Upregulation of Insulin-like Growth Factor-I in Response to Chemotherapy in Children with Acute Lymphoblastic Leukemia
Abstract
1. Introduction
2. Results
2.1. IGF-I and IGFBP3
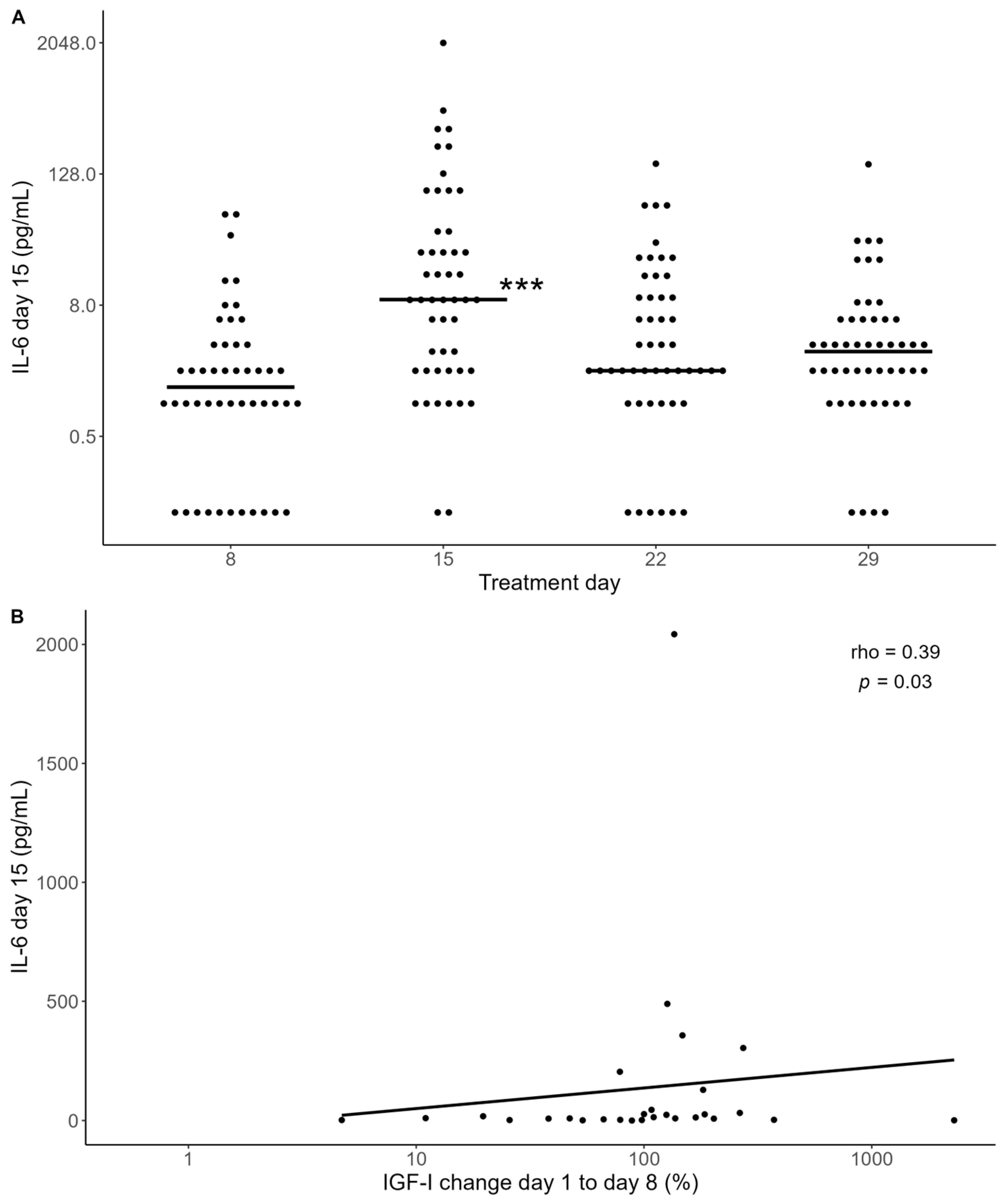
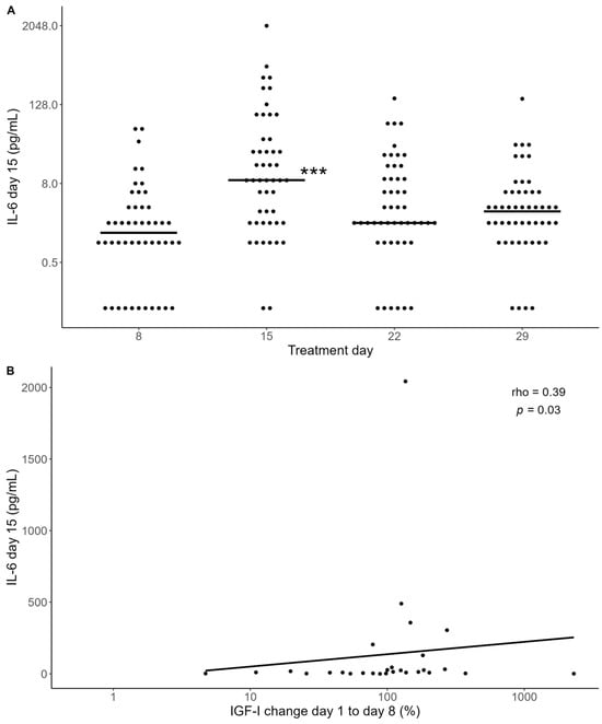
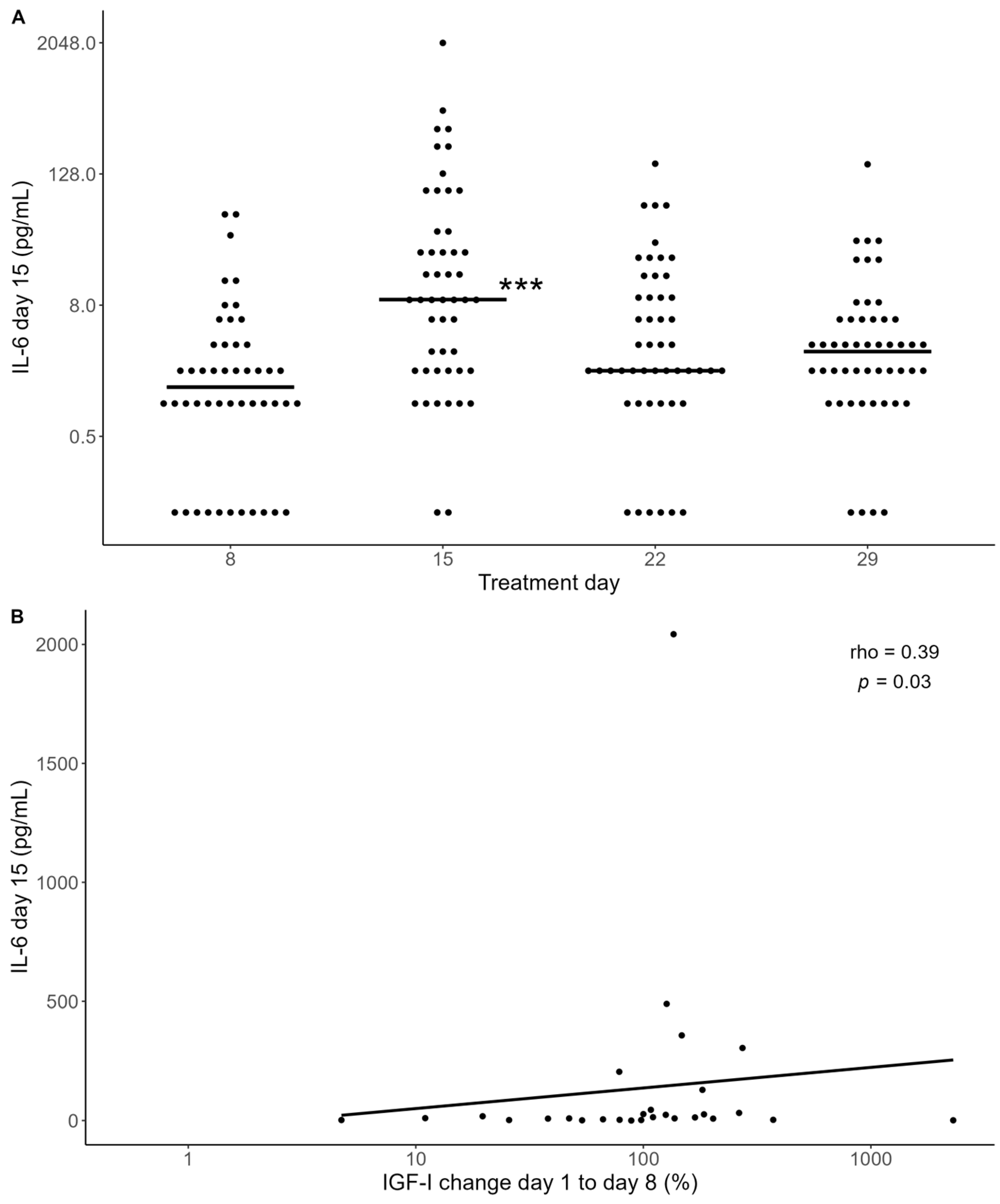
2.2. Systemic Inflammation and IGF-I
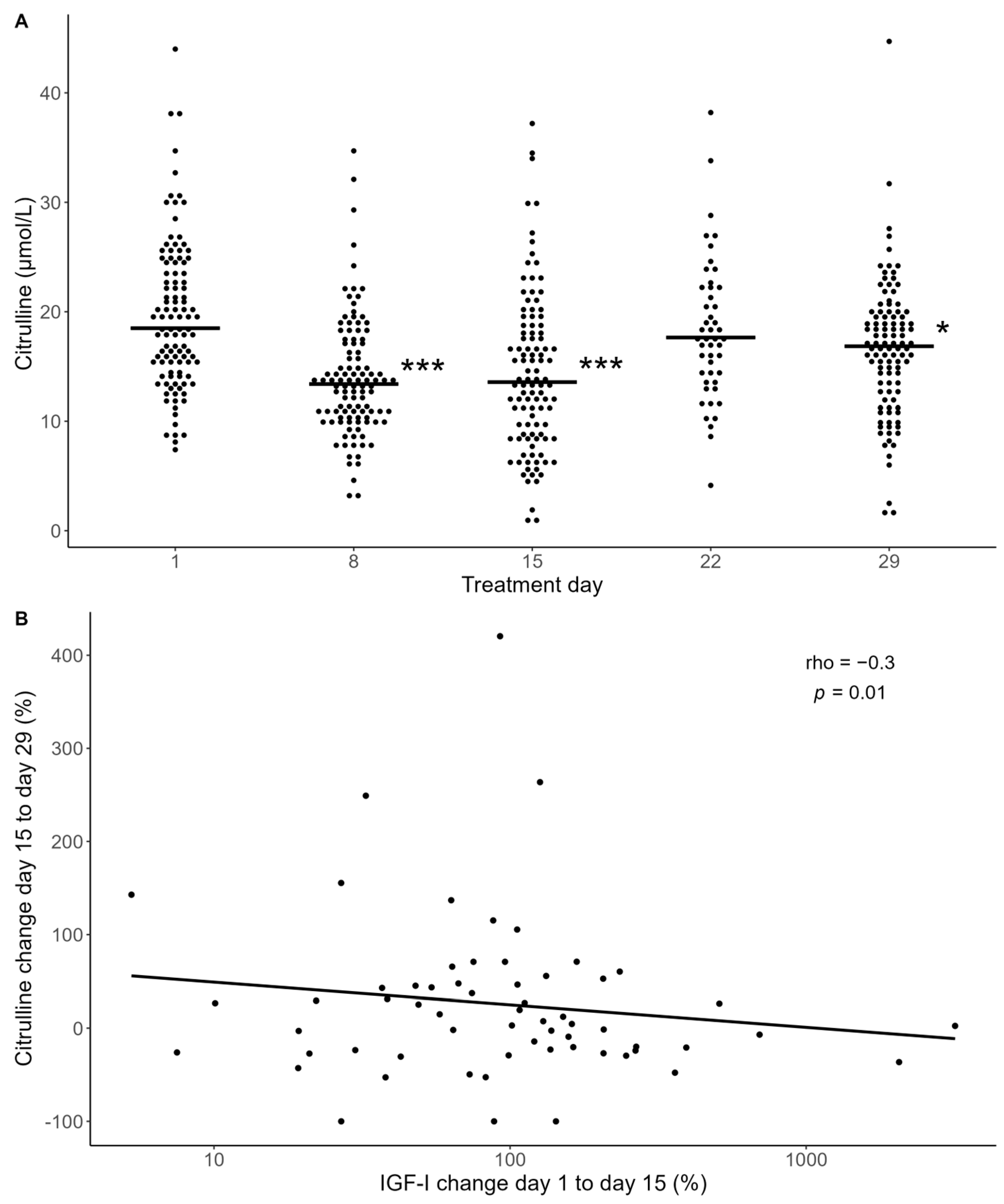
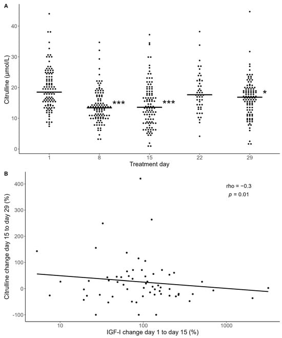
2.3. Intestinal Mucosal Toxicity and IGF-I
3. Discussion
4. Materials and Methods
4.1. Study Population
4.2. IGF-I and IGFBP-3
4.3. C-Reactive Protein, Interleukin-6, Citrulline and Intestinal Mucositis
4.4. Statistics
5. Conclusions
Author Contributions
Funding
Institutional Review Board Statement
Informed Consent Statement
Data Availability Statement
Conflicts of Interest
References
- PDQ Pediatric Treatment Editorial Board. Childhood Acute Lymphoblastic Leukemia Treatment (PDQ®): Health Professional Version. In PDQ Cancer Information Summaries [Internet]; National Cancer Institute (US): Bethesda, MD, USA, 2002. Available online: http://www.ncbi.nlm.nih.gov/books/NBK65763/ (accessed on 19 August 2024).
