The Association of Genetic Markers Involved in Muscle Performance Responding to Lactate Levels during Physical Exercise Therapy by Nordic Walking in Patients with Long COVID Syndrome: A Nonrandomized Controlled Pilot Study
Abstract
1. Introduction
2. Results
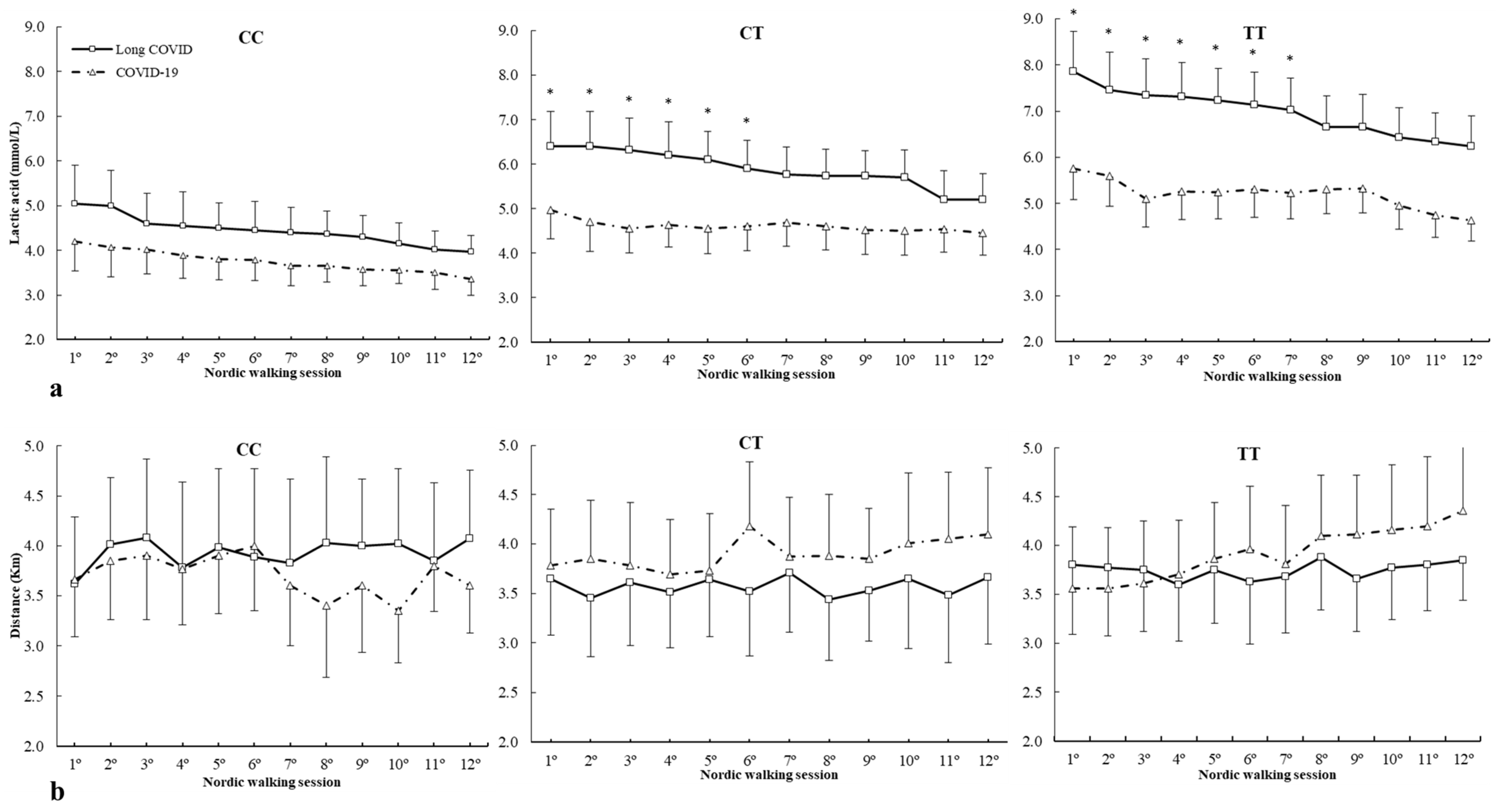
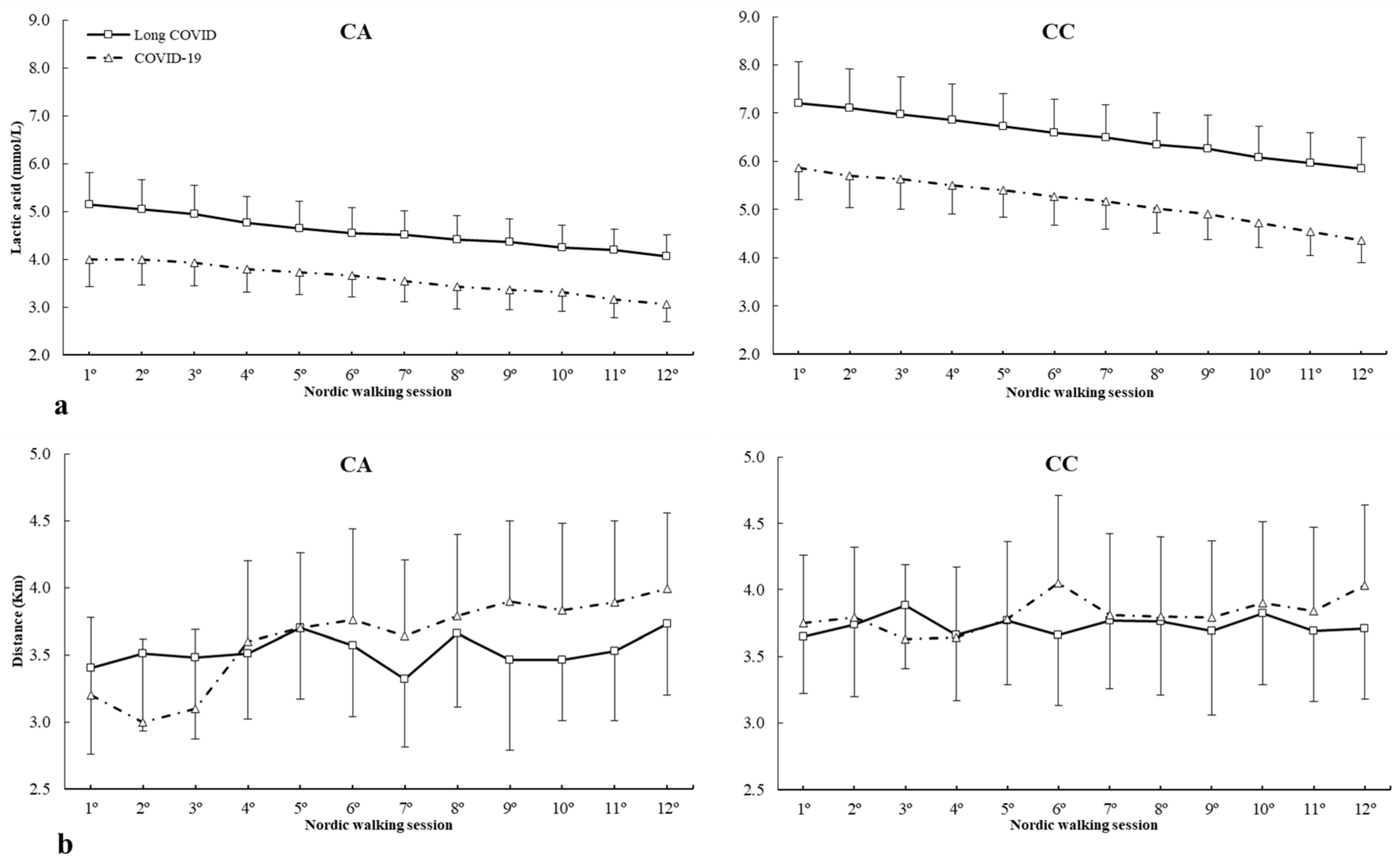
2.1. ACE
2.2. ACTN3
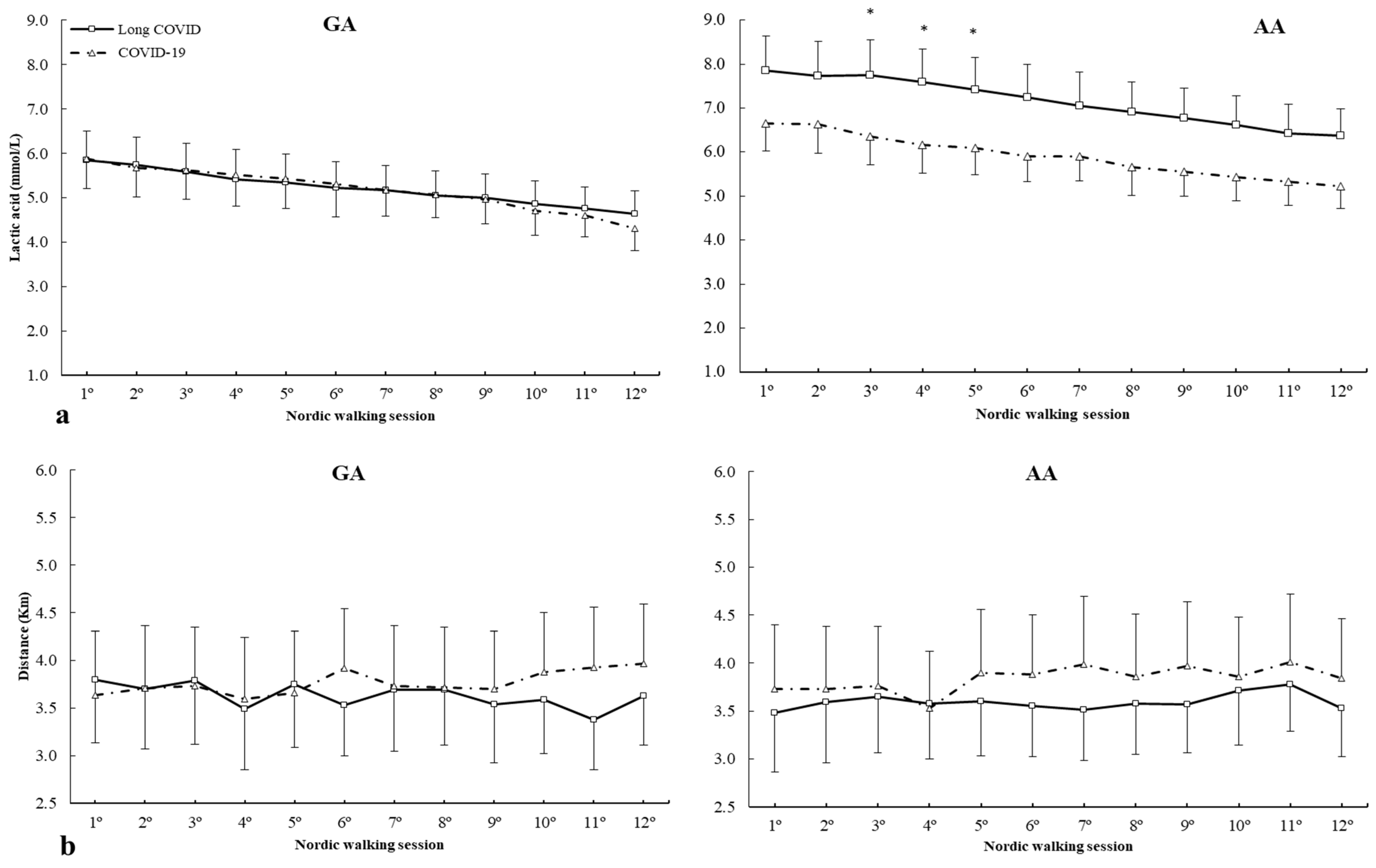
2.3. AMPD1
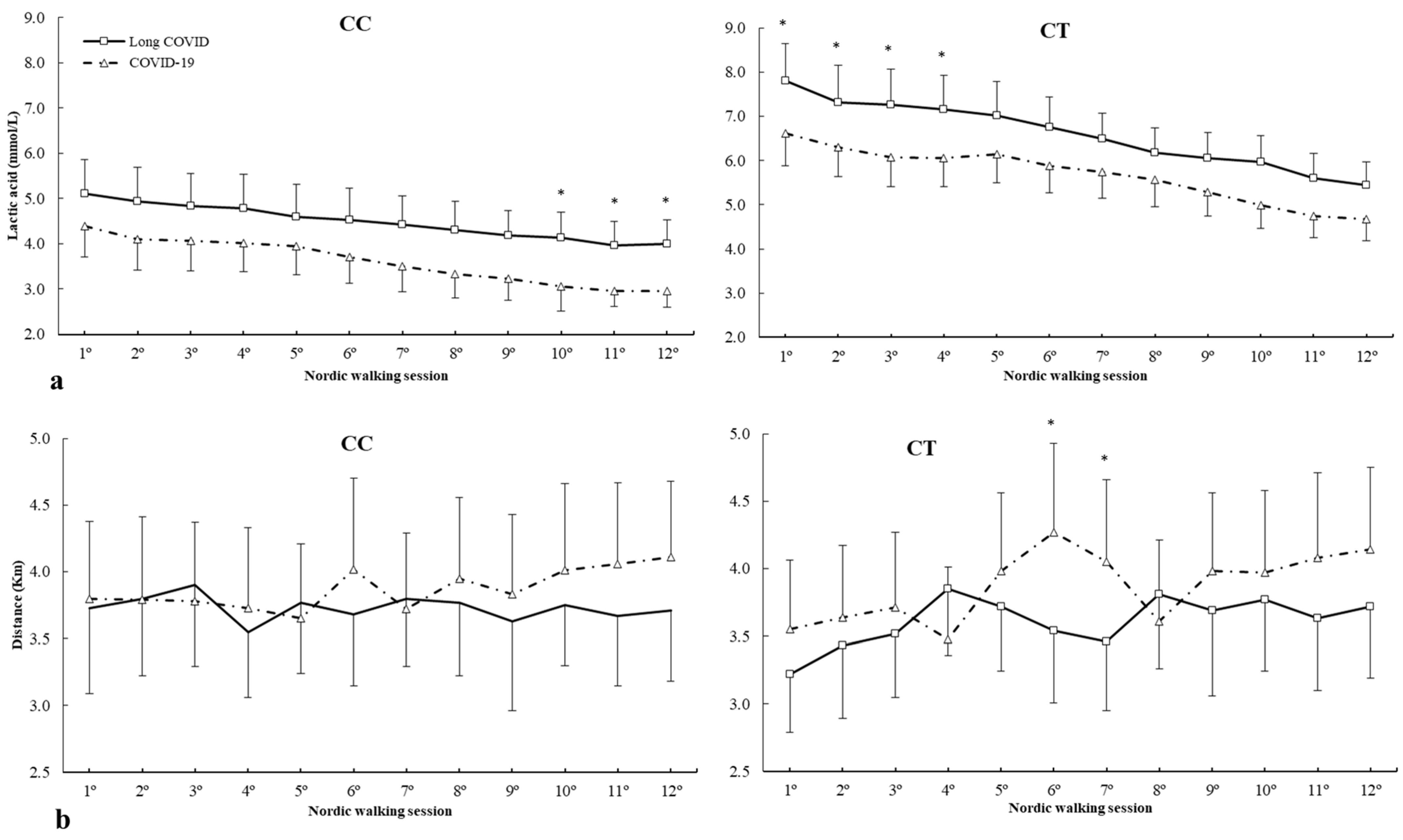
2.4. CKM
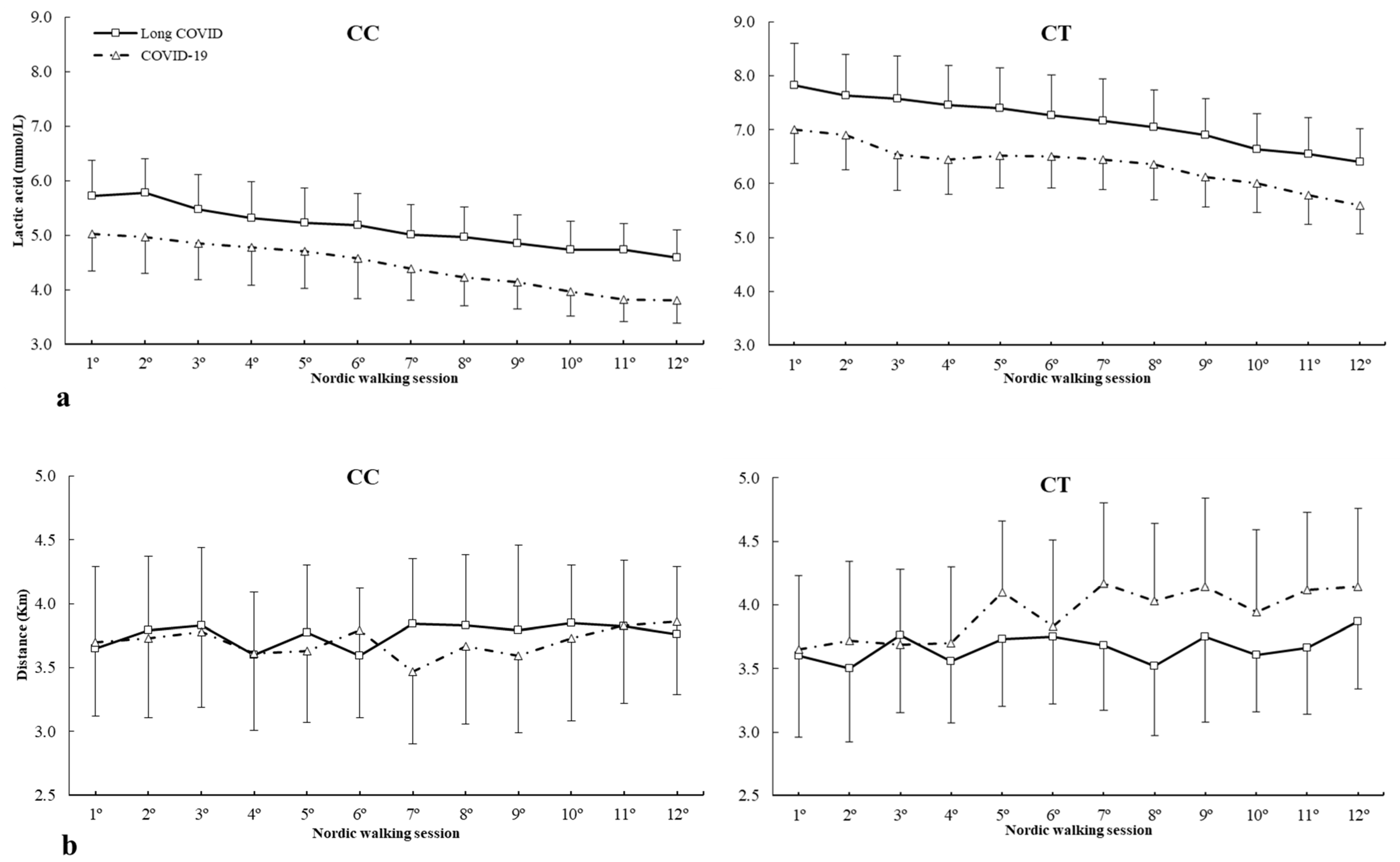
2.5. MLCK
3. Discussion
4. Materials and Methods
4.1. Study Design
4.2. Patients
4.3. Desoxyribonucleic Acid (DNA) Sample Collecting and Genotyping
4.4. Nordic Walking Program
4.5. Sample Collection
4.6. Outcome Measures
4.7. Statistical Analysis
5. Conclusions
Author Contributions
Funding
Institutional Review Board Statement
Informed Consent Statement
Data Availability Statement
Acknowledgments
Conflicts of Interest
References
- Callard, F.; Perego, E. How and why patients made Long Covid. Soc. Sci. Med. 2021, 268, 113426. [Google Scholar] [CrossRef] [PubMed]
- Shah, W.; Hillman, T.; Playford, E.D.; Hishmeh, L. Managing the long term effects of COVID-19: Summary of NICE, SIGN, and RCGP rapid guideline. BMJ 2021, 372, n136. [Google Scholar] [CrossRef] [PubMed]
- Burnett, D.M.; Skinner, C.E. Year in Review: Long COVID and Pulmonary Rehabilitation. Respir. Care 2023, 68, 846–851. [Google Scholar] [CrossRef] [PubMed]
- Besnier, F.; Bérubé, B.; Malo, J.; Gagnon, C.; Grégoire, C.A.; Juneau, M.; Simard, F.; L’Allier, P.; Nigam, A.; Iglésies-Grau, J.; et al. Cardiopulmonary Rehabilitation in Long-COVID-19 Patients with Persistent Breathlessness and Fatigue: The COVID-Rehab Study. Int. J. Environ. Res. Public Health 2022, 19, 4133. [Google Scholar] [CrossRef] [PubMed]
- Nopp, S.; Moik, F.; Klok, F.A.; Gattinger, D.; Petrovic, M.; Vonbank, K.; Koczulla, A.R.; Ay, C.; Zwick, R.H. Outpatient Pulmonary Rehabilitation in Patients with Long COVID Improves Exercise Capacity, Functional Status, Dyspnea, Fatigue, and Quality of Life. Respiration 2022, 101, 593–601. [Google Scholar] [CrossRef] [PubMed]
- Dennis, A.; Wamil, M.; Alberts, J.; Oben, J.; Cuthbertson, D.J.; Wootton, D.; Crooks, M.; Gabbay, M.; Brady, M.; Hishmeh, L.; et al. Multiorgan impairment in low-risk individuals with post-COVID-19 syndrome: A prospective, community-based study. BMJ Open 2021, 11, e048391. [Google Scholar] [CrossRef] [PubMed]
- Tziolos, N.R.; Ioannou, P.; Baliou, S.; Kofteridis, D.P. Long COVID-19 Pathophysiology: What Do We Know So Far? Microorganisms 2023, 11, 2458. [Google Scholar] [CrossRef] [PubMed]
- Montes-Ibarra, M.; Oliveira, C.L.P.; Orsso, C.E.; Landi, F.; Marzetti, E.; Prado, C.M. The Impact of Long COVID-19 on Muscle Health. Clin. Geriatr. Med. 2022, 38, 545–557. [Google Scholar] [CrossRef] [PubMed]
- Gérard, M.; Mahmutovic, M.; Malgras, A.; Michot, N.; Scheyer, N.; Jaussaud, R.; Nguyen-Thi, P.L.; Quilliot, D. Long-Term Evolution of Malnutrition and Loss of Muscle Strength after COVID-19: A Major and Neglected Component of Long COVID-19. Nutrients 2021, 13, 3964. [Google Scholar] [CrossRef]
