Influence of Solvent Polarity on the Conformer Ratio of Bicalutamide in Saturated Solutions: Insights from NOESY NMR Analysis and Quantum-Chemical Calculations
Abstract
1. Introduction
2. Results and Discussion
2.1. Quantum-Chemical Calculations
2.2. Results of NMR Experiments
2.2.1. NMR Spectrum Analysis
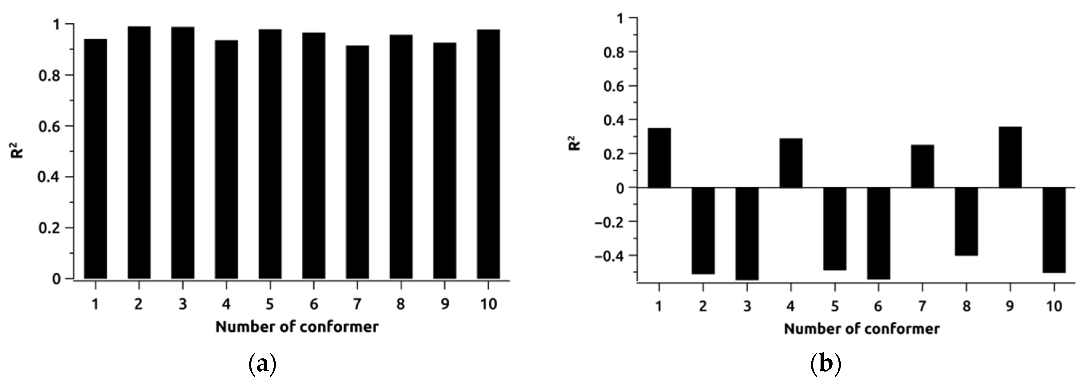
2.2.2. Reference-Free NOE NMR Analysis
2.2.3. Method Based on Determining Experimental Values of Internuclear Distances
3. Materials and Methods
4. Conclusions
Supplementary Materials
Author Contributions
Funding
Institutional Review Board Statement
Informed Consent Statement
Data Availability Statement
Conflicts of Interest
References
- Duarte, A.R.C.; Ferreira, A.S.D.; Barreiros, S.; Cabrita, E.; Reis, R.L.; Paiva, A. A Comparison between Pure Active Pharmaceutical Ingredients and Therapeutic Deep Eutectic Solvents: Solubility and Permeability Studies. Eur. J. Pharm. Biopharm. 2017, 114, 296–304. [Google Scholar] [CrossRef] [PubMed]
- Butler, J.M.; Dressman, J.B. The Developability Classification System: Application of Biopharmaceutics Concepts to Formulation Development. J. Pharm. Sci. 2010, 99, 4940–4954. [Google Scholar] [CrossRef] [PubMed]
- Shan, N.; Zaworotko, M.J. The Role of Cocrystals in Pharmaceutical Science. Drug Discov. Today 2008, 13, 440–446. [Google Scholar] [CrossRef] [PubMed]
- Kapourani, A.; Katopodis, K.; Valkanioti, V.; Chatzitheodoridou, M.; Cholevas, C.; Barmpalexis, P. Evaluation of Suitable Polymeric Matrix/Carriers during Loading of Poorly Water Soluble Drugs onto Mesoporous Silica: Physical Stability and In Vitro Supersaturation. Polymers 2024, 16, 802. [Google Scholar] [CrossRef]
- Chambi, J.T.; Prado, L.D.; Patricio, B.F.d.C.; Ceballos, M.; Bianco, I.; Fandaruff, C.; Rocha, H.V.A.; Kuznetsov, A.; Cuffini, S.L. Quantitative Analysis and Evaluation of Solid-State Stability of Mebendazole Forms A and C Suspensions by Powder X-ray Diffraction Using the Rietveld Method. Int. J. Pharm. 2024, 650, 123721. [Google Scholar] [CrossRef] [PubMed]
- Justen, A.; Schaldach, G.; Thommes, M. Insights into the Mechanism of Enhanced Dissolution in Solid Crystalline Formulations. Polymers 2024, 16, 510. [Google Scholar] [CrossRef] [PubMed]
- Agnihotri, T.G.; Paradia, P.K.; Jain, A. Biopharmaceutical Classification System: A Strategic Tool in Pharmaceutical Formulation. Dos. Forms Formul. Dev. Regul. Recent Futur. Trends Pharm. 2024, 1, 443–469. [Google Scholar] [CrossRef]
- Fu, Q.; Lu, H.D.; Xie, Y.F.; Liu, J.Y.; Han, Y.; Gong, N.B.; Guo, F. Salt Formation of Two BCS II Drugs (Indomethacin and Naproxen) with (1R, 2R)-1,2-Diphenylethylenediamine: Crystal Structures, Solubility and Thermodynamics Analysis. J. Mol. Struct. 2019, 1185, 281–289. [Google Scholar] [CrossRef]
- Vishweshwar, P.; McMahon, J.A.; Bis, J.A.; Zaworotko, M.J. Pharmaceutical Co-Crystals. J. Pharm. Sci. 2006, 95, 499–516. [Google Scholar] [CrossRef]
- Jones, W.; Motherwell, W.D.S.; Trask, A.V. Pharmaceutical Cocrystals: An Emerging Approach to Physical Property Enhancement. MRS Bull. 2006, 31, 875–879. [Google Scholar] [CrossRef]
- Schultheiss, N.; Newman, A. Pharmaceutical Cocrystals and Their Physicochemical Properties. Cryst. Growth Des. 2009, 9, 2950–2967. [Google Scholar] [CrossRef]
- Shaikh, T.R.; Shelke, N.; Tothadi, S. Multicomponent Solvate Crystals of 3,5-Dinitrobenzoic Acid and Acetamide and CSD Analysis of Solvates. ACS Omega 2023, 8, 24644–24653. [Google Scholar] [CrossRef] [PubMed]
- Perlovich, G.L.; Blokhina, S.V.; Manin, N.G.; Volkova, T.V.; Tkachev, V.V. Polymorphism and Solvatomorphism of Bicalutamide: Thermophysical Study and Solubility. J. Therm. Anal. Calorim. 2013, 111, 655–662. [Google Scholar] [CrossRef]
- Miller, J.M.; Collman, B.M.; Greene, L.R.; Grant, D.J.W.; Blackburn, A.C. Identifying the Stable Polymorph Early in the Drug Discovery–Development Process. Pharm. Dev. Technol. 2005, 10, 291–297. [Google Scholar] [CrossRef] [PubMed]
- Vrečer, F.; Vrbinc, M.; Meden, A. Characterization of Piroxicam Crystal Modifications. Int. J. Pharm. 2003, 256, 3–15. [Google Scholar] [CrossRef] [PubMed]
- Jarring, K.; Larsson, T.; Stensland, B.; Ymén, I. Thermodynamic Stability and Crystal Structures for Polymorphs and Solvates of Formoterol Fumarate. J. Pharm. Sci. 2006, 95, 1144–1161. [Google Scholar] [CrossRef] [PubMed]
- Hilfiker, R.; Berghausen, J.; Blatter, F.; Burkhard, A.; De Paul, S.M.; Freiermuth, B.; Geoffroy, A.; Hofmeier, U.; Marcolli, C.; Siebenhaar, B.; et al. Polymorphism—Integrated Approach from High-Throughput Screening to Crystallization Optimization. J. Therm. Anal. Calorim. 2003, 73, 429–440. [Google Scholar] [CrossRef]
