Long-Term Observational Dataset: The Fight Retinal Blindness Project. Br. J. Ophthalmol. 2020, 104, 1064–1069. [Google Scholar] [CrossRef]
- Nakata, I.; Yamashiro, K.; Nakanishi, H.; Tsujikawa, A.; Otani, A.; Yoshimura, N. VEGF Gene Polymorphism and Response to Intravitreal Bevacizumab and Triple Therapy in Age-Related Macular Degeneration. Jpn. J. Ophthalmol. 2011, 55, 435–443. [Google Scholar] [CrossRef]
- Abedi, F.; Wickremasinghe, S.; Richardson, A.J.; Makalic, E.; Schmidt, D.F.; Sandhu, S.S.; Baird, P.N.; Guymer, R.H. Variants in the VEGFA Gene and Treatment Outcome after Anti-VEGF Treatment for Neovascular Age-Related Macular Degeneration. Ophthalmology 2013, 120, 115–121. [Google Scholar] [CrossRef]
- Hagstrom, S.A.; Ying, G.S.; Pauer, G.J.; Sturgill-Short, G.M.; Huang, J.; Maguire, M.G.; Martin, D.F. VEGFA and VEGFR2 Gene Polymorphisms and Response to Anti-Vascular Endothelial Growth Factor Therapy: Comparison of Age-Related Macular Degeneration Treatments Trials (CATT). JAMA Ophthalmol. 2014, 132, 521–527. [Google Scholar] [CrossRef]
- McKibbin, M.; Ali, M.; Bansal, S.; Baxter, P.D.; West, K.; Williams, G.; Cassidy, F.; Inglehearn, C.F. CFH, VEGF and HTRA1 Promoter Genotype May Influence the Response to Intravitreal Ranibizumab Therapy for Neovascular Age-Related Macular Degeneration. Br. J. Ophthalmol. 2012, 96, 208–212. [Google Scholar] [CrossRef]
- Lazzeri, S.; Figus, M.; Orlandi, P.; Fioravanti, A.; Di Desidero, T.; Agosta, E.; Sartini, M.S.; Posarelli, C.; Nardi, M.; Danesi, R.; et al. VEGF-A Polymorphisms Predict Short-Term Functional Response to Intravitreal Ranibizumab in Exudative Age-Related Macular Degeneration. Pharmacogenomics 2013, 14, 623–630. [Google Scholar] [CrossRef] [PubMed]
- Zhang, J.; Liu, Z.; Hu, S.; Qi, J. Meta-Analysis of the Pharmacogenetics of ARMS2 A69S Polymorphism and the Response to Advanced Age-Related Macular Degeneration. Ophthalmic Res. 2021, 64, 192–204. [Google Scholar] [CrossRef] [PubMed]
- Papadakis, K.A.; Targan, S.R. Tumor Necrosis Factor: Biology and Therapeutic Inhibitors. Gastroenterology 2000, 119, 1148–1157. [Google Scholar] [CrossRef] [PubMed]
- De Jager, P.L.; Jia, X.; Wang, J.; de Bakker, P.I.; Ottoboni, L.; Aggarwal, N.T.; Piccio, L.; Raychaudhuri, S.; Tran, D.; Aubin, C.; et al. Meta-Analysis of Genome Scans and Replication Identify CD6, IRF8 and TNFRSF1A as New Multiple Sclerosis Susceptibility Loci. Nat. Genet. 2009, 41, 776–782. [Google Scholar] [CrossRef]
- Davidson, S.I.; Liu, Y.; Danoy, P.A.; Wu, X.; Thomas, G.P.; Jiang, L.; Sun, L.; Wang, N.; Han, J.; Han, H.; et al. Association of STAT3 and TNFRSF1A with Ankylosing Spondylitis in Han Chinese. Ann. Rheum. Dis. 2011, 70, 289–292. [Google Scholar] [CrossRef]
- International Multiple Sclerosis Genetics Consortium. The Genetic Association of Variants in CD6, TNFRSF1A and IRF8 to Multiple Sclerosis: A Multicenter Case-Control Study. PLoS ONE 2011, 6, e18813. [Google Scholar]
