Eco-Friendly Functionalization of Ynals with Thiols under Mild Conditions
Abstract
1. Introduction
2. Results and Discussion
2.1. Design and Optimization of the Reaction System
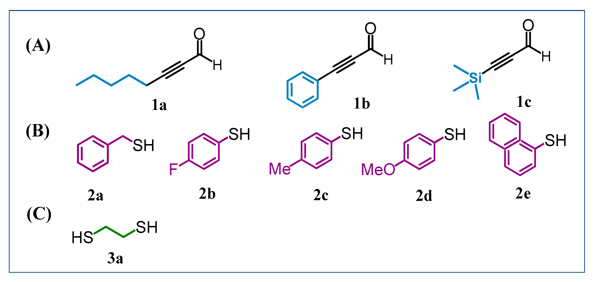
2.2. Scope of the Reaction
2.3. The Preparative Scale for the Synthesis of Product P1
3. Materials and Methods
3.1. General Methods and Chemicals
3.2. General Procedure for Catalytic Tests
3.2.1. Mono- and Multifunctionalization of Aldehydes with (Di)thiols
3.2.2. Bis-Functionalization of Aldehydes with Two Various Thiols
3.3. General Procedure for the Synthesis of Products P1–P32 and P36
3.4. General Procedure for the Synthesis of Products P33–P35
3.5. Synthesis of Product P1 on a Preparative Scale
4. Conclusions
Supplementary Materials
Author Contributions
Funding
Institutional Review Board Statement
Informed Consent Statement
Data Availability Statement
Acknowledgments
Conflicts of Interest
References
- Srivastava, P.; Schito, M.; Fattah, R.J.; Hara, T.; Hartman, T.; Buckheit, R.W.; Turpin, J.A.; Inman, J.K.; Appella, E. Optimization of unique, uncharged thioesters as inhibitors of HIV replication. Bioorg. Med. Chem. 2004, 12, 6437–6450. [Google Scholar] [CrossRef] [PubMed]
- Kanda, Y.; Ashizawa, T.; Kakita, S.; Takahashi, Y.; Kono, M.; Yoshida, M.; Saitoh, Y.; Okabe, M. Synthesis and Antitumor Activity of Novel Thioester Derivatives of Leinamycin. J. Med. Chem. 1999, 42, 1330–1332. [Google Scholar] [CrossRef]
- Vazguez-Prieto, M.A.; Miatello, R.M. Organosulfur compounds and cardiovascular disease. Mol. Asp. Med. 2010, 31, 540–545. [Google Scholar] [CrossRef] [PubMed]
- Ilardi, E.A.; Vitaku, E.; Njardarson, J.T. Data-Mining for Sulfur and Fluorine: An Evaluation of Pharmaceuticals To Reveal Opportunities for Drug Design and Discovery. J. Med. Chem. 2014, 57, 2832–2842. [Google Scholar] [CrossRef] [PubMed]
- Beno, B.R.; Yeung, K.S.; Bartberger, M.D.; Pennington, L.D.; Meanwell, N.A. A Survey of the Role of Noncovalent Sulfur Interactions in Drug Design. J. Med. Chem. 2015, 58, 4383–4438. [Google Scholar] [CrossRef]
- Scott, K.A.; Njardarson, J.T. Analysis of US FDA-Approved Drugs Containing Sulfur Atoms. Top. Curr. Chem. 2018, 376, 1–34. [Google Scholar] [CrossRef]
- Mustafa, M.; Winum, J.-Y. The importance of sulfur-containing motifs in drug design and discovery. Expert Opin. Drug Discov. 2022, 17, 501–512. [Google Scholar] [CrossRef]
- Wang, N.; Saidhareddy, P.; Jiang, X. Construction of sulfur-containing moieties in the total synthesis of natural products. Nat. Prod. Rep. 2020, 37, 246–275. [Google Scholar] [CrossRef]
- Guo, W.; Wang, D.Y.; Chen, Q.; Fu, Y. Advances of Organosulfur Materials for Rechargeable Metal Batteries. Adv. Sci. 2021, 9, 2103989. [Google Scholar] [CrossRef]
- Lu, Y.; Zhang, M.; Huang, D. Dietary Organosulfur-Containing Compounds and Their Health-Promotion Mechanisms. Ann. Rev. Food Sci. Technol. 2022, 13, 287–313. [Google Scholar] [CrossRef]
- Chauhan, P.; Mahajan, S.; Enders, D. Organocatalytic Carbon–Sulfur Bond-Forming Reactions. Chem. Rev. 2014, 114, 8807–8864. [Google Scholar] [CrossRef] [PubMed]
- Hirschbeck, V.; Gehrtz, P.H.; Fleischer, I. Metal-Catalyzed Synthesis and Use of Thioesters: Recent Developments. Chem. Eur. J. 2018, 24, 7092–7107. [Google Scholar] [CrossRef] [PubMed]