- Drozd, K.V.; Manin, A.N.; Voronin, A.P.; Boycov, D.E.; Churakov, A.V.; Perlovich, G.L. A Combined Experimental and Theoretical Study of Miconazole Salts and Cocrystals: Crystal Structures, DFT Computations, Formation Thermodynamics and Solubility Improvement. Phys. Chem. Chem. Phys. 2021, 23, 12456–12470. [Google Scholar] [CrossRef]
- Manin, A.N.; Drozd, K.V.; Surov, A.O.; Churakov, A.V.; Volkova, T.V.; Perlovich, G.L. Identification of a Previously Unreported Co-Crystal Form of Acetazolamide: A Combination of Multiple Experimental and Virtual Screening Methods. Phys. Chem. Chem. Phys. 2020, 22, 20867–20879. [Google Scholar] [CrossRef]
- Abramov, Y.A.; Zell, M.; Krzyzaniak, J.F. Toward a Rational Solvent Selection for Conformational Polymorph Screening. Chem. Eng. Pharm. Ind. 2019, 519–532. [Google Scholar] [CrossRef]
- Li, X.; Wang, N.; Huang, Y.; Xing, J.; Huang, X.; Ferguson, S.; Wang, T.; Zhou, L.; Hao, H. The Role of Solute Conformation, Solvent–Solute and Solute–Solute Interactions in Crystal Nucleation. AIChE J. 2023, 69, e18144. [Google Scholar] [CrossRef]
- Tian, B.; Hao, H.; Huang, X.; Wang, T.; Wang, J.; Yang, J.; Li, X.; Li, W.; Zhou, L.; Wang, N. Solvent Effect on Molecular Conformational Evolution and Polymorphic Manipulation of Cimetidine. Cryst. Growth Des. 2023, 23, 7266–7275. [Google Scholar] [CrossRef]
- Khodov, I.; Efimov, S.; Krestyaninov, M.; Kiselev, M. Exposing Hidden Conformations of Carbamazepine Appearing Due to Interaction With the Solid Phase by 2D 1H-15N HMBC NMR Spectroscopy. J. Pharm. Sci. 2021, 110, 1533–1539. [Google Scholar] [CrossRef] [PubMed]
- Khodov, I.; Dyshin, A.; Efimov, S.; Ivlev, D.; Kiselev, M. High-Pressure NMR Spectroscopy in Studies of the Conformational Composition of Small Molecules in Supercritical Carbon Dioxide. J. Mol. Liq. 2020, 309, 113113. [Google Scholar] [CrossRef]
- Khodov, I.A.; Efimov, S.V.; Klochkov, V.V.; Alper, G.A.; Batista De Carvalho, L.A.E. Determination of Preferred Conformations of Ibuprofen in Chloroform by 2D NOE Spectroscopy. Eur. J. Pharm. Sci. 2014, 65, 65–73. [Google Scholar] [CrossRef]
- Khodov, I.A.; Efimov, S.V.; Klochkov, V.V.; De Carvalho, L.A.E.B.; Kiselev, M.G. The Importance of Suppressing Spin Diffusion Effects in the Accurate Determination of the Spatial Structure of a Flexible Molecule by Nuclear Overhauser Effect Spectroscopy. J. Mol. Struct. 2016, 1106, 373–381. [Google Scholar] [CrossRef]
- Khodov, I.A.; Belov, K.V.; Krestyaninov, M.A.; Sobornova, V.V.; Dyshin, A.A.; Kiselev, M.G. Does DMSO Affect the Conformational Changes of Drug Molecules in Supercritical CO2 Media? J. Mol. Liq. 2023, 384, 122230. [Google Scholar] [CrossRef]
- Eventova, V.A.; Belov, K.V.; Efimov, S.V.; Khodov, I.A. Conformational Screening of Arbidol Solvates: Investigation via 2D NOESY. Pharmaceutics 2023, 15, 226. [Google Scholar] [CrossRef]
- Belov, K.V.; de Carvalho, L.A.E.B.; Dyshin, A.A.; Efimov, S.V.; Khodov, I.A. The Role of Hidden Conformers in Determination of Conformational Preferences of Mefenamic Acid by NOESY Spectroscopy. Pharmaceutics 2022, 14, 2276. [Google Scholar] [CrossRef]
- Belov, K.V.; Dyshin, A.A.; Krestyaninov, M.A.; Efimov, S.V.; Khodov, I.A.; Kiselev, M.G. Conformational Preferences of Tolfenamic Acid in DMSO-CO2 Solvent System by 2D NOESY. J. Mol. Liq. 2022, 367, 120481. [Google Scholar] [CrossRef]
- Khodov, I.A.; Belov, K.V.; Krestyaninov, M.A.; Dyshin, A.A.; Kiselev, M.G.; Krestov, G.A. Investigation of the Spatial Structure of Flufenamic Acid in Supercritical Carbon Dioxide Media via 2D NOESY. Materials 2023, 16, 1524. [Google Scholar] [CrossRef] [PubMed]
- Belov, K.V.; Dyshin, A.A.; Khodov, I.A. Conformational Analysis of Arbidol in Supercritical Carbon Dioxide: Insights into “Opened” and “Closed” Conformer Groups. J. Mol. Liq. 2024, 397, 124074. [Google Scholar] [CrossRef]
- Wieske, L.H.E.; Erdélyi, M. Non-Uniform Sampling for NOESY? A Case Study on Spiramycin. Magn. Reson. Chem. 2021, 59, 723–737. [Google Scholar] [CrossRef] [PubMed]
- Belov, K.; Brel, V.; Sobornova, V.; Fedorova, I.; Khodov, I. Conformational Analysis of 1,5-Diaryl-3-Oxo-1,4-Pentadiene Derivatives: A Nuclear Overhauser Effect Spectroscopy Investigation. Int. J. Mol. Sci. 2023, 24, 16707. [Google Scholar] [CrossRef] [PubMed]
- Williamson, M.P. Nuclear Magnetic Resonance Spectroscopy | Nuclear Overhauser Effect. In Encyclopedia of Analytical Science, 3rd ed.; Elsevier: Amsterdam, The Netherlands, 2019; pp. 264–271. [Google Scholar] [CrossRef]