- Schmiegelow, K.; Attarbaschi, A.; Barzilai, S.; Escherich, G.; Frandsen, T.L.; Halsey, C.; Hough, R.; Jeha, S.; Kato, M.; Liang, D.-C.; et al. Consensus definitions of 14 severe acute toxic effects for childhood lymphoblastic leukaemia treatment: A Delphi consensus. Lancet Oncol. 2016, 17, e231–e239. [Google Scholar] [CrossRef]
- Hunger, S.P.; Mullighan, C.G. Acute Lymphoblastic Leukemia in Children. N. Engl. J. Med. 2015, 373, 1541–1552. [Google Scholar] [CrossRef]
- Blanco, E.; Beyene, J.; Maloney, A.M.; Almeida, R.; Ethier, M.-C.; Winick, N.; Alexander, S.; Sung, L. Non-relapse mortality in pediatric acute lymphoblastic leukemia: A systematic review and meta-analysis. Leuk. Lymphoma 2012, 53, 878–885. [Google Scholar] [CrossRef]
- Inaba, H.; Pei, D.; Wolf, J.; Howard, S.C.; Hayden, R.T.; Go, M.; Varechtchouk, O.; Hahn, T.; Buaboonnam, J.; Metzger, M.L.; et al. Infection-related complications during treatment for childhood acute lymphoblastic leukemia. Ann. Oncol. 2017, 28, 386–392. [Google Scholar] [CrossRef]
- Kamboj, M.; Sepkowitz, K.A. Nosocomial infections in patients with cancer. Lancet Oncol. 2009, 10, 589–597. [Google Scholar] [CrossRef]
- Boccia, R.; Glaspy, J.; Crawford, J.; Aapro, M. Chemotherapy-Induced Neutropenia and Febrile Neutropenia in the US: A Beast of Burden That Needs to Be Tamed? Oncologist 2022, 27, 625–636. [Google Scholar] [CrossRef]
- Villa, A.; Sonis, S.T. Mucositis: Pathobiology and management. Curr. Opin. Oncol. 2015, 27, 159–164. [Google Scholar] [CrossRef]
- Elting, L.S.; Cooksley, C.; Chambers, M.; Cantor, S.B.; Manzullo, E.; Rubenstein, E.B. The burdens of cancer therapy. Clinical and economic outcomes of chemotherapy-induced mucositis. Cancer 2003, 98, 1531–1539. [Google Scholar] [CrossRef]
- Blijlevens, N.M.A.; Donnelly, J.P.; de Pauw, B.E. Prospective evaluation of gut mucosal barrier injury following various myeloablative regimens for haematopoietic stem cell transplant. Bone Marrow Transplant. 2005, 35, 707–711. [Google Scholar] [CrossRef]
- Levy, O.; Teixeira-Pinto, A.; White, M.L.; Carroll, S.F.; Lehmann, L.; Wypij, D.; Guinan, E. Endotoxemia and elevation of lipopolysaccharide-binding protein after hematopoietic stem cell transplantation. Pediatr. Infect. Dis. J. 2003, 22, 978–981. [Google Scholar] [CrossRef]
- Donnelly, J.P.; Dompeling, E.C.; Meis, J.F.; De Pauw, B.E. Bacteremia Due to Oral Viridans Streptococci in Neutropenic Patients with Cancer: Cytostatics Are a More Important Risk Factor than Antibacterial Prophylaxis. Clin. Infect. Dis. 1995, 20, 469–470. [Google Scholar] [CrossRef][Green Version]
- Kornblit, B.; Müller, K. Sensing danger: Toll-like receptors and outcome in allogeneic hematopoietic stem cell transplantation. Bone Marrow Transplant. 2017, 52, 499–505. [Google Scholar] [CrossRef][Green Version]
- van der Velden, W.J.F.M.; Herbers, A.H.E.; Feuth, T.; Schaap, N.P.M.; Donnelly, J.P.; Blijlevens, N.M.A. Intestinal Damage Determines the Inflammatory Response and Early Complications in Patients Receiving Conditioning for a Stem Cell Transplantation. PLoS ONE 2010, 5, e15156. [Google Scholar] [CrossRef]
- Schots, R.; Van Riet, I.; Ben Othman, T.; Trullemans, F.; De Waele, M.; Van Camp, B.; Kaufman, L. An early increase in serum levels of C-reactive protein is an independent risk factor for the occurrence of major complications and 100-day transplant-related mortality after allogeneic bone marrow transplantation. Bone Marrow Transplant. 2002, 30, 441–446. [Google Scholar] [CrossRef][Green Version]
