Spectroscopic Studies of Lanthanide(III) Complexes with L-Malic Acid in Binary Systems
Abstract
1. Introduction
2. Results and Discussion
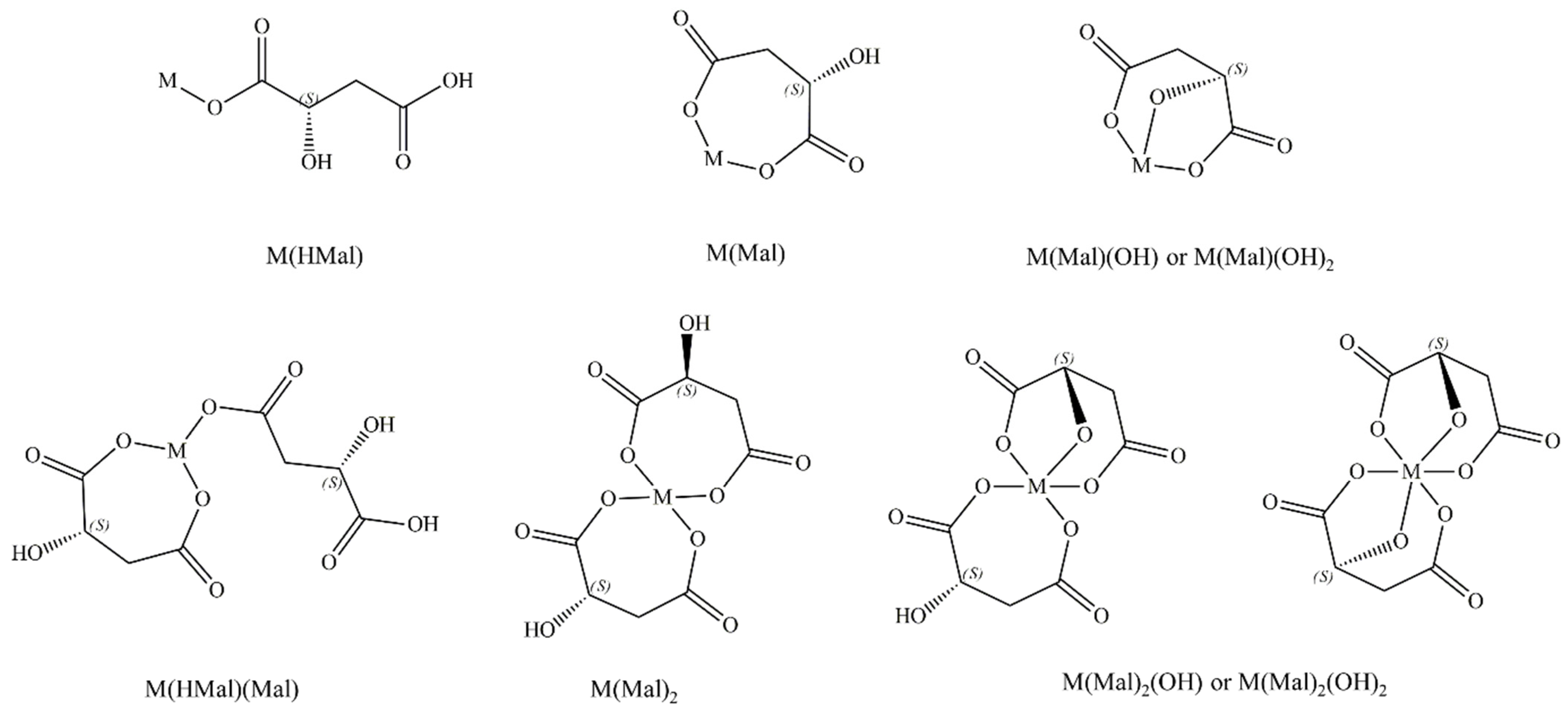
2.1. Equilibrium Study
2.2. Luminescence Spectroscopy
2.3. IR Spectroscopy
2.4. CD Spectroscopy
3. Materials and Methods
3.1. Materials
3.2. Equilibrium Study
3.3. UV-Vis and Luminescence Spectroscopy
3.4. Infrared Spectroscopy (FT-IR)
3.5. CD Spectroscopy
4. Conclusions
Author Contributions
Funding
Institutional Review Board Statement
Informed Consent Statement
Data Availability Statement
Conflicts of Interest
References
- Sun, T.; Gao, Y.; Du, Y.; Zhou, L.; Chen, X. Recent Advances in Developing Lanthanide Metal–Organic Frameworks for Ratiometric Fluorescent Sensing. Front. Chem. 2021, 8, 624592. [Google Scholar] [CrossRef] [PubMed]
- Eliseeva, S.V.; Bünzli, J.-C.G. Lanthanide Luminescence for Functional Materials and Bio-Sciences. Chem. Soc. Rev. 2010, 39, 189–227. [Google Scholar] [CrossRef] [PubMed]
- Kaczmarek, M.T.; Zabiszak, M.; Nowak, M.; Jastrzab, R. Lanthanides: Schiff Base Complexes, Applications in Cancer Diagnosis, Therapy, and Antibacterial Activity. Coord. Chem. Rev. 2018, 370, 42–54. [Google Scholar] [CrossRef]
- Martinez-Gomez, N.C.; Vu, H.N.; Skovran, E. Lanthanide Chemistry: From Coordination in Chemical Complexes Shaping Our Technology to Coordination in Enzymes Shaping Bacterial Metabolism. Inorg. Chem. 2016, 55, 10083–10089. [Google Scholar] [CrossRef] [PubMed]
- Cotruvo, J.A. The Chemistry of Lanthanides in Biology: Recent Discoveries, Emerging Principles, and Technological Applications. ACS Cent. Sci. 2019, 5, 1496–1506. [Google Scholar] [CrossRef]
- Zhan, W.; Guo, Y.; Gong, X.; Guo, Y.; Wang, Y.; Lu, G. Current Status and Perspectives of Rare Earth Catalytic Materials and Catalysis. Chin. J. Catal. 2014, 35, 1238–1250. [Google Scholar] [CrossRef]
- Balaram, V. Rare Earth Elements: A Review of Applications, Occurrence, Exploration, Analysis, Recycling, and Environmental Impact. Geosci. Front. 2019, 10, 1285–1303. [Google Scholar] [CrossRef]
- Akah, A. Application of Rare Earths in Fluid Catalytic Cracking: A Review. J. Rare Earths 2017, 35, 941–956. [Google Scholar] [CrossRef]
- Duchna, M.; Cieślik, I. Rare Earth Elements in New Advanced Engineering Applications. In Rare Earth Elements—Emerging Advances, Technology Utilization, and Resource Procurement; Aide, M.T., Ed.; IntechOpen: Rijeka, Croatia, 2023. [Google Scholar] [CrossRef]
