The REPLUMLESS Transcription Factor Controls the Expression of the RECEPTOR-LIKE CYTOPLASMIC KINASE VI_A2 Gene Involved in Shoot and Fruit Patterning of Arabidopsis thaliana
Abstract
1. Introduction
2. Results
2.1. The RPL Homeobox TF Controls RLCKVI_A2 Gene Expression
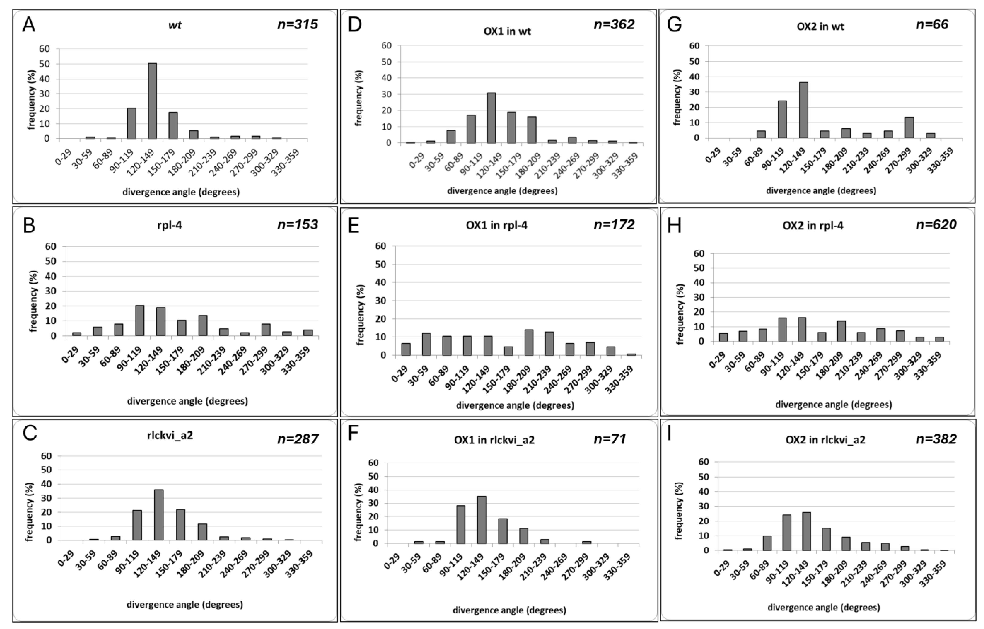
2.2. The RLCKVI_A2 and the RPL Genes Are Involved in Similar Processes
2.3. The Ectopic Expression of the RLCKVI_A2 Gene Interferes with RPL4-Regulated Processes but Cannot Complement the Rpl-4 Mutation
3. Discussion
4. Materials and Methods
4.1. Promoter Cloning and Analysis
4.2. Arabidopsis Transformation
4.3. Western Blot Analysis of GFP:RLCKVI_A2 Protein Abundance
4.4. GUS Staining
4.5. Phyllotactic Pattern Measurements
4.6. Scanning Electron Microscopy (SEM)
4.7. Preparation and Microscopy of Cross-Sections of Arabidopsis Siliques and Inflorescence Stems
4.8. Image Processing, Statistics, and Reproducibility
5. Conclusions
Supplementary Materials
Author Contributions
Funding
Institutional Review Board Statement
Informed Consent Statement
Data Availability Statement
Acknowledgments
Conflicts of Interest
References
- Berken, A. ROPs in the Spotlight of Plant Signal Transduction. Cell. Mol. Life Sci. 2006, 63, 2446–2459. [Google Scholar] [CrossRef]
- Fehér, A.; Lajkó, D.B. Signals Fly When Kinases Meet Rho-of-Plants (ROP) Small G-Proteins. Plant Sci. 2015, 237, 93–107. [Google Scholar] [CrossRef]
- Miyawaki, K.N.; Yang, Z. Extracellular Signals and Receptor-like Kinases Regulating ROP GTPases in Plants. Front. Plant Sci. 2014, 5, 449. [Google Scholar] [CrossRef]
- Dorjgotov, D.; Jurca, E.; Fodor, C.; Szűcs, A.; Ötvös, K.; Klement, É.; Bíró, J.; Fehér, A. Plant Rho-Type (Rop) GTPase-Dependent Activation of Receptor-like Cytoplasmic Kinases in Vitro. FEBS Lett. 2009, 583, 1175–1182. [Google Scholar] [CrossRef]
- Huesmann, C.; Reiner, T.; Hoefle, C.; Preuss, J.; Jurca, M.E.; Domoki, M.; Fehér, A.; Hückelhoven, R. Barley ROP Binding Kinase1 Is Involved in Microtubule Organization and in Basal Penetration Resistance to the Barley Powdery Mildew Fungus. Plant Physiol. 2012, 159, 311–320. [Google Scholar] [CrossRef]
- Reiner, T.; Hoefle, C.; Huesmann, C.; Ménesi, D.; Fehér, A.; Hückelhoven, R. The Arabidopsis ROP-Activated Receptor-like Cytoplasmic Kinase RLCK VI_A3 Is Involved in Control of Basal Resistance to Powdery Mildew and Trichome Branching. Plant Cell Rep. 2015, 34, 457–468. [Google Scholar] [CrossRef]
- Enders, T.A.; Frick, E.M.; Strader, L.C. An Arabidopsis Kinase Cascade Influences Auxin-Responsive Cell Expansion. Plant J. 2017, 92, 68–81. [Google Scholar] [CrossRef]