- Karaderi, T.; Pointon, J.J.; Wordsworth, T.W.; Harvey, D.; Appleton, L.H.; Cohen, C.J.; Farrar, C.; Harin, A.; Brown, M.A.; Wordsworth, B.P. Evidence of Genetic Association between TNFRSF1A Encoding the p55 Tumour Necrosis Factor Receptor, and Ankylosing Spondylitis in UK Caucasians. Clin. Exp. Rheumatol. 2012, 30, 110–113. [Google Scholar]
- Matsukura, H.; Ikeda, S.; Yoshimura, N.; Takazoe, M.; Muramatsu, M. Genetic Polymorphisms of Tumour Necrosis Factor Receptor Superfamily 1A and 1B Affect Responses to Infliximab in Japanese Patients with Crohn’s Disease. Aliment. Pharmacol. Ther. 2008, 27, 765–770. [Google Scholar] [CrossRef]
- Medrano, L.M.; Taxonera, C.; Márquez, A.; Barreiro-de Acosta, M.; Gómez-García, M.; González-Artacho, C.; Pérez-Calle, J.L.; Bermejo, F.; Lopez-Sanromán, A.; Arranz, M.M.; et al. Role of TNFRSF1B Polymorphisms in the Response of Crohn’s Disease Patients to Infliximab. Hum. Immunol. 2014, 75, 71–75. [Google Scholar] [CrossRef]
- Tung, C.H.; Lu, M.C. Association between Ankylosing Spondylitis and Polymorphism of Tumour Necrosis Factor Receptor II in Taiwanese Patients. Scand. J. Rheumatol. 2009, 38, 395. [Google Scholar] [CrossRef]
- Corona-Sanchez, E.G.; Munoz-Valle, J.F.; Gonzalez-Lopez, L.; Sanchez-Hernandez, J.D.; Vazquez-Del Mercado, M.; Ontiveros-Mercado, H.; Huerta, M.; Trujillo, X.; Rocha-Muñoz, A.D.; Celis, A.; et al. −383 A/C Tumor Necrosis Factor Receptor 1 Polymorphism and Ankylosing Spondylitis in Mexicans: A Preliminary Study. Rheumatol. Int. 2012, 32, 2565. [Google Scholar] [CrossRef] [PubMed]
- Lopez-Castejon, G.; Brough, D. Understanding the Mechanism of IL-1β Secretion. Cytokine Growth Factor Rev. 2011, 22, 189–195. [Google Scholar] [CrossRef] [PubMed]
- Zhao, M.; Bai, Y.; Xie, W.; Shi, X.; Li, F.; Yang, F.; Sun, Y.; Huang, L.; Li, X. Interleukin-1β Level is Increased in Vitreous of Patients with Neovascular Age-Related Macular Degeneration (nAMD) and Polypoidal Choroidal Vasculopathy (PCV). PLoS ONE 2015, 10, e0125150. [Google Scholar] [CrossRef] [PubMed]
- Zhou, T.E.; Rivera, J.C.; Bhosle, V.K.; Lahaie, I.; Shao, Z.; Tahiri, H.; Zhu, T.; Polosa, A.; Dorfman, A.; Beaudry-Richard, A.; et al. Choroidal Involution is Associated with Progressive Degeneration of the Outer Retinal Function in a Model of Retinopathy of Prematurity: An Early Role for Il-1β. Am. J. Pathol. 2016, 186, 3100–3116. [Google Scholar] [CrossRef]
- Olson, J.L.; Courtney, R.J.; Rouhani, B.; Mandava, N.; Dinarello, C.A. Intravitreal Anakinra Inhibits Choroidal Neovascular Membrane Growth in a Rat Model. Ocul. Immunol. Inflamm. 2009, 17, 195–200. [Google Scholar] [CrossRef]
- Battu, P.; Sharma, K.; Rain, M.; Singh, R.; Anand, A. Serum Levels of ARMS2, COL8A1, RAD51B, and VEGF and Their Correlations in Age-Related Macular Degeneration. Curr. Neurovasc. Res. 2021, 18, 181–188. [Google Scholar]
- Haas, P.; Steindl, K.; Aggermann, T.; Schmid-Kubista, K.; Krugluger, W.; Hageman, G.S.; Binder, S. Serum VEGF and CFH in Exudative Age-Related Macular Degeneration. Curr. Eye Res. 2011, 36, 143–148. [Google Scholar] [CrossRef][Green Version]