- Aksakal, S.; Aksakal, R.; Becer, C.R. Thioester functional polymers. Polym. Chem. 2018, 9, 4507–4516. [Google Scholar] [CrossRef]
- Mutlu, H.; Ceper, E.B.; Li, X.; Yang, J.; Dong, W.; Ozmen, M.M.; Theato, P. Sulfur Chemistry in Polymer and Materials Science. Macromol. Rapid Commun. 2019, 40, 1800650. [Google Scholar] [CrossRef]
- Niu, C.; Du, G.-M. Recent Advances in Organocatalyzed Asymmetric Sulfa-Michael Addition Triggered Cascade Reactions. Chem. Rec. 2023, 23, e202200258. [Google Scholar] [CrossRef] [PubMed]
- Lugue-Agudo, V.; Albarrán-Velo, J.; Fernández-Bolaños, J.G.; López, O.; Light, M.E.; Pardón, J.M.; Lagunes, I.; Román, E.; Serrano, J.A.; Gil, M.V. Synthesis and antiproliferative activity of sulfa-Michael adducts and thiochromenes derived from carbohydrates. New J. Chem. 2017, 41, 3154–3162. [Google Scholar] [CrossRef]
- Pillaiyar, T.; Flury, P.; Krüger, N.; Su, H.; Schäkel, L.; Barbosa Da Silva, E.; Eppler, O.; Kronenberger, T.; Nie, T.; Luedtke, S.; et al. Small-Molecule Thioesters as SARS-CoV-2 Main Protease Inhibitors: Enzyme Inhibition, Structure–Activity Relationships, Antiviral Activity, and X-ray Structure Determination. J. Med. Chem. 2022, 65, 9376–9395. [Google Scholar] [CrossRef]
- Kazemi, M.; Shiri, L. Thioesters synthesis: Recent adventures in the esterification of thiols. J. Sulfur Chem. 2015, 36, 613–623. [Google Scholar] [CrossRef]
- Jabarullah, N.H.; Jermsittiparsert, K.; Melnikov, P.A.; Maseleno, A.; Hosseinian, A.; Vessally, E. Methods for the direct synthesis of thioesters from aldehydes: A focus review. J. Sulfur Chem. 2020, 41, 96–115. [Google Scholar] [CrossRef]
- Yi, C.-L.; Huang, Y.-T.; Lee, C.-F. Synthesis of thioesters through copper-catalyzed coupling of aldehydes with thiols in water. Green Chem. 2013, 15, 2476–2484. [Google Scholar] [CrossRef]
- Huang, Y.-T.; Lu, S.-Y.; Yi, C.-L.; Lee, C.-F. Iron-Catalyzed Synthesis of Thioesters from Thiols and Aldehydes in Water. J. Org. Chem. 2014, 79, 4561–4568. [Google Scholar] [CrossRef] [PubMed]
- Jhuang, H.-S.; Liu, Y.-W.; Reddy, D.M.; Tzeng, Y.-Z.; Lin, W.-Y.; Lee, C.-F. Microwave-assisted Synthesis of Thioesters from Aldehydes and Thiols in Water. J. Chin. Chem. Soc. 2018, 65, 24–27. [Google Scholar] [CrossRef]
- Zhao, F.; Geng, H.-Q.; Wu, X.-F. Palladium-Catalyzed Thiocarbonylation of Alkenes toward Linear Thioesters. ACS Catal. 2021, 11, 3614–3619. [Google Scholar]
- Wang, X.; Wang, B.; Yin, X.; Yu, W.; Liao, Y.; Ye, J.; Wang, M.; Hu, L.; Liao, J. Palladium-Catalyzed Enantioselective Thiocarbonylation of Styrenes. Angew. Chem. Int. Ed. 2019, 58, 12264–12270. [Google Scholar] [CrossRef]
- Enders, D.; Lüttgen, K.; Narine, A.A. Asymmetric Sulfa-Michael Additions. Synthesis 2007, 7, 959–980. [Google Scholar] [CrossRef]
- Marigo, M.; Schulte, T.; Franzén, J.; Jørgensen, K.A. Asymmetric Multicomponent Domino Reactions and Highly Enantioselective Conjugated Addition of Thiols to α,β-Unsaturated Aldehydes. J. Am. Chem. Soc. 2005, 127, 15710–15711. [Google Scholar] [CrossRef]
- Liu, Y.; Sun, B.; Wang, B.; Wakem, M.; Deng, L. Addition of aromatic thiols to conjugated cycloalkenones, catalyzed by chiral β-hydroxy amines. A mechanistic study of homogeneous catalytic asymmetric synthesis. J. Am. Chem. Soc. 2009, 131, 418–419. [Google Scholar] [CrossRef]