- Tessitore, G.; Mandl, G.A.; Maurizio, S.L.; Kaur, M.; Capobianco, J.A. The Role of Lanthanide Luminescence in Advancing Technology. RSC Adv. 2023, 13, 17787–17811. [Google Scholar] [CrossRef]
- Bünzli, J.-C.G.; Eliseeva, S.V. Lanthanide NIR Luminescence for Telecommunications, Bioanalyses and Solar Energy Conversion. J. Rare Earths 2010, 28, 824–842. [Google Scholar] [CrossRef]
- Shahi, P.K.; Singh, A.K.; Rai, S.B.; Ullrich, B. Lanthanide Complexes for Temperature Sensing, UV Light Detection, and Laser Applications. Sens. Actuators A Phys. 2015, 222, 255–261. [Google Scholar] [CrossRef]
- Singh, A.K. Multifunctionality of Lanthanide-Based Luminescent Hybrid Materials. Coord. Chem. Rev. 2022, 455, 214365. [Google Scholar] [CrossRef]
- Fan, X.; Freslon, S.; Daiguebonne, C.; Calvez, G.; Le Pollès, L.; Bernot, K.; Guillou, O. Heteronuclear Lanthanide-Based Coordination Polymers Exhibiting Tunable Multiple Emission Spectra. J. Mater. Chem. C 2014, 2, 5510. [Google Scholar] [CrossRef]
- Sardaru, M.-C.; Marangoci, N.L.; Shova, S.; Bejan, D. Novel Lanthanide (III) Complexes Derived from an Imidazole–Biphenyl–Carboxylate Ligand: Synthesis, Structure and Luminescence Properties. Molecules 2021, 26, 6942. [Google Scholar] [CrossRef] [PubMed]
- Qin, X.; Wang, J.; Yuan, Q. Synthesis and Biomedical Applications of Lanthanides-Doped Persistent Luminescence Phosphors With NIR Emissions. Front. Chem. 2020, 8, 608578. [Google Scholar] [CrossRef]
- Xian, T.; Meng, Q.; Gao, F.; Hu, M.; Wang, X. Functionalization of Luminescent Lanthanide Complexes for Biomedical Applications. Coord. Chem. Rev. 2023, 474, 214866. [Google Scholar] [CrossRef]
- Bao, G. Lanthanide Complexes for Drug Delivery and Therapeutics. J. Lumin. 2020, 228, 117622. [Google Scholar] [CrossRef]
- Bottrill, M.; Kwok, L.; Long, N.J. Lanthanides in Magnetic Resonance Imaging. Chem. Soc. Rev. 2006, 35, 557. [Google Scholar] [CrossRef]
- Teo, R.D.; Termini, J.; Gray, H.B. Lanthanides: Applications in Cancer Diagnosis and Therapy: Miniperspective. J. Med. Chem. 2016, 59, 6012–6024. [Google Scholar] [CrossRef]
- Chundawat, N.S.; Jadoun, S.; Zarrintaj, P.; Chauhan, N.P.S. Lanthanide Complexes as Anticancer Agents: A Review. Polyhedron 2021, 207, 115387. [Google Scholar] [CrossRef]
- Fricker, S.P. The Therapeutic Application of Lanthanides. Chem. Soc. Rev. 2006, 35, 524. [Google Scholar] [CrossRef] [PubMed]
