Multi-Omics Analysis Revealed the rSNPs Potentially Involved in T2DM Pathogenic Mechanism and Metformin Response
Abstract
1. Introduction
2. Results
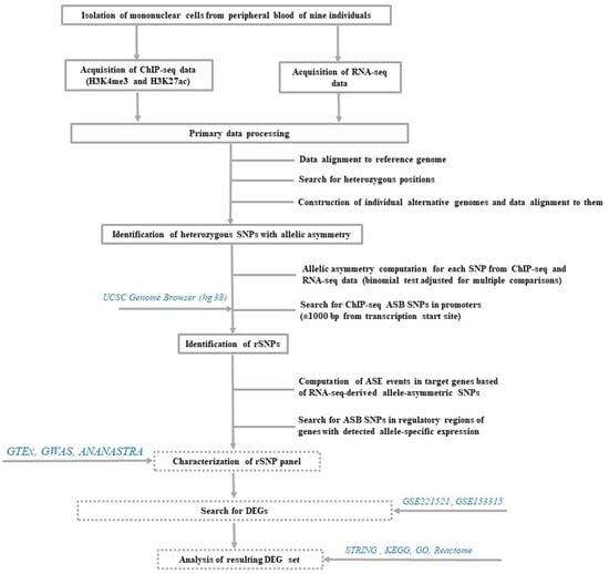
2.1. Algorithm for Searching the rSNPs Associated with Allele-Specific Events in ChIP-seq and RNA-seq Data and Construction of rSNPs Panel
2.2. Characterizing Constructed rSNP Panel with GWAS, GTEx, and ANANASTRA
2.3. Analysis of Hub Genes, Modules, and Pathways in Associative Gene Networks of rSNP-Governed Differentially Expressed Genes Related to T2DM
2.3.1. Search for Differentially Expressed Genes Related to T2DM and Harboring rSNPs within Promotors
2.3.2. Identification of Hub Genes and Analysis of Key Modules Using STRING-Based Protein Interactions, KEGG, and GO Enrichment
2.3.3. Selecting Important Regulators from PPI Network Using ROC Analysis
2.4. Search for the rSNPs Potentially Associated with Individual Response to the Antidiabetic Drug Metformin
3. Discussion
4. Materials and Methods
4.1. Subjects of Investigation
4.2. Isolation of Peripheral Blood Mononuclear Cells
4.3. mRNA Sequencing
4.4. Chromatin Immunoprecipitation
4.5. Sequencing and Aligning to Reference Genome
4.6. Search for Heterozygous Positions
4.7. Assembling Alternative Genome
4.8. Computing Allelic Asymmetry
4.9. Searching for Allele-Asymmetric SNPs in the Promoters of the Genes Displaying Allele-Specific Expression
4.10. Characterizing rSNPs with the Help of Open-Access Data
4.11. Analyzing DEGs
4.12. Search for Hub Genes
4.13. Identification of Protein Modules
4.14. Enrichment Analysis of KEGG/Reactome/GO
4.15. ROC Analysis
5. Conclusions
Supplementary Materials
Author Contributions
Funding
Institutional Review Board Statement
Informed Consent Statement
Data Availability Statement
Conflicts of Interest
References
- Reed, J.; Bain, S.; Kanamarlapudi, V. A Review of Current Trends with Type 2 Diabetes Epidemiology, Aetiology, Pathogenesis, Treatments and Future Perspectives. Diabetes Metab. Syndr. Obes. 2021, 14, 3567–3602. [Google Scholar] [CrossRef] [PubMed]
- Ingelsson, E.; McCarthy, M.I. Human Genetics of Obesity and Type 2 Diabetes Mellitus. Circ. Genom. Precis. Med. 2018, 11, e002090. [Google Scholar] [CrossRef] [PubMed]
- 2. Classification and Diagnosis of Diabetes: Standards of Medical Care in Diabetes—2019. Diabetes Care 2019, 42, S13–S28. [CrossRef] [PubMed]
- Ruze, R.; Liu, T.; Zou, X.; Song, J.; Chen, Y.; Xu, R.; Yin, X.; Xu, Q. Obesity and Type 2 Diabetes Mellitus: Connections in Epidemiology, Pathogenesis, and Treatments. Front. Endocrinol. 2023, 14, 1161521. [Google Scholar] [CrossRef]
- 2. Classification and Diagnosis of Diabetes: Standards of Medical Care in Diabetes—2018. Diabetes Care 2018, 41, S13–S27. [CrossRef]
- Mandrup-Poulsen, T. Type 2 Diabetes Mellitus. Dermatol. Clin. 2013, 31, 495–506. [Google Scholar] [CrossRef]
- Eizirik, D.L.; Pasquali, L.; Cnop, M. Pancreatic β-Cells in Type 1 and Type 2 Diabetes Mellitus: Different Pathways to Failure. Nat. Rev. Endocrinol. 2020, 16, 349–362. [Google Scholar] [CrossRef] [PubMed]
- Mota, M.; Banini, B.A.; Cazanave, S.C.; Sanyal, A.J. Molecular Mechanisms of Lipotoxicity and Glucotoxicity in Nonalcoholic Fatty Liver Disease. Metabolism 2016, 65, 1049–1061. [Google Scholar] [CrossRef] [PubMed]
- Pezhman, L.; Tahrani, A.; Chimen, M. Dysregulation of Leukocyte Trafficking in Type 2 Diabetes: Mechanisms and Potential Therapeutic Avenues. Front. Cell Dev. Biol. 2021, 9, 624184. [Google Scholar] [CrossRef]
- Torres-Castro, I.; Arroyo-Camarena, Ú.D.; Martínez-Reyes, C.P.; Gómez-Arauz, A.Y.; Dueñas-Andrade, Y.; Hernández-Ruiz, J.; Béjar, Y.L.; Zaga-Clavellina, V.; Morales-Montor, J.; Terrazas, L.I.; et al. Human Monocytes and Macrophages Undergo M1-Type Inflammatory Polarization in Response to High Levels of Glucose. Immunol. Lett. 2016, 176, 81–89. [Google Scholar] [CrossRef]
- Campbell, N.R.C.; Leiter, L.A.; Larochelle, P.; Tobe, S.; Chockalingam, A.; Ward, R.; Morris, D.; Tsuyuki, R. Hypertension in Diabetes: A Call to Action. Can. J. Cardiol. 2009, 25, 299–302. [Google Scholar] [CrossRef]
- Beckman, J.A.; Paneni, F.; Cosentino, F.; Creager, M.A. Diabetes and Vascular Disease: Pathophysiology, Clinical Consequences, and Medical Therapy: Part II. Eur. Heart J. 2013, 34, 2444–2452. [Google Scholar] [CrossRef] [PubMed]
- Tomic, D.; Shaw, J.E.; Magliano, D.J. The Burden and Risks of Emerging Complications of Diabetes Mellitus. Nat. Rev. Endocrinol. 2022, 18, 525–539. [Google Scholar] [CrossRef]
- Nguyen, T.T.; Ta, Q.T.H.; Nguyen, T.K.O.; Nguyen, T.T.D.; Van Giau, V. Type 3 Diabetes and Its Role Implications in Alzheimer’s Disease. Int. J. Mol. Sci. 2020, 21, 3165. [Google Scholar] [CrossRef] [PubMed]
- Rohm, T.V.; Meier, D.T.; Olefsky, J.M.; Donath, M.Y. Inflammation in Obesity, Diabetes, and Related Disorders. Immunity 2022, 55, 31–55. [Google Scholar] [CrossRef] [PubMed]
- Ding, Q.; Tan, A.L.M.; Parra, E.J.; Cruz, M.; Sim, X.; Teo, Y.-Y.; Long, J.; Alsafar, H.; Petretto, E.; Tai, E.-S.; et al. Genome-Wide Meta-Analysis Associates GPSM1 with Type 2 Diabetes, a Plausible Gene Involved in Skeletal Muscle Function. J. Hum. Genet. 2020, 65, 411–420. [Google Scholar] [CrossRef]
- López Rodríguez, M.; Kaminska, D.; Lappalainen, K.; Pihlajamäki, J.; Kaikkonen, M.U.; Laakso, M. Identification and Characterization of a FOXA2-Regulated Transcriptional Enhancer at a Type 2 Diabetes Intronic Locus That Controls GCKR Expression in Liver Cells. Genome Med. 2017, 9, 63. [Google Scholar] [CrossRef]
- Locke, J.M.; Hysenaj, G.; Wood, A.R.; Weedon, M.N.; Harries, L.W. Targeted Allelic Expression Profiling in Human Islets Identifies Cis-Regulatory Effects for Multiple Variants Identified by Type 2 Diabetes Genome-Wide Association Studies. Diabetes 2015, 64, 1484–1491. [Google Scholar] [CrossRef]