- Fang, X.; Li, J.; Wang, C.-J. Organocatalytic Asymmetric Sulfa-Michael Addition of Thiols to α,β-Unsaturated Hexafluoroisopropyl Esters: Expeditious Access to (R)-Thiazesim. Org. Lett. 2013, 15, 3448–3451. [Google Scholar] [CrossRef]
- Skarżewski, J.; Zielińska-Błatej, M.; Turowska-Tyrk, I. Simple preparation of enantiomeric Michael adducts of thiophenol to chalcones: Easily available new chiral building blocks. Tetrahedron Asymmetry 2001, 12, 1923–1928. [Google Scholar] [CrossRef]
- Bołt, M.; Hanek, K.; Żak, P. Metal-free thioesterification of α, β-unsaturated aldehydes with thiols. Org. Chem. Front. 2022, 9, 4846–4853. [Google Scholar] [CrossRef]
- Chen, J.; Meng, S.; Wang, L.; Tang, H.; Huang, Y. Highly enantioselective sulfa-Michael addition reactions using N-heterocyclic carbene as a non-covalent organocatalyst. Chem. Sci. 2015, 6, 4184–4189. [Google Scholar] [CrossRef]
- Li, Y.-Z.; Wang, Y.; Du, G.-F.; Zhang, H.-Y.; Yang, H.-L.; He, L. N-Heterocyclic-Carbene-Catalyzed Sulfa-Michael additions. Asian J. Org. Chem. 2015, 4, 327–332. [Google Scholar] [CrossRef]
- Yuan, P.; Meng, S.; Chen, J.; Huang, Y. Asymmetric Sulfa-Michael Addition of α,β-Unsaturated Esters/Amides Using a Chiral N-Heterocyclic Carbene as a Noncovalent Organocatalyst. Synlett 2016, 27, 1068–1072. [Google Scholar] [CrossRef]
- Cong, Z.-S.; Li, Y.-G.; Du, G.-F.; Gu, C.-Z.; Dai, B.; He, L. N-Heterocyclic carbene-catalyzed sulfa-Michael addition of enals. Chem. Commun. 2017, 53, 13129–13132. [Google Scholar] [CrossRef] [PubMed]
- Feng, Z.-N.; Luo, J.-Y.; Zhang, Y.; Du, G.-F.; He, L. N-Heterocyclic carbene-catalyzed diastereoselective synthesis of sulfenylated indanes via sulfa-Michael–Michael (aldol) cascade reactions. Org. Biomol. Chem. 2019, 17, 4700–4704. [Google Scholar] [CrossRef] [PubMed]
- Bołt, M.; Hanek, K.; Frąckowiak, D.; Żak, P. Metal-free functionalization of SQs: A case of chemoselectivity and what ball-milling has got to do with it? Inorg. Chem. Front. 2023, 10, 4190–4196. [Google Scholar] [CrossRef]
- Bołt, M.; Mermela, A.; Hanek, K.; Żak, P. Metal-free synthesis of unsymmetric bis(thioesters). Chem. Commun. 2023, 59, 956–959. [Google Scholar] [CrossRef] [PubMed]
- Yang, D.; Yu, Y.; Wu, Y.; Feng, H.; Li, X.; Cao, H. One-Pot Regiospecific Synthesis of Indolizines: A Solvent-Free, Metal-Free, Three-Component Reaction of 2-(Pyridin-2-yl)acetates, Ynals, and Alcohols or Thiols. Org. Lett. 2018, 20, 2477–2480. [Google Scholar] [CrossRef]
- Prat, D.; Wells, A.; Hayler, J.; Sneddon, H.; McElroy, C.R.; Abou-Shehadad, S.; Dunn, P.J. CHEM21 selection guide of classical- and less classical-solvents. Green Chem. 2016, 18, 288–296. [Google Scholar] [CrossRef]
- Phillips, E.M.; Riedrich, M.; Scheidt, K.A. N-Heterocyclic Carbene-Catalyzed Conjugate Additions of Alcohols. J. Am. Chem. Soc. 2010, 132, 13179–13181. [Google Scholar] [CrossRef]
- Wang, L.; Chen, J.; Huang, Y. Highly Enantioselective Aza-Michael Reaction between Alkyl Amines and β-Trifluoromethyl β-Aryl Nitroolefins. Angew. Chem. Int. Ed. 2015, 54, 15414–15418. [Google Scholar] [CrossRef]