- Gu, X.; Yu, X.; Dai, H. Intravitreal Injection of Ranibizumab for Treatment of Age-Related Macular Degeneration: Effects on Serum VEGF Concentration. Curr. Eye Res. 2014, 39, 518–521. [Google Scholar] [CrossRef]
- Vural, E.; Hazar, L.; Karakukçu, C.; Arslan, M.E.; Sirem, M.R.; Sirakaya, E.; Ozsayglll, C.; Çiçek, A. Apelin-13: A Promising Biomarker for Age-Related Macular Degeneration? Ophthalmologica 2021, 244, 102–109. [Google Scholar] [CrossRef]
- Liukkonen, M.P.K.; Paterno, J.J.; Kivinen, N.; Siintamo, L.; Koskela, A.K.J.; Kaarniranta, K. Epithelial-Mesenchymal Transition-Related Serum Markers ET-1, IL-8 and TGF-Β2 Are Elevated in a Finnish Wet Age-Related Macular Degeneration Cohort. Acta Ophthalmol. 2021, 100, e1153–e1162. [Google Scholar] [CrossRef]
- Gonçalves, F.T.I.; Cezario, S.M.; Calastri, M.C.J.; Oliveira, C.I.F.; Souza, D.R.S.; Pinhel, M.A.d.S.; Cotrim, C.C.; Jorge, R.; Siqueira, R.C. Influence of VEGF-C936T Genetic Variant on Age-Related Macular Degeneration. Arq. Bras. Oftalmol. 2015, 78, 290–294. [Google Scholar] [CrossRef] [PubMed]
- Carneiro, Â.M.; Costa, R.; Falcão, M.S.; Barthelmes, D.; Mendonça, L.S.; Fonseca, S.L.; Gonçalves, R.; Gonçalves, C.; Falcão-Reis, F.M.; Soares, R. Vascular Endothelial Growth Factor Plasma Levels Before and After Treatment of Neovascular Age-Related Macular Degeneration with Bevacizumab or Ranibizumab. Acta Ophthalmol. 2012, 90, e25–e30. [Google Scholar] [CrossRef] [PubMed]
- Zehetner, C.; Kralinger, M.T.; Modi, Y.S.; Waltl, I.; Ulmer, H.; Kirchmair, R.; Bechrakis, N.E.; Kieselbach, G.F. Systemic Levels of Vascular Endothelial Growth Factor Before and After Intravitreal Injection of Aflibercept or Ranibizumab in Patients with Age-Related Macular Degeneration: A Randomised, Prospective Trial. Acta Ophthalmol. 2015, 93, e154–e159. [Google Scholar] [CrossRef] [PubMed]
- Deangelis, M.M.; Ji, F.; Adams, S.; Morrison, M.A.; Harring, A.J.; Sweeney, M.O.; Capone, A., Jr.; Miller, J.W.; Dryja, T.P.; Ott, J.; et al. Alleles in the HtrA serine peptidase 1 gene alter the risk of neovascular age-related macular degeneration. Ophthalmology 2008, 115, 1209–1215.e7. [Google Scholar] [CrossRef]
- Winkler, T.W.; Grassmann, F.; Brandl, C.; Kiel, C.; Günther, F.; Strunz, T.; Weidner, L.; Zimmermann, M.E.; Korb, C.A.; Poplawski, A.; et al. Genome-wide association meta-analysis for early age-related macular degeneration highlights novel loci and insights for advanced disease. BMC Med. Genom. 2020, 13, 120. [Google Scholar] [CrossRef]
- Yu, Y.; Bhangale, T.R.; Fagerness, J.; Ripke, S.; Thorleifsson, G.; Tan, P.L.; Souied, E.H.; Richardson, A.J.; Merriam, J.E.; Buitendijk, G.H.S.; et al. Common variants near FRK/COL10A1 and VEGFA are associated with advanced age-related macular degeneration. Hum. Mol. Genet. 2011, 20, 3699–3709. [Google Scholar] [CrossRef]