- Khodov, I.A.; Efimov, S.V.; Nikiforov, M.Y.; Klochkov, V.V.; Georgi, N. Inversion of Population Distribution of Felodipine Conformations at Increased Concentration in Dimethyl Sulfoxide Is a Prerequisite to Crystal Nucleation. J. Pharm. Sci. 2014, 103, 392–394. [Google Scholar] [CrossRef] [PubMed]
- Vögeli, B.; Segawa, T.F.; Leitz, D.; Sobol, A.; Choutko, A.; Trzesniak, D.; Van Gunsteren, W.; Riek, R. Exact Distances and Internal Dynamics of Perdeuterated Ubiquitin from NOE Buildups. J. Am. Chem. Soc. 2009, 131, 17215–17225. [Google Scholar] [CrossRef] [PubMed]
- Schmidt, M.; Reinscheid, F.; Sun, H.; Abromeit, H.; Scriba, G.K.E.; Sönnichsen, F.D.; John, M.; Reinscheid, U.M. Hidden Flexibility of Strychnine. Eur. J. Org. Chem. 2014, 6, 1147–1150. [Google Scholar] [CrossRef]
- Butts, C.P.; Jones, C.R.; Song, Z.; Simpson, T.J. Accurate NOE-Distance Determination Enables the Stereochemical Assignment of a Flexible Molecule—Arugosin C. Chem. Commun. 2012, 48, 9023–9025. [Google Scholar] [CrossRef]
- Jones, C.R.; Greenhalgh, M.D.; Bame, J.R.; Simpson, T.J.; Cox, R.J.; Marshall, J.W.; Butts, C.P. Subtle Temperature-Induced Changes in Small Molecule Conformer Dynamics-Observed and Quantified by NOE Spectroscopy. Chem. Commun. 2016, 52, 2920–2923. [Google Scholar] [CrossRef]
- Khodov, I.A.; Nikiforov, M.Y.; Alper, G.A.; Blokhin, D.S.; Efimov, S.V.; Klochkov, V.V.; Georgi, N. Spatial Structure of Felodipine Dissolved in DMSO by 1D NOE and 2D NOESY NMR Spectroscopy. J. Mol. Struct. 2013, 1035, 358–362. [Google Scholar] [CrossRef]
- Khodov, I.A.; Belov, K.V.; Pogonin, A.E.; Savenkova, M.A.; Gamov, G.A. Spatial Structure and Conformations of Hydrazones Derived from Pyridoxal 5′-Phosphate and 2-,3-Pyridinecarbohydrazide in the Light of NMR Study and Quantum Chemical Calculations. J. Mol. Liq. 2021, 342, 117372. [Google Scholar] [CrossRef]
- Tabekoueng, G.B.; Armand, F.; Fozing, F.; Mas-Claret, E.; Langat, M.K.; Frese, M.; Bissoue, A.N.; Wansi, J.D.; François, A.; Waffo, K.; et al. Cytotoxic Clerodane Diterpenoids from the Roots of Casearia Barteri Mast. RSC Adv. 2024, 14, 23109–23117. [Google Scholar] [CrossRef] [PubMed]
- Dávid, C.Z.; Kúsz, N.; Agbadua, O.G.; Berkecz, R.; Kincses, A.; Spengler, G.; Hunyadi, A.; Hohmann, J.; Vasas, A. Phytochemical Investigation of Carex Praecox Schreb. and ACE-Inhibitory Activity of Oligomer Stilbenes of the Plant. Molecules 2024, 29, 3427. [Google Scholar] [CrossRef] [PubMed]
- Menant, S.; Tognetti, V.; Oulyadi, H.; Guilhaudis, L.; Ségalas-Milazzo, I. A Joint Experimental and Theoretical Study on the Structural and Spectroscopic Properties of the Piv-Pro-d-Ser-NHMe Peptide. J. Phys. Chem. B 2024, 128, 6704–6715. [Google Scholar] [CrossRef] [PubMed]
- Belov, K.V.; Krestyaninov, M.A.; Dyshin, A.A.; Khodov, I.A. The Influence of Lidocaine Conformers on Micronized Particle Size: Quantum Chemical and NMR Insights. J. Mol. Liq. 2024, 396, 124120. [Google Scholar] [CrossRef]
- Khodov, I.A.; Belov, K.V.; Krestyaninov, M.A.; Kiselev, M.G. Conformational Equilibria of a Thiadiazole Derivative in Solvents of Different Polarities: An NMR Study. Russ. J. Phys. Chem. A 2022, 96, 765–772. [Google Scholar] [CrossRef]
- Cockshott, I.D. Bicalutamide: Clinical Pharmacokinetics and Metabolism. Clin. Pharmacokinet. 2004, 43, 855–878. [Google Scholar] [CrossRef]
- Vega, D.R.; Polla, G.; Martinez, A.; Mendioroz, E.; Reinoso, M. Conformational Polymorphism in Bicalutamide. Int. J. Pharm. 2007, 328, 112–118. [Google Scholar] [CrossRef]
- Persson, R.; Nordholm, S.; Perlovich, G.; Lindfors, L. Monte Carlo Studies of Drug Nucleation 1: Formation of Crystalline Clusters of Bicalutamide in Water. J. Phys. Chem. B 2011, 115, 3062–3072. [Google Scholar] [CrossRef][Green Version]
- Volkova, T.V.; Simonova, O.R.; Perlovich, G.L. Physicochemical Profile of Antiandrogen Drug Bicalutamide: Solubility, Distribution, Permeability. Pharmaceutics 2022, 14, 674. [Google Scholar] [CrossRef]
- McLeod, D.G. Tolerability of Nonsteroidal Antiandrogens in the Treatment of Advanced Prostate Cancer. Oncologist 1997, 2, 18–27. [Google Scholar] [CrossRef]
- Zhang, Y.; Zhang, Q.; Wu, X.; Wu, G.; Ma, X.; Cheng, L. Bicalutamide, an Androgen Receptor Antagonist, Effectively Alleviate Allergic Rhinitis via Suppression of PI3K–PKB Activity. Eur. Arch. Oto-Rhino-Laryngol. 2023, 280, 703–711. [Google Scholar] [CrossRef] [PubMed]
- Narayanan, R. Therapeutic Targeting of the Androgen Receptor (AR) and AR Variants in Prostate Cancer. Asian J. Urol. 2020, 7, 271–283. [Google Scholar] [CrossRef] [PubMed]
- Trump, D.L.; Waldstreicher, J.A.; Kolvenbag, G.; Wissel, P.S.; Neubauer, B.L. Androgen Antagonists: Potential Role in Prostate Cancer Prevention. Urology 2001, 57, 64–67. [Google Scholar] [CrossRef] [PubMed]