- Brouziotis, A.A.; Giarra, A.; Libralato, G.; Pagano, G.; Guida, M.; Trifuoggi, M. Toxicity of Rare Earth Elements: An Overview on Human Health Impact. Front. Environ. Sci. 2022, 10, 948041. [Google Scholar] [CrossRef]
- Pałasz, A.; Czekaj, P. Toxicological and cytophysiological aspects of lanthanides action. Acta Biochim. Pol. 2000, 47, 1107–1114. [Google Scholar] [CrossRef] [PubMed]
- Kövilein, A.; Kubisch, C.; Cai, L.; Ochsenreither, K. Malic Acid Production from Renewables: A Review. J. Chem. Technol. Biotechnol. 2020, 95, 513–526. [Google Scholar] [CrossRef]
- Dai, Z.; Zhou, H.; Zhang, S.; Gu, H.; Yang, Q.; Zhang, W.; Dong, W.; Ma, J.; Fang, Y.; Jiang, M.; et al. Current Advance in Biological Production of Malic Acid Using Wild Type and Metabolic Engineered Strains. Bioresour. Technol. 2018, 258, 345–353. [Google Scholar] [CrossRef] [PubMed]
- Zhang, P.; Jiang, G.; Wang, Y.; Yan, E.; He, L.; Guo, J.; Yin, J.; Zhang, X. Maternal Consumption of L-Malic Acid Enriched Diets Improves Antioxidant Capacity and Glucose Metabolism in Offspring by Regulating the Gut Microbiota. Redox Biol. 2023, 67, 102889. [Google Scholar] [CrossRef]
- Wei, Z.; Xu, Y.; Xu, Q.; Cao, W.; Huang, H.; Liu, H. Microbial Biosynthesis of L-Malic Acid and Related Metabolic Engineering Strategies: Advances and Prospects. Front. Bioeng. Biotechnol. 2021, 9, 765685. [Google Scholar] [CrossRef]
- Zelle, R.M.; De Hulster, E.; Van Winden, W.A.; De Waard, P.; Dijkema, C.; Winkler, A.A.; Geertman, J.-M.A.; Van Dijken, J.P.; Pronk, J.T.; Van Maris, A.J.A. Malic Acid Production by Saccharomyces cerevisiae: Engineering of Pyruvate Carboxylation, Oxaloacetate Reduction, and Malate Export. Appl. Environ. Microbiol. 2008, 74, 2766–2777. [Google Scholar] [CrossRef]
- Lu, W.; Sun, X.; Gao, L.; Hu, X.; Song, H.; Kong, B. Study on the Characteristics and Mechanism of DL-Malic Acid in Inhibiting Spontaneous Combustion of Lignite and Bituminous Coal. Fuel 2022, 308, 122012. [Google Scholar] [CrossRef]
- Babilas, P.; Knie, U.; Abels, C. Cosmetic and Dermatologic Use of Alpha Hydroxy Acids: AHA in Dermatology. JDDG J. Dtsch. Dermatol. Ges. 2012, 10, 488–491. [Google Scholar] [CrossRef]
- Hsiao, Y.-P.; Lai, W.-W.; Wu, S.-B.; Tsai, C.-H.; Tang, S.-C.; Chung, J.-G.; Yang, J.-H. Triggering Apoptotic Death of Human Epidermal Keratinocytes by Malic Acid: Involvement of Endoplasmic Reticulum Stress- and Mitochondria-Dependent Signaling Pathways. Toxins 2015, 7, 81–96. [Google Scholar] [CrossRef] [PubMed]