- Burgess, L.C.; Venugopalan, L.; Badger, J.; Street, T.; Alon, G.; Jarvis, J.C.; Wainwright, T.W.; Everington, T.; Taylor, P.; Swain, I.D. Effect of neuromuscular electrical stimulation on the recovery of people with COVID-19 admitted to the intensive care unit: A narrative review. J. Rehabil. Med. 2021, 53, jrm00164. [Google Scholar] [CrossRef]
- Hashmi, M.D.; Alnababteh, M.; Vedantam, K.; Alunikummannil, J.; Oweis, E.S.; Shorr, A.F. Assessing the need for transfer to the intensive care unit for Coronavirus-19 disease: Epidemiology and risk factors. Respir. Med. 2020, 174, 106203. [Google Scholar] [CrossRef] [PubMed]
- Morrow, A.; Gray, S.R.; Bayes, H.K.; Sykes, R.; McGarry, E.; Anderson, D.; Boiskin, D.; Burke, C.; Cleland, J.G.F.; Goodyear, C.; et al. Prevention and early treatment of the long-term physical effects of COVID-19 in adults: Design of a randomised controlled trial of resistance exercise-CISCO-21. Trials 2022, 23, 660. [Google Scholar] [CrossRef]
- Jimeno-Almazán, A.; Franco-López, F.; Buendía-Romero, Á.; Martínez-Cava, A.; Sánchez-Agar, J.A.; Sánchez-Alcaraz Martínez, B.J.; Courel-Ibáñez, J.; Pallarés, J.G. Rehabilitation for post-COVID-19 condition through a supervised exercise intervention: A randomized controlled trial. Scand. J. Med. Sci. Sports 2022, 32, 1791–1801. [Google Scholar] [CrossRef] [PubMed]
- Jimeno-Almazán, A.; Pallarés, J.G.; Buendía-Romero, Á.; Martínez-Cava, A.; Franco-López, F.; Sánchez-Alcaraz Martínez, B.J.; Bernal-Morel, E.; Courel-Ibáñez, J. Post-COVID-19 Syndrome and the Potential Benefits of Exercise. Int. J. Environ. Res. Public Health 2021, 18, 5329. [Google Scholar] [CrossRef] [PubMed]
- Cano-de-la-Cuerda, R.; Jiménez-Antona, C.; Melián-Ortiz, A.; Molero-Sánchez, A.; Gil-de Miguel, Á.; Lizcano-Álvarez, Á.; Hernández-Barrera, V.; Varillas-Delgado, D.; Laguarta-Val, S. Construct Validity and Test-Retest Reliability of a Free Mobile Application to Evaluate Aerobic Capacity and Endurance in Post-COVID-19 Syndrome Patients—A Pilot Study. J. Clin. Med. 2022, 12, 131. [Google Scholar] [CrossRef] [PubMed]
- Kalil-Filho, R.; Saretta, R.; Franci, A.; Baracioli, L.M.; Galas, F.; Gil, J.S.; Ferino, A.; Giacovone, C.; Oliveira, I.; Souza, J.; et al. Post-COVID-19 Cardiopulmonary Symptoms: Predictors and Imaging Features in Patients after Hospital Discharge. Arq. Bras. Cardiol. 2023, 120, e20220642. [Google Scholar] [CrossRef] [PubMed]
- Piotrowicz, K.; Gąsowski, J.; Michel, J.P.; Veronese, N. Post-COVID-19 acute sarcopenia: Physiopathology and management. Aging Clin. Exp. Res. 2021, 33, 2887–2898. [Google Scholar] [CrossRef] [PubMed]
- Dotan, A.; David, P.; Arnheim, D.; Shoenfeld, Y. The autonomic aspects of the post-COVID19 syndrome. Autoimmun. Rev. 2022, 21, 103071. [Google Scholar] [CrossRef] [PubMed]