- Szafraniec-Szczęsny, J.; Antosik-Rogóż, A.; Knapik-Kowalczuk, J.; Kurek, M.; Szefer, E.; Gawlak, K.; Chmiel, K.; Peralta, S.; Niwiński, K.; Pielichowski, K.; et al. Compression-Induced Phase Transitions of Bicalutamide. Pharmaceutics 2020, 12, 438. [Google Scholar] [CrossRef] [PubMed]
- Lloyd, A.; Penson, D.; Dewilde, S.; Kleinman, L. Eliciting Patient Preferences for Hormonal Therapy Options in the Treatment of Metastatic Prostate Cancer. Prostate Cancer Prostatic Dis. 2008, 11, 153–159. [Google Scholar] [CrossRef] [PubMed]
- Gana, I.; Céolin, R.; Rietveld, I.B. Bicalutamide Polymorphs i and II: A Monotropic Phase Relationship under Ordinary Conditions Turning Enantiotropic at High Pressure. J. Therm. Anal. Calorim. 2013, 112, 223–228. [Google Scholar] [CrossRef]
- Gamov, G.A.; Khodov, I.A.; Belov, K.V.; Zavalishin, M.N.; Kiselev, A.N.; Usacheva, T.R.; Sharnin, V.A. Spatial Structure, Thermodynamics and Kinetics of Formation of Hydrazones Derived from Pyridoxal 5′-Phosphate and 2-Furoic, Thiophene-2-Carboxylic Hydrazides in Solution. J. Mol. Liq. 2019, 283, 825–833. [Google Scholar] [CrossRef]
- Wang, C.; Rosbottom, I.; Turner, T.D.; Laing, S.; Maloney, A.G.P.; Sheikh, A.Y.; Docherty, R.; Yin, Q.; Roberts, K.J. Molecular, Solid-State and Surface Structures of the Conformational Polymorphic Forms of Ritonavir in Relation to Their Physicochemical Properties. Pharm. Res. 2021, 38, 971–990. [Google Scholar] [CrossRef]
- Ferenczy, G.G.; Párkányi, L.; Ángyán, J.G.; Kálmán, A.; Hegedus, B. Crystal and Electronic Structure of Two Polymorphic Modifications of Famotidine. An Experimental and Theoretical Study. J. Mol. Struct. THEOCHEM 2000, 503, 73–79. [Google Scholar] [CrossRef]
- Perdih, F.; Žigart, N.; Časar, Z. Crystal Structure and Solid-State Conformational Analysis of Active Pharmaceutical Ingredient Venetoclax. Crystals 2021, 11, 261. [Google Scholar] [CrossRef]
- Westheim, R. Bicalutamide Forms. U.S. Patent US20040063782A1, 1 April 2004. pp. 1–15. [Google Scholar]
- Breitenstein, W.; Furet, P.; Jacob, S.; Manley, P.W. Inhibitors of Tyrosine Kinases. European Patent EP1532138A1, 25 May 2004. pp. 1–83. [Google Scholar]
- Shukla, A.K.; Maikap, G.C.; Agarwal, S.K. Process for Preparation of Bicalutamide. U.S. Patent US7544828B2, 9 June 2009. pp. 1–12. [Google Scholar]
- Hu, X.R.; Gu, J.M. N-[4-Cyano-3-(Trifluoromethyl)Phenyl]-3-(4-Fluorophenylsulfonyl) -2-Hydroxy-2-Methylpropionamide. Acta Crystallogr. Sect. E Struct. Rep. Online 2005, 61, o3897–o3898. [Google Scholar] [CrossRef]
- Bis, J.A.; Vishweshwar, P.; Weyna, D.; Zaworotko, M.J. Hierarchy of Supramolecular Synthons: Persistent Hydroxyl⋯pyridine Hydrogen Bonds in Cocrystals That Contain a Cyano Acceptor. Mol. Pharm. 2007, 4, 401–416. [Google Scholar] [CrossRef]
- Bohl, C.E.; Gao, W.; Miller, D.D.; Bell, C.E.; Dalton, J.T. Structural Basis for Antagonism and Resistance of Bicalutamide in Prostate Cancer. Proc. Natl. Acad. Sci. USA 2005, 102, 6201–6206. [Google Scholar] [CrossRef]
- Dhaked, D.K.; Jain, V.; Kasetti, Y.; Bharatam, P.V. Conformational Polymorphism in Bicalutamide: A Quantum Chemical Study. Struct. Chem. 2012, 23, 1857–1866. [Google Scholar] [CrossRef]
- Becke, A.D. Density-Functional Exchange-Energy Approximation with Correct Asymptotic Behavior. Phys. Rev. A 1988, 38, 3098. [Google Scholar] [CrossRef]
- Lee, C.; Yang, W.; Parr, R.G. Development of the Colle-Salvetti Correlation-Energy Formula into a Functional of the Electron Density. Phys. Rev. B 1988, 37, 785. [Google Scholar] [CrossRef] [PubMed]
- Ditchfield, R.; Hehre, W.J.; Pople, J.A. Self-Consistent Molecular-Orbital Methods. IX. An Extended Gaussian-Type Basis for Molecular-Orbital Studies of Organic Molecules. J. Chem. Phys. 1971, 54, 724–728. [Google Scholar] [CrossRef]
- Mukherjee, A.; Kirkovsky, L.; Yao, X.T.; Yates, R.C.; Miller, D.D.; Dalton, J.T. Enantioselective Binding of Casodex to the Androgen Receptor. Xenobiotica 1996, 26, 117–122. [Google Scholar] [CrossRef] [PubMed]
- Wright, S.E.; Cole, J.C.; Cruz-Cabeza, A.J. Conformational Change in Molecular Crystals: Impact of Solvate Formation and Importance of Conformational Free Energies. Cryst. Growth Des. 2021, 21, 6924–6936. [Google Scholar] [CrossRef]
- Surov, A.O.; Solanko, K.A.; Bond, A.D.; Bauer-Brandl, A.; Perlovich, G.L. Cocrystals of the Antiandrogenic Drug Bicalutamide: Screening, Crystal Structures, Formation Thermodynamics and Lattice Energies. CrystEngComm 2016, 18, 4818–4829. [Google Scholar] [CrossRef]
