Polar Glycerolipids and Membrane Lipid Rafts
Abstract
1. Introduction
2. Lateral Inhomogeneity of Membranes
3. Membrane Lipid Rafts
3.1. The Lipid Raft Hypothesis
3.2. Lipid Rafts Formation
3.3. The Size of Lipid Rafts
3.4. The Role of Lipid Proteins in the Formation of Cholesterol-Rich Domains
4. Liquid Ordered and Disordered Lipid Phases
4.1. Formation of Lo and Ld Phases in Synthetic Membranes and Giant Single-Layer Vesicles
4.2. Lo and Ld Phases in Eukaryotic Membranes
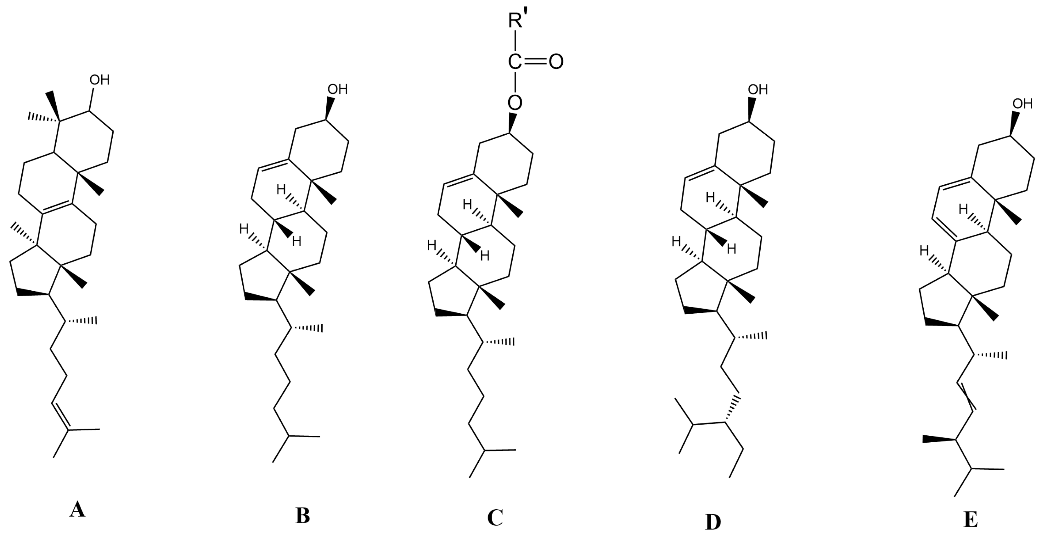
5. Contacts of Lipids with Sterols in Membranes
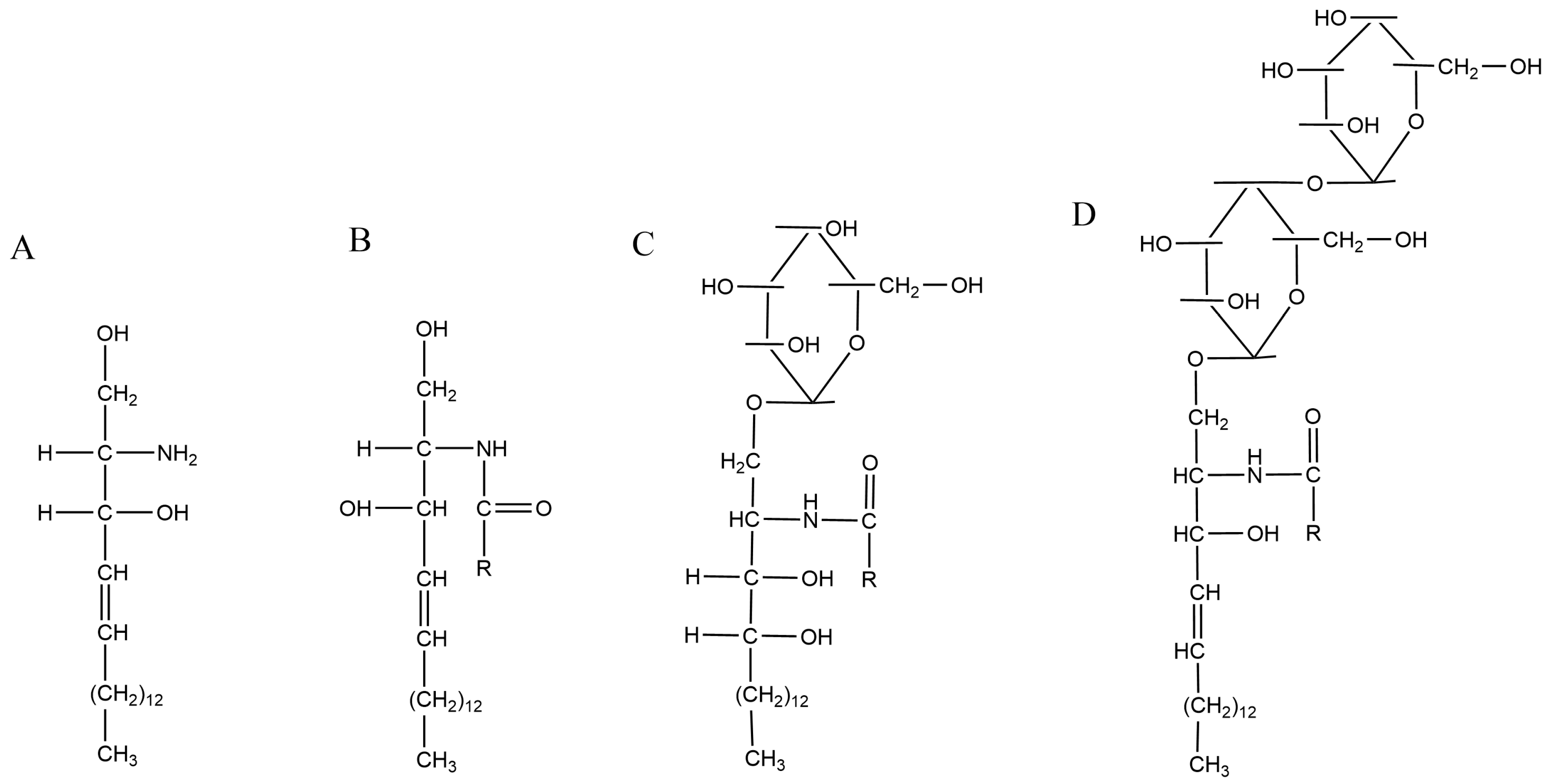
6. Molecular Contacts between Lipids in Membranes: The Role of Sphingolipids and Polar Glycerolipids
6.1. Crucial Role of Sphingolipids in Membrane Construction
6.2. Role of Polar Glycerolipids in Membranes
7. Conclusions
Author Contributions
Funding
Data Availability Statement
Conflicts of Interest
Abbreviations
References
- Bagatolli, L.A.; Ipsen, J.H.; Simonsen, A.C.; Mouritsen, O.G. An Outlook on Organization of Lipids in Membranes: Searching for a Realistic Connection with the Organization of Biological Membranes. Prog. Lipid Res. 2010, 49, 378–389. [Google Scholar] [CrossRef] [PubMed]
- Simons, K.; Sampaio, J.L. Membrane Organization and Lipid Rafts. Cold Spring Harb. Perspect. Biol. 2011, 3, a004697. [Google Scholar] [CrossRef]
- Bocharov, E.V.; Mineev, K.S.; Pavlov, K.V.; Akimov, S.A.; Kuznetsov, A.S.; Efremov, R.G.; Arseniev, A.S. Helix-Helix Interactions in Membrane Domains of Bitopic Proteins: Specificity and Role of Lipid Environment. Biochim. Biophys. Acta (BBA)—Biomembr. 2017, 1859, 561–576. [Google Scholar] [CrossRef]
- Lingwood, D.; Simons, K. Lipid Rafts As a Membrane-Organizing Principle. Science 2010, 327, 46. [Google Scholar] [CrossRef] [PubMed]
- Singer, S.J.; Nicolson, G.L. The Fluid Mosaic Model of the Structure of Cell Membranes. Science 1972, 175, 720–731. [Google Scholar] [CrossRef]
- Vist, M.R.; Davis, J.H. Phase Equilibria of Cholesterol/Dipalmitoylphosphatidylcholine Mixtures: 2H Nuclear Magnetic Resonance and Differential Scanning Calorimetry. Biochemistry 1990, 29, 451–464. [Google Scholar] [CrossRef]
- Simons, K.; Ikonen, E. Functional Rafts in Cell Membranes. Nature 1997, 387, 569–572. [Google Scholar] [CrossRef]
- Peskan, T.; Westermann, M.; Oelmüller, R. Identification of Low-Density Triton X-100-Insoluble Plasma Membrane Microdomains in Higher Plants. Eur. J. Biochem. 2000, 267, 6989–6995. [Google Scholar] [CrossRef] [PubMed]