- Alcaraz-Quiles, J.; Titos, E.; Casulleras, M.; Pavesi, M.; López-Vicario, C.; Rius, B.; Lopategi, A.; de Gottardi, A.; Graziadei, I.; Gronbaek, H.; et al. Polymorphisms in the IL-1 gene cluster influence systemic inflammation in patients at risk for acute-on-chronic liver failure. Hepatology 2017, 65, 202–216. [Google Scholar] [CrossRef] [PubMed]
- Cebatoriene, D.; Vilkeviciute, A.; Gedvilaite, G.; Bruzaite, A.; Kriauciuniene, L.; Zaliuniene, D.; Liutkeviciene, R. CFH (rs1061170, rs1410996), KDR (rs2071559, rs1870377) and KDR and CFH Serum Levels in AMD Development and Treatment Efficacy. Biomedicines 2024, 12, 948. [Google Scholar] [CrossRef]




| Characteristic | Early AMD n = 253 | Exudative AMD n = 245 | Control n = 337 | p-Value |
|---|---|---|---|---|
| Gender 2 Males, n (%) Females, n (%) | 80 (31.6) 173 (68.4) | 90 (36.7) 155 (63.3) | 115 (34.1) 222 (65.9) | 0.522 * 0.515 ** |
| Age years; median (IQR) 1 | 73 (12) | 77 (10) | 72 (11) | 0.117 * <0.001 ** |
| Gene/Marker | Genotype/ Allele | Group | p-Value * | p-Value ** | ||
|---|---|---|---|---|---|---|
| Early AMD (n = 253) n (%) | Exudative AMD (n = 245) n (%) | Control (n = 337) n (%) | ||||
| VEGFA rs3024997 | GG GA AA G A | 150 (59.3) 86 (34) 17 (6.7) 386 (76.3) 120 (23.7) | 155 (63.3) 89 (36.3) 1 (0.4) 399 (81.4) 91 (18.6) | 187 (55.5) 129 (38.3) 21 (6.2) 503 (74.6) 171 (25.4) | 0.563 0.513 | <0.001 0.006 |
| IL1B rs1143623 | CC CG GG C G | 129 (51) 103 (40.7) 21 (8.3) 361 (71.3) 145 (28.7) | 134 (54.7) 92 (37.6) 19 (7.8) 360 (73.5) 130 (26.5) | 173 (51.3) 143 (42.4) 21 (6.2) 489 (72.6) 185 (27.4) | 0.614 0.647 | 0.445 0.727 |
| TNFRSF1B rs1061622 | GG GT TT G T | 161 (63.6) 79 (31.2) 13 (5.1) 401 (79.2) 105 (20.8) | 157 (64.1) 74 (30.2) 14 (5.7) 388 (79.2) 102 (20.8) | 220 (65.3) 107 (31.8) 10 (3) 547 (81.2) 127 (18.8) | 0.402 0.414 | 0.225 0.403 |
| TNFRSF1A rs4149576 | TT TC CC T C | 61 (24.1) 123 (48.6) 69 (27.3) 245 (48.4) 261 (51.6) | 60 (24.5) 124 (50.6) 61 (24.9) 244 (49.8) 246 (50.2) | 89 (26.4) 168 (49.9) 80 (23.7) 346 (51.3) 328 (48.7) | 0.589 0.321 | 0.861 0.604 |
| ARMS2 rs10490924 | GG GT TT G T | 116 (45.8) 108 (42.7) 29 (11.5) 340 (67.2) 166 (32.8) | 78 (31.8) 106 (43.3) 61 (24.9) 262 (53.5) 228 (46.5) | 183 (54.3) 129 (38.3) 25 (7.4) 495 (73.4) 179 (26.6) | 0.070 0.019 | <0.001 <0.001 |
| VEGFA (rs3024997) | ||||
|---|---|---|---|---|
| Model | Genotype/Allele | OR * (95% CI) | p-Value | AIC |
| Codominant | GA vs. GG AA vs. GG | 0.887 (0.617–1.275) 0.047 (0.006–0.366) | 0.518 0.003 | 718.602 |
| Dominant | GA + AA vs. GG | 0.755 (0.530–1.076) | 0.120 | 733.422 |
| Recessive | AA vs. GG + GA | 0.049 (0.006–0.381) | 0.004 | 717.021 |
| Overdominant | GA vs. GG + AA | 0.987 (0.689–1.413) | 0.943 | 735.844 |
| Additive | A | 0.657 (0.480–0.899) | 0.009 | 728.805 |
| IL1B (rs1143623) | ||||
| Model | Genotype/Allele | OR * (95% CI) | p-value | AIC |
| Codominant | CG vs. CC GG vs. CC | 0.853 (0.593–1.227) 1.195 (0.599–2.384) | 0.391 0.613 | 736.601 |
| Dominant | CG + GG vs. CC | 0.898 (0.634–1.270) | 0.541 | 735.476 |
| Recessive | GG vs. CC + CG | 1.279 (0.653–2.508) | 0.473 | 735.336 |
| Overdominant | CG vs. CC + GG | 0.835 (0.586–1.190) | 0.319 | 734.856 |