- Takatsuka, H.; Takemoto, Y.; Yamada, S.; Wada, H.; Tamura, S.; Fujimori, Y.; Okamoto, T.; Suehiro, A.; Kanamaru, A.; Kakishita, E. Complications after bone marrow transplantation are manifestations of systemic inflammatory response syndrome. Bone Marrow Transplant. 2000, 26, 419–426. [Google Scholar] [CrossRef]
- Fassas, A.-T.; Miceli, M.; Grazzlutti, M.; Dong, L.; Barlogie, B.; Anaissie, E. Serial measurement of serum C-reactive protein levels can identify patients at risk for severe complications following autologous stem cell transplantation. Leuk. Lymphoma 2005, 46, 1159–1161. [Google Scholar] [CrossRef]
- McNeer, J.L.; Kletzel, M.; Rademaker, A.; Alford, K.; O’Day, K.; Schaefer, C.; Duerst, R.; Jacobsohn, D.A. Early Elevation of C-Reactive Protein Correlates with Severe Infection and Nonrelapse Mortality in Children Undergoing Allogeneic Stem Cell Transplantation. Biol. Blood Marrow Transplant. 2010, 16, 350–357. [Google Scholar] [CrossRef]
- Schots, R.; Kaufman, L.; Van Riet, I.; Lacor, P.; Trullemans, F.; De Waele, M.; Van Camp, B. Monitoring of C-reactive protein after allogeneic bone marrow transplantation identifies patients at risk of severe transplant-related complications and mortality. Bone Marrow Transplant. 1998, 22, 79–85. [Google Scholar] [CrossRef][Green Version]
- Ebbesen, M.; Kissow, H.; Hartmann, B.; Kielsen, K.; Sørensen, K.; Stinson, S.E.; Frithioff-Bøjsøe, C.; Esmann Fonvig, C.; Holm, J.-C.; Hansen, T.; et al. Glucagon-Like Peptide-1 Is Associated With Systemic Inflammation in Pediatric Patients Treated With Hematopoietic Stem Cell Transplantation. Front. Immunol. 2021, 12, 793588. [Google Scholar] [CrossRef]
- Ebbesen, M.; Weischendorff, S.; Kielsen, K.; Kammersgaard, M.; Juul, A.; Müller, K.G. Insulin-like growth factor-I predicts sinusoidal obstruction syndrome following pediatric hematopoietic stem cell transplantation. Bone Marrow Transplant. 2021, 56, 1021–1030. [Google Scholar] [CrossRef] [PubMed]
- Howarth, G. Enhancement of intestinal growth and repair by growth factors. Curr. Opin. Pharmacol. 2001, 1, 568–574. [Google Scholar] [CrossRef]
- Ebbesen, M.; Enevold, C.; Juul, A.; Heilmann, C.; Sengeløv, H.; Müller, K. Insulin-Like Growth Factor Gene Polymorphisms Predict Clinical Course in Allogeneic Hematopoietic Stem Cell Transplantation. Front. Immunol. 2020, 11, 1646. [Google Scholar] [CrossRef]
- Weischendorff, S.; Kielsen, K.; Sengeløv, H.; Jordan, K.; Nielsen, C.H.; Pedersen, A.E.; Ryder, L.P.; Juul, A.; Müller, K.G. Associations between levels of insulin-like growth factor 1 and sinusoidal obstruction syndrome after allogeneic haematopoietic stem cell transplantation. Bone Marrow Transplant. 2017, 52, 863–869. [Google Scholar] [CrossRef] [PubMed][Green Version]
- Juul, A. Serum levels of insulin-like growth factor I and its binding proteins in health and disease. Growth Horm. IGF Res. 2003, 13, 113–170. [Google Scholar] [CrossRef] [PubMed]
- Kuemmerle, J.F. Insulin-Like Growth Factors in the Gastrointestinal Tract and Liver. Endocrinol. Metab. Clin. North Am. 2012, 41, 409–423. [Google Scholar] [CrossRef] [PubMed]
- Delafontaine, P.; Song, Y.-H.; Li, Y. Expression, Regulation, and Function of IGF-1, IGF-1R, and IGF-1 Binding Proteins in Blood Vessels. Arterioscler. Thromb. Vasc. Biol. 2004, 24, 435–444. [Google Scholar] [CrossRef]
- Kern, P.A.; Svoboda, M.E.; Eckel, R.H.; Van Wyk, J.J. Insulinlike growth factor action and production in adipocytes and endothelial cells from human adipose tissue. Diabetes 1989, 38, 710–717. [Google Scholar] [CrossRef] [PubMed]
- Jeschke, M.G.; Barrow, R.E.; Suzuki, F.; Rai, J.; Benjamin, D.; Herndon, D.N. IGF-I/IGFBP-3 Equilibrates Ratios of Pro- to Anti-inflammatory Cytokines, Which Are Predictors for Organ Function in Severely Burned Pediatric Patients. Mol. Med. 2002, 8, 238–246. [Google Scholar] [CrossRef] [PubMed]