- Simons, K.; Toomre, D. Lipid Rafts and Signal Transduction. Nat. Rev. Mol. Cell Biol. 2000, 1, 31–39. [Google Scholar] [CrossRef]
- Engelman, D.M. Membranes Are More Mosaic than Fluid. Nature 2005, 438, 578–580. [Google Scholar] [CrossRef]
- Diaz, M.L. Membrane Physiology and Biophysics in the Next Decade: An Open Balcony to Multiple Scenarios. Front. Physiol. 2010, 1, 23. [Google Scholar] [CrossRef] [PubMed]
- Zhukov, A.V. On Qualitative Composition of Membrane Lipids in Plant Cells. Russ. J. Plant Physiol. 2021, 68, 367–383. [Google Scholar] [CrossRef]
- Petruzielo, R.S.; Heberle, F.A.; Drazba, P.; Katsaras, J.; Feigenson, G.W. Phase Behavior and Domain Size in Sphingomyelin-Containing Lipid Bilayers. Biochim. Biophys. Acta (BBA)—Biomembr. 2013, 1828, 1302–1313. [Google Scholar] [CrossRef] [PubMed]
- Ando, J.; Kinoshita, M.; Cui, J.; Yamakoshi, H.; Dodo, K.; Fujita, K.; Murata, M.; Sodeoka, M. Sphingomyelin Distribution in Lipid Rafts of Artificial Monolayer Membranes Visualized by Raman Microscopy. Proc. Natl. Acad. Sci. USA 2015, 112, 4558–4563. [Google Scholar] [CrossRef] [PubMed]
- Sodt, A.J.; Pastor, R.W.; Lyman, E. Hexagonal Substructure and Hydrogen Bonding in Liquid-Ordered Phases Containing Palmitoyl Sphingomyelin. Biophys. J. 2015, 109, 948–955. [Google Scholar] [CrossRef] [PubMed]
- Somerharju, P.; Virtanen, J.A.; Cheng, K.H. Lateral Organisation of Membrane Lipids: The Superlattice View. Biochim. Biophys. Acta (BBA)—Mol. Cell Biol. Lipids 1999, 1440, 32–48. [Google Scholar] [CrossRef]
- Neumann, A.K.; Itano, M.S.; Jacobson, K. Understanding Lipid Rafts and Other Related Membrane Domains. F1000 Biol. Rep. 2010, 2, 31. [Google Scholar] [CrossRef] [PubMed]
- Caudron, F.; Barral, Y. Septins and the Lateral Compartmentalization of Eukaryotic Membranes. Dev. Cell 2009, 16, 493–506. [Google Scholar] [CrossRef] [PubMed]
- Gronnier, J.; Legrand, A.; Loquet, A.; Habenstein, B.; Germain, V.; Mongrand, S. Mechanisms Governing Subcompartmentalization of Biological Membranes. Curr. Opin. Plant Biol. 2019, 52, 114–123. [Google Scholar] [CrossRef]
- Mouritsen, O.G. Physical Chemistry of Curvature and Curvature Stress in Membranes. Curr. Phys. Chem. 2013, 3, 17–26. [Google Scholar] [CrossRef]
- Marrink, S.J.; Corradi, V.; Souza, P.C.T.; Ingólfsson, H.I.; Tieleman, D.P.; Sansom, M.S.P. Computational Modeling of Realistic Cell Membranes. Chem. Rev. 2019, 119, 6184–6226. [Google Scholar] [CrossRef] [PubMed]