| Additive | G | 0.973 (0.737–1.284) | 0.845 | 735.811 |
| TNFRSF1B (rs1061622) | ||||
| Model | Genotype/Allele | OR * (95% CI) | p-value | AIC |
| Codominant | GT vs. GG TT vs. GG | 0.881 (0.603–1.288) 2.049 (0.847–4.957) | 0.514 0.112 | 734.484 |
| Dominant | GT + TT vs. GG | 0.974 (0.678–1.399) | 0.888 | 735.829 |
| Recessive | TT vs. GG + GT | 2.133 (0.890–5.116) | 0.090 | 732.910 |
| Overdominant | GT vs. GG + TT | 0.844 (0.580–1.229) | 0.376 | 735.063 |
| Additive | T | 1.078 (0.795–1.462) | 0.627 | 735.614 |
| TNFRSF1A (rs4149576) | ||||
| Model | Genotype/Allele | OR * (95% CI) | p-value | AIC |
| Codominant | TC vs. TT CC vs. TT | 1.140 (0.748–1.737) 1.299 (0.796–2.119) | 0.542 0.296 | 736.752 |
| Dominant | TC + CC vs. TT | 1.190 (0.800–1.769) | 0.391 | 735.109 |
| Recessive | CC vs. TT + TC | 1.191 (0.796–1.783) | 0.394 | 735.125 |
| Overdominant | TC vs. TT + CC | 1.004 (0.711–1.420) | 0.980 | 735.849 |
| Additive | C | 1.140 (0.892–1.456) | 0.296 | 734.752 |
| ARMS2 (rs10490924) | ||||
| Model | Genotype/Allele | OR * (95% CI) | p-value | AIC |
| Codominant | GT vs. GG TT vs. GG | 1.768 (1.201–2.603) 5.611 (3.205–9.822) | 0.004 <0.001 | 697.230 |
| Dominant | GT + TT vs. GG | 2.377 (1.659–3.404) | <0.001 | 712.955 |
| Recessive | TT vs. GG + GT | 4.236 (2.508–7.155) | <0.001 | 703.644 |
| Overdominant | GT vs. GG + TT | 1.129 (0.794–1.606) | 0.499 | 735.393 |
| Additive | T | 2.200 (1.702–2.846) | <0.001 | 697.423 |
| Gene/Marker | Genotype/ Allele | Group | p-Value * | p-Value ** | ||
|---|---|---|---|---|---|---|
| Early AMD (n = 173) n (%) | Exudative AMD (n = 155) n (%) | Control (n = 222) n (%) | ||||
| VEGFA rs3024997 | GG GA AA G A | 103 (59.5) 60 (34.7) 10 (5.8) 266 (76.9) 80 (23.1) | 93 (60) 61 (39.4) 1 (0.6) 247 (79.7) 63 (20.3) | 117 (52.7) 92 (41.4) 13 (5.9) 326 (73.4) 118 (26.6) | 0.373 0.266 | 0.022 0.047 |
| IL1B rs1143623 | CC CG GG C G | 93 (53.8) 63 (36.4) 17 (9.8) 249 (72) 97 (28) | 84 (54.2) 56 (36.1) 15 (9.7) 224 (72.3) 86 (27.7) | 110 (49.5) 99 (44.6) 13 (5.9) 319 (71.8) 125 (28.2) | 0.140 0.970 | 0.152 0.901 |
| TNFRSF1B rs1061622 | GG GT TT G T | 111 (64.2) 55 (31.8) 7 (4) 277 (80.1) 69 (19.9) | 97 (62.6) 48 (31) 10 (6.5) 242 (78.1) 68 (21.9) | 146 (65.8) 68 (30.6) 8 (3.6) 360 (81.1) 84 (18.9) | 0.937 0.718 | 0.428 0.309 |
| TNFRSF1A rs4149576 | TT TC CC T C | 47 (27.2) 78 (45.1) 48 (27.7) 172 (49.7) 174 (50.3) | 33 (21.3) 87 (56.1) 35 (22.6) 153 (49.4) 157 (50.6) | 58 (26.1) 116 (52.3) 48 (21.6) 232 (52.3) 212 (47.7) | 0.279 0.478 | 0.555 0.433 |
| ARMS2 rs10490924 | GG GT TT G T | 81 (46.8) 75 (43.4) 17 (9.8) 237 (68.5) 109 (31.5) | 47 (30.3) 72 (46.5) 36 (23.2) 166 (53.5) 144 (46.5) | 120 (54.1) 85 (38.3) 17 (7.7) 325 (73.2) 119 (26.8) | 0.342 0.147 | <0.001 <0.001 |
| VEGFA (rs3024997) | ||||
|---|---|---|---|---|
| Model | Genotype/Allele | OR * (95% CI) | p-Value | AIC |
| Codominant | GA vs. GG AA vs. GG | 0.890 (0.561–1.413) 0.074 (0.009–0.624) | 0.622 0.017 | 441.925 |