- Joo, H.; Kraka, E.; Cremer, D. Environmental Effects on Molecular Conformation: Bicalutamide Analogs. J. Mol. Struct. THEOCHEM 2008, 862, 66–73. [Google Scholar] [CrossRef]
- Li, W.; Hwang, D.J.; Cremer, D.; Joo, H.; Kraka, E.; Kim, J.; Ross, C.R.; Nguyen, V.Q.; Dalton, J.T.; Miller, D.D. Structure Determination of Chiral Sulfoxide in Diastereomeric Bicalutamide Derivatives. Chirality 2009, 21, 578–583. [Google Scholar] [CrossRef] [PubMed]
- Miertuš, S.; Scrocco, E.; Tomasi, J. Electrostatic Interaction of a Solute with a Continuum. A Direct Utilizaion of AB Initio Molecular Potentials for the Prevision of Solvent Effects. Chem. Phys. 1981, 55, 117–129. [Google Scholar] [CrossRef]
- Pascual-ahuir, J.L.; Silla, E.; Tuñon, I. GEPOL: An Improved Description of Molecular Surfaces. III. A New Algorithm for the Computation of a Solvent-Excluding Surface. J. Comput. Chem. 1994, 15, 1127–1138. [Google Scholar] [CrossRef]
- De Gaetano, F.; Cristiano, M.C.; Paolino, D.; Celesti, C.; Iannazzo, D.; Pistarà, V.; Iraci, N.; Ventura, C.A. Bicalutamide Anticancer Activity Enhancement by Formulation of Soluble Inclusion Complexes with Cyclodextrins. Biomolecules 2022, 12, 1716. [Google Scholar] [CrossRef]
- Rao, R.N.; Raju, A.N.; Narsimha, R. Isolation and Characterization of Process Related Impurities and Degradation Products of Bicalutamide and Development of RP-HPLC Method for Impurity Profile Study. J. Pharm. Biomed. Anal. 2008, 46, 505–519. [Google Scholar] [CrossRef]
- Nukada, K.; Yamamoto, O.; Suzuki, T.; Takeuchi, M.; Ohnishi, M. Graphic Representation of Proton Chemical Shifts General Consideration and Methyl and Methylene Groups. Anal. Chem. 1963, 35, 1892–1898. [Google Scholar] [CrossRef]
- Lin, X.; Wang, C.; Ideta, K.; Miyawaki, J.; Nishiyama, Y.; Wang, Y.; Yoon, S.; Mochida, I. Insights into the Functional Group Transformation of a Chinese Brown Coal during Slow Pyrolysis by Combining Various Experiments. Fuel 2014, 118, 257–264. [Google Scholar] [CrossRef]
- Smith, A.A.; Kannan, K.; Manavalan, R.; Rajendiran, N. Spectral Characteristics of Bicalutamide Drug in Different Solvents and β-Cyclodextrin. J. Incl. Phenom. Macrocycl. Chem. 2007, 58, 161–167. [Google Scholar] [CrossRef]
- Barfield, M.; Johnston, M.D. Solvent Dependence of Nuclear Spin-Spin Coupling Constants. Chem. Rev. 1973, 73, 53–73. [Google Scholar] [CrossRef]
- Rummens, F.H.A.; Simon, C.; Coupry, C.; Lumbroso-Bader, N. Spectroscopic Studies on Olefins. VII–Propene and 3-Methylbutene-1; Proton NMR Coupling Constants as a Function of Solvent and Temperature in Relation to Molecular Geometry. Org. Magn. Reson. 1980, 13, 33–39. [Google Scholar] [CrossRef]
- Jessen, L.M.; Reinholdt, P.; Kongsted, J.; Sauer, S.P.A. The Importance of Solvent Effects in Calculations of NMR Coupling Constants at the Doubles Corrected Higher Random-Phase Approximation. Magnetochemistry 2023, 9, 102. [Google Scholar] [CrossRef]
- Kandil, S.B.; Kariuki, B.M.; McGuigan, C.; Westwell, A.D. Synthesis, Biological Evaluation and X-Ray Analysis of Bicalutamide Sulfoxide Analogues for the Potential Treatment of Prostate Cancer. Bioorg. Med. Chem. Lett. 2021, 36, 127817. [Google Scholar] [CrossRef] [PubMed]
- Lameiras, P.; Nuzillard, J.M. Tailoring the Nuclear Overhauser Effect for the Study of Small and Medium-Sized Molecules by Solvent Viscosity Manipulation. Prog. Nucl. Magn. Reson. Spectrosc. 2021, 123, 1–50. [Google Scholar] [CrossRef] [PubMed]
- Koos, M.R.M.; Schulz, K.H.G.; Gil, R.R. Reference-Free NOE NMR Analysis. Chem. Sci. 2020, 11, 9930–9936. [Google Scholar] [CrossRef] [PubMed]
- Macur, S.; Farmer, B.T.; Brown, L.R. An Improved Method for the Determination of Cross-Relaxation Rates from NOE Data. J. Magn. Reson. 1986, 70, 493–499. [Google Scholar] [CrossRef]
- Esposito, G.; Pastore, A. An Alternative Method for Distance Evaluation from NOESY Spectra. J. Magn. Reson. 1988, 76, 331–336. [Google Scholar] [CrossRef]
- Khodov, I.A.; Belov, K.V.; Dyshin, A.A.; Krestyaninov, M.A.; Kiselev, M.G. Pressure Effect on Lidocaine Conformational Equilibria in ScCO2: A Study by 2D NOESY. J. Mol. Liq. 2022, 367, 120525. [Google Scholar] [CrossRef]
- Bame, J.; Hoeck, C.; Carrington, M.J.; Butts, C.P.; Jäger, C.M.; Croft, A.K. Improved NOE Fitting for Flexible Molecules Based on Molecular Mechanics Data-a Case Study with: S-Adenosylmethionine. Phys. Chem. Chem. Phys. 2018, 20, 7523–7531. [Google Scholar] [CrossRef]
- Andersen, N.H.; Eaton, H.L.; Lai, X. Quantitative Small Molecule NOESY. A Practical Guide for Derivation of Cross-relaxation Rates and Internuclear Distances. Magn. Reson. Chem. 1989, 27, 515–528. [Google Scholar] [CrossRef]