- Kaiser, H.-J.; Orlowski, A.; Rog, T.; Nyholm, T.; Chai, W.; Feizl, T.; Lingwood, D.; Vattulainen, I.; Simons, K. Lateral Sorting in Model Membranes by Cholesterol-Mediated Hydrophobic Matching. Proc. Natl. Acad. Sci. USA 2011, 108, 16628–16633. [Google Scholar] [CrossRef] [PubMed]
- Chichili, G.R.; Rodgers, W. Cytoskeleton–Membrane Interactions in Membrane Raft Structure. Cell. Mol. Life Sci. 2009, 66, 2319–2328. [Google Scholar] [CrossRef] [PubMed]
- Levental, K.R.; Levental, I. Chapter Two—Giant Plasma Membrane Vesicles: Models for Understanding Membrane Organization. In Current Topics in Membranes; Kenworthy, A.K., Ed.; Lipid Domains; Academic Press: Cambridge, MA, USA, 2015; Volume 75, pp. 25–57. [Google Scholar]
- Grosjean, K.; Der, C.; Robert, F.; Thomas, D.; Mongrand, S.; Simon-Plas, F.; Gerbeau-Pissot, P. Interactions between Lipids and Proteins Are Critical for Organization of Plasma Membrane-Ordered Domains in Tobacco BY-2 Cells. J. Exp. Bot. 2018, 69, 3545–3557. [Google Scholar] [CrossRef]
- Lingwood, D.; Kaiser, H.-J.; Levental, I.; Simons, K. Lipid Rafts as Functional Heterogeneity in Cell Membranes. Biochem. Soc. Trans. 2009, 37, 955–960. [Google Scholar] [CrossRef]
- Murata, M.; Matsumori, N.; Kinoshita, M.; London, E. Molecular Substructure of the Liquid-Ordered Phase Formed by Sphingomyelin and Cholesterol: Sphingomyelin Clusters Forming Nano-Subdomains Are a Characteristic Feature. Biophys. Rev. 2022, 14, 655–678. [Google Scholar] [CrossRef] [PubMed]
- Sengupta, P.; Baird, B.; Holowka, D. Lipid Rafts, Fluid/Fluid Phase Separation, and Their Relevance to Plasma Membrane Structure and Function. Semin. Cell Dev. Biol. 2007, 18, 583–590. [Google Scholar] [CrossRef]
- Heerklotz, H. Triton Promotes Domain Formation in Lipid Raft Mixtures. Biophys. J. 2002, 83, 2693–2701. [Google Scholar] [CrossRef] [PubMed]
- Kaiser, H.-J.; Lingwood, D.; Levental, I.; Sampaio, J.L.; Kalvodova, L.; Rajendran, L.; Simons, K. Order of Lipid Phases in Model and Plasma Membranes. Proc. Natl. Acad. Sci. USA 2009, 106, 16645–16650. [Google Scholar] [CrossRef]
- Ozolina, N.V.; Nesterkina, I.S.; Gurina, V.V.; Nurminsky, V.N. Non-Detergent Isolation of Membrane Structures from Beet Plasmalemma and Tonoplast Having Lipid Composition Characteristic of Rafts. J. Membr. Biol. 2020, 253, 479–489. [Google Scholar] [CrossRef]