- Colas, C.; Le Berre, Y.; Fanget, M.; Savall, A.; Killian, M.; Goujon, I.; Labeix, P.; Bayle, M.; Féasson, L.; Roche, F.; et al. Physical Activity in Long COVID: A Comparative Study of Exercise Rehabilitation Benefits in Patients with Long COVID, Coronary Artery Disease and Fibromyalgia. Int. J. Environ. Res. Public Health 2023, 20, 6513. [Google Scholar] [CrossRef]
- Varillas-Delgado, D.; Morencos, E.; Gutiérrez-Hellín, J.; Aguilar-Navarro, M.; Muñoz, A.; Mendoza Láiz, N.; Perucho, T.; Maestro, A.; Tellería-Orriols, J.J. Genetic profiles to identify talents in elite endurance athletes and professional football players. PLoS ONE 2022, 17, e0274880. [Google Scholar] [CrossRef]
- Hughes, D.C.; Day, S.H.; Ahmetov, I.I.; Williams, A.G. Genetics of muscle strength and power: Polygenic profile similarity limits skeletal muscle performance. J. Sports Sci. 2011, 29, 1425–1434. [Google Scholar] [CrossRef] [PubMed]
- Maestro, A.; Del Coso, J.; Aguilar-Navarro, M.; Gutiérrez-Hellín, J.; Morencos, E.; Revuelta, G.; Ruiz Casares, E.; Perucho, T.; Varillas-Delgado, D. Genetic profile in genes associated with muscle injuries and injury etiology in professional soccer players. Front. Genet. 2022, 13, 1035899. [Google Scholar] [CrossRef] [PubMed]
- Varillas Delgado, D.; Tellería Orriols, J.J.; Monge Martín, D.; Del Coso, J. Genotype scores in energy and iron-metabolising genes are higher in elite endurance athletes than in nonathlete controls. Appl. Physiol. Nutr. Metab. 2020, 45, 1225–1231. [Google Scholar] [CrossRef] [PubMed]
- Varillas Delgado, D.; Telleria Orriols, J.J.; Martin Saborido, C. Liver-Metabolizing Genes and Their Relationship to the Performance of Elite Spanish Male Endurance Athletes; a Prospective Transversal Study. Sports Med. Open 2019, 5, 50. [Google Scholar] [CrossRef] [PubMed]
- Vasudeva, K.; Balyan, R.; Munshi, A. ACE-Triggered Hypertension Incites Stroke: Genetic, Molecular, and Therapeutic Aspects. Neuromol. Med. 2020, 22, 194–209. [Google Scholar] [CrossRef] [PubMed]
- Zhang, X.; Wang, C.; Dai, H.; Lin, Y.; Zhang, J. Association between angiotensin-converting enzyme gene polymorphisms and exercise performance in patients with COPD. Respirology 2008, 13, 683–688. [Google Scholar] [CrossRef] [PubMed]
- Kang, S.W.; Kim, S.K.; Chung, J.H.; Jung, H.J.; Kim, K.I.; Kim, J.; Ban, J.Y. Genetic Polymorphism of Angiotensin-Converting Enzyme and Chronic Obstructive Pulmonary Disease Risk: An Updated Meta-Analysis. BioMed Res. Int. 2016, 2016, 7636123. [Google Scholar] [CrossRef]
- Uh, S.T.; Kim, T.H.; Shim, E.Y.; Jang, A.S.; Park, S.W.; Park, J.S.; Park, B.L.; Choi, B.W.; Shin, H.D.; Kim, D.S.; et al. Angiotensin-converting enzyme (ACE) gene polymorphisms are associated with idiopathic pulmonary fibrosis. Lung 2013, 191, 345–351. [Google Scholar] [CrossRef] [PubMed]
- Deschamps, C.L.; Connors, K.E.; Klein, M.S.; Johnsen, V.L.; Shearer, J.; Vogel, H.J.; Devaney, J.M.; Gordish-Dressman, H.; Many, G.M.; Barfield, W.; et al. The ACTN3 R577X Polymorphism Is Associated with Cardiometabolic Fitness in Healthy Young Adults. PLoS ONE 2015, 10, e0130644. [Google Scholar] [CrossRef]