- Hu, H.; Krishnamurthy, K. Revisiting the Initial Rate Approximation in Kinetic NOE Measurements. J. Magn. Reson. 2006, 182, 173–177. [Google Scholar] [CrossRef] [PubMed]
- Butts, C.P.; Jones, C.R.; Towers, E.C.; Flynn, J.L.; Appleby, L.; Barron, N.J. Interproton Distance Determinations by NOE—Surprising Accuracy and Precision in a Rigid Organic Molecule. Org. Biomol. Chem. 2011, 9, 177–184. [Google Scholar] [CrossRef] [PubMed]
- Butts, C.P.; Chini, M.G.; Jones, C.R.; Zampella, A.; D’Auria, M.V.; Renga, B.; Fiorucci, S.; Bifulco, G. Quantitative NMR-Derived Interproton Distances Combined with Quantum Mechanical Calculations of 13C Chemical Shifts in the Stereochemical Determination of Conicasterol F, a Nuclear Receptor Ligand from Theonella Swinhoei. J. Org. Chem. 2012, 77, 1489–1496. [Google Scholar] [CrossRef]
- Jones, C.R.; Butts, C.P.; Harvey, J.N. Accuracy in Determining Interproton Distances Using Nuclear Overhauser Effect Data from a Flexible Molecule. Beilstein J. Org. Chem. 2011, 7, 145–150. [Google Scholar] [CrossRef] [PubMed]
- Butts, C.P.; Jones, C.R.; Harvey, J.N. High Precision NOEs as a Probe for Low Level Conformers—A Second Conformation of Strychnine. Chem. Commun. 2011, 47, 1193–1195. [Google Scholar] [CrossRef]
- Lee, W.; Krishna, N.R. Influence of Conformational Exchange on the 2D NOESY Spectra of Biomolecules Existing in Multiple Conformations. J. Magn. Reson. 1992, 98, 36–48. [Google Scholar] [CrossRef]
- Sternberg, U.; Witter, R. Structures Controlled by Entropy: The Flexibility of Strychnine as Example. Molecules 2022, 27, 7987. [Google Scholar] [CrossRef] [PubMed]
- Koning, T.M.G.; Boelens, R.; Kaptein, R. Calculation of the Nuclear Overhauser Effect and the Determination of Proton-Proton Distances in the Presence of Internal Motions. J. Magn. Reson. 1990, 90, 111–123. [Google Scholar] [CrossRef]
- Khodov, I.A.; Kiselev, M.G.; Efimov, S.V.; Klochkov, V.V. Comment on “Conformational Analysis of Small Organic Molecules Using NOE and RDC Data: A Discussion of Strychnine and α-Methylene-γ-Butyrolactone” . J. Magn. Reson. 2016, 266, 67–68. [Google Scholar] [CrossRef]
- Novikova, D.; Al Mustafa, A.; Grigoreva, T.; Vorona, S.; Selivanov, S.; Tribulovich, V. NMR-Verified Dearomatization of 5,7-Substituted Pyrazolo [1,5-a]Pyrimidines. Molecules 2023, 28, 6584. [Google Scholar] [CrossRef] [PubMed]
- Efimov, S.V.; Khodov, I.A.; Ratkova, E.L.; Kiselev, M.G.; Berger, S.; Klochkov, V.V. Detailed NOESY/T-ROESY Analysis as an Effective Method for Eliminating Spin Diffusion from 2D NOE Spectra of Small Flexible Molecules. J. Mol. Struct. 2016, 1104, 63–69. [Google Scholar] [CrossRef]
- Kolmer, A.; Edwards, L.J.; Kuprov, I.; Thiele, C.M. Conformational Analysis of Small Organic Molecules Using NOE and RDC Data: A Discussion of Strychnine and α-Methylene-γ-Butyrolactone. J. Magn. Reson. 2015, 261, 101–109. [Google Scholar] [CrossRef]
- Dewis, L.; Crouch, R.; Russell, D.; Butts, C. Improving the Accuracy of 1H–19F Internuclear Distance Measurement Using 2D 1H–19F HOESY. Magn. Reson. Chem. 2019, 57, 1143–1149. [Google Scholar] [CrossRef]
- Pronina, Y.A.; Stepakov, A.V.; Popova, E.A.; Boitsov, V.M.; Baichurin, R.I.; Selivanov, S.I. Diastereomers of Cyclopropa[a]Pyrrolizine Spiro-Fused with a Benzo [4,5]Imidazo [1,2-a]Indole Fragment: Structure Determinations Using NMR Methods. Appl. Magn. Reson. 2023, 54, 999–1014. [Google Scholar] [CrossRef]
- Le, Y.; Ji, H.; Chen, J.F.; Shen, Z.; Yun, J.; Pu, M. Nanosized Bicalutamide and Its Molecular Structure in Solvents. Int. J. Pharm. 2009, 370, 175–180. [Google Scholar] [CrossRef] [PubMed]
- Sargsyan, K.; Grauffel, C.; Lim, C. How Molecular Size Impacts RMSD Applications in Molecular Dynamics Simulations. J. Chem. Theory Comput. 2017, 13, 1518–1524. [Google Scholar] [CrossRef] [PubMed]
- Maiorov, V.N.; Crippen, G.M. Size-Independent Comparison of Protein Three-Dimensional Structures. Proteins Struct. Funct. Bioinform. 1995, 22, 273–283. [Google Scholar] [CrossRef]
- Martínez, L. Automatic Identification of Mobile and Rigid Substructures in Molecular Dynamics Simulations and Fractional Structural Fluctuation Analysis. PLoS ONE 2015, 10, e0119264. [Google Scholar] [CrossRef]
- Wang, X. A Normalized Weighted RMSD Measure for Protein Structure Superposition. In Proceedings of the International Symposium on Bioinformatics Research and Applications (ISBRA) 2011, Changsha, China, 27–29 May 2011. [Google Scholar]
- Delaglio, F.; Walker, G.S.; Farley, K.; Sharma, R.; Hoch, J.; Arbogast, L.; Brinson, R.; Marino, J.P. Non-Uniform Sampling for All: More NMR Spectral Quality, Less Measurement Time. Am. Pharm. Rev. 2017, 20, 339681. [Google Scholar]