- Wasim, M.; Shi, F.; Liu, J.; Zhu, K.; Liu, J.; Yan, T. Synthesis of a Novel Multifunctional Montmorillonite/L-Malic-Acid/Curcumin/Bacterial Cellulose Hybrid Nanofilm with Excellent Heat Insulation, Antibacterial Activity and Cytocompatibility. Colloid Polym. Sci. 2023, 301, 893–908. [Google Scholar] [CrossRef]
- Chi, Z.; Wang, Z.-P.; Wang, G.-Y.; Khan, I.; Chi, Z.-M. Microbial Biosynthesis and Secretion of l-Malic Acid and Its Applications. Crit. Rev. Biotechnol. 2016, 36, 99–107. [Google Scholar] [CrossRef] [PubMed]
- Ding, H.; Inoue, S.; Ljubimov, A.V.; Patil, R.; Portilla-Arias, J.; Hu, J.; Konda, B.; Wawrowsky, K.A.; Fujita, M.; Karabalin, N.; et al. Inhibition of Brain Tumor Growth by Intravenous Poly(β-l-Malic Acid) Nanobioconjugate with pH-Dependent Drug Release. Proc. Natl. Acad. Sci. USA 2010, 107, 18143–18148. [Google Scholar] [CrossRef] [PubMed]
- Zabiszak, M.; Nowak, M.; Hnatejko, Z.; Grajewski, J.; Ogawa, K.; Kaczmarek, M.T.; Jastrzab, R. Thermodynamic and spectroscopic studies of the complexes formed in tartaric acid and lanthanide(III) ions binary systems. Molecules 2020, 25, 1121. [Google Scholar] [CrossRef]
- Zabiszak, M.; Frymark, J.; Nowak, M.; Grajewski, J.; Stachowiak, K.; Kaczmarek, M.T.; Jastrząb, R. Influence of D-Electron Divalent Metal Ions in Complex Formation with L-Tartaric and L-Malic Acids. Molecules 2021, 26, 5290. [Google Scholar] [CrossRef]
- Frymark, J.; Zabiszak, M.; Grajewski, J.; Hnatejko, Z.; Kołodyńska, D.; Kaczmarek, M.T.; Jastrzab, R. Excess of Polyamine as a Factor Influencing the Mode of Coordination in the Eu(III)/α-Hydroxy Acid/Spermine System. Polyhedron 2022, 221, 115853. [Google Scholar] [CrossRef]
- Sukhno, I.V.; Gavrilyuk, M.B.; Buz’ko, V.Y.; Panyushkin, V.T. Complexation of Cerium Group Lanthanides with L-malic Acid Under an Excess of Metal Ions. Russ. J. Coord. Chem. 2004, 30, 520–525. [Google Scholar] [CrossRef]
- Taube, F.; Drobot, B.; Rossberg, A.; Foerstendorf, H.; Acker, M.; Patzschke, M.; Trumm, M.; Taut, S.; Stumpf, T. Thermodynamic and Structural Studies on the Ln(III)/An(III) Malate Complexation. Inorg. Chem. 2019, 58, 368–381. [Google Scholar] [CrossRef]
- Konteatis, Z.; Brittain, H.G. Stereoselectivity in Lanthanide Complexes of Malic Acid. Inorg. Chim. Acta 1980, 40, 51–57. [Google Scholar] [CrossRef]