- Lajkó, D.B.; Valkai, I.; Domoki, M.; Ménesi, D.; Ferenc, G.; Ayaydin, F.; Fehér, A. In Silico Identification and Experimental Validation of Amino Acid Motifs Required for the Rho-of-Plants GTPase-Mediated Activation of Receptor-like Cytoplasmic Kinases. Plant Cell Rep. 2018, 37, 627–639. [Google Scholar] [CrossRef]
- Jurca, M.E.; Bottka, S.; Fehér, A. Characterization of a Family of Arabidopsis Receptor-like Cytoplasmic Kinases (RLCK Class VI). Plant Cell Rep. 2008, 27, 739–748. [Google Scholar] [CrossRef]
- Valkai, I.; Kénesi, E.; Domonkos, I.; Ayaydin, F.; Tarkowská, D.; Strnad, M.; Faragó, A.; Bodai, L.; Fehér, A. The Arabidopsis RLCK VI_A2 Kinase Controls Seedling and Plant Growth in Parallel with Gibberellin. Int. J. Mol. Sci. 2020, 21, 7266. [Google Scholar] [CrossRef]
- Bhatt, A.M.; Etchells, J.P.; Canales, C.; Lagodienko, A.; Dickinson, H. VAAMANA—A BEL1-like Homeodomain Protein, Interacts with KNOX Proteins BP and STM and Regulates Inflorescence Stem Growth in Arabidopsis. Gene 2004, 328, 103–111. [Google Scholar] [CrossRef] [PubMed]
- Cole, M.; Nolte, C.; Werr, W. Nuclear Import of the Transcription Factor SHOOT MERISTEMLESS Depends on Heterodimerization with BLH Proteins Expressed in Discrete Sub-Domains of the Shoot Apical Meristem of Arabidopsis thaliana. Nucleic Acids Res. 2006, 34, 1281–1292. [Google Scholar] [CrossRef] [PubMed]
- Etchells, J.P.; Moore, L.; Jiang, W.Z.; Prescott, H.; Capper, R.; Saunders, N.J.; Bhatt, A.M.; Dickinson, H.G. A Role for BELLRINGER in Cell Wall Development Is Supported by Loss-of-Function Phenotypes. BMC Plant Biol. 2012, 12, 212. [Google Scholar] [CrossRef]
- Hepworth, S.R.; Pautot, V.A. Beyond the Divide: Boundaries for Patterning and Stem Cell Regulation in Plants. Front. Plant Sci. 2015, 6, 1052. [Google Scholar] [CrossRef]
- Peaucelle, A.; Louvet, R.; Johansen, J.N.; Salsac, F.; Morin, H.; Fournet, F.; Belcram, K.; Gillet, F.; Höfte, H.; Laufs, P.; et al. The Transcription Factor BELLRINGER Modulates Phyllotaxis by Regulating the Expression of a Pectin Methylesterase in Arabidopsis. Development 2011, 138, 4733–4741. [Google Scholar] [CrossRef]
- Ung, N.; Lal, S.; Smith, H.M.S. The Role of PENNYWISE and POUND-FOOLISH in the Maintenance of the Shoot Apical Meristem in Arabidopsis. Plant Physiol. 2011, 156, 605–614. [Google Scholar] [CrossRef]
- Byrne, M.E.; Groover, A.T.; Fontana, J.R.; Martienssen, R.A. Phyllotactic Pattern and Stem Cell Fate Are Determined by the Arabidopsis Homeobox Gene BELLRINGER. Development 2003, 130, 3941–3950. [Google Scholar] [CrossRef]