- Worch, J.C.; Stubbs, C.J.; Price, M.J.; Dove, A.P. Click Nucleophilic Conjugate Additions to Activated Alkynes: Exploring Thiol-yne, Amino-yne, and Hydroxyl-yne Reactions from (Bio)Organic to Polymer Chemistry. Chem. Rev. 2021, 121, 6744–6776. [Google Scholar] [CrossRef] [PubMed]
- Castarlenas, R.; Di Giuseppe, A.; Pérez-Torrente, J.J.; Oro, L.A. The emergence of transition-metal-mediated hydrothiolation of unsaturated carbon–carbon bonds: A mechanistic outlook. Angew. Chem. Int. Ed. 2013, 52, 211–222. [Google Scholar] [CrossRef] [PubMed]
- Li, Z.-Y.; Wang, Y.; Du, G.-F.; Zhang, H.-Y.; Yang, H.-L.; He, L. Organosilicon reducing reagents for stereoselective formations of silyl enol ethers from α-halo carbonyl compounds. J. Org. Chem. 2015, 4, 327–332. [Google Scholar]
- Zimmerman, H.E.; Pushechnikov, A. The Stereochemistry of Allenic Enol Tautomerism—Independent Generation and Reactivity of the Enolates. Eur. J. Org. Chem. 2006, 2006, 3491–3497. [Google Scholar] [CrossRef]
- Pareek, M.; Reddi, Y.; Sunoj, R.B. Tale of the Breslow intermediate, a central player in N-heterocyclic carbene organocatalysis: Then and now. Chem. Sci. 2021, 2, 7973–7992. [Google Scholar] [CrossRef]
- Wessels, A.; Klußmann, M.; Breugst, M.; Schlörer, N.E.; Berkessel, A. Formation of Breslow Intermediates from N-Heterocyclic Carbenes and Aldehydes Involves Autocatalysis by the Breslow Intermediate, and a Hemiacetal. Angew. Chem. Int. Ed. 2022, 61, e202117682. [Google Scholar] [CrossRef]
- Liu, S.-L.; Liu, X.; Wang, Y.; Wei, D. Biocatalytic enantioselective construction of 1,3-oxathiolan-5-ones via dynamic covalent kinetic resolution of hemithioketals. Mol. Catal. 2022, 519, 112122. [Google Scholar] [CrossRef]
- Mahatthananchai, J.; Bode, J.W. The effect of the N-mesityl group in NHC-catalyzed reactions. Chem. Sci. 2012, 3, 192–197. [Google Scholar] [CrossRef]
- Reddi, Y.; Sunoj, R.B. Origin of stereoselectivity in a chiral N-heterocyclic carbene-catalyzed desymmetrization of substituted cyclohexyl 1, 3-diketones. Org. Lett. 2012, 14, 2810–2813. [Google Scholar] [CrossRef]
- Berkessel, A.; Yatham, V.R.; Elfert, S.; Neudörfl, J.-M. Characterization of the Key Intermediates of Carbene-Catalyzed Umpolung by NMR Spectroscopy and X-Ray Diffraction: Breslow Intermediates, Homoenolates, and Azolium Enolates. Angew. Chem. Int. Ed. 2013, 52, 11158–11162. [Google Scholar] [CrossRef]
- Hans, M.; Lorkowski, J.; Demonceau, A.; Delaude, L. Efficient synthetic protocols for the preparation of common N-heterocyclic carbene precursors. Beilstein J. Org. Chem. 2015, 11, 2318–2325. [Google Scholar] [CrossRef] [PubMed]
- Anastas, P.T.; Warner, J.C. Green Chemistry: Theory and Practice; Oxford University Press: New York, NY, USA, 1998; p. 30. [Google Scholar]
- Kolb, H.C.; Finn, M.G.; Sharpless, K.B. Click Chemistry: Diverse Chemical Function from a Few Good Reactions. Angew. Chem. Int. Ed. 2001, 40, 2004–2021. [Google Scholar] [CrossRef]
- Kardela, M.; Halikowska-Tarasek, K.; Szostak, M.; Bisz, E. Enhanced activity of bulky N-heterocyclic carbenes in nickel–NHC catalyzed Kumada–Corriu cross-coupling of aryl tosylates. Catal. Sci. Technol. 2022, 12, 7275–7280. [Google Scholar] [CrossRef]
- CrysAlisPro 1.171.42.56a; Rigaku Oxford Diffraction: Warriewood, Australia, 2022.