- Khalil, M.M.; Radalla, A.M.; Abd Elnaby, N.M. Solution Equilibria and Thermodynamic Studies of Complexation of Divalent Transition Metal Ions with Some Triazoles and Biologically Important Aliphatic Dicarboxylic Acids in Aqueous Media. J. Solut. Chem. 2013, 42, 1123–1145. [Google Scholar] [CrossRef]
- Daniele, P.G.; Prenesti, E.; Ostacoli, G.J. Ultraviolet–circular dichroism spectra for structural analysis of copper (II) complexes with aliphatic and aromatic ligands in aqueous solution. J. Chem. Soc. Dalton Trans. 1996, 15, 3269–3275. [Google Scholar] [CrossRef]
- Gawronski, J.; Gawronska, K.; Skowronek, P.; Rychlewska, U.; Warzajtis, B.; Rychlewski, J.; Hoffmann, M.; Szarecka, A. Factors Affecting Conformation of (R,R)-Tartaric Acid Ester, Amide and Nitrile Derivatives. X-Ray Diffraction, Circular Dichroism, Nuclear Magnetic Resonance and Ab Initio Studies. Tetrahedron 1997, 53, 6113–6144. [Google Scholar] [CrossRef]
- Francis, B.R.; Watkins, K.; Kubelka, J. Double Hydrogen Bonding between Side Chain Carboxyl Groups in Aqueous Solutions of Poly (β-L-Malic Acid): Implication for the Evolutionary Origin of Nucleic Acids. Life 2017, 7, 35. [Google Scholar] [CrossRef]
- Hoffmann, M.; Grajewski, J.; Gawronski, J. Extending the Applications of Circular Dichroism in Structure Elucidation: Aqueous Environment Breaks the Symmetry of Tartrate Dianion. New J. Chem. 2010, 34, 2020–2026. [Google Scholar] [CrossRef]
- Glasoe, P.K.; Long, F.A. Use of glass electrodes to measure acidities in deuterium oxide. J. Phys. Chem. 1960, 64, 188–190. [Google Scholar] [CrossRef]









| Species | logβ | logKe | Reaction |
|---|---|---|---|
| Mal | |||
| H2L | 7.92(1) * | 3.22 | HL− + H+ ⇋ H2L |
| HL | 4.70(1) * | 4.70 | L2− + H+ ⇋ HL− |
| La(III)-Mal | |||
| LaHMal | 9.52(5) | 4.82 | La3+ + HMal La(HMal) |
| LaMal | 5.54(3) | 5.54 | La3+ + Mal LaMal |
| La(Mal)(OH) | −3.35(6) | 4.88 | LaMal + H2O La(Mal)(OH)2− + H+ |
| Nd(III)-Mal | |||
| Nd(HMal)(Mal) | 13.19(6) | 8.49 | Nd 3+ + HMal− + Mal2− Nd(HMal)(Mal) |
| Nd(Mal)2 | 9.24(6) | 9.24 | Nd 3+ + 2Mal2− Nd(Mal)2− |
| Nd(Mal)(OH) ** | −3.03(7) | 10.74 | Nd3+ + Mal2−+ H2O Nd(Mal)(OH) + H+ |
| Nd(Mal)2(OH) | 1.31(2) | 5.84 | Nd(Mal)2− + H2O Nd(Mal)2(OH)2− + H+ |
| Gd(III)-Mal | |||
| Gd(HMal)(Mal) | 12.61(3) | 7.91 | Gd3+ + HMal− + Mal2− Gd(HMal)(Mal) |
| Gd(Mal)2 | 7.57(5) | 7.57 | Gd 3+ + 2Mal2− Gd(Mal)2− |
| Gd(Mal)(OH) | −3.26(5) | 10.51 | Gd3+ + Mal2−+ H2O Gd(Mal)(OH) + H+ |