- Shojima, N.; Yamauchi, T. Progress in Genetics of Type 2 Diabetes and Diabetic Complications. J. Diabetes Investig. 2023, 14, 503–515. [Google Scholar] [CrossRef]
- Mahajan, A.; Taliun, D.; Thurner, M.; Robertson, N.R.; Torres, J.M.; Rayner, N.W.; Payne, A.J.; Steinthorsdottir, V.; Scott, R.A.; Grarup, N.; et al. Fine-Mapping Type 2 Diabetes Loci to Single-Variant Resolution Using High-Density Imputation and Islet-Specific Epigenome Maps. Nat. Genet. 2018, 50, 1505–1513. [Google Scholar] [CrossRef]
- Del Bosque-Plata, L.; Hernández-Cortés, E.P.; Gragnoli, C. The Broad Pathogenetic Role of TCF7L2 in Human Diseases beyond Type 2 Diabetes. J. Cell Physiol. 2022, 237, 301–312. [Google Scholar] [CrossRef] [PubMed]
- Geoghegan, G.; Simcox, J.; Seldin, M.M.; Parnell, T.J.; Stubben, C.; Just, S.; Begaye, L.; Lusis, A.J.; Villanueva, C.J. Targeted Deletion of Tcf7l2 in Adipocytes Promotes Adipocyte Hypertrophy and Impaired Glucose Metabolism. Mol. Metab. 2019, 24, 44–63. [Google Scholar] [CrossRef] [PubMed]
- Gaulton, K.J.; Nammo, T.; Pasquali, L.; Simon, J.M.; Giresi, P.G.; Fogarty, M.P.; Panhuis, T.M.; Mieczkowski, P.; Secchi, A.; Bosco, D.; et al. A Map of Open Chromatin in Human Pancreatic Islets. Nat. Genet. 2010, 42, 255–259. [Google Scholar] [CrossRef]
- Del Bosque-Plata, L.; Martínez-Martínez, E.; Espinoza-Camacho, M.Á.; Gragnoli, C. The Role of TCF7L2 in Type 2 Diabetes. Diabetes 2021, 70, 1220–1228. [Google Scholar] [CrossRef] [PubMed]
- Yan, J.; Qiu, Y.; Ribeiro dos Santos, A.M.; Yin, Y.; Li, Y.E.; Vinckier, N.; Nariai, N.; Benaglio, P.; Raman, A.; Li, X.; et al. Systematic Analysis of Binding of Transcription Factors to Noncoding Variants. Nature 2021, 591, 147–151. [Google Scholar] [CrossRef] [PubMed]
- GWAS. Available online: https://www.ebi.ac.uk/gwas/ (accessed on 25 March 2023).
- Sollis, E.; Mosaku, A.; Abid, A.; Buniello, A.; Cerezo, M.; Gil, L.; Groza, T.; Güneş, O.; Hall, P.; Hayhurst, J.; et al. The NHGRI-EBI GWAS Catalog: Knowledgebase and Deposition Resource. Nucleic Acids Res. 2023, 51, D977–D985. [Google Scholar] [CrossRef]
- GTEx. Available online: https://www.gtexportal.org/home/ (accessed on 25 March 2023).
- GTEx Consortium. The GTEx Consortium atlas of genetic regulatory effects across human tissues. Science 2020, 369, 1318–1330. [Google Scholar] [CrossRef]
- ANANASTRA: ANnotation and Enrichment ANalysis of Allele-Specific TRAnscription Factor Binding at SNPs. Available online: https://ananastra.autosome.org/ (accessed on 14 January 2024).
- Boytsov, A.; Abramov, S.; Aiusheeva, A.Z.; Kasianova, A.M.; Baulin, E.; Kuznetsov, I.A.; Aulchenko, Y.S.; Kolmykov, S.; Yevshin, I.; Kolpakov, F.; et al. ANANASTRA: Annotation and Enrichment Analysis of Allele-Specific Transcription Factor Binding at SNPs. Nucleic Acids Res. 2022, 50, W51–W56. [Google Scholar] [CrossRef]
- STRING. Available online: https://string-db.org/ (accessed on 14 January 2024).
- Szklarczyk, D.; Gable, A.L.; Lyon, D.; Junge, A.; Wyder, S.; Huerta-Cepas, J.; Simonovic, M.; Doncheva, N.T.; Morris, J.H.; Bork, P.; et al. STRING V11: Protein–Protein Association Networks with Increased Coverage, Supporting Functional Discovery in Genome-Wide Experimental Datasets. Nucleic Acids Res. 2019, 47, D607–D613. [Google Scholar] [CrossRef]
- KEGG: Kyoto Encyclopedia of Genes and Genomes. Available online: https://www.genome.jp/kegg/ (accessed on 14 January 2024).
- Kanehisa, M. KEGG: Kyoto Encyclopedia of Genes and Genomes. Nucleic Acids Res. 2000, 28, 27–30. [Google Scholar] [CrossRef]
- The Gene Ontology Resource. Available online: https://geneontology.org/ (accessed on 14 January 2024).
- Aleksander, S.A.; Balhoff, J.; Carbon, S.; Cherry, J.M.; Drabkin, H.J.; Ebert, D.; Feuermann, M.; Gaudet, P.; Harris, N.L.; Hill, D.P.; et al. The Gene Ontology Knowledgebase in 2023. Genetics 2023, 224, iyad031. [Google Scholar] [CrossRef] [PubMed]
- Reactome. Available online: https://reactome.org/ (accessed on 14 January 2024).
- Milacic, M.; Beavers, D.; Conley, P.; Gong, C.; Gillespie, M.; Griss, J.; Haw, R.; Jassal, B.; Matthews, L.; May, B.; et al. The Reactome Pathway Knowledgebase 2024. Nucleic Acids Res. 2024, 52, D672–D678. [Google Scholar] [CrossRef] [PubMed]
- Matthews, J.; Villescas, S.; Herat, L.; Schlaich, M.; Matthews, V. Implications of ADAM17 Activation for Hyperglycaemia, Obesity and Type 2 Diabetes. Biosci. Rep. 2021, 41, BSR20210029. [Google Scholar] [CrossRef] [PubMed]
- Kaneko, H.; Anzai, T.; Horiuchi, K.; Morimoto, K.; Anzai, A.; Nagai, T.; Sugano, Y.; Maekawa, Y.; Itoh, H.; Yoshikawa, T.; et al. Tumor Necrosis Factor-α Converting Enzyme Inactivation Ameliorates High-Fat Diet-Induced Insulin Resistance and Altered Energy Homeostasis. Circ. J. 2011, 75, 2482–2490. [Google Scholar] [CrossRef]
- Menghini, R.; Fiorentino, L.; Casagrande, V.; Lauro, R.; Federici, M. The Role of ADAM17 in Metabolic Inflammation. Atherosclerosis 2013, 228, 12–17. [Google Scholar] [CrossRef]
- Song, X.; Zhang, L.; Du, X.; Zheng, Y.; Jia, T.; Zhou, T.; Che, D.; Geng, S. Neuroblast Differentiation-Associated Protein Derived Polypeptides: AHNAK(5758-5775) Induces Inflammation by Activating Mast Cells via ST2. Immunol. Investig. 2023, 52, 178–193. [Google Scholar] [CrossRef]
- Li, L.; Liu, Y.; Feng, T.; Zhou, W.; Wang, Y.; Li, H. The AHNAK Induces Increased IL-6 Production in CD4+ T Cells and Serves as a Potential Diagnostic Biomarker for Recurrent Pregnancy Loss. Clin. Exp. Immunol. 2022, 209, 291–304. [Google Scholar] [CrossRef]
- Parikh, D.; Riascos-Bernal, D.F.; Egaña-Gorroño, L.; Jayakumar, S.; Almonte, V.; Chinnasamy, P.; Sibinga, N.E.S. Allograft Inflammatory Factor-1-like Is Not Essential for Age Dependent Weight Gain or HFD-Induced Obesity and Glucose Insensitivity. Sci. Rep. 2020, 10, 3594. [Google Scholar] [CrossRef]