- Schmid, F. Physical Mechanisms of Micro- and Nanodomain Formation in Multicomponent Lipid Membranes. Biochim. Biophys. Acta (BBA)—Biomembr. 2017, 1859, 509–528. [Google Scholar] [CrossRef] [PubMed]
- Lawrence, J.C.; Saslowsky, D.E.; Edwardson, J.M.; Henderson, R.M. Real-Time Analysis of the Effects of Cholesterol on Lipid Raft Behavior Using Atomic Force Microscopy. Biophys. J. 2003, 84, 1827–1832. [Google Scholar] [CrossRef] [PubMed]
- Yano, Y.; Hanashima, S.; Tsuchikawa, H.; Yasuda, T.; Slotte, J.P.; London, E.; Murata, M. Sphingomyelins and Ent-Sphingomyelins Form Homophilic Nano-Subdomains within Liquid Ordered Domains. Biophys. J. 2020, 119, 539–552. [Google Scholar] [CrossRef] [PubMed]
- Ozolina, N.V.; Kapustina, I.S.; Gurina, V.V.; Nurminsky, V.N. Role of Tonoplast Microdomains in Plant Cell Protection against Osmotic Stress. Planta 2022, 255, 65. [Google Scholar] [CrossRef] [PubMed]
- Brown, D.A.; London, E. Structure and Function of Sphingolipid- and Cholesterol-Rich Membrane Rafts *. J. Biol. Chem. 2000, 275, 17221–17224. [Google Scholar] [CrossRef] [PubMed]
- Niemelä, P.S.; Ollila, S.; Hyvönen, M.T.; Karttunen, M.; Vattulainen, I. Assessing the Nature of Lipid Raft Membranes. PLOS Comput. Biol. 2007, 3, e34. [Google Scholar] [CrossRef] [PubMed]
- Quinn, P.J. A Lipid Matrix Model of Membrane Raft Structure. Prog. Lipid Res. 2010, 49, 390–406. [Google Scholar] [CrossRef] [PubMed]
- Klymchenko, A.S.; Kreder, R. Fluorescent Probes for Lipid Rafts: From Model Membranes to Living Cells. Chem. Biol. 2014, 21, 97–113. [Google Scholar] [CrossRef] [PubMed]
- Lichtenberg, D.; Goñi, F.M.; Heerklotz, H. Detergent-Resistant Membranes Should Not Be Identified with Membrane Rafts. Trends Biochem. Sci. 2005, 30, 430–436. [Google Scholar] [CrossRef]
- Grzybek, M.; Kozubek, A.; Dubielecka, P.; Sikorski, A. Rafts—The Current Picture. Folia Histochem. Cytobiol./Pol. Acad. Sci. Pol. Histochem. Cytochem. Soc. 2005, 43, 3–10. [Google Scholar]
- Sapuri-Butti, A.R.; Wang, L.; Tetali, S.D.; Rutledge, J.C.; Parikh, A.N. Interactions of Different Lipoproteins with Supported Phospholipid Raft Membrane (SPRM) Patterns to Understand Similar in-Vivo Processes. Biochim. Biophys. Acta (BBA)—Biomembr. 2021, 1863, 183535. [Google Scholar] [CrossRef] [PubMed]
- Potma, E.O.; Xie, X.S. Direct Visualization of Lipid Phase Segregation in Single Lipid Bilayers with Coherent Anti-Stokes Raman Scattering Microscopy. ChemPhysChem 2005, 6, 77–79. [Google Scholar] [CrossRef] [PubMed]