| Gd(Mal)(OH)2 ** | −11.83(4) | 5.20 | Gd(Mal)(OH) + H2O Gd(Mal)(OH)2− + H+ |
| Gd(Mal)2(OH) *** | 0.67(6) | 6.87 | Gd(Mal)2− + H2O Gd(Mal)2(OH)2− + H+ |
| Gd(Mal)2(OH)2 *** | −7.78(4) | 5.32 | Gd(Mal)(OH) + H2O Gd(Mal)(OH)2− + H+ |
| Tb(III)-Mal | |||
| Tb(HMal)(Mal) | 12.81(3) | 8.11 | Tb3+ + HMal− + Mal2− Tb(HMal)(Mal) |
| Tb(Mal)2 | 6.80(4) | 6.80 | Tb3+ + 2Mal2− Tb(Mal)2− |
| Tb(Mal)(OH) ** | −3.46(4) | 10.31 | Tb3+ + Mal2−+ H2O Tb(Mal)(OH) + H+ |
| Tb(Mal)2(OH) | −0.06(1) | 6.91 | Tb(Mal)2− + H2O Tb(Mal)2(OH)2− + H+ |
| Tb(Mal)2(OH)2 *** | −8.98(9) | 4.85 | Tb(Mal)2(OH)2− + H2O Tb(Mal)2(OH)23− + H+ |
| Ho(III)-Mal | |||
| Ho(HMal)(Mal) | 12.56(2) | 7.86 | Ho3+ + HMal− + Mal2− Ho(HMal)(Mal) |
| Ho(Mal)2 | 6.86(6) | 6.86 | Ho3+ + 2Mal2− Ho(Mal)2− |
| Ho(Mal)(OH) ** | −3.00(3) | 10.77 | Ho3+ + Mal2−+ H2O Ho(Mal)(OH) + H+ |
| Ho(Mal)(OH)2 ** | −11.50(4) | 5.27 | Ho(Mal)(OH) + H2O Ho(Mal)(OH)2− + H+ |
| Ho(Mal)2(OH) *** | −0.36(3) | 6.55 | Ho(Mal)2− + H2O Ho(Mal)2(OH)2− + H+ |
| Lu(III)-Mal | |||
| Lu(HMal)(Mal) | 12.70(2) | 8.00 | Lu3+ + HMal− + Mal2− Lu(HMal)(Mal) |
| Lu(Mal)2 | 8.55(2) | 8.55 | Lu3+ + 2Mal2− Lu(Mal)2− |
| Lu(Mal)(OH) | −2.32(3) | 11.45 | Lu3+ + Mal2−+ H2O Lu(Mal)(OH) + H+ |
| Lu(Mal)2(OH) | 1.74(4) | 6.96 | Lu(Mal)2− + H2O Lu(Mal)2(OH)2− + H+ |
| La(III)/Mal | Nd(III)/Mal | Gd(III)/Mal | Tb(III)/Mal | Ho(III)/Mal | Lu(III)/Mal |
|---|---|---|---|---|---|
| pH = 3.0 Δε (nm) 0.44 (213) 0.67 (195) | pH = 3.3 Δε (nm) −0.71 (215) −0.85 (208) 1.77 (191) | pH = 4.4 Δε (nm) −2.56 (207) | pH = 4.6 Δε (nm) −2.43 (208) 4.11 (186) | pH = 4.3 Δε (nm) −2.97 (210) −3.00 (206) −3.78 (189) | pH = 3.3 Δε (nm) −2.05 (210) |
| pH = 6.3 Δε (nm) −1.57 (211) 1.78 (192) | pH = 6.0 Δε (nm) −1.94 (212) | pH = 6.5 Δε (nm) −2.31 (207) | pH = 6.2 Δε (nm) −3.13 (207) | pH = 5.1 Δε (nm) −3.09 (210) | |
| pH = 8.2 Δε (nm) −0.75 (220) −0.79 (212) 0.78 (196) | pH = 7.7 Δε (nm) −1.73 (207) 0.61 (191) | pH = 7.8 Δε (nm) −1.23 (214) −1.69 (204) −1.26 (196) | pH = 7.7 Δε (nm) −1.10 (218) −2.33 (205) | pH = 7.5 Δε (nm) −2.45 (207) −2.41 (201) | |
| pH = 8.9 Δε (nm) 0.32 (213) 0.88 (198) | pH = 9.5 Δε (nm) −0.19 (223) 0.44 (213) 0.86 (203) 1.14 (194) | pH = 9.2 Δε (nm) −0.45 (223) 0.52 (194) | pH = 10.2 Δε (nm) 0.67 (211) 0.89 (194) | pH = 9.3 Δε (nm) −0.54 (215) −0.93 (207) −1.08 (197) |
| La(III)/Mal | Nd(III)/Mal | Gd(III)/Mal | Tb(III)/Mal | Ho(III)/Mal | Lu(III)/Mal |
|---|---|---|---|---|---|