- Sukhanov, S.; Higashi, Y.; Shai, S.-Y.; Vaughn, C.; Mohler, J.; Li, Y.; Song, Y.-H.; Titterington, J.; Delafontaine, P. IGF-1 Reduces Inflammatory Responses, Suppresses Oxidative Stress, and Decreases Atherosclerosis Progression in ApoE-Deficient Mice. Arterioscler. Thromb. Vasc. Biol. 2007, 27, 2684–2690. [Google Scholar] [CrossRef]
- Succurro, E.; Andreozzi, F.; Sciaqua, A.; Hribal, M.L.; Perticone, F.; Sesti, G. Reciprocal Association of Plasma IGF-1 and Interleukin-6 Levels With Cardiometabolic Risk Factors in Nondiabetic Subjects. Diabetes Care 2008, 31, 1886–1888. [Google Scholar] [CrossRef]
- Howarth, G.S.; Fraser, R.; Frisby, C.L.; Schirmer, M.B.; Yeoh, E.K. Effects of Insulin-like Growth Factor-I Administration on Radiation Enteritis in Rats. Scand. J. Gastroenterol. 1997, 32, 1118–1124. [Google Scholar] [CrossRef]
- Howarth, G.S.; Cool, J.C.; Bourne, A.J.; Ballard, F.J.; Read, L.C. Insulin-like growth factor-I (IGF-I) Stimulates regrowth of the damaged intestine in rats, when administered following, but not concurrent with, methotrexate. Growth Factors 1998, 15, 279–292. [Google Scholar] [CrossRef]
- Toft, N.; Birgens, H.; Abrahamsson, J.; Bernell, P.; Griškevičius, L.; Hallböök, H.; Heyman, M.; Holm, M.S.; Hulegårdh, E.; Klausen, T.W.; et al. Risk group assignment differs for children and adults 1-45 yr with acute lymphoblastic leukemia treated by the NOPHO ALL-2008 protocol. Eur. J. Haematol. 2013, 90, 404–412. [Google Scholar] [CrossRef]
- Fragkos, K.C.; Forbes, A. Citrulline as a marker of intestinal function and absorption in clinical settings: A systematic review and meta-analysis. United Eur. Gastroenterol. J. 2018, 6, 181–191. [Google Scholar] [CrossRef]
- De Pietri, S.; Frandsen, T.L.; Christensen, M.; Grell, K.; Rathe, M.; Müller, K. Citrulline as a biomarker of bacteraemia during induction treatment for childhood acute lymphoblastic leukaemia. Pediatr. Blood Cancer 2021, 68, e28793. [Google Scholar] [CrossRef]
- Betzmann, D.; Döring, M.; Blumenstock, G.; Erdmann, F.; Grabow, D.; Lang, P.; Binder, G. Impact of Serum Insulin-Like Growth Factor 1 on Hematopoietic Stem Cell Transplantation Outcome in Pediatric Cancer Patients. Transplant. Cell. Ther. 2022, 28, e1–e355. [Google Scholar] [CrossRef]
- Zakhary, N.I.; Boshra, S.A.; EL-Sawalhi, M.M.; Fahim, A.T.; Ebeid, E.N. Insulin-Like Growth Factor System in Egyptian Children with Acute Lymphoblastic Leukemia. Genet. Test. Mol. Biomark. 2012, 16, 1067–1072. [Google Scholar] [CrossRef] [PubMed]
- Mohnike, K.L.; Kluba, U.; Mittler, U.; Aumann, V.; Vorwerk, P.; Blum, W.F. Serum levels of insulin-like growth factor-I, -II and insulin-like growth factor binding proteins-2 and -3 in children with acute lymphoblastic leukaemia. Eur. J. Pediatr. 1996, 155, 81–86. [Google Scholar] [CrossRef]
- Soliman, A.T.; ElZalabany, M.M.; Mazloum, Y.; Bedair, S.M.A.; Ragab, M.S.; Rogol, A.D.; Ansari, B.M. Spontaneous and Provoked Growth Hormone (GH) Secretion and Insulin-like Growth Factor I (IGF-I) Concentration in Patients with Beta Thalassaemia and Delayed Growth. J. Trop. Pediatr. 1999, 45, 327–337. [Google Scholar] [CrossRef]
- Sonowal, R.; Gupta, V. Nutritional status in children with acute lymphoblastic leukemia, and its correlation with severe infection. Indian J. Cancer 2021, 58, 190–194. [Google Scholar] [CrossRef]