- Piotrowska, K.; Słuczanowska-Głabowska, S.; Kurzawski, M.; Dziedziejko, V.; Kopytko, P.; Paczkowska, E.; Rogińska, D.; Safranow, K.; Machaliński, B.; Pawlik, A. Over-Expression of Allograft Inflammatory Factor-1 (AIF-1) in Patients with Rheumatoid Arthritis. Biomolecules 2020, 10, 1064. [Google Scholar] [CrossRef]
- Kelemen, S.E.; Autieri, M. V Expression of Allograft Inflammatory Factor-1 in T Lymphocytes: A Role in T-Lymphocyte Activation and Proliferative Arteriopathies. Am. J. Pathol. 2005, 167, 619–626. [Google Scholar] [CrossRef]
- Ren, L.; Du, W.; Song, D.; Lu, H.; Hamblin, M.H.; Wang, C.; Du, C.; Fan, G.-C.; Becker, R.C.; Fan, Y. Genetic Ablation of Diabetes-Associated Gene Ccdc92 Reduces Obesity and Insulin Resistance in Mice. iScience 2023, 26, 105769. [Google Scholar] [CrossRef] [PubMed]
- Wang, G.; Wu, B.; Zhang, B.; Wang, K.; Wang, H. LncRNA CTBP1-AS2 Alleviates High Glucose-Induced Oxidative Stress, ECM Accumulation, and Inflammation in Diabetic Nephropathy via MiR-155-5p/FOXO1 Axis. Biochem. Biophys. Res. Commun. 2020, 532, 308–314. [Google Scholar] [CrossRef] [PubMed]
- Wang, X.; Liu, Y.; Rong, J.; Wang, K. LncRNA HCP5 Knockdown Inhibits High Glucose-Induced Excessive Proliferation, Fibrosis and Inflammation of Human Glomerular Mesangial Cells by Regulating the MiR-93-5p/HMGA2 Axis. BMC Endocr. Disord. 2021, 21, 134. [Google Scholar] [CrossRef] [PubMed]
- Fu, L.; Shi, J.; Hu, K.; Wang, J.; Wang, W.; Ke, X. Mitogen-Activated Protein Kinase Binding Protein 1 (MAPKBP1) Is an Unfavorable Prognostic Biomarker in Cytogenetically Normal Acute Myeloid Leukemia. Oncotarget 2015, 6, 8144–8154. [Google Scholar] [CrossRef]
- Xu, Q.; Yin, S.; Yao, Y.; Li, X.; Song, B.; Yang, Y.; Liu, Y.; Chen, R.; Li, J.; Ma, T.; et al. MAST3 Modulates the Inflammatory Response and Proliferation of Fibroblast-like Synoviocytes in Rheumatoid Arthritis. Int. Immunopharmacol. 2019, 77, 105900. [Google Scholar] [CrossRef]
- Seillier, M.; Pouyet, L.; N’Guessan, P.; Nollet, M.; Capo, F.; Guillaumond, F.; Peyta, L.; Dumas, J.-F.; Varrault, A.; Bertrand, G.; et al. Defects in Mitophagy Promote Redox-Driven Metabolic Syndrome in the Absence of TP53INP1. EMBO Mol. Med. 2015, 7, 802–818. [Google Scholar] [CrossRef] [PubMed]
- Tian, N.; Liu, Q.; Li, Y.; Tong, L.; Lu, Y.; Zhu, Y.; Zhang, P.; Chen, H.; Hu, L.; Meng, J.; et al. Transketolase Deficiency in Adipose Tissues Protects Mice From Diet-Induced Obesity by Promoting Lipolysis. Diabetes 2020, 69, 1355–1367. [Google Scholar] [CrossRef]
- Ramdas, M.; Harel, C.; Armoni, M.; Karnieli, E. AHNAK KO Mice Are Protected from Diet-Induced Obesity but Are Glucose Intolerant. Horm. Metab. Res. 2015, 47, 265–272. [Google Scholar] [CrossRef]
- Erfanian, S.; Mir, H.; Abdoli, A.; Roustazadeh, A. Association of Gastric Inhibitory Polypeptide Receptor (GIPR) Gene Polymorphism with Type 2 Diabetes Mellitus in Iranian Patients. BMC Med. Genom. 2023, 16, 44. [Google Scholar] [CrossRef]
- Okamoto, K.; Iwasaki, N.; Doi, K.; Noiri, E.; Iwamoto, Y.; Uchigata, Y.; Fujita, T.; Tokunaga, K. Inhibition of Glucose-Stimulated Insulin Secretion by KCNJ15, a Newly Identified Susceptibility Gene for Type 2 Diabetes. Diabetes 2012, 61, 1734–1741. [Google Scholar] [CrossRef]
- Wood, A.R.; Jonsson, A.; Jackson, A.U.; Wang, N.; van Leewen, N.; Palmer, N.D.; Kobes, S.; Deelen, J.; Boquete-Vilarino, L.; Paananen, J.; et al. A Genome-Wide Association Study of IVGTT-Based Measures of First-Phase Insulin Secretion Refines the Underlying Physiology of Type 2 Diabetes Variants. Diabetes 2017, 66, 2296–2309. [Google Scholar] [CrossRef] [PubMed]
- Bailetti, D.; Sentinelli, F.; Prudente, S.; Cimini, F.A.; Barchetta, I.; Totaro, M.; Di Costanzo, A.; Barbonetti, A.; Leonetti, F.; Cavallo, M.G.; et al. Deep Resequencing of 9 Candidate Genes Identifies a Role for ARAP1 and IGF2BP2 in Modulating Insulin Secretion Adjusted for Insulin Resistance in Obese Southern Europeans. Int. J. Mol. Sci. 2022, 23, 1221. [Google Scholar] [CrossRef] [PubMed]
- Uchida, T.; Nakamura, T.; Hashimoto, N.; Matsuda, T.; Kotani, K.; Sakaue, H.; Kido, Y.; Hayashi, Y.; Nakayama, K.I.; White, M.F.; et al. Deletion of Cdkn1b Ameliorates Hyperglycemia by Maintaining Compensatory Hyperinsulinemia in Diabetic Mice. Nat. Med. 2005, 11, 175–182. [Google Scholar] [CrossRef] [PubMed]
- Li, Y.; Chen, Y.; Liu, Z.; Lin, B.; Deng, X.; Xiao, Q.; Chen, Z.; Ye, H.; Chen, D.; Su, Y.; et al. Downregulation of Kcnq1ot1 Attenuates β-Cell Proliferation and Insulin Secretion via the MiR-15b-5p/Ccnd1 and Ccnd2 Axis. Acta Diabetol. 2022, 59, 885–899. [Google Scholar] [CrossRef]
- Körschen, H.G.; Yildiz, Y.; Raju, D.N.; Schonauer, S.; Bönigk, W.; Jansen, V.; Kremmer, E.; Kaupp, U.B.; Wachten, D. The Non-Lysosomal β-Glucosidase GBA2 Is a Non-Integral Membrane-Associated Protein at the Endoplasmic Reticulum (ER) and Golgi. J. Biol. Chem. 2013, 288, 3381–3393. [Google Scholar] [CrossRef]
- Xiang, Z.-Y.; Chen, S.-L.; Qin, X.-R.; Lin, S.-L.; Xu, Y.; Lu, L.-N.; Zou, H.-D. Changes and Related Factors of Blood CCN1 Levels in Diabetic Patients. Front. Endocrinol. 2023, 14, 1131993. [Google Scholar] [CrossRef]
- Wolf, G.; Schanze, A.; Stahl, R.A.K.; Shankland, S.J.; Amann, K. P27Kip1 Knockout Mice Are Protected from Diabetic Nephropathy: Evidence for P27Kip1 Haplotype Insufficiency. Kidney Int. 2005, 68, 1583–1589. [Google Scholar] [CrossRef][Green Version]
- Yamada, S.; Senokuchi, T.; Matsumura, T.; Morita, Y.; Ishii, N.; Fukuda, K.; Murakami-Nishida, S.; Nishida, S.; Kawasaki, S.; Motoshima, H.; et al. Inhibition of Local Macrophage Growth Ameliorates Focal Inflammation and Suppresses Atherosclerosis. Arter. Thromb. Vasc. Biol. 2018, 38, 994–1006. [Google Scholar] [CrossRef]
- Sliwinska, A.; Kasznicki, J.; Kosmalski, M.; Mikolajczyk, M.; Rogalska, A.; Przybylowska, K.; Majsterek, I.; Drzewoski, J. Tumour Protein 53 Is Linked with Type 2 Diabetes Mellitus. Indian J. Med. Res. 2017, 146, 237. [Google Scholar] [CrossRef]