- Smith, H.M.S.; Hake, S. The Interaction of Two Homeobox Genes, BREVIPEDICELLUS and PENNYWISE, Regulates Internode Patterning in the Arabidopsis Inflorescence. Plant Cell 2003, 15, 1717–1727. [Google Scholar] [CrossRef]
- Bao, X.; Franks, R.G.; Levin, J.Z.; Liu, Z. Repression of AGAMOUS by BELLRINGER in Floral and Inflorescence Meristems. Plant Cell 2004, 16, 1478–1489. [Google Scholar] [CrossRef]
- Kanrar, S.; Bhattacharya, M.; Arthur, B.; Courtier, J.; Smith, H.M.S. Regulatory Networks That Function to Specify Flower Meristems Require the Function of Homeobox Genes PENNYWISE and POUND-FOOLISH in Arabidopsis. Plant J. 2008, 54, 924–937. [Google Scholar] [CrossRef]
- Andrés, F.; Romera-Branchat, M.; Martínez-Gallegos, R.; Patel, V.; Schneeberger, K.; Jang, S.; Altmüller, J.; Nürnberg, P.; Coupland, G. Floral Induction in Arabidopsis by FLOWERING LOCUS T Requires Direct Repression of BLADE-ON-PETIOLE Genes by the Homeodomain Protein PENNYWISE. Plant Physiol. 2015, 169, 2187–2199. [Google Scholar] [CrossRef] [PubMed]
- Roeder, A.H.K.; Ferrándiz, C.; Yanofsky, M.F. The Role of the REPLUMLESS Homeodomain Protein in Patterning the Arabidopsis Fruit. Curr. Biol. 2003, 13, 1630–1635. [Google Scholar] [CrossRef] [PubMed]
- González-Reig, S.; Ripoll, J.J.; Vera, A.; Yanofsky, M.F.; Martínez-Laborda, A. Antagonistic Gene Activities Determine the Formation of Pattern Elements along the Mediolateral Axis of the Arabidopsis Fruit. PLoS Genet. 2012, 8, e1003020. [Google Scholar] [CrossRef] [PubMed]
- Oda, Y.; Fukuda, H. Emerging Roles of Small GTPases in Secondary Cell Wall Development. Front. Plant Sci. 2014, 5, 428. [Google Scholar] [CrossRef] [PubMed]
- Li, H.; Shen, J.-J.; Zheng, Z.-L.; Lin, Y.; Yang, Z. The Rop GTPase Switch Controls Multiple Developmental Processes in Arabidopsis. Plant Physiol. 2001, 126, 670–684. [Google Scholar] [CrossRef] [PubMed]
- Xu, M.; Wang, X.; Liu, J.; Jia, A.; Xu, C.; Deng, X.W.; He, G. Natural Variation in the Transcription Factor REPLUMLESS Contributes to Both Disease Resistance and Plant Growth in Arabidopsis. Plant Commun 2022, 3, 100351. [Google Scholar] [CrossRef] [PubMed]
- Kuhlemeier, C. Phyllotaxis. Trends Plant Sci. 2007, 12, 143–150. [Google Scholar] [CrossRef] [PubMed]
- Boyes, D.C.; Zayed, A.M.; Ascenzi, R.; McCaskill, A.J.; Hoffman, N.E.; Davis, K.R.; Görlach, J. Growth Stage–Based Phenotypic Analysis of Arabidopsis: A Model for High Throughput Functional Genomics in Plants. Plant Cell 2001, 13, 1499–1510. [Google Scholar] [CrossRef] [PubMed]
- Khan, M.; Xu, M.; Murmu, J.; Tabb, P.; Liu, Y.; Storey, K.; McKim, S.M.; Douglas, C.J.; Hepworth, S.R. Antagonistic Interaction of BLADE-ON-PETIOLE1 and 2 with BREVIPEDICELLUS and PENNYWISE Regulates Arabidopsis Inflorescence Architecture. Plant Physiol. 2012, 158, 946–960. [Google Scholar] [CrossRef]