- Pralle, A.; Keller, P.; Florin, E.L.; Simons, K.; Hörber, J.K. Sphingolipid-Cholesterol Rafts Diffuse as Small Entities in the Plasma Membrane of Mammalian Cells. J. Cell Biol. 2000, 148, 997–1008. [Google Scholar] [CrossRef]
- Cebecauer, M.; Amaro, M.; Jurkiewicz, P.; Sarmento, M.J.; Šachl, R.; Cwiklik, L.; Hof, M. Membrane Lipid Nanodomains. Chem. Rev. 2018, 118, 11259–11297. [Google Scholar] [CrossRef] [PubMed]
- Pathak, P.; London, E. The Effect of Membrane Lipid Composition on the Formation of Lipid Ultrananodomains. Biophys. J. 2015, 109, 1630–1638. [Google Scholar] [CrossRef] [PubMed]
- Efremov, R.G. Dynamic “Molecular Portraits” of Biomembranes Drawn by Their Lateral Nanoscale Inhomogeneities. Int. J. Mol. Sci. 2021, 22, 6250. [Google Scholar] [CrossRef] [PubMed]
- Quinn, P.J. Lipid–Lipid Interactions in Bilayer Membranes: Married Couples and Casual Liaisons. Prog. Lipid Res. 2012, 51, 179–198. [Google Scholar] [CrossRef] [PubMed]
- Kure, J.L.; Andersen, C.B.; Mortensen, K.I.; Wiseman, P.W.; Arnspang, E.C. Revealing Plasma Membrane Nano-Domains with Diffusion Analysis Methods. Membranes 2020, 10, E314. [Google Scholar] [CrossRef]
- Keller, H.; Lorizate, M.; Schwille, P. PI(4,5)P2 Degradation Promotes the Formation of Cytoskeleton-Free Model Membrane Systems. Chemphyschem 2009, 10, 2805–2812. [Google Scholar] [CrossRef]
- Canner, S.W.; Feller, S.E.; Wassall, S.R. Molecular Organization of a Raft-like Domain in a Polyunsaturated Phospholipid Bilayer: A Supervised Machine Learning Analysis of Molecular Dynamics Simulations. J. Phys. Chem. B 2021, 125, 13158–13167. [Google Scholar] [CrossRef]
- Goñi, F.M.; Alonso, A.; Contreras, F.X. Membrane Nanodomains. In Encyclopedia of Life Sciences; Wiley: Hoboken, NJ, USA, 2020; pp. 1–8. ISBN 978-0-470-01590-2. [Google Scholar]
- Eggeling, C.; Ringemann, C.; Medda, R.; Schwarzmann, G.; Sandhoff, K.; Polyakova, S.; Belov, V.N.; Hein, B.; von Middendorff, C.; Schönle, A.; et al. Direct Observation of the Nanoscale Dynamics of Membrane Lipids in a Living Cell. Nature 2009, 457, 1159–1162. [Google Scholar] [CrossRef]
- Kusumi, A.; Suzuki, K.G.N.; Kasai, R.S.; Ritchie, K.; Fujiwara, T.K. Hierarchical Mesoscale Domain Organization of the Plasma Membrane. Trends Biochem. Sci. 2011, 36, 604–615. [Google Scholar] [CrossRef]