- Sheldrick, G.M. SHELXT—Integrated space-group and crystal-structure determination. Acta Crystallogr. Sect. A Found. Crystallogr. 2015, 71, 3–8. [Google Scholar] [CrossRef] [PubMed]
- Sheldrick, G.M. Crystal structure refinement with SHELXL. Acta Crystallogr. Sect. C Struct. Chem. 2015, 71, 3–8. [Google Scholar] [CrossRef]
- Dolomanov, O.V.; Bourhis, L.J.; Gildea, R.J.; Howard, J.A.K.; Puschmann, H. OLEX2: A complete structure solution, refinement and analysis program. J. Appl. Crystallogr. 2009, 42, 339–341. [Google Scholar] [CrossRef]













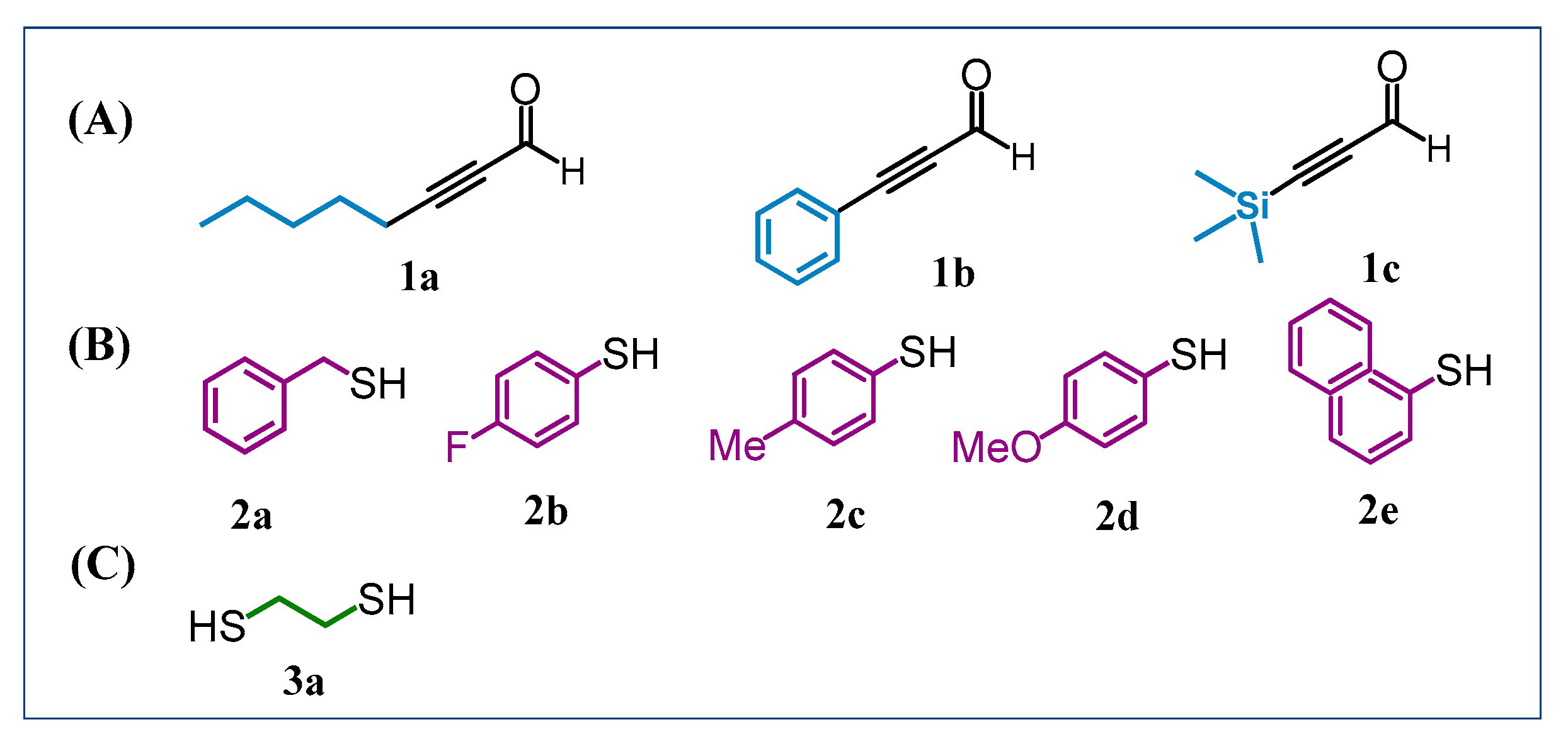
![]() | ||||||
|---|---|---|---|---|---|---|
| Entry | Solvent | Temp. [°C] | NHC-1 [mol%] | Time [e] [h] | Conv. of 1a [%] | P1:P1’ [f] [%] |
| 1 | DCE | RT | 5 | 48 | 3 | - |
| 2 | DCM | RT | 5 | 48 | 4 | - |
| 3 | n-hexane | RT | 5 | 24 | 2 | - |
| 4 | MTBE | RT | 5 | 24 | 98 | 65:35 |
| 5 | Toluene | RT | 5 | 48 | 3 | - |
| 6 | Toluene | 40 | 5 | 48 | 65 | 50:50 |
| 7 | Toluene | 60 | 5 | 48 | 95 | 40:60 |
| 8 | Acetone | 60 | 5 | 4 | 100 | 90:10 |
| 9 | Acetone | 40 | 5 | 5 | 100 | 96:4 |
| 10 | Acetone | RT | 5 | 6 | 100 | 100:0 |
| 11 | Acetone | RT | 2.5 | 24 | 91 | 100:0 |
| 12 [a] | Acetone | RT | 5 | 48 | 15 | 90:10 |
| 13 [b] | Acetone | RT | - | 48 | 0 | - |
| 14 [c] | Acetone | RT | 5 | 48 | 0 | - |
| 15 [d] | Acetone | RT | 5 | 6 | 95 | 100:0 |
| 16 | - | RT | 5 | 5 | 80 | 60:40 |