- Kanrar, S.; Onguka, O.; Smith, H.M.S. Arabidopsis Inflorescence Architecture Requires the Activities of KNOX-BELL Homeodomain Heterodimers. Planta 2006, 224, 1163–1173. [Google Scholar] [CrossRef]
- Alonso-Cantabrana, H.; Ripoll, J.J.; Ochando, I.; Vera, A.; Ferrándiz, C.; Martínez-Laborda, A. Common Regulatory Networks in Leaf and Fruit Patterning Revealed by Mutations in the Arabidopsis ASYMMETRIC LEAVES1 Gene. Development 2007, 134, 2663–2671. [Google Scholar] [CrossRef] [PubMed]
- Ragni, L.; Truernit, E.; Pautot, V. KNOXing on the BELL: TALE Homeobox Genes and Meristem Activity. Int. J. Plant Dev. Biol. 2007, 1, 42–48. [Google Scholar]
- Ragni, L.; Belles-Boix, E.; Günl, M.; Pautot, V. Interaction of KNAT6 and KNAT2 with BREVIPEDICELLUS and PENNYWISE in Arabidopsis Inflorescences. Plant Cell 2008, 20, 888–900. [Google Scholar] [CrossRef] [PubMed]
- Yu, L.; Patibanda, V.; Smith, H.M.S. A Novel Role of BELL1-like Homeobox Genes, PENNYWISE and POUND-FOOLISH, in Floral Patterning. Planta 2009, 229, 693–707. [Google Scholar] [CrossRef] [PubMed]
- Arnaud, N.; Pautot, V. Ring the BELL and Tie the KNOX: Roles for TALEs in Gynoecium Development. Front. Plant Sci. 2014, 5, 93. [Google Scholar] [CrossRef]
- Sehra, B.; Franks, R.G. Redundant CArG Box Cis-Motif Activity Mediates SHATTERPROOF2 Transcriptional Regulation during Arabidopsis thaliana Gynoecium Development. Front. Plant Sci. 2017, 8, 1712. [Google Scholar] [CrossRef] [PubMed]
- Simonini, S.; Stephenson, P.; Østergaard, L. A Molecular Framework Controlling Style Morphology in Brassicaceae. Development 2018, 145, dev158105. [Google Scholar] [CrossRef] [PubMed]
- Bencivenga, S.; Serrano-Mislata, A.; Bush, M.; Fox, S.; Sablowski, R. Control of Oriented Tissue Growth through Repression of Organ Boundary Genes Promotes Stem Morphogenesis. Dev. Cell 2016, 39, 198–208. [Google Scholar] [CrossRef] [PubMed]
- Yadav, R.K.; Tavakkoli, M.; Xie, M.; Girke, T.; Reddy, G.V. A High-Resolution Gene Expression Map of the Arabidopsis Shoot Meristem Stem Cell Niche. Development 2014, 141, 2735–2744. [Google Scholar] [CrossRef]
- Curtis, M.D.; Grossniklaus, U. A Gateway Cloning Vector Set for High-Throughput Functional Analysis of Genes in Planta. Plant Physiol. 2003, 133, 462–469. [Google Scholar] [CrossRef]
- Karimi, M.; Inzé, D.; Depicker, A. GATEWAYTM Vectors for Agrobacterium-Mediated Plant Transformation. Trends Plant Sci. 2002, 7, 193–195. [Google Scholar] [CrossRef] [PubMed]