- Abdul Kadir, R.A.; Hassan, J.G.; Aldorky, M.K. Nutritional Assessment of Children with Acute Lymphoblastic Leukemia. Arch. Cancer Res. 2017, 5, 128. Available online: http://www.acanceresearch.com/cancer-research/nutritional-assessment-of-children-with-acute-lymphoblastic-leukemia.php?aid=18194 (accessed on 19 August 2024). [CrossRef][Green Version]
- Radhakrishnan, V.; Ganesan, P.; Rajendranath, R.; Ganesan, T.; Sagar, T. Nutritional profile of pediatric cancer patients at Cancer Institute, Chennai. Indian J. Cancer 2015, 52, 207. [Google Scholar] [CrossRef]
- de Groof, F.; Joosten, K.F.M.; Janssen, J.A.M.J.L.; de Kleijn, E.D.; Hazelzet, J.A.; Hop, W.C.J.; Uitterlinden, P.; van Doorn, J.; Hokken-Koelega, A.C.S. Acute stress response in children with meningococcal sepsis: Important differences in the growth hormone/insulin-like growth factor I axis between nonsurvivors and survivors. J. Clin. Endocrinol. Metab. 2002, 87, 3118–3124. [Google Scholar] [CrossRef] [PubMed]
- Kraemer, W.J.; Ratamess, N.A.; Hymer, W.C.; Nindl, B.C.; Fragala, M.S. Growth Hormone(s), Testosterone, Insulin-Like Growth Factors, and Cortisol: Roles and Integration for Cellular Development and Growth With Exercise. Front. Endocrinol. 2020, 11, 33. [Google Scholar] [CrossRef]
- Ranabir, S.; Reetu, K. Stress and hormones. Indian J. Endocrinol. Metab. 2011, 15, 18. [Google Scholar] [CrossRef]
- Kissow, H. Glucagon-like peptides 1 and 2: Intestinal hormones implicated in the pathophysiology of mucositis. Curr. Opin. Support. Palliat. Care 2015, 9, 196–202. [Google Scholar] [CrossRef] [PubMed]
- Spies, M.; Wolf, S.E.; Barrow, R.E.; Jeschke, M.G.; Herndon, D.N. Modulation of types I and II acute phase reactants with insulin-like growth factor-1/binding protein-3 complex in severely burned children. Crit. Care Med. 2002, 30, 83–88. [Google Scholar] [CrossRef]
- Jeschke, M.G.; Barrow, R.E.; Herndon, D.N. Insulinlike Growth Factor I Plus Insulinlike Growth Factor Binding Protein 3 Attenuates the Proinflammatory Acute Phase Response in Severely Burned Children. Ann Surg 2000, 231, 246–252. [Google Scholar] [CrossRef]
- Xian, C. Roles of Growth Factors in Chemotherapy-Induced Intestinal Mucosal Damage Repair. Curr. Pharm. Biotechnol. 2003, 4, 260–269. [Google Scholar] [CrossRef]
- Mattey, D.L.; Glossop, J.R.; Nixon, N.B.; Dawes, P.T. Circulating levels of tumor necrosis factor receptors are highly predictive of mortality in patients with rheumatoid arthritis. Arthritis Rheum. 2007, 56, 3940–3948. [Google Scholar] [CrossRef]
- Cope, A.P.; Gibbons, D.; Brennan, F.M.; Feldmann, M.; Aderka, D.; Doherty, M.; Jones, A.C.; Engelmann, H.; Wallach, D.; Maini, R.N. Increased levels of soluble tumor necrosis factor receptors in the sera and synovial fluid of patients with rheumatic diseases. Arthritis Rheum. 1992, 35, 1160–1169. [Google Scholar] [CrossRef]
- Barrera, P.; Th. Boerbooms, A.M.; Janssen, E.M.; Sauerwein, R.W.; Gallati, H.; Mulder, J.; Boo, T.D.; Demacker, P.N.M.; Van De Putte, L.B.A.; Van Der Meer, J.W.M. Circulating soluble tumor necrosis factor receptors, interleukin-2 receptors, tumor necrosis factor α, and interleukin-6 levels in rheumatoid arthritis. Arthritis Rheum. 1993, 36, 1070–1079. [Google Scholar] [CrossRef]
- Arend, W.P.; Gabay, C. Physiologic role of interleukin-1 receptor antagonist. Arthritis Res. 2000, 2, 245–248. [Google Scholar] [CrossRef] [PubMed]
- Shimon, I.; Shpilberg, O. The insulin-like growth factor system in regulation of normal and malignant hematopoiesis. Leuk. Res. 1995, 19, 233–240. [Google Scholar] [CrossRef] [PubMed]
- Rigby, R.A.; Stasinopoulos, D.M. Generalized Additive Models for Location, Scale and Shape. J. R. Stat. Soc. Ser. C Appl. Stat. 2005, 54, 507–554. [Google Scholar] [CrossRef]