- Bengal, E.; Aviram, S.; Hayek, T. P38 MAPK in Glucose Metabolism of Skeletal Muscle: Beneficial or Harmful? Int. J. Mol. Sci. 2020, 21, 6480. [Google Scholar] [CrossRef]
- Saltiel, A.R. Insulin Signaling in Health and Disease. J. Clin. Investig. 2021, 131, 1710–1711. [Google Scholar] [CrossRef] [PubMed]
- Teaney, N.A.; Cyr, N.E. FoxO1 as a Tissue-Specific Therapeutic Target for Type 2 Diabetes. Front. Endocrinol. 2023, 14, 1286838. [Google Scholar] [CrossRef]
- Jeon, S.-M. Regulation and Function of AMPK in Physiology and Diseases. Exp. Mol. Med. 2016, 48, e245. [Google Scholar] [CrossRef] [PubMed]
- Huang, X.; Liu, G.; Guo, J.; Su, Z. The PI3K/AKT Pathway in Obesity and Type 2 Diabetes. Int. J. Biol. Sci. 2018, 14, 1483–1496. [Google Scholar] [CrossRef]
- Kung, C.-P.; Murphy, M.E. The Role of the P53 Tumor Suppressor in Metabolism and Diabetes. J. Endocrinol. 2016, 231, R61–R75. [Google Scholar] [CrossRef]
- Mehta, Z.B.; Fine, N.; Pullen, T.J.; Cane, M.C.; Hu, M.; Chabosseau, P.; Meur, G.; Velayos-Baeza, A.; Monaco, A.P.; Marselli, L.; et al. Changes in the Expression of the Type 2 Diabetes-Associated Gene VPS13C in the β-Cell Are Associated with Glucose Intolerance in Humans and Mice. Am. J. Physiol. Endocrinol. Metab. 2016, 311, E488–E507. [Google Scholar] [CrossRef] [PubMed]
- Dalmas, E.; Toubal, A.; Alzaid, F.; Blazek, K.; Eames, H.L.; Lebozec, K.; Pini, M.; Hainault, I.; Montastier, E.; Denis, R.G.P.; et al. Irf5 Deficiency in Macrophages Promotes Beneficial Adipose Tissue Expansion and Insulin Sensitivity during Obesity. Nat. Med. 2015, 21, 610–618. [Google Scholar] [CrossRef]
- Mori, H.; Takahashi, H.; Mine, K.; Higashimoto, K.; Inoue, K.; Kojima, M.; Kuroki, S.; Eguchi, T.; Ono, Y.; Inuzuka, S.; et al. TYK2 Promoter Variant Is Associated with Impaired Insulin Secretion and Lower Insulin Resistance in Japanese Type 2 Diabetes Patients. Genes 2021, 12, 400. [Google Scholar] [CrossRef]
- Lee, M.-J.; Feliers, D.; Mariappan, M.M.; Sataranatarajan, K.; Mahimainathan, L.; Musi, N.; Foretz, M.; Viollet, B.; Weinberg, J.M.; Choudhury, G.G.; et al. A Role for AMP-Activated Protein Kinase in Diabetes-Induced Renal Hypertrophy. Am. J. Physiol. Ren. Physiol. 2007, 292, F617–F627. [Google Scholar] [CrossRef]
- Sikka, A.; Kaur, M.; Agarwal, C.; Deep, G.; Agarwal, R. Metformin Suppresses Growth of Human Head and Neck Squamous Cell Carcinoma via Global Inhibition of Protein Translation. Cell Cycle 2012, 11, 1374–1382. [Google Scholar] [CrossRef]
- Vohra, M.; Sharma, A.R.; Mallya, S.; Prabhu, N.B.; Jayaram, P.; Nagri, S.K.; Umakanth, S.; Rai, P.S. Implications of Genetic Variations, Differential Gene Expression, and Allele-Specific Expression on Metformin Response in Drug-Naïve Type 2 Diabetes. J. Endocrinol. Investig. 2022, 46, 1205–1218. [Google Scholar] [CrossRef] [PubMed]
- Zou, Y.; Gong, N.; Cui, Y.; Wang, X.; Cui, A.; Chen, Q.; Jiao, T.; Dong, X.; Yang, H.; Zhang, S.; et al. Forkhead Box P1 (FOXP1) Transcription Factor Regulates Hepatic Glucose Homeostasis. J. Biol. Chem. 2015, 290, 30607–30615. [Google Scholar] [CrossRef]
- Bartolini, R.; Medina-Ruiz, L.; Hayes, A.J.; Kelly, C.J.; Halawa, H.A.; Graham, G.J. Inflammatory Chemokine Receptors Support Inflammatory Macrophage and Dendritic Cell Maturation. Immunohorizons 2022, 6, 743–759. [Google Scholar] [CrossRef] [PubMed]
- Yang, R.; Wang, M.; Zhang, G.; Li, Y.; Wang, L.; Cui, H. POU2F2 Regulates Glycolytic Reprogramming and Glioblastoma Progression via PDPK1-Dependent Activation of PI3K/AKT/MTOR Pathway. Cell Death Dis. 2021, 12, 433. [Google Scholar] [CrossRef] [PubMed]
- Rahman, M.H.; Peng, S.; Hu, X.; Chen, C.; Rahman, M.R.; Uddin, S.; Quinn, J.M.W.; Moni, M.A. A Network-Based Bioinformatics Approach to Identify Molecular Biomarkers for Type 2 Diabetes That Are Linked to the Progression of Neurological Diseases. Int. J. Environ. Res. Public. Health 2020, 17, 1035. [Google Scholar] [CrossRef]
- Qian, Z.; Zhao, J. Silencing YY1 Alleviates Ox-LDL-Induced Inflammation and Lipid Accumulation in Macrophages through Regulation of PCSK9/ LDLR Signaling. J. Microbiol. Biotechnol. 2022, 32, 1406–1415. [Google Scholar] [CrossRef]
- Mola, S.; Beauchamp, C.; Boucher, G.; Lesage, S.; Karaky, M.; Goyette, P.; Foisy, S.; Rioux, J.D. Identifying Transcript-Level Differential Expression in Primary Human Immune Cells. Mol. Immunol. 2023, 153, 181–193. [Google Scholar] [CrossRef]
- Jentho, E.; Ruiz-Moreno, C.; Novakovic, B.; Kourtzelis, I.; Megchelenbrink, W.L.; Martins, R.; Chavakis, T.; Soares, M.P.; Kalafati, L.; Guerra, J.; et al. Trained Innate Immunity, Long-Lasting Epigenetic Modulation, and Skewed Myelopoiesis by Heme. Proc. Natl. Acad. Sci USA. 2021, 118, e2102698118. [Google Scholar] [CrossRef]
- Xiong, L.; Chen, L.; Wu, L.; He, W.; Chen, D.; Peng, Z.; Li, J.; Zhu, X.; Su, L.; Li, Y.; et al. Lipotoxicity-Induced CircGlis3 Impairs Beta Cell Function and Is Transmitted by Exosomes to Promote Islet Endothelial Cell Dysfunction. Diabetologia 2022, 65, 188–205. [Google Scholar] [CrossRef]
- Oost, L.J.; Slieker, R.C.; Blom, M.T.; Hart, L.M.; Hoenderop, J.G.J.; Beulens, J.W.J.; de Baaij, J.H.F. Genome-Wide Association Study of Serum Magnesium in Type 2 Diabetes. Genes. Nutr. 2024, 19, 2. [Google Scholar] [CrossRef]
- Paluvai, H.; Shanmukha, K.D.; Tyedmers, J.; Backs, J. Insights into the Function of HDAC3 and NCoR1/NCoR2 Co-Repressor Complex in Metabolic Diseases. Front. Mol. Biosci. 2023, 10, 1190094. [Google Scholar] [CrossRef] [PubMed]
- You, S.; Zhang, Y.; Xu, J.; Qian, H.; Wu, S.; Wu, B.; Lu, S.; Sun, Y.; Zhang, N. The Role of BRG1 in Antioxidant and Redox Signaling. Oxid. Med. Cell Longev. 2020, 2020, 6095673. [Google Scholar] [CrossRef] [PubMed]
- Urakami, T. Maturity-Onset Diabetes of the Young (MODY): Current Perspectives on Diagnosis and Treatment. Diabetes Metab. Syndr. Obes. 2019, 12, 1047–1056. [Google Scholar] [CrossRef] [PubMed]