- Kazimierczuk, K.; Orekhov, V. Non-Uniform Sampling: Post-Fourier Era of NMR Data Collection and Processing. Magn. Reson. Chem. 2015, 53, 921–926. [Google Scholar] [CrossRef] [PubMed]
- Luo, J.; Zeng, Q.; Wu, K.; Lin, Y. Fast Reconstruction of Non-Uniform Sampling Multidimensional NMR Spectroscopy via a Deep Neural Network. J. Magn. Reson. 2020, 317, 106772. [Google Scholar] [CrossRef] [PubMed]
- Nawrocka, E.K.; Kasprzak, P.; Zawada, K.; Sadło, J.; Grochala, W.; Kazimierczuk, K.; Leszczyński, P.J. Nonstationary Two-Dimensional Nuclear Magnetic Resonance: A Method for Studying Reaction Mechanisms in Situ. Anal. Chem. 2019, 91, 11306–11315. [Google Scholar] [CrossRef] [PubMed]
- Gołowicz, D.; Kasprzak, P.; Orekhov, V.; Kazimierczuk, K. Fast Time-Resolved NMR with Non-Uniform Sampling. Prog. Nucl. Magn. Reson. Spectrosc. 2020, 116, 40–55. [Google Scholar] [CrossRef] [PubMed]
- Willker, W.; Leibfritz, D.; Kerssebaum, R.; Bermel, W. Gradient Selection in Inverse Heteronuclear Correlation Spectroscopy. Magn. Reson. Chem. 1993, 31, 287–292. [Google Scholar] [CrossRef]
- Palmer III, A.G.; Cavanagh, J.; Wright, P.E.; Rance, M. Sensitivity Improvement in Proton-Detected Two-Dimensional Heteronuclear Correlation NMR Spectroscopy. J. Magn. Reson. 1991, 93, 151–170. [Google Scholar] [CrossRef]
- Kay, L.E.; Keifer, P.; Saarinen, T. Pure Absorption Gradient Enhanced Heteronuclear Single Quantum Correlation Spectroscopy with Improved Sensitivity. J. Am. Chem. Soc. 1992, 114, 10663–10665. [Google Scholar] [CrossRef]
- Schleucher, J.; Schwendinger, M.; Sattler, M.; Schmidt, P.; Schedletzky, O.; Glaser, S.J.J.; Sorensen, O.W.; Griesinger, C.; Sørensen, O.W.; Griesinger, C. A General Enhancement Scheme in Heteronuclear Multidimensional NMR Employing Pulsed Field Gradients. J. Biomol. NMR 1994, 4, 301–306. [Google Scholar] [CrossRef]
- Cicero, D.O.; Barbato, G.; Bazzo, R. Sensitivity Enhancement of a Two-Dimensional Experiment for the Measurement of Heteronuclear Long Range Coupling Constants, by a New Scheme of Coherence. J. Magn. Reason. 2001, 148, 209–213. [Google Scholar] [CrossRef]
- Liu, M.; Mao, X.A.; Ye, C.; Huang, H.; Nicholson, J.K.; Lindon, J.C. Improved Watergate Pulse Sequences for Solvent Suppression in NMR Spectroscopy. J. Magn. Reson. 1998, 132, 125–129. [Google Scholar] [CrossRef]
- Bax, A.; Davis, D.G. MLEV-17-Based Two-Dimensional Homonuclear Magnetization Transfer Spectroscopy. J. Magn. Reson. 1985, 65, 355–360. [Google Scholar] [CrossRef]
- Wagner, R.; Berger, S. Gradient-Selected NOESY—A Fourfold Reduction of the Measurement Time for the NOESY Experiment. J. Magn. Reson. Ser. A 1996, 123, 119–121. [Google Scholar] [CrossRef] [PubMed]
- Jeener, J.; Meier, B.H.; Bachmann, P.; Ernst, R.R. Investigation of Exchange Processes by Two-Dimensional NMR Spectroscopy. J. Chem. Phys. 1979, 71, 4546–4553. [Google Scholar] [CrossRef]
- Allouche, A.R. Gabedita—A Graphical User Interface for Computational Chemistry Softwares. J. Comput. Chem. 2011, 32, 174–182. [Google Scholar] [CrossRef] [PubMed]
- Yang, L.; Tan, C.H.; Hsieh, M.J.; Wang, J.; Duan, Y.; Cieplak, P.; Caldwell, J.; Kollman, P.A.; Luo, R. New-Generation Amber United-Atom Force Field. J. Phys. Chem. B 2006, 110, 13166–13176. [Google Scholar] [CrossRef]
- Stewart, J.J.P. Application of the PM6 Method to Modeling Proteins. J. Mol. Model. 2009, 15, 765–805. [Google Scholar] [CrossRef]
- Austin, A.; Petersson, G.A.; Frisch, M.J.; Dobek, F.J.; Scalmani, G.; Throssell, K. A Density Functional with Spherical Atom Dispersion Terms. J. Chem. Theory Comput. 2012, 8, 4989–5007. [Google Scholar] [CrossRef]
- Barrientos, L.; Miranda-Rojas, S.; Mendizabal, F. Noncovalent Interactions in Inorganic Supramolecular Chemistry Based in Heavy Metals. Quantum Chemistry Point of View. Int. J. Quantum Chem. 2019, 119, e25675. [Google Scholar] [CrossRef]
- Wiberg, K.B. Basis Set Effects on Calculated Geometries: 6-311++G** vs. Aug-Cc-PVDZ. J. Comput. Chem. 2004, 25, 1342–1346. [Google Scholar] [CrossRef]
- Barbosa, W.G.; Santos, C.V., Jr.; Andrade, R.B.; Lucena, J.R.; Moura, R.T. Bond Analysis in Meta- and Para-Substituted Thiophenols: Overlap Descriptors, Local Mode Analysis, and QTAIM. J. Mol. Model. 2024, 30, 1–16. [Google Scholar] [CrossRef]
- Vashchenko, A.V.; Afonin, A.V. Comparative Estimation of the Energies of Intramolecular C-H…O, N-H…O, and O-H…O Hydrogen Bonds According to the QTAIM Analysis and NMR Spectroscopy Data. J. Struct. Chem. 2014, 55, 636–643. [Google Scholar] [CrossRef]