- Norman, B.; Esbjörnsson, M.; Rundqvist, H.; Österlund, T.; Glenmark, B.; Jansson, E. ACTN3 genotype and modulation of skeletal muscle response to exercise in human subjects. J. Appl. Physiol. 2014, 116, 1197–1203. [Google Scholar] [CrossRef]
- Yang, N.; MacArthur, D.G.; Gulbin, J.P.; Hahn, A.G.; Beggs, A.H.; Easteal, S.; North, K. ACTN3 genotype is associated with human elite athletic performance. Am. J. Hum. Genet. 2003, 73, 627–631. [Google Scholar] [CrossRef] [PubMed]
- Binkley, P.F.; Auseon, A.; Cooke, G. A polymorphism of the gene encoding AMPD1: Clinical impact and proposed mechanisms in congestive heart failure. Congest. Heart Fail. 2004, 10, 274–278. [Google Scholar] [CrossRef] [PubMed]
- Maltese, P.E.; Venturini, L.; Poplavskaya, E.; Bertelli, M.; Cecchin, S.; Granato, M.; Nikulina, S.Y.; Salmina, A.; Aksyutina, N.; Capelli, E.; et al. Genetic evaluation of AMPD1, CPT2, and PGYM metabolic enzymes in patients with chronic fatigue syndrome. Genet. Mol. Res. 2016, 15, gmr.15038717. [Google Scholar] [CrossRef] [PubMed]
- Chen, C.; Sun, Y.; Liang, H.; Yu, D.; Hu, S. A meta-analysis of the association of CKM gene rs8111989 polymorphism with sport performance. Biol. Sport 2017, 34, 323–330. [Google Scholar] [CrossRef] [PubMed]
- Clarkson, P.M.; Hoffman, E.P.; Zambraski, E.; Gordish-Dressman, H.; Kearns, A.; Hubal, M.; Harmon, B.; Devaney, J.M. ACTN3 and MLCK genotype associations with exertional muscle damage. J. Appl. Physiol. 2005, 99, 564–569. [Google Scholar] [CrossRef] [PubMed]
- Yates, A.D.; Achuthan, P.; Akanni, W.; Allen, J.; Alvarez-Jarreta, J.; Amode, M.R.; Armean, I.M.; Azov, A.G.; Bennett, R.; Bhai, J.; et al. Ensembl 2020. Nucleic Acids Res. 2020, 48, D682–D688. [Google Scholar] [CrossRef] [PubMed]
- Fiuza-Luces, C.; Ruiz, J.R.; Rodríguez-Romo, G.; Santiago, C.; Gómez-Gallego, F.; Cano-Nieto, A.; Garatachea, N.; Rodríguez-Moreno, I.; Morán, M.; Lucia, A. Is the ACE I/D polymorphism associated with extreme longevity? A study on a Spanish cohort. J. Renin Angiotensin Aldosterone Syst. 2011, 12, 202–207. [Google Scholar] [CrossRef]
- Fernández-Lázaro, D.; Santamaría, G.; Sánchez-Serrano, N.; Lantarón Caeiro, E.; Seco-Calvo, J. Efficacy of Therapeutic Exercise in Reversing Decreased Strength, Impaired Respiratory Function, Decreased Physical Fitness, and Decreased Quality of Life Caused by the Post-COVID-19 Syndrome. Viruses 2022, 14, 2797. [Google Scholar] [CrossRef]
- Rooney, S.; Webster, A.; Paul, L. Systematic Review of Changes and Recovery in Physical Function and Fitness After Severe Acute Respiratory Syndrome-Related Coronavirus Infection: Implications for COVID-19 Rehabilitation. Phys. Ther. 2020, 100, 1717–1729. [Google Scholar] [CrossRef]