- Li, W.; Yang, S.; Chen, G.; He, S. MiR-200c-3p Regulates Pyroptosis by Targeting SLC30A7 in Diabetic Retinopathy. Hum. Exp. Toxicol. 2022, 41, 096032712210995. [Google Scholar] [CrossRef] [PubMed]
- Eldakhakhny, B.M.; Al Sadoun, H.; Choudhry, H.; Mobashir, M. In-Silico Study of Immune System Associated Genes in Case of Type-2 Diabetes With Insulin Action and Resistance, and/or Obesity. Front. Endocrinol. 2021, 12, 641888. [Google Scholar] [CrossRef]
- Henriksen, T.I.; Wigge, L.V.; Nielsen, J.; Pedersen, B.K.; Sandri, M.; Scheele, C. Dysregulated Autophagy in Muscle Precursor Cells from Humans with Type 2 Diabetes. Sci. Rep. 2019, 9, 8169. [Google Scholar] [CrossRef]
- Flores-León, M.; Alcaraz, N.; Pérez-Domínguez, M.; Torres-Arciga, K.; Rebollar-Vega, R.; De la Rosa-Velázquez, I.A.; Arriaga-Canon, C.; Herrera, L.A.; Arias, C.; González-Barrios, R. Transcriptional Profiles Reveal Deregulation of Lipid Metabolism and Inflammatory Pathways in Neurons Exposed to Palmitic Acid. Mol. Neurobiol. 2021, 58, 4639–4651. [Google Scholar] [CrossRef]
- You, Y.-A.; Park, S.; Kwon, E.; Kim, Y.-A.; Hur, Y.M.; Lee, G.I.; Kim, S.M.; Song, J.M.; Kim, M.S.; Kim, Y.J.; et al. Maternal PM2.5 Exposure Is Associated with Preterm Birth and Gestational Diabetes Mellitus, and Mitochondrial OXPHOS Dysfunction in Cord Blood. Environ. Sci. Pollut. Res. 2024, 31, 10565–10578. [Google Scholar] [CrossRef]
- Atkin, A.S.; Moin, A.S.M.; Nandakumar, M.; Al-Qaissi, A.; Sathyapalan, T.; Atkin, S.L.; Butler, A.E. Impact of Severe Hypoglycemia on the Heat Shock and Related Protein Response. Sci. Rep. 2021, 11, 17057. [Google Scholar] [CrossRef]
- Agostino, M.; Rooney, J.; Herat, L.; Matthews, J.; Simonds, A.; Northfield, S.E.; Hopper, D.; Schlaich, M.P.; Matthews, V.B. TNFSF14-Derived Molecules as a Novel Treatment for Obesity and Type 2 Diabetes. Int. J. Mol. Sci. 2021, 22, 10647. [Google Scholar] [CrossRef]
- Fu, Y.; Wang, X.; Zhang, L.; Ren, Y.; Hao, L. Allograft Inflammatory Factor-1 Enhances Inflammation and Oxidative Stress via the NF-ΚB Pathway in Diabetic Kidney Disease. Biochem. Biophys. Res. Commun. 2022, 614, 63–69. [Google Scholar] [CrossRef] [PubMed]
- Cheng, Y.; Zhang, Z.; Gao, P.; Lai, H.; Zhong, W.; Feng, N.; Yang, Y.; Yu, H.; Zhang, Y.; Han, Y.; et al. AAV Induces Hepatic Necroptosis and Carcinoma in Diabetic and Obese Mice Dependent on Pebp1 Pathway. EMBO Mol. Med. 2023, 15, e17230. [Google Scholar] [CrossRef] [PubMed]
- Zhou, Y.; Li, Z.-L.; Ding, L.; Zhang, X.-J.; Liu, N.-C.; Liu, S.-S.; Wang, Y.-F.; Ma, R.-X. Long Noncoding RNA SNHG5 Promotes Podocyte Injury via the MicroRNA-26a-5p/TRPC6 Pathway in Diabetic Nephropathy. J. Biol. Chem. 2022, 298, 102605. [Google Scholar] [CrossRef]
- Kazerouni, F.; Bayani, A.; Asadi, F.; Saeidi, L.; Parvizi, N.; Mansoori, Z. Type2 Diabetes Mellitus Prediction Using Data Mining Algorithms Based on the Long-Noncoding RNAs Expression: A Comparison of Four Data Mining Approaches. BMC Bioinform. 2020, 21, 372. [Google Scholar] [CrossRef]
- Wang, X.; Li, X.; Zong, Y.; Yu, J.; Chen, Y.; Zhao, M.; Wu, D.; Liao, Y.; Jiang, C.; Zhu, H. Identification and Validation of Genes Related to RNA Methylation Modification in Diabetic Retinopathy. Curr. Eye Res. 2023, 48, 1034–1049. [Google Scholar] [CrossRef]
- Degtyareva, A.O.; Antontseva, E.V.; Merkulova, T.I. Regulatory SNPs: Altered Transcription Factor Binding Sites Implicated in Complex Traits and Diseases. Int. J. Mol. Sci. 2021, 22, 6454. [Google Scholar] [CrossRef]
- Fabo, T.; Khavari, P. Functional Characterization of Human Genomic Variation Linked to Polygenic Diseases. Trends Genet. 2023, 39, 462–490. [Google Scholar] [CrossRef]
- Alsheikh, A.J.; Wollenhaupt, S.; King, E.A.; Reeb, J.; Ghosh, S.; Stolzenburg, L.R.; Tamim, S.; Lazar, J.; Davis, J.W.; Jacob, H.J. The Landscape of GWAS Validation; Systematic Review Identifying 309 Validated Non-Coding Variants across 130 Human Diseases. BMC Med. Genom. 2022, 15, 74. [Google Scholar] [CrossRef] [PubMed]
- Abramov, S.; Boytsov, A.; Bykova, D.; Penzar, D.D.; Yevshin, I.; Kolmykov, S.K.; Fridman, M.V.; Favorov, A.V.; Vorontsov, I.E.; Baulin, E.; et al. Landscape of Allele-Specific Transcription Factor Binding in the Human Genome. Nat. Commun. 2021, 12, 2751. [Google Scholar] [CrossRef]
- Haider, M.J.A.; Albaqsumi, Z.; Al-Mulla, F.; Ahmad, R.; Al-Rashed, F. SOCS3 Regulates Dectin-2-Induced Inflammation in PBMCs of Diabetic Patients. Cells 2022, 11, 2670. [Google Scholar] [CrossRef]
- Ragavi, R.; Adole, P.S.; Vinod, K.V.; Pillai, A.A. Altered Expression of a Disintegrin and Metalloproteinase 10 in Peripheral Blood Mononuclear Cells in Type 2 Diabetes Mellitus Patients with the Acute Coronary Syndrome: A Pilot Study. Endocrine 2022, 77, 461–468. [Google Scholar] [CrossRef] [PubMed]
- Pernold, C.P.S.; Lagumdzic, E.; Stadler, M.; Dolezal, M.; Jäckel, S.; Schmitt, M.W.; Mair, K.H.; Saalmüller, A. Species Comparison: Human and Minipig PBMC Reactivity under the Influence of Immunomodulating Compounds in Vitro. Front. Immunol. 2024, 14, 1327776. [Google Scholar] [CrossRef] [PubMed]
- Alexovič, M.; Uličná, C.; Sabo, J.; Davalieva, K. Human Peripheral Blood Mononuclear Cells as a Valuable Source of Disease-related Biomarkers: Evidence from Comparative Proteomics Studies. Proteom. Clin. Appl. 2024, 18, 2300072. [Google Scholar] [CrossRef]
- Al Dubayee, M.S.; Alayed, H.; Almansour, R.; Alqaoud, N.; Alnamlah, R.; Obeid, D.; Alshahrani, A.; Zahra, M.M.; Nasr, A.; Al-Bawab, A.; et al. Differential Expression of Human Peripheral Mononuclear Cells Phenotype Markers in Type 2 Diabetic Patients and Type 2 Diabetic Patients on Metformin. Front. Endocrinol. 2018, 9, 537. [Google Scholar] [CrossRef]