- Afonin, A.V.; Rusinska-Roszak, D. Quantification of Hydrogen Bond Energy Based on Equations Using Spectroscopic, Structural, QTAIM-Based, and NBO-Based Descriptors Which Calibrated by the Molecular Tailoring Approach. J. Mol. Model. 2024, 30, 18. [Google Scholar] [CrossRef] [PubMed]
- Marenich, A.V.; Cramer, C.J.; Truhlar, D.G. Universal Solvation Model Based on Solute Electron Density and on a Continuum Model of the Solvent Defined by the Bulk Dielectric Constant and Atomic Surface Tensions. J. Phys. Chem. B 2009, 113, 6378–6396. [Google Scholar] [CrossRef] [PubMed]












| No | ∆E, kJ/mol | HB Type | EHB, kJ/mol | R(X...Y), Å | R(H...Y), Å | ∠(X-H...Y), ° | Structure |
|---|---|---|---|---|---|---|---|
| 1 | 0.00 | N-H...OH | −28.47 | 2.607 | 2.013 | 114.95 | ![]() |
| O-H...OS | −38.32 | 2.726 | 1.818 | 154.04 | |||
| 2 | 1.35 | N-H...OH | −28.99 | 2.603 | 2.005 | 115.25 | ![]() |
| O-H...OS | −38.56 | 2.726 | 1.816 | 154.36 | |||
| 3 | 25.59 | N-H...OH | −27.59 | 2.615 | 2.025 | 114.77 | ![]() |
| O-H...OS | −33.99 | 2.767 | 1.869 | 152.55 | |||
| 4 | 26.01 | N-H...OH | −27.50 | 2.616 | 2.026 | 114.77 | ![]() |
| O-H...OS | −33.54 | 2.772 | 1.874 | 152.61 | |||
| 5 | 29.71 | N-H...OH | −30.49 | 2.533 | 1.949 | 113.81 | ![]() |
| O-H...OS | −31.05 | 2.740 | 1.895 | 144.11 | |||
| 6 | 30.05 | N-H...OH | −23.92 | 2.638 | 2.104 | 110.64 | ![]() |
| N-H...OS | −9.04 | 3.095 | 2.450 | 120.92 | |||
| 7 | 30.26 | N-H...OH | −24.81 | 2.628 | 2.082 | 111.54 | ![]() |
| N-H...OS | −9.03 | 3.072 | 2.463 | 118.09 | |||
| 8 | 30.30 | N-H...OS | −44.67 | 2.760 | 1.761 | 165.19 | ![]() |
| O-H...OC | −42.00 | 2.547 | 1.881 | 132.18 | |||
| 9 | 30.61 | N-H...OH | −30.40 | 2.534 | 1.951 | 113.81 | ![]() |
| O-H...OS | −31.22 | 2.739 | 1.893 | 144.30 | |||
| 10 | 31.02 | N-H...OH | −30.32 | 2.538 | 1.953 | 113.97 | ![]() |
| O-H...OS | −30.60 | 2.751 | 1.896 | 145.69 |
| Conformer No | H12a-H12b, Å | H15/17-H14/18, Å | H12b-H14/18, Å | |
|---|---|---|---|---|
| BCL-1 | 1.78 | 2.81 | 4.33 | |
| BCL-2 | 1.78 | 2.80 | 4.31 | |
| BCL-3 | 1.79 | 2.81 | 3.44 | |
| BCL-4 | 1.79 | 2.81 | 3.45 | |
| BCL-5 | 1.78 | 2.81 | 3.62 | |
| BCL-6 | 1.77 | 2.78 | 4.11 | |
| BCL-7 | 1.77 | 2.79 | 4.11 | |
| BCL-8 | 1.77 | 2.81 | 3.34 | |
| BCL-9 | 1.78 | 2.81 | 3.61 | |
| BCL-10 | 1.77 | 2.81 | 2.97 | |
| Aver. Val. | 1.78 | 2.80 | Open | Close |
| 3.35 | 4.21 | |||
| Structure | H12a-H12b, Å | H14/18-H15/17, Å | H12b-H14/18, Å | |
|---|---|---|---|---|
| JAYCES01 | 1.56 | 2.60 | 3.53 | |
| JAYCES02 | 1.56 | 2.59 | 4.25 | |
| FAHFIG | 1.56 | 2.59 | 3.16 | |
| KIHZOR | 1.56 | 2.61 | 4.33 | |
| KIHZIL | 1.57 | 2.60 | 3.43 | |
| 1Z95 | 1.85 | 2.76 | 4.03 | |
| JAYCES | 1.58 | 2.62 | 3.49 | |
| Aver. Val. | 1.59 | 2.62 | Open | Close |
| 3.38 | 4.19 | |||
Disclaimer/Publisher’s Note: The statements, opinions and data contained in all publications are solely those of the individual author(s) and contributor(s) and not of MDPI and/or the editor(s). MDPI and/or the editor(s) disclaim responsibility for any injury to people or property resulting from any ideas, methods, instructions or products referred to in the content. |
© 2024 by the authors. Licensee MDPI, Basel, Switzerland. This article is an open access article distributed under the terms and conditions of the Creative Commons Attribution (CC BY) license (https://creativecommons.org/licenses/by/4.0/).
Share and Cite
Sobornova, V.V.; Belov, K.V.; Krestyaninov, M.A.; Khodov, I.A. Influence of Solvent Polarity on the Conformer Ratio of Bicalutamide in Saturated Solutions: Insights from NOESY NMR Analysis and Quantum-Chemical Calculations. Int. J. Mol. Sci. 2024, 25, 8254. https://doi.org/10.3390/ijms25158254
Sobornova VV, Belov KV, Krestyaninov MA, Khodov IA. Influence of Solvent Polarity on the Conformer Ratio of Bicalutamide in Saturated Solutions: Insights from NOESY NMR Analysis and Quantum-Chemical Calculations. International Journal of Molecular Sciences. 2024; 25(15):8254. https://doi.org/10.3390/ijms25158254
Chicago/Turabian StyleSobornova, Valentina V., Konstantin V. Belov, Michael A. Krestyaninov, and Ilya A. Khodov. 2024. "Influence of Solvent Polarity on the Conformer Ratio of Bicalutamide in Saturated Solutions: Insights from NOESY NMR Analysis and Quantum-Chemical Calculations" International Journal of Molecular Sciences 25, no. 15: 8254. https://doi.org/10.3390/ijms25158254
APA StyleSobornova, V. V., Belov, K. V., Krestyaninov, M. A., & Khodov, I. A. (2024). Influence of Solvent Polarity on the Conformer Ratio of Bicalutamide in Saturated Solutions: Insights from NOESY NMR Analysis and Quantum-Chemical Calculations. International Journal of Molecular Sciences, 25(15), 8254. https://doi.org/10.3390/ijms25158254