| Dominant | GA + AA vs. GG | 0.777 (0.494–1.221) | 0.273 | 448.552 |
| Recessive | AA vs. GG + GA | 0.078 (0.009–0.648) | 0.018 | 440.168 |
| Overdominant | GA vs. GG + AA | 0.987 (0.626–1.557) | 0.955 | 449.752 |
| Additive | A | 0.680 (0.454–1.018) | 0.061 | 446.194 |
| IL1B (rs1143623) | ||||
| Model | Genotype/Allele | OR * (95% CI) | p-value | AIC |
| Codominant | CG vs. CC GG vs. CC | 0.735 (0.458–1.178) 1.567 (0.660–3.718) | 0.201 0.308 | 448.241 |
| Dominant | CG + GG vs. CC | 0.831 (0.531–1.299) | 0.416 | 449.094 |
| Recessive | GG vs. CC + CG | 1.793 (0.774–4.152) | 0.173 | 447.886 |
| Overdominant | CG vs. CC + GG | 0.693 (0.438–1.097) | 0.117 | 447.285 |
| Additive | G | 0.988 (0.694–1.408) | 0.947 | 449.751 |
| TNFRSF1B (rs1061622) | ||||
| Model | Genotype/Allele | OR * (95% CI) | p-value | AIC |
| Codominant | GT vs. GG TT vs. GG | 0.897 (0.548–1.467) 1.919 (0.670–5.494) | 0.664 0.225 | 449.878 |
| Dominant | GT + TT vs. GG | 0.996 (0.625–1.588) | 0.986 | 449.755 |
| Recessive | TT vs. GG + GT | 1.986 (0.702–5.618) | 0.196 | 448.067 |
| Overdominant | GT vs. GG + TT | 0.857 (0.525–1.393) | 0.533 | 449.364 |
| Additive | T | 1.096 (0.747–1.608) | 0.638 | 449.536 |
| TNFRSF1A (rs4149576) | ||||
| Model | Genotype/Allele | OR * (95% CI) | p-value | AIC |
| Codominant | TC vs. TT CC vs. TT | 1.472 (0.845–2.564) 1.600 (0.824–3.106) | 0.173 0.165 | 449.329 |
| Dominant | TC + CC vs. TT | 1.508 (0.887–2.562) | 0.129 | 447.413 |
| Recessive | CC vs. TT + TC | 1.224 (0.716–2.093) | 0.461 | 449.213 |
| Overdominant | TC vs. TT + CC | 1.173 (0.749–1.837) | 0.484 | 449.266 |
| Additive | C | 1.267 (0.911–1.762) | 0.160 | 447.765 |
| ARMS2 (rs10490924) | ||||
| Model | Genotype/Allele | OR * (95% CI) | p-value | AIC |
| Codominant | GT vs. GG TT vs. GG | 1.979 (1.201–3.261) 5.628 (2.720–11.646) | 0.007 <0.001 | 427.191 |
| Dominant | GT + TT vs. GG | 2.550 (1.597–4.071) | <0.001 | 433.851 |
| Recessive | TT vs. GG + GT | 3.974 (2.020–7.817) | <0.001 | 432.468 |
| Overdominant | GT vs. GG + TT | 1.262 (0.803–1.984) | 0.312 | 448.735 |
| Additive | T | 2.265 (1.617–3.172) | <0.001 | 425.703 |
| Gene/Marker | Genotype/ Allele | Group | p-Value * | p-Value ** | ||
|---|---|---|---|---|---|---|
| Early AMD (n = 80) n (%) | Exudative AMD (n = 90) n (%) | Control (n = 115) n (%) | ||||
| VEGFA rs3024997 | GG GA AA G A | 47 (58.8) 26 (32.5) 7 (8.8) 120 (75) 40 (25) | 62 (68.9) 28 (31.1) 0 (0) 152 (84.4) 28 (15.6) | 70 (60.9) 37 (32.2) 8 (7) 177 (77) 53 (23) | 0.890 0.655 | 0.034 0.058 |
| IL1B rs1143623 | CC CG GG C G | 36 (45) 40 (50) 4 (5) 112 (70) 48 (30) | 50 (55.6) 36 (40) 4 (4.4) 136 (75.6) 44 (24.4) | 63 (54.8) 44 (38.3) 8 (7) 170 (73.9) 60 (26.1) | 0.260 0.395 | 0.745 0.704 |
| TNFRSF1B rs1061622 | GG GT TT G T | 50 (62.5) 24 (30) 6 (7.5) 124 (77.5) 36 (22.5) | 60 (66.7) 26 (28.9) 4 (4.4) 146 (81.1) 34 (18.9) | 74 (64.3) 39 (33.9) 2 (1.7) 187 (81.3) 43 (18.7) | 0.131 0.357 | 0.426 0.960 |