- Fakhoury, H.M.A.; Elahi, M.A.; Al Sarheed, S.; Al Dubayee, M.; Alshahrani, A.; Zhra, M.; Almassri, A.; Aljada, A. Gene Expression Profiling of Peripheral Blood Mononuclear Cells in Type 2 Diabetes: An Exploratory Study. Medicina 2022, 58, 1829. [Google Scholar] [CrossRef]
- Eftekharian, M.M.; Karimi, J.; Safe, M.; Sadeghian, A.; Borzooei, S.; Siahpoushi, E. Investigation of the Correlation between Some Immune System and Biochemical Indicators in Patients with Type 2 Diabetes. Hum. Antibodies 2016, 24, 25–31. [Google Scholar] [CrossRef]
- Cohen, S.R.; Gardner, T.W. Diabetic Retinopathy and Diabetic Macular Edema. Retin. Pharmacother. 2016, 55, 137–146. [Google Scholar]
- Wang, G.; Chiou, J.; Zeng, C.; Miller, M.; Matta, I.; Han, J.Y.; Kadakia, N.; Okino, M.-L.; Beebe, E.; Mallick, M.; et al. Integration of Single-Cell Multiomic Measurements across Disease States with Genetics Identifies Mechanisms of Beta Cell Dysfunction in Type 2 Diabetes. bioRxiv 2023. [Google Scholar] [CrossRef]
- Cruz-Pineda, W.D.; Parra-Rojas, I.; Rodríguez-Ruíz, H.A.; Illades-Aguiar, B.; Matia-García, I.; Garibay-Cerdenares, O.L. The Regulatory Role of Insulin in Energy Metabolism and Leukocyte Functions. J. Leukoc. Biol. 2021, 111, 197–208. [Google Scholar] [CrossRef]
- Manning, B.D.; Cantley, L.C. AKT/PKB Signaling: Navigating Downstream. Cell 2007, 129, 1261–1274. [Google Scholar] [CrossRef]
- Yu, S.; Meng, S.; Xiang, M.; Ma, H. Phosphoenolpyruvate Carboxykinase in Cell Metabolism: Roles and Mechanisms beyond Gluconeogenesis. Mol. Metab. 2021, 53, 101257. [Google Scholar] [CrossRef]
- Manoel-Caetano, F.S.; Xavier, D.J.; Evangelista, A.F.; Takahashi, P.; Collares, C.V.; Puthier, D.; Foss-Freitas, M.C.; Foss, M.C.; Donadi, E.A.; Passos, G.A.; et al. Gene Expression Profiles Displayed by Peripheral Blood Mononuclear Cells from Patients with Type 2 Diabetes Mellitus Focusing on Biological Processes Implicated on the Pathogenesis of the Disease. Gene 2012, 511, 151–160. [Google Scholar] [CrossRef] [PubMed]
- Gaedigk, A.; Whirl-Carrillo, M.; Pratt, V.M.; Miller, N.A.; Klein, T.E. PharmVar and the Landscape of Pharmacogenetic Resources. Clin. Pharmacol. Ther. 2020, 107, 43–46. [Google Scholar] [CrossRef] [PubMed]
- Gharani, N.; Calendo, G.; Kusic, D.; Madzo, J.; Scheinfeldt, L. Star Allele Search: A Pharmacogenetic Annotation Database and User-Friendly Search Tool of Publicly Available 1000 Genomes Project Biospecimens. BMC Genom. 2024, 25, 116. [Google Scholar] [CrossRef]
- Rykova, E.; Ershov, N.; Damarov, I.; Merkulova, T. SNPs in 3′UTR MiRNA Target Sequences Associated with Individual Drug Susceptibility. Int. J. Mol. Sci. 2022, 23, 13725. [Google Scholar] [CrossRef]
- Li, H.; Chen, L.; Tong, X.; Dai, H.; Shi, T.; Cheng, X.; Sun, M.; Chen, K.; Wei, Q.; Wang, M. Functional Genetic Variants of CTNNBIP1 Predict Platinum Treatment Response of Chinese Epithelial Ovarian Cancer Patients. J. Cancer 2020, 11, 6850–6860. [Google Scholar] [CrossRef]
- Yang, J.; Li, S.; Lv, H.; Wang, W.; Zhang, J.; Chu, L.; Zhang, Y. CREB1 and BDNF Gene Polymorphisms Are Associated with Early Treatment Response to Escitalopram in Panic Disorder. J. Affect. Disord. 2021, 278, 536–541. [Google Scholar] [CrossRef] [PubMed]
- Hsieh, T.-Y.; Lin, J.-F.; Liu, F.-C.; Chen, H.-C.; Lui, S.-W.; Chang, Y.-T. Functional Implications of Rs9373441 with FOXP3+Treg and Tr1 for the Clinical Effectiveness of CsDMARDs in Rheumatoid Arthritis. Clin. Chim. Acta 2023, 551, 117612. [Google Scholar] [CrossRef]
- Cook, M.N.; Girman, C.J.; Stein, P.P.; Alexander, C.M. Initial Monotherapy with Either Metformin or Sulphonylureas Often Fails to Achieve or Maintain Current Glycaemic Goals in Patients with Type 2 Diabetes in UK Primary Care. Diabet. Med. 2007, 24, 350–358. [Google Scholar] [CrossRef]
- Xiao, D.; Guo, Y.; Li, X.; Yin, J.-Y.; Zheng, W.; Qiu, X.-W.; Xiao, L.; Liu, R.-R.; Wang, S.-Y.; Gong, W.-J.; et al. The Impacts of SLC22A1 Rs594709 and SLC47A1 Rs2289669 Polymorphisms on Metformin Therapeutic Efficacy in Chinese Type 2 Diabetes Patients. Int. J. Endocrinol. 2016, 2016, 4350712. [Google Scholar] [CrossRef]
- Goswami, S.; Yee, S.W.; Stocker, S.; Mosley, J.D.; Kubo, M.; Castro, R.; Mefford, J.A.; Wen, C.; Liang, X.; Witte, J.; et al. Genetic Variants in Transcription Factors Are Associated With the Pharmacokinetics and Pharmacodynamics of Metformin. Clin. Pharmacol. Ther. 2014, 96, 370–379. [Google Scholar] [CrossRef] [PubMed]
- Zhou, Y.; Ye, W.; Wang, Y.; Jiang, Z.; Meng, X.; Xiao, Q.; Zhao, Q.; Yan, J. Genetic Variants of OCT1 Influence Glycemic Response to Metformin in Han Chinese Patients with Type-2 Diabetes Mellitus in Shanghai. Int. J. Clin. Exp. Pathol. 2015, 8, 9533–9542. [Google Scholar] [PubMed]
- Nasykhova, Y.A.; Tonyan, Z.N.; Mikhailova, A.A.; Danilova, M.M.; Glotov, A.S. Pharmacogenetics of Type 2 Diabetes—Progress and Prospects. Int. J. Mol. Sci. 2020, 21, 6842. [Google Scholar] [CrossRef] [PubMed]
- Nasykhova, Y.; Barbitoff, Y.; Tonyan, Z.; Danilova, M.; Nevzorov, I.; Komandresova, T.; Mikhailova, A.; Vasilieva, T.; Glavnova, O.; Yarmolinskaya, M.; et al. Genetic and Phenotypic Factors Affecting Glycemic Response to Metformin Therapy in Patients with Type 2 Diabetes Mellitus. Genes 2022, 13, 1310. [Google Scholar] [CrossRef]
- Jablonski, K.A.; McAteer, J.B.; de Bakker, P.I.W.; Franks, P.W.; Pollin, T.I.; Hanson, R.L.; Saxena, R.; Fowler, S.; Shuldiner, A.R.; Knowler, W.C.; et al. Common Variants in 40 Genes Assessed for Diabetes Incidence and Response to Metformin and Lifestyle Intervention in the Diabetes Prevention Program. Diabetes 2010, 59, 2672–2681. [Google Scholar] [CrossRef]
- Rotroff, D.M.; Yee, S.W.; Zhou, K.; Marvel, S.W.; Shah, H.S.; Jack, J.R.; Havener, T.M.; Hedderson, M.M.; Kubo, M.; Herman, M.A.; et al. Genetic Variants in CPA6 and PRPF31 Are Associated With Variation in Response to Metformin in Individuals With Type 2 Diabetes. Diabetes 2018, 67, 1428–1440. [Google Scholar] [CrossRef]