- Szarvas, Z.; Fekete, M.; Horvath, R.; Shimizu, M.; Tsuhiya, F.; Choi, H.E.; Kup, K.; Fazekas-Pongor, V.; Pete, K.N.; Cserjesi, R.; et al. Cardiopulmonary rehabilitation programme improves physical health and quality of life in post-COVID syndrome. Ann. Palliat. Med. 2023, 12, 548–560. [Google Scholar] [CrossRef]
- Volckaerts, T.; Vissers, D.; Burtin, C.; Van Meerbeeck, X.; de Soomer, K.; Oostveen, E.; Claes, K.; Roelant, E.; Verhaegen, I.; Thomeer, M.; et al. Randomised, controlled, open-label pragmatic trial evaluating changes in functional exercise capacity after primary care PUlmonary REhabilitation in patients with long COVID: Protocol of the PuRe-COVID trial in Belgium. BMJ Open 2023, 13, e071098. [Google Scholar] [CrossRef] [PubMed]
- Araújo, B.T.S.; Barros, A.; Nunes, D.T.X.; Remígio de Aguiar, M.I.; Mastroianni, V.W.; de Souza, J.A.F.; Fernades, J.; Campos, S.L.; Brandão, D.C.; Dornelas de Andrade, A. Effects of continuous aerobic training associated with resistance training on maximal and submaximal exercise tolerance, fatigue, and quality of life of patients post-COVID-19. Physiother. Res. Int. 2023, 28, e1972. [Google Scholar] [CrossRef] [PubMed]
- Binetti, J.; Real, M.; Renzulli, M.; Bertran, L.; Riesco, D.; Perpiñan, C.; Mohedano, A.; Segundo, R.S.; Ortiz, M.; Porras, J.A.; et al. Clinical and Biomarker Profile Responses to Rehabilitation Treatment in Patients with Long COVID Characterized by Chronic Fatigue. Viruses 2023, 15, 1452. [Google Scholar] [CrossRef] [PubMed]
- Omar, A.; Ferreira, A.S.; Hegazy, F.A.; Alaparthi, G.K. Cardiorespiratory Response to Six-Minute Step Test in Post COVID-19 Patients—A Cross Sectional Study. Healthcare 2023, 11, 1386. [Google Scholar] [CrossRef] [PubMed]
- Eksombatchai, D.; Wongsinin, T.; Phongnarudech, T.; Thammavaranucupt, K.; Amornputtisathaporn, N.; Sungkanuparph, S. Pulmonary function and six-minute-walk test in patients after recovery from COVID-19: A prospective cohort study. PLoS ONE 2021, 16, e0257040. [Google Scholar] [CrossRef] [PubMed]
- Bullo, V.; Gobbo, S.; Vendramin, B.; Duregon, F.; Cugusi, L.; Di Blasio, A.; Bocalini, D.S.; Zaccaria, M.; Bergamin, M.; Ermolao, A. Nordic Walking Can Be Incorporated in the Exercise Prescription to Increase Aerobic Capacity, Strength, and Quality of Life for Elderly: A Systematic Review and Meta-Analysis. Rejuvenation Res. 2018, 21, 141–161. [Google Scholar] [CrossRef] [PubMed]
- Kettinen, J.; Tikkanen, H.; Venojärvi, M. Comparative effectiveness of playing golf to Nordic walking and walking on acute physiological effects on cardiometabolic markers in healthy older adults: A randomised cross-over study. BMJ Open Sport. Exerc. Med. 2023, 9, e001474. [Google Scholar] [CrossRef] [PubMed]
- Reed, J.L.; Terada, T.; Cotie, L.M.; Tulloch, H.E.; Leenen, F.H.; Mistura, M.; Hans, H.; Wang, H.W.; Vidal-Almela, S.; Reid, R.D.; et al. The effects of high-intensity interval training, Nordic walking and moderate-to-vigorous intensity continuous training on functional capacity, depression and quality of life in patients with coronary artery disease enrolled in cardiac rehabilitation: A randomized controlled trial (CRX study). Prog. Cardiovasc. Dis. 2022, 70, 73–83. [Google Scholar] [CrossRef] [PubMed]