- Varma, R.; Mayor, S. GPI-Anchored Proteins Are Organized in Submicron Domains at the Cell Surface. Nature 1998, 394, 798–801. [Google Scholar] [CrossRef] [PubMed]
- Piao, J.; Yuan, W.; Dong, Y. Recent Progress of DNA Nanostructures on Amphiphilic Membranes. Macromol. Biosci. 2021, 21, e2000440. [Google Scholar] [CrossRef] [PubMed]
- Killian, J.A.; Nyholm, T.K. Peptides in Lipid Bilayers: The Power of Simple Models. Curr. Opin. Struct. Biol. 2006, 16, 473–479. [Google Scholar] [CrossRef]
- Róg, T.; Vattulainen, I. Cholesterol, Sphingolipids, and Glycolipids: What Do We Know about Their Role in Raft-like Membranes? Chem. Phys. Lipids 2014, 184, 82–104. [Google Scholar] [CrossRef]
- Levental, I.; Lingwood, D.; Grzybek, M.; Coskun, U.; Simons, K. Palmitoylation Regulates Raft Affinity for the Majority of Integral Raft Proteins. Proc. Natl. Acad. Sci. USA 2010, 107, 22050–22054. [Google Scholar] [CrossRef]
- Epand, R.M. Cholesterol and the Interaction of Proteins with Membrane Domains. Prog. Lipid Res. 2006, 45, 279–294. [Google Scholar] [CrossRef] [PubMed]
- Zimmerberg, J.; Gawrisch, K. The Physical Chemistry of Biological Membranes. Nat. Chem. Biol. 2006, 2, 564–567. [Google Scholar] [CrossRef]
- Zhang, Z.; Bhide, S.Y.; Berkowitz, M.L. Molecular Dynamics Simulations of Bilayers Containing Mixtures of Sphingomyelin with Cholesterol and Phosphatidylcholine with Cholesterol. J. Phys. Chem. B 2007, 111, 12888–12897. [Google Scholar] [CrossRef]
- Sibold, J.; Kettelhoit, K.; Vuong, L.; Liu, F.; Werz, D.B.; Steinem, C. Synthesis of Gb3 Glycosphingolipids with Labeled Head Groups: Distribution in Phase-Separated Giant Unilamellar Vesicles. Angew. Chem. 2019, 131, 17969–17977. [Google Scholar] [CrossRef]
- Yasuda, T.; Kinoshita, M.; Murata, M.; Matsumori, N. Detailed Comparison of Deuterium Quadrupole Profiles between Sphingomyelin and Phosphatidylcholine Bilayers. Biophys. J. 2014, 106, 631–638. [Google Scholar] [CrossRef] [PubMed]
- Ahmed, S.N.; Brown, D.A.; London, E. On the Origin of Sphingolipid/Cholesterol-Rich Detergent-Insoluble Cell Membranes: Physiological Concentrations of Cholesterol and Sphingolipid Induce Formation of a Detergent-Insoluble, Liquid-Ordered Lipid Phase in Model Membranes. Biochemistry 1997, 36, 10944–10953. [Google Scholar] [CrossRef] [PubMed]
- Wu, H.-M.; Lin, Y.-H.; Yen, T.-C.; Hsieh, C.-L. Nanoscopic Substructures of Raft-Mimetic Liquid-Ordered Membrane Domains Revealed by High-Speed Single-Particle Tracking. Sci. Rep. 2016, 6, 20542. [Google Scholar] [CrossRef] [PubMed]