| TNFRSF1A rs4149576 | TT TC CC T C | 14 (17.5) 45 (56.3) 21 (26.3) 73 (45.6) 87 (54.4) | 27 (30) 37 (41.1) 26 (28.9) 91 (50.6) 89 (49.4) | 31 (27) 52 (45.2) 32 (27.8) 114 (49.6) 116 (50.4) | 0.220 0.443 | 0.826 0.842 |
| ARMS2 rs10490924 | GG GT TT G T | 35 (43.8) 33 (41.3) 12 (15) 103 (64.4) 57 (35.6) | 31 (34.4) 34 (37.8) 25 (27.8) 96 (53.3) 84 (46.7) | 63 (54.8) 44 (38.3) 8 (7.0) 170 (73.9) 60 (26.1) | 0.121 0.043 | <0.001 <0.001 |
| VEGFA (rs3024997) | ||||
|---|---|---|---|---|
| Model | Genotype/Allele | OR * (95% CI) | p-Value | AIC |
| Codominant | GA vs. GG AA vs. GG | 0.873 (0.479–1.594) - | 0.659 - | 273.752 |
| Dominant | GA + AA vs. GG | 0.711 (0.396–1.276) | 0.253 | 280.473 |
| Recessive | AA vs. GG + GA | - | - | 271.947 |
| Overdominant | GA vs. GG + AA | 0.974 (0.536–1.768) | 0.930 | 281.782 |
| Additive | A | 0.616 (0.369–1.028) | 0.064 | 278.221 |
| IL1B (rs1143623) | ||||
| Model | Genotype/Allele | OR * (95% CI) | p-value | AIC |
| Codominant | CG vs. CC GG vs. CC | 1.049 (0.588–1.870) 0.642 (0.182–2.258) | 0.872 0.489 | 283.201 |
| Dominant | CG + GG vs. CC | 0.986 (0.565–1.721) | 0.960 | 281.787 |
| Recessive | GG vs. CC + CG | 0.629 (0.183–2.163) | 0.462 | 281.227 |
| Overdominant | CG vs. CC + GG | 1.093 (0.619–1.928) | 0.759 | 281.696 |
| Additive | G | 0.926 (0.585–1.465) | 0.742 | 281.681 |
| TNFRSF1B (rs1061622) | ||||
| Model | Genotype/Allele | OR * (95% CI) | p-value | AIC |
| Codominant | GT vs. GG TT vs. GG | 0.822 (0.450–1.504) 2.526 (0.445–14.345) | 0.525 0.296 | 282.029 |
| Dominant | GT + TT vs. GG | 0.904 (0.505–1.619) | 0.735 | 281.675 |
| Recessive | TT vs. GG + GT | 2.691 (0.479–15.120) | 0.261 | 280.435 |
| Overdominant | GT vs. GG + TT | 0.791 (0.434–1.440) | 0.443 | 281.197 |
| Additive | T | 1.017 (0.610–1.695) | 0.948 | 281.786 |
| TNFRSF1A (rs4149576) | ||||
| Model | Genotype/Allele | OR * (95% CI) | p-value | AIC |
| Codominant | TC vs. TT CC vs. TT | 0.811 (0.416–1.583) 0.971 (0.465–2.027) | 0.540 0.938 | 283.321 |
| Dominant | TC + CC vs. TT | 0.871 (0.472–1.607) | 0.658 | 281.595 |
| Recessive | CC vs. TT + TC | 1.101 (0.593–2.043) | 0.760 | 281.697 |
| Overdominant | TC vs. TT + CC | 0.823 (0.469–1.444) | 0.497 | 281.327 |
| Additive | C | 0.984 (0.680–1.424) | 0.933 | 281.783 |
| ARMS2 (rs10490924) | ||||
| Model | Genotype/Allele | OR * (95% CI) | p-value | AIC |
| Codominant | GT vs. GG TT vs. GG | 1.537 (0.824–2.867) 6.183 (2.495–15.322) | 0.177 <0.001 | 265.951 |
| Dominant | GT + TT vs. GG | 2.251 (1.270–3.989) | 0.005 | 273.879 |
| Recessive | TT vs. GG + GT | 5.049 (2.147–11.877) | <0.001 | 265.781 |
| Overdominant | GT vs. GG + TT | 0.960 (0.542–1.699) | 0.887 | 281.770 |
| Additive | T | 2.205 (1.469–3.310) | <0.001 | 266.193 |
| Characteristic | Non-Responders n = 20 | Responders n = 95 | p-Value |
|---|---|---|---|
| Gender Males, n (%) Females, n (%) | 9 (30) 14 (70) | 29 (30.5) 66 (689.5) | 0.963 * |
| Age years; mean (SD) | 75.4 (7.366) | 77.54 (7.784) | 0.263 ** |
| Response parameter | |||
| VA, median (IQR) Baseline Treated | 0.465 (0.45) 1 0.35 (0.35) 1 | 0.28 (0.26) 2 0.375 (0.35) 2 | 0.018 *** 0.408 *** |