- Cokorilo, N.; Ruiz-Montero, P.J.; González-Fernández, F.T.; Martín-Moya, R. An Intervention of 12 Weeks of Nordic Walking and Recreational Walking to Improve Cardiorespiratory Capacity and Fitness in Older Adult Women. J. Clin. Med. 2022, 11, 2900. [Google Scholar] [CrossRef]
- Morat, T.; Krueger, J.; Gaedtke, A.; Preuss, M.; Latsch, J.; Predel, H.G. Effects of 12 weeks of Nordic Walking and XCO Walking training on the endurance capacity of older adults. Eur. Rev. Aging Phys. Act. 2017, 14, 16. [Google Scholar] [CrossRef]
- Ochman, M.; Maruszewski, M.; Latos, M.; Jastrzębski, D.; Wojarski, J.; Karolak, W.; Przybyłowski, P.; Zeglen, S. Nordic Walking in Pulmonary Rehabilitation of Patients Referred for Lung Transplantation. Transplant. Proc. 2018, 50, 2059–2063. [Google Scholar] [CrossRef] [PubMed]
- Brooks, G.A. Lactate as a fulcrum of metabolism. Redox Biol. 2020, 35, 101454. [Google Scholar] [CrossRef] [PubMed]
- Gupta, G.S. The Lactate and the Lactate Dehydrogenase in Inflammatory Diseases and Major Risk Factors in COVID-19 Patients. Inflammation 2022, 45, 2091–2123. [Google Scholar] [CrossRef]
- Bouchard, C.; Rankinen, T.; Timmons, J.A. Genomics and genetics in the biology of adaptation to exercise. Compr. Physiol. 2011, 1, 1603–1648. [Google Scholar] [CrossRef] [PubMed]
- Bouchard, C. Genomic predictors of trainability. Exp. Physiol. 2012, 97, 347–352. [Google Scholar] [CrossRef] [PubMed]
- Varillas-Delgado, D.; Del Coso, J.; Gutiérrez-Hellín, J.; Aguilar-Navarro, M.; Muñoz, A.; Maestro, A.; Morencos, E. Genetics and sports performance: The present and future in the identification of talent for sports based on DNA testing. Eur. J. Appl. Physiol. 2022, 122, 1811–1830. [Google Scholar] [CrossRef] [PubMed]
- Puthucheary, Z.; Skipworth, J.R.; Rawal, J.; Loosemore, M.; Van Someren, K.; Montgomery, H.E. The ACE gene and human performance: 12 years on. Sports Med. 2011, 41, 433–448. [Google Scholar] [CrossRef] [PubMed]
- Yang, N.; Garton, F.; North, K. alpha-actinin-3 and performance. Med. Sport. Sci. 2009, 54, 88–101. [Google Scholar] [CrossRef] [PubMed]
- Guth, L.M.; Roth, S.M. Genetic influence on athletic performance. Curr. Opin. Pediatr. 2013, 25, 653–658. [Google Scholar] [CrossRef]
- Fedotovskaya, O.N.; Danilova, A.A.; Akhmetov, I.I. Effect of AMPD1 gene polymorphism on muscle activity in humans. Bull. Exp. Biol. Med. 2013, 154, 489–491. [Google Scholar] [CrossRef]
- Norweg, A.; Yao, L.; Barbuto, S.; Nordvig, A.S.; Tarpey, T.; Collins, E.; Whiteson, J.; Sweeney, G.; Haas, F.; Leddy, J. Exercise intolerance associated with impaired oxygen extraction in patients with long COVID. Respir. Physiol. Neurobiol. 2023, 313, 104062. [Google Scholar] [CrossRef] [PubMed]