- Ramstedt, B.; Slotte, J.P. Sphingolipids and the Formation of Sterol-Enriched Ordered Membrane Domains. Biochim. Biophys. Acta (BBA)—Biomembr. 2006, 1758, 1945–1956. [Google Scholar] [CrossRef] [PubMed]
- Soloviov, D.; Cai, Y.Q.; Bolmatov, D.; Suvorov, A.; Zhernenkov, K.; Zav’yalov, D.; Bosak, A.; Uchiyama, H.; Zhernenkov, M. Functional Lipid Pairs as Building Blocks of Phase-Separated Membranes. Proc. Natl. Acad. Sci. USA 2020, 117, 4749–4757. [Google Scholar] [CrossRef] [PubMed]
- Lindblom, G.; Orädd, G. Lipid Lateral Diffusion and Membrane Heterogeneity. Biochim. Biophys. Acta (BBA)—Biomembr. 2009, 1788, 234–244. [Google Scholar] [CrossRef]
- Raghupathy, R.; Anilkumar, A.A.; Polley, A.; Singh, P.P.; Yadav, M.; Johnson, C.; Suryawanshi, S.; Saikam, V.; Sawant, S.D.; Panda, A.; et al. Transbilayer Lipid Interactions Mediate Nanoclustering of Lipid-Anchored Proteins. Cell 2015, 161, 581–594. [Google Scholar] [CrossRef]
- Ingólfsson, H.I.; Melo, M.N.; van Eerden, F.J.; Arnarez, C.; Lopez, C.A.; Wassenaar, T.A.; Periole, X.; de Vries, A.H.; Tieleman, D.P.; Marrink, S.J. Lipid Organization of the Plasma Membrane. J. Am. Chem. Soc. 2014, 136, 14554–14559. [Google Scholar] [CrossRef] [PubMed]
- Yano, Y.; Hanashima, S.; Yasuda, T.; Tsuchikawa, H.; Matsumori, N.; Kinoshita, M.; Al Sazzad, M.A.; Slotte, J.P.; Murata, M. Sphingomyelin Stereoisomers Reveal That Homophilic Interactions Cause Nanodomain Formation. Biophys. J. 2018, 115, 1530–1540. [Google Scholar] [CrossRef]
- Quinn, P.J.; Wolf, C. The Liquid-Ordered Phase in Membranes. Biochim. Biophys. Acta 2009, 1788, 33–46. [Google Scholar] [CrossRef] [PubMed]
- Rondelli, V.; Koutsioubas, A.; Pršić, J.; Deboever, E.; Crowet, J.M.; Lins, L.; Deleu, M. Sitosterol and Glucosylceramide Cooperative Transversal and Lateral Uneven Distribution in Plant Membranes. Sci. Rep. 2021, 11, 21618. [Google Scholar] [CrossRef] [PubMed]
- Rheinstädter, M.C.; Mouritsen, O.G. Small-Scale Structure in Fluid Cholesterol–Lipid Bilayers. Curr. Opin. Colloid Interface Sci. 2013, 18, 440–447. [Google Scholar] [CrossRef]
- Ohvo-Rekilä, H.; Ramstedt, B.; Leppimäki, P.; Peter Slotte, J. Cholesterol Interactions with Phospholipids in Membranes. Prog. Lipid Res. 2002, 41, 66–97. [Google Scholar] [CrossRef] [PubMed]