| CRT (μm), median (IQR) Baseline Treated | 272.5 (95.25) 3 329 (103) 3 | 320.5 (113) 4 274 (95) 4 | 0.068 *** 0.032 *** |
| Genetic Model | Genotype/Allele | Non-Responders n = 20 n (%) | Responders n = 95 n (%) | OR (95% CI) | p-Value | AIC |
|---|---|---|---|---|---|---|
| Dominant | GT + TT | 3 (15) | 41 (43.2) | 4.302 (1.181; 15.674) | 0.027 | 102.065 |
| Additive | T | 3 (7.5) | 48 (25.3) | 3.999 (1.176; 13.602) | 0.026 | 101.291 |
Disclaimer/Publisher’s Note: The statements, opinions and data contained in all publications are solely those of the individual author(s) and contributor(s) and not of MDPI and/or the editor(s). MDPI and/or the editor(s) disclaim responsibility for any injury to people or property resulting from any ideas, methods, instructions or products referred to in the content. |
© 2024 by the authors. Licensee MDPI, Basel, Switzerland. This article is an open access article distributed under the terms and conditions of the Creative Commons Attribution (CC BY) license (https://creativecommons.org/licenses/by/4.0/).
Share and Cite
Cebatoriene, D.; Vilkeviciute, A.; Gedvilaite-Vaicechauskiene, G.; Duseikaite, M.; Bruzaite, A.; Kriauciuniene, L.; Zaliuniene, D.; Liutkeviciene, R. The Impact of ARMS2 (rs10490924), VEGFA (rs3024997), TNFRSF1B (rs1061622), TNFRSF1A (rs4149576), and IL1B1 (rs1143623) Polymorphisms and Serum Levels on Age-Related Macular Degeneration Development and Therapeutic Responses. Int. J. Mol. Sci. 2024, 25, 9750. https://doi.org/10.3390/ijms25179750
Cebatoriene D, Vilkeviciute A, Gedvilaite-Vaicechauskiene G, Duseikaite M, Bruzaite A, Kriauciuniene L, Zaliuniene D, Liutkeviciene R. The Impact of ARMS2 (rs10490924), VEGFA (rs3024997), TNFRSF1B (rs1061622), TNFRSF1A (rs4149576), and IL1B1 (rs1143623) Polymorphisms and Serum Levels on Age-Related Macular Degeneration Development and Therapeutic Responses. International Journal of Molecular Sciences. 2024; 25(17):9750. https://doi.org/10.3390/ijms25179750
Chicago/Turabian StyleCebatoriene, Dzastina, Alvita Vilkeviciute, Greta Gedvilaite-Vaicechauskiene, Monika Duseikaite, Akvile Bruzaite, Loresa Kriauciuniene, Dalia Zaliuniene, and Rasa Liutkeviciene. 2024. "The Impact of ARMS2 (rs10490924), VEGFA (rs3024997), TNFRSF1B (rs1061622), TNFRSF1A (rs4149576), and IL1B1 (rs1143623) Polymorphisms and Serum Levels on Age-Related Macular Degeneration Development and Therapeutic Responses" International Journal of Molecular Sciences 25, no. 17: 9750. https://doi.org/10.3390/ijms25179750
APA StyleCebatoriene, D., Vilkeviciute, A., Gedvilaite-Vaicechauskiene, G., Duseikaite, M., Bruzaite, A., Kriauciuniene, L., Zaliuniene, D., & Liutkeviciene, R. (2024). The Impact of ARMS2 (rs10490924), VEGFA (rs3024997), TNFRSF1B (rs1061622), TNFRSF1A (rs4149576), and IL1B1 (rs1143623) Polymorphisms and Serum Levels on Age-Related Macular Degeneration Development and Therapeutic Responses. International Journal of Molecular Sciences, 25(17), 9750. https://doi.org/10.3390/ijms25179750