- Oni-Orisan, A.; Haldar, T.; Ranatunga, D.K.; Medina, M.W.; Schaefer, C.; Krauss, R.M.; Iribarren, C.; Risch, N.; Hoffmann, T.J. The Impact of Adjusting for Baseline in Pharmacogenomic Genome-Wide Association Studies of Quantitative Change. NPJ Genom. Med. 2020, 5, 1. [Google Scholar] [CrossRef]
- Agúndez, J.A.G.; Ayuso, P.; Quiñones, L.A.; García-Martín, E. Editorial: Editor’s Feature: Negative Findings in Pharmacogenetics and Pharmacogenomics. Front. Pharmacol. 2023, 14, 1267344. [Google Scholar] [CrossRef]
- Meliala, I.T.S.; Hosea, R.; Kasim, V.; Wu, S. The Biological Implications of Yin Yang 1 in the Hallmarks of Cancer. Theranostics 2020, 10, 4183–4200. [Google Scholar] [CrossRef]
- Verheul, T.C.J.; van Hijfte, L.; Perenthaler, E.; Barakat, T.S. The Why of YY1: Mechanisms of Transcriptional Regulation by Yin Yang 1. Front. Cell Dev. Biol. 2020, 8, 592164. [Google Scholar] [CrossRef]
- Xiao, R.; Chen, J.-Y.; Liang, Z.; Luo, D.; Chen, G.; Lu, Z.J.; Chen, Y.; Zhou, B.; Li, H.; Du, X.; et al. Pervasive Chromatin-RNA Binding Protein Interactions Enable RNA-Based Regulation of Transcription. Cell 2019, 178, 107–121.E18. [Google Scholar] [CrossRef]
- Wang, J.; Wu, X.; Wei, C.; Huang, X.; Ma, Q.; Huang, X.; Faiola, F.; Guallar, D.; Fidalgo, M.; Huang, T.; et al. YY1 Positively Regulates Transcription by Targeting Promoters and Super-Enhancers through the BAF Complex in Embryonic Stem Cells. Stem Cell Rep. 2018, 10, 1324–1339. [Google Scholar] [CrossRef]
- Bianchi, M.; Crinelli, R.; Giacomini, E.; Carloni, E.; Radici, L.; Magnani, M. Yin Yang 1 Intronic Binding Sequences and Splicing Elicit Intron-Mediated Enhancement of Ubiquitin C Gene Expression. PLoS ONE 2013, 8, e65932. [Google Scholar] [CrossRef] [PubMed]
- Shi, Y.; Lee, J.-S.; Galvin, K.M. Everything You Have Ever Wanted to Know about Yin Yang 1. Biochim. Biophys. Acta (BBA) Rev. Cancer 1997, 1332, F49–F66. [Google Scholar] [CrossRef]
- Liu, D.; Yang, K.Y.; Chan, V.W.; Ye, W.; Chong, C.C.N.; Wang, C.C.; Wang, H.; Zhou, B.; Cheng, K.K.Y.; Lui, K.O. YY1 Regulates Glucose Homeostasis Through Controlling Insulin Transcription in Pancreatic β-Cells. Diabetes 2022, 71, 961–977. [Google Scholar] [CrossRef]
- Martins Peçanha, F.L.; Jaafar, R.; Werneck-de-Castro, J.P.; Apostolopolou, C.-C.; Bhushan, A.; Bernal-Mizrachi, E. The Transcription Factor YY1 Is Essential for Normal DNA Repair and Cell Cycle in Human and Mouse β-Cells. Diabetes 2022, 71, 1694–1705. [Google Scholar] [CrossRef]
- Lu, J.; Jin, K.; Jiao, J.; Liu, R.; Mou, T.; Chen, B.; Zhang, Z.; Jiang, C.; Zhao, H.; Wang, Z.; et al. YY1 (Yin-Yang 1), a Transcription Factor Regulating Systemic Inflammation, Is Involved in Cognitive Impairment of Depression. Psychiatry Clin. Neurosci. 2023, 77, 149–159. [Google Scholar] [CrossRef]
- Bolger, A.M.; Lohse, M.; Usadel, B. Trimmomatic: A Flexible Trimmer for Illumina Sequence Data. Bioinformatics 2014, 30, 2114–2120. [Google Scholar] [CrossRef]
- Genome Assembly GRCh38. Available online: https://www.ncbi.nlm.nih.gov/datasets/genome/GCF_000001405.26/ (accessed on 25 March 2023).
- Langmead, B.; Salzberg, S.L. Fast Gapped-Read Alignment with Bowtie 2. Nat. Methods 2012, 9, 357–359. [Google Scholar] [CrossRef]
- Danecek, P.; Bonfield, J.K.; Liddle, J.; Marshall, J.; Ohan, V.; Pollard, M.O.; Whitwham, A.; Keane, T.; McCarthy, S.A.; Davies, R.M.; et al. Twelve Years of SAMtools and BCFtools. Gigascience 2021, 10, giab008. [Google Scholar] [CrossRef]
- Sherry, S.T.; Ward, M.H.; Kholodov, M.; Baker, J.; Phan, L.; Smigielski, E.M.; Sirotkin, K. DbSNP: The NCBI Database of Genetic Variation. Nucleic Acids Res. 2001, 29, 308–311. [Google Scholar] [CrossRef] [PubMed]
- SNPlocs.Hsapiens.dbSNP155.GRCh38. Human SNP Locations and Alleles Extracted from dbSNP Build 155 and Placed on the GRCh38/hg38 Assembly. Available online: https://www.bioconductor.org/packages/release/data/annotation/html/SNPlocs.Hsapiens.dbSNP155.GRCh38.html (accessed on 25 March 2023).
- Bioconductor Core Team; Bioconductor Package Maintainer. TxDb.Hsapiens.UCSC.Hg38.KnownGene: Annotation Package for TxDb Object(s); R Package Version 3.4.6; Bioconductor Core Team: Winnipeg, MB, Canada, 2019. [Google Scholar]
- Mayba, O.; Gilbert, H.N.; Liu, J.; Haverty, P.M.; Jhunjhunwala, S.; Jiang, Z.; Watanabe, C.; Zhang, Z. MBASED: Allele-Specific Expression Detection in Cancer Tissues and Cell Lines. Genome Biol. 2014, 15, 405. [Google Scholar] [CrossRef] [PubMed]
- Zhang, J.; Zhao, H. EQTL Studies: From Bulk Tissues to Single Cells. arXiv 2023, arXiv:2302.11662. [Google Scholar] [CrossRef]
- Love, M.I.; Huber, W.; Anders, S. Moderated Estimation of Fold Change and Dispersion for RNA-Seq Data with DESeq2. Genome Biol. 2014, 15, 550. [Google Scholar] [CrossRef]
- Gene Expression Omnibus. Available online: https://www.ncbi.nlm.nih.gov/geo/ (accessed on 14 January 2024).
- Barrett, T.; Wilhite, S.E.; Ledoux, P.; Evangelista, C.; Kim, I.F.; Tomashevsky, M.; Marshall, K.A.; Phillippy, K.H.; Sherman, P.M.; Holko, M.; et al. NCBI GEO: Archive for Functional Genomics Data Sets—Update. Nucleic Acids Res. 2012, 41, D991–D995. [Google Scholar] [CrossRef]
- CytoNCA. Available online: https://apps.cytoscape.org/apps/cytonca (accessed on 14 January 2024).
- Tang, Y.; Li, M.; Wang, J.; Pan, Y.; Wu, F.-X. CytoNCA: A Cytoscape Plugin for Centrality Analysis and Evaluation of Protein Interaction Networks. Biosystems 2015, 127, 67–72. [Google Scholar] [CrossRef]
- Cytoscape. Available online: https://cytoscape.org/ (accessed on 14 January 2024).
- Shannon, P.; Markiel, A.; Ozier, O.; Baliga, N.S.; Wang, J.T.; Ramage, D.; Amin, N.; Schwikowski, B.; Ideker, T. Cytoscape: A Software Environment for Integrated Models of Biomolecular Interaction Networks. Genome Res. 2003, 13, 2498–2504. [Google Scholar] [CrossRef]
- MCODE. Available online: https://apps.cytoscape.org/apps/mcode (accessed on 25 March 2023).