| pH = 2.5 Δε (nm) 1.13 (214) 1.22 (200) 1.44 (192) | pH = 3.5 Δε (nm) −1.36 (213) 1.81 (193) | pH = 3.7 Δε (nm) −1.44 (209) 3.51 (186) | pH = 4.2 Δε (nm) −2.86 (211) | pH = 4.4 Δε (nm) −3.04 (208) | pH = 3.7 Δε (nm) −2.38 (208) 3.72 (187) |
| pH = 6.3 Δε (nm) −1.27 (212) | pH = 6. 0 Δε (nm) −2.27 (210) 2.12 (195) | pH = 5.8 Δε (nm) −2.41 (212) 4.68 (193) | pH = 6.2 Δε (nm) −2.98 (210) | pH = 6.3 Δε (nm) −2.90 (208) | pH = 5.6 Δε (nm) −3.38 (211) |
| pH = 7.9 Δε (nm) −0.72 (216) −1.98 (205) −1.75 (200) | pH = 8.0 Δε (nm) −3.15 (196) | pH = 8.0 Δε (nm) −1.38 (215) −2.17 (206) −2.06 (197) | pH = 8.5 Δε (nm) −0.21 (217) −1.16 (200) | ||
| pH = 9.2 Δε (nm) 2.33 (205) 2.53 (195) | pH = 9.0 Δε (nm) −0.44 (222) 0.25 (203) 0.84 (195) | pH = 9.8 Δε (nm) 1.85 (208) 1.53 (197) | pH = 10.3 Δε (nm) 0.88 (211) 1.30 (203) 0.69 (193) |
Disclaimer/Publisher’s Note: The statements, opinions and data contained in all publications are solely those of the individual author(s) and contributor(s) and not of MDPI and/or the editor(s). MDPI and/or the editor(s) disclaim responsibility for any injury to people or property resulting from any ideas, methods, instructions or products referred to in the content. |
© 2024 by the authors. Licensee MDPI, Basel, Switzerland. This article is an open access article distributed under the terms and conditions of the Creative Commons Attribution (CC BY) license (https://creativecommons.org/licenses/by/4.0/).
Share and Cite
Zabiszak, M.; Frymark, J.; Grajewski, J.; Jastrzab, R. Spectroscopic Studies of Lanthanide(III) Complexes with L-Malic Acid in Binary Systems. Int. J. Mol. Sci. 2024, 25, 9210. https://doi.org/10.3390/ijms25179210
Zabiszak M, Frymark J, Grajewski J, Jastrzab R. Spectroscopic Studies of Lanthanide(III) Complexes with L-Malic Acid in Binary Systems. International Journal of Molecular Sciences. 2024; 25(17):9210. https://doi.org/10.3390/ijms25179210
Chicago/Turabian StyleZabiszak, Michał, Justyna Frymark, Jakub Grajewski, and Renata Jastrzab. 2024. "Spectroscopic Studies of Lanthanide(III) Complexes with L-Malic Acid in Binary Systems" International Journal of Molecular Sciences 25, no. 17: 9210. https://doi.org/10.3390/ijms25179210
APA StyleZabiszak, M., Frymark, J., Grajewski, J., & Jastrzab, R. (2024). Spectroscopic Studies of Lanthanide(III) Complexes with L-Malic Acid in Binary Systems. International Journal of Molecular Sciences, 25(17), 9210. https://doi.org/10.3390/ijms25179210