- Kjaer, A.S.L. Tracking and Cumulative Lifetime Exposure to IGF-I in 6459 Healthy Individuals and in SGA Children Treated With GH. J. Clin. Endocrinol. 2023, 108, 642–652. [Google Scholar] [CrossRef]
- Weischendorff, S.; Rathe, M.; Petersen, M.J.; Weimann, A.; Enevold, C.; Nielsen, C.H.; Als-Nielsen, B.; Nygaard, U.; Moser, C.; Müller, K. Markers of intestinal mucositis to predict blood stream infections at the onset of fever during treatment for childhood acute leukemia. Leukemia 2024, 38, 14–20. [Google Scholar] [CrossRef]
- U.S. Department of Health and Human Services; National Institutes of Health; National Cancer Institute. Common Terminology Criteria for Adverse Events (CTCAE); Version 4.0; National Cancer Institute: Bethesda, MD, USA, 2010. Available online: https://ctep.cancer.gov/protocolDevelopment/electronic_applications/ctc.htm#ctc_40 (accessed on 20 August 2024).
- R Core Team. R: A Language and Environment for Statistical Computing [Internet]; R Foundation for Statistical Computing: Vienna, Austria, 2019; Available online: https://www.r-project.org/ (accessed on 28 June 2023).





| Sex | |
| Male | 67 (59%) |
| Female | 47 (41%) |
| Age | |
| Median (range), years | 4.2 (1.17) |
| ALL immunophenotype | |
| Pre-B-cell ALL | 99 (86.8%) |
| T-cell ALL | 12 (10.5%) |
| Biphenotypical | 3 (2.6%) |
| Induction risk group 1 | |
| Non-High risk | 98 (86%) |
| High risk | 16 (14%) |
| Final risk group 2 | |
| Standard risk | 48 (42%) |
| Intermediate risk | 56 (49%) |
| High risk | 7 (6%) |
| Other | 3 (3%) |
Disclaimer/Publisher’s Note: The statements, opinions and data contained in all publications are solely those of the individual author(s) and contributor(s) and not of MDPI and/or the editor(s). MDPI and/or the editor(s) disclaim responsibility for any injury to people or property resulting from any ideas, methods, instructions or products referred to in the content. |
© 2024 by the authors. Licensee MDPI, Basel, Switzerland. This article is an open access article distributed under the terms and conditions of the Creative Commons Attribution (CC BY) license (https://creativecommons.org/licenses/by/4.0/).
Share and Cite
Kocadag, H.B.; Weischendorff, S.; De Pietri, S.; Nielsen, C.H.; Rathe, M.; Als-Nielsen, B.; Hasle, H.; Juul, A.; Müller, K.; Sørum, M.E. Upregulation of Insulin-like Growth Factor-I in Response to Chemotherapy in Children with Acute Lymphoblastic Leukemia. Int. J. Mol. Sci. 2024, 25, 9582. https://doi.org/10.3390/ijms25179582
Kocadag HB, Weischendorff S, De Pietri S, Nielsen CH, Rathe M, Als-Nielsen B, Hasle H, Juul A, Müller K, Sørum ME. Upregulation of Insulin-like Growth Factor-I in Response to Chemotherapy in Children with Acute Lymphoblastic Leukemia. International Journal of Molecular Sciences. 2024; 25(17):9582. https://doi.org/10.3390/ijms25179582
Chicago/Turabian StyleKocadag, Helin Berna, Sarah Weischendorff, Silvia De Pietri, Claus Henrik Nielsen, Mathias Rathe, Bodil Als-Nielsen, Henrik Hasle, Anders Juul, Klaus Müller, and Maria Ebbesen Sørum. 2024. "Upregulation of Insulin-like Growth Factor-I in Response to Chemotherapy in Children with Acute Lymphoblastic Leukemia" International Journal of Molecular Sciences 25, no. 17: 9582. https://doi.org/10.3390/ijms25179582
APA StyleKocadag, H. B., Weischendorff, S., De Pietri, S., Nielsen, C. H., Rathe, M., Als-Nielsen, B., Hasle, H., Juul, A., Müller, K., & Sørum, M. E. (2024). Upregulation of Insulin-like Growth Factor-I in Response to Chemotherapy in Children with Acute Lymphoblastic Leukemia. International Journal of Molecular Sciences, 25(17), 9582. https://doi.org/10.3390/ijms25179582