- Zhukov, A.V.; Kusnetsova, E.I.; Vereshchagin, A.G. Mild Non-Enzymatic Hydrolysis of an Ester Bond between the Orthophosphoric Acid and Ethanolamine Residues in Phosphatidylethanolamines. Chem. Phys. Lipids 1996, 82, 1–6. [Google Scholar] [CrossRef]
- Bohinc, K.; Špadina, M.; Reščič, J.; Shimokawa, N.; Spada, S. Influence of Charge Lipid Head Group Structures on Electric Double Layer Properties. J. Chem. Theory Comput. 2022, 18, 448–460. [Google Scholar] [CrossRef]
- Enoki, T.A.; Heberle, F.A.; Feigenson, G.W. FRET Detects the Size of Nanodomains for Coexisting Liquid-Disordered and Liquid-Ordered Phases. Biophys. J. 2018, 114, 1921–1935. [Google Scholar] [CrossRef]




| № | 1 | 2 | 3 | 4 | 5 | 6 | 7 | 8 | 9 | 10 | 11 | 12 |
|---|---|---|---|---|---|---|---|---|---|---|---|---|
| Chol | + | + | + | + | + | + | + | + | + | + | + | + |
| PSM | + | + | + | + | + | + | ||||||
| DPPC | + | + | + | + | + | |||||||
| POPC | + | + | + | + | ||||||||
| DOPC | + | + | + | + | + | + | ||||||
| Cer | + | + | + | |||||||||
| References | [13,64,65,66] | [13,14,15,47,48,65] | [13,14,15,28,37] | [67] | [67] | [13] | [68] | Prop-osed | Prop-osed | Prop-osed | [51] | Prop-osed |
Disclaimer/Publisher’s Note: The statements, opinions and data contained in all publications are solely those of the individual author(s) and contributor(s) and not of MDPI and/or the editor(s). MDPI and/or the editor(s) disclaim responsibility for any injury to people or property resulting from any ideas, methods, instructions or products referred to in the content. |
© 2024 by the authors. Licensee MDPI, Basel, Switzerland. This article is an open access article distributed under the terms and conditions of the Creative Commons Attribution (CC BY) license (https://creativecommons.org/licenses/by/4.0/).
Share and Cite
Zhukov, A.; Vereshchagin, M. Polar Glycerolipids and Membrane Lipid Rafts. Int. J. Mol. Sci. 2024, 25, 8325. https://doi.org/10.3390/ijms25158325
Zhukov A, Vereshchagin M. Polar Glycerolipids and Membrane Lipid Rafts. International Journal of Molecular Sciences. 2024; 25(15):8325. https://doi.org/10.3390/ijms25158325
Chicago/Turabian StyleZhukov, Anatoly, and Mikhail Vereshchagin. 2024. "Polar Glycerolipids and Membrane Lipid Rafts" International Journal of Molecular Sciences 25, no. 15: 8325. https://doi.org/10.3390/ijms25158325
APA StyleZhukov, A., & Vereshchagin, M. (2024). Polar Glycerolipids and Membrane Lipid Rafts. International Journal of Molecular Sciences, 25(15), 8325. https://doi.org/10.3390/ijms25158325