Disclaimer/Publisher’s Note: The statements, opinions and data contained in all publications are solely those of the individual author(s) and contributor(s) and not of MDPI and/or the editor(s). MDPI and/or the editor(s) disclaim responsibility for any injury to people or property resulting from any ideas, methods, instructions or products referred to in the content. |
© 2024 by the authors. Licensee MDPI, Basel, Switzerland. This article is an open access article distributed under the terms and conditions of the Creative Commons Attribution (CC BY) license (https://creativecommons.org/licenses/by/4.0/).
Share and Cite
Hanek, K.; Żak, P. Eco-Friendly Functionalization of Ynals with Thiols under Mild Conditions. Int. J. Mol. Sci. 2024, 25, 9201. https://doi.org/10.3390/ijms25179201
Hanek K, Żak P. Eco-Friendly Functionalization of Ynals with Thiols under Mild Conditions. International Journal of Molecular Sciences. 2024; 25(17):9201. https://doi.org/10.3390/ijms25179201
Chicago/Turabian StyleHanek, Kamil, and Patrycja Żak. 2024. "Eco-Friendly Functionalization of Ynals with Thiols under Mild Conditions" International Journal of Molecular Sciences 25, no. 17: 9201. https://doi.org/10.3390/ijms25179201
APA StyleHanek, K., & Żak, P. (2024). Eco-Friendly Functionalization of Ynals with Thiols under Mild Conditions. International Journal of Molecular Sciences, 25(17), 9201. https://doi.org/10.3390/ijms25179201