- Varillas-Delgado, D.; Jimenez-Antona, C.; Lizcano-Alvarez, A.; Cano-de-la-Cuerda, R.; Molero-Sanchez, A.; Laguarta-Val, S. Predictive Factors and ACE-2 Gene Polymorphisms in Susceptibility to Long COVID-19 Syndrome. Int. J. Mol. Sci. 2023, 24, 16717. [Google Scholar] [CrossRef] [PubMed]
- Demirbuğa, A.; Hançerli Törün, S.; Kaba, Ö.; Dede, E.; Mete Atasever, N.; Eryılmaz, C.C.; Okay, N.S.; Somer, A. Long COVID in Children: A Pediatric Center Experience. Mikrobiyol. Bul. 2023, 57, 60–70. [Google Scholar] [CrossRef] [PubMed]
- López-Sampalo, A.; Bernal-López, M.R.; Gómez-Huelgas, R. Persistent COVID-19 syndrome. A narrative review. Rev. Clin. Esp. 2022, 222, 241–250. [Google Scholar] [CrossRef] [PubMed]
- Yong, S.J. Long COVID or post-COVID-19 syndrome: Putative pathophysiology, risk factors, and treatments. Infect. Dis. 2021, 53, 737–754. [Google Scholar] [CrossRef] [PubMed]
- Liu, Y.; Xie, W.; Li, J.; Ossowski, Z. Effects of aerobic exercise on metabolic indicators and physical performance in adult NAFLD patients: A systematic review and network meta-analysis. Medicine 2023, 102, e33147. [Google Scholar] [CrossRef]
- Weir, B.S.; Hill, W.G. Estimating F-statistics. Annu. Rev. Genet. 2002, 36, 721–750. [Google Scholar] [CrossRef]






| Long COVID (n = 16) | COVID-19 (n = 13) | p Value | ||
|---|---|---|---|---|
| Gender | Male, n (%) | 1 (6.2) | 4 (30.8) | 0.082 |
| Female, n (%) | 15 (93.8) | 9 (69.2) | ||
| Age, years (SD) | 46.13 (7.91) | 46.92 (6.00) | 0.766 | |
| Weight, kg (SD) | 65.52 (12.52) | 63.14 (13.39) | 0.363 | |
| Height, cm (SD) | 166.23 (8.03) | 167.25 (7.99) | 0.743 | |
| BMI, Kg/m2 | 23.67 (1.25) | 22.62 (1.32) | 0.515 | |
| Comorbidities | No, n (%) | 11 (68.7) | 8 (61.5) | 0.663 |
| Yes, n (%) | 5 (31.3) | 5 (38.5) | ||
| Pulmonary fibrosis after COVID-19 | No, n (%) | 15 (93.8) | 13 (100.0) | 0.894 |
| Yes, n (%) | 1 (6.2) | 0 (0.0) |
| Symbol | Gene | dbSNP | Genomic Location | MAF Long COVID Patients | MAF (IBS) * | HWE | FIS |
|---|---|---|---|---|---|---|---|
| ACE | Angiotensin-converting enzyme | rs4646994 | 17q23.3 | 40.6% (I) | 36.7% (I) ** | p = 0.463 | −0.17 |
| ACTN3 | Alpha-actinin-3 | rs1815739 | 11q13.2 | 50.0% (T) | 43.9% (T) | p = 0.319 | −0.24 |
| AMPD1 | Adenosine monophosphate deaminase 1 | rs17602729 | 1p13.2 | 18.7% (T) | 14.0% (T) | p = 0.597 | −0.19 |
| CKM | Muscle-specific creatine kinase | rs8111989 | 19q13.32 | 34.4% (G) | 26.6% (G) | p = 0.185 | −0.31 |
| MLCK | Myosin light chain kinase | rs2700352 | 3q21.1 | 31.2% (T) | 20.1% (T) | p = 0.060 | −0.49 |
| Myosin light chain kinase | rs28497577 | 3q21.1 | 18.7% (A) | 10.3% (A) | p = 0.314 | −0.33 | |
| Overall SNPs | p = 0.382 | −0.28 |
| Gene | Polymorphism | dbSNP | Genotype | Long COVID (n = 16) | COVID-19 (n = 13) | p Value |
|---|---|---|---|---|---|---|
| ACE | I/D | rs4646994 | DD | 5 (31.2) | 4 (30.8) | 0.975 |
| ID | 9 (56.2) | 7 (53.8) | ||||
| II | 2 (12.5) | 2 (15.4) | ||||
| ACTN3 | c.1729C>T | rs1815739 | CC | 4 (25.0) | 1 (7.7) | 0.425 |
| CT | 8 (50.0) | 9 (69.2) | ||||
| TT | 4 (25.0) | 3 (23.1) | ||||
| AMPD1 | c.34C>T | rs17602729 | CC | 11 (68.8) | 8 (61.5) | 0.525 |