- Bader, G.D.; Hogue, C.W. An Automated Method for Finding Molecular Complexes in Large Protein Interaction Networks. BMC Bioinform. 2003, 4, 2. [Google Scholar] [CrossRef]
- Wu, T.; Hu, E.; Xu, S.; Chen, M.; Guo, P.; Dai, Z.; Feng, T.; Zhou, L.; Tang, W.; Zhan, L.; et al. ClusterProfiler 4.0: A Universal Enrichment Tool for Interpreting Omics Data. Innov. 2021, 2, 100141. [Google Scholar] [CrossRef]
- Robin, X.; Turck, N.; Hainard, A.; Tiberti, N.; Lisacek, F.; Sanchez, J.-C.; Müller, M. PROC: An Open-Source Package for R and S+ to Analyze and Compare ROC Curves. BMC Bioinform. 2011, 12, 77. [Google Scholar] [CrossRef]








| Trait | Total Number of SNPs per Trait in GWAS Catalog | Number of rSNPs Directly Included in GWAS Catalog | p.adj. | Odds Ratio * |
|---|---|---|---|---|
| Waist-to-hip ratio adjusted for BMI | 3741 | 36 | 1.1 × 10−3 | 2.2 (1.5–3.1) |
| Mean corpuscular volume | 2227 | 31 | 1.1 × 10−5 | 3.2 (2.2–4.6) |
| White blood cell count | 2456 | 31 | 6.1 × 10−5 | 2.9 (2–4.2) |
| Waist–hip index | 2526 | 28 | 1.1 × 10−3 | 2.5 (1.7–3.7) |
| Hip circumference adjusted for BMI | 3359 | 28 | 4.1 × 10−2 | 1.9 (1.3–2.8) |
| Platelet count | 2609 | 27 | 3.9 × 10−3 | 2.4 (1.6–3.5) |
| Mean corpuscular hemoglobin | 2365 | 25 | 4.8 × 10−3 | 2.4 (1.6–3.6) |
| Lymphocyte count | 1651 | 24 | 9.8 × 10−5 | 3.3 (2.1–5) |
| Monocyte count | 1767 | 24 | 2.1 × 10−4 | 3.1 (2–4.7) |
| Red blood cell count | 2487 | 24 | 1.9 × 10−2 | 2.2 (1.4–3.3) |
| Neutrophil count | 1559 | 23 | 1.1 × 10−4 | 3.4 (2.1–5.1) |
| Eosinophil count | 2100 | 23 | 4.8 × 10−3 | 2.5 (1.6–3.8) |
| Type 2 diabetes | 2830 | 23 | 7.1 × 10−2 | 1.9 (1.2–2.8) |
| Red cell distribution width | 1732 | 20 | 5.5 × 10−3 | 2.6 (1.6–4.1) |
| Mean platelet volume | 1402 | 16 | 2.1 × 10−2 | 2.6 (1.5–4.3) |
| A body shape index | 1514 | 16 | 3.6 × 10−2 | 2.4 (1.4–3.9) |
| Monocyte percentage of white cells | 738 | 15 | 1.9 × 10−4 | 4.6 (2.6–7.7) |
| Plateletcrit | 930 | 15 | 1.6 × 10−3 | 3.7 (2–6.1) |
| Mean spheric corpuscular volume | 821 | 14 | 1.6 × 10−3 | 3.9 (2.1–6.6) |
| Appendicular lean mass | 1569 | 14 | 8.8 × 10−2 | 2 (1.1–3.4) |
| Gene | Regulation | AUC | Rs_id |
|---|---|---|---|
| NOTCH1 | Up | 0.7212 | rs951509664, rs3013307, and rs3013306 |
| H6PD | Up | 0.8072 | rs184437520, rs3752547, rs9435144, and rs11121354 |
| POLR2A | Up | 0.7314 | rs4796424, rs57985740, rs41555218, rs144575559, and rs9901161 |
| NCOR2 | Up | 0.7713 | rs7960906, rs1006100, rs1199426444, rs191752208, rs1432659465, rs998518300, rs906886068, rs1458070990, rs948418315, rs79830634, rs12426514, rs1316249, rs924583078, rs868110059, and rs1407929149 |
| PXN | Up | 0.7181 | rs7953949 and rs3890165 |
| FASN | Up | 0.7642 | rs7209621 and rs62078751 |
| SCARB1 | Up | 0.7323 | rs7305310, rs838884, and rs897715 |
| GAK | Up | 0.734 | rs140032537, rs141564663, rs1403319282, rs182955420, rs3775124 and rs3733352 |
| CTSD | Up | 0.7238 | rs2292963, rs144932926, rs2292962, and rs35640004 |
| FZR1 | Up | 0.7145 | rs8100223 and rs8644 |
| SMG1 | Up | 0.7926 | rs142606705, rs12929094, and rs560580650 |
| TP53 | Up | 0.7522 | rs1800899 |
| MAN1B1 | Up | 0.7762 | rs4880199 and rs10870178 |
| RPL3 | Down | 0.766 | rs5757613, rs2072872, rs137626, rs2076125, rs143897309, rs969895370, rs84491, rs137627, rs470081, rs754570306, rs6509, rs137620, and rs12484030 |
| RPS3 | Down | 0.7119 | rs186612441 |
| HSP90AB1 | Down | 0.8227 | rs324131 |
| RPL11 | Down | 0.801 | rs3753270, rs111953674, rs878908315, rs558662093, and rs1361739260 |
| RPS11 | Down | 0.7358 | rs739349 |
| RPL5 | Down | 0.7411 | rs34244251 |
| RPS20 | Down | 0.7159 | rs17814456 |
| RPL13A | Down | 0.7101 | rs11539123 |
| RACK1 | Down | 0.8054 | rs2287715 and rs111326428 |
| RPL14 | Down | 0.7908 | rs62263890 and rs2276869 |
| RPL12 | Down | 0.8285 | rs2247310 and rs2247322 |
| CCT7 | Down | 0.8027 | rs779122697 |
| RUVBL1 | Down | 0.7451 | rs11719546 |
| TCP1 | Down | 0.7292 | rs62621403 |
| PSMA7 | Down | 0.8005 | rs73307256, rs6089665, and rs3746651 |
| PSMC5 | Down | 0.7863 | rs141975038 |
| ATP5F1A | Down | 0.7092 | rs3753069, rs41274316, and rs34907121 |
| HNRNPK | Down | 0.742 | rs1011582290, rs796004, and rs296890 |
| SKP1 | Down | 0.7163 | rs56257643 |
| BCL2 | Down | 0.7176 | rs4987834 and rs1160274961 |
| FYN | Down | 0.7438 | rs62413757, rs189480003, rs71564104, rs9487736, rs1295051482, rs6568706, rs17072881, and rs1057979 |
| SSRP1 | Down | 0.8262 | rs61888886 and rs61888888 |
| CDC42 | Down | 0.7247 | rs61778042, rs866829764, rs11801382, rs2255282, rs12038474, and rs16826302 |
Disclaimer/Publisher’s Note: The statements, opinions and data contained in all publications are solely those of the individual author(s) and contributor(s) and not of MDPI and/or the editor(s). MDPI and/or the editor(s) disclaim responsibility for any injury to people or property resulting from any ideas, methods, instructions or products referred to in the content. |
© 2024 by the authors. Licensee MDPI, Basel, Switzerland. This article is an open access article distributed under the terms and conditions of the Creative Commons Attribution (CC BY) license (https://creativecommons.org/licenses/by/4.0/).
Share and Cite
Damarov, I.S.; Korbolina, E.E.; Rykova, E.Y.; Merkulova, T.I. Multi-Omics Analysis Revealed the rSNPs Potentially Involved in T2DM Pathogenic Mechanism and Metformin Response. Int. J. Mol. Sci. 2024, 25, 9297. https://doi.org/10.3390/ijms25179297
Damarov IS, Korbolina EE, Rykova EY, Merkulova TI. Multi-Omics Analysis Revealed the rSNPs Potentially Involved in T2DM Pathogenic Mechanism and Metformin Response. International Journal of Molecular Sciences. 2024; 25(17):9297. https://doi.org/10.3390/ijms25179297
Chicago/Turabian StyleDamarov, Igor S., Elena E. Korbolina, Elena Y. Rykova, and Tatiana I. Merkulova. 2024. "Multi-Omics Analysis Revealed the rSNPs Potentially Involved in T2DM Pathogenic Mechanism and Metformin Response" International Journal of Molecular Sciences 25, no. 17: 9297. https://doi.org/10.3390/ijms25179297
APA StyleDamarov, I. S., Korbolina, E. E., Rykova, E. Y., & Merkulova, T. I. (2024). Multi-Omics Analysis Revealed the rSNPs Potentially Involved in T2DM Pathogenic Mechanism and Metformin Response. International Journal of Molecular Sciences, 25(17), 9297. https://doi.org/10.3390/ijms25179297