| CT | 4 (25.0) | 5 (38.5) | ||||
| TT | 1 (6.2) | 0 (0.0) | ||||
| CKM | c.*800A>G | rs8111989 | GG | 2 (12.5) | 1 (7.7) | 0.388 |
| GA | 7 (43.8) | 9 (69.2) | ||||
| AA | 7 (43.8) | 3 (23.1) | ||||
| MLCK | c.49T>C | rs2700352 | CC | 9 (56.2) | 9 (69.2) | 0.257 |
| CT | 4 (25.0) | 4 (30.8) | ||||
| TT | 3 (18.8) | 90 (0.0) | ||||
| c.37885C>A | rs28497577 | CA | 3 (18.8) | 1 (7.7) | 0.390 | |
| CC | 13 (81.2) | 12(92.3) |
Disclaimer/Publisher’s Note: The statements, opinions and data contained in all publications are solely those of the individual author(s) and contributor(s) and not of MDPI and/or the editor(s). MDPI and/or the editor(s) disclaim responsibility for any injury to people or property resulting from any ideas, methods, instructions or products referred to in the content. |
© 2024 by the authors. Licensee MDPI, Basel, Switzerland. This article is an open access article distributed under the terms and conditions of the Creative Commons Attribution (CC BY) license (https://creativecommons.org/licenses/by/4.0/).
Share and Cite
Lizcano-Álvarez, Á.; Varillas-Delgado, D.; Cano-de-la-Cuerda, R.; Jiménez-Antona, C.; Melián-Ortiz, A.; Molero-Sánchez, A.; Laguarta-Val, S. The Association of Genetic Markers Involved in Muscle Performance Responding to Lactate Levels during Physical Exercise Therapy by Nordic Walking in Patients with Long COVID Syndrome: A Nonrandomized Controlled Pilot Study. Int. J. Mol. Sci. 2024, 25, 8305. https://doi.org/10.3390/ijms25158305
Lizcano-Álvarez Á, Varillas-Delgado D, Cano-de-la-Cuerda R, Jiménez-Antona C, Melián-Ortiz A, Molero-Sánchez A, Laguarta-Val S. The Association of Genetic Markers Involved in Muscle Performance Responding to Lactate Levels during Physical Exercise Therapy by Nordic Walking in Patients with Long COVID Syndrome: A Nonrandomized Controlled Pilot Study. International Journal of Molecular Sciences. 2024; 25(15):8305. https://doi.org/10.3390/ijms25158305
Chicago/Turabian StyleLizcano-Álvarez, Ángel, David Varillas-Delgado, Roberto Cano-de-la-Cuerda, Carmen Jiménez-Antona, Alberto Melián-Ortiz, Alberto Molero-Sánchez, and Sofía Laguarta-Val. 2024. "The Association of Genetic Markers Involved in Muscle Performance Responding to Lactate Levels during Physical Exercise Therapy by Nordic Walking in Patients with Long COVID Syndrome: A Nonrandomized Controlled Pilot Study" International Journal of Molecular Sciences 25, no. 15: 8305. https://doi.org/10.3390/ijms25158305
APA StyleLizcano-Álvarez, Á., Varillas-Delgado, D., Cano-de-la-Cuerda, R., Jiménez-Antona, C., Melián-Ortiz, A., Molero-Sánchez, A., & Laguarta-Val, S. (2024). The Association of Genetic Markers Involved in Muscle Performance Responding to Lactate Levels during Physical Exercise Therapy by Nordic Walking in Patients with Long COVID Syndrome: A Nonrandomized Controlled Pilot Study. International Journal of Molecular Sciences, 25(15), 8305. https://doi.org/10.3390/ijms25158305