- Koncz, C.; Martini, N.; Szabados, L.; Hrouda, M.; Bachmair, A.; Schell, J. Specialized Vectors for Gene Tagging and Expression Studies. In Plant Molecular Biology Manual; Gelvin, S.B., Schilperoort, R.A., Eds.; Springer: Dordrecht, The Netherlands, 1994; pp. 53–74. ISBN 978-94-011-0511-8. [Google Scholar]
- Wise, A.A.; Liu, Z.; Binns, A.N. Three Methods for the Introduction of Foreign DNA into Agrobacterium. In Agrobacterium Protocols; Wang, K., Ed.; Methods in Molecular Biology; Humana Press: Totowa, NJ, USA, 2006; pp. 43–54. ISBN 978-1-59745-130-7. [Google Scholar]
- Clough, S.J.; Bent, A.F. Floral Dip: A Simplified Method for Agrobacterium -Mediated Transformation of Arabidopsis thaliana. Plant J. 1998, 16, 735–743. [Google Scholar] [CrossRef] [PubMed]
- Barroso, J.B.; Corpas, F.J.; Carreras, A.; Rodríguez-Serrano, M.; Esteban, F.J.; Fernández-Ocaña, A.; Chaki, M.; Romero-Puertas, M.C.; Valderrama, R.; Sandalio, L.M.; et al. Localization of S-Nitrosoglutathione and Expression of S-Nitrosoglutathione Reductase in Pea Plants under Cadmium Stress. J. Exp. Bot. 2006, 57, 1785–1793. [Google Scholar] [CrossRef] [PubMed]
- Zelko, I.; Lux, A.; Sterckeman, T.; Martinka, M.; Kollárová, K.; Lišková, D. An Easy Method for Cutting and Fluorescent Staining of Thin Roots. Ann. Bot. 2012, 110, 475–478. [Google Scholar] [CrossRef]
- Pradhan Mitra, P.; Loqué, D. Histochemical Staining of Arabidopsis thaliana Secondary Cell Wall Elements. J. Vis. Exp. 2014, 87, e51381. [Google Scholar] [CrossRef]
- Ghanati, F.; Morita, A.; Yokota, H. Induction of Suberin and Increase of Lignin Content by Excess Boron in Tobacco Cells. Soil Sci. Plant Nutr. 2002, 48, 357–364. [Google Scholar] [CrossRef]
- Schneider, C.A.; Rasband, W.S.; Eliceiri, K.W. NIH Image to ImageJ: 25 Years of Image Analysis. Nat. Methods 2012, 9, 671–675. [Google Scholar] [CrossRef]






Disclaimer/Publisher’s Note: The statements, opinions and data contained in all publications are solely those of the individual author(s) and contributor(s) and not of MDPI and/or the editor(s). MDPI and/or the editor(s) disclaim responsibility for any injury to people or property resulting from any ideas, methods, instructions or products referred to in the content. |
© 2024 by the authors. Licensee MDPI, Basel, Switzerland. This article is an open access article distributed under the terms and conditions of the Creative Commons Attribution (CC BY) license (https://creativecommons.org/licenses/by/4.0/).
Share and Cite
Kenesi, E.; Beöthy-Fehér, O.; Szőllősi, R.; Domonkos, I.; Valkai, I.; Fehér, A. The REPLUMLESS Transcription Factor Controls the Expression of the RECEPTOR-LIKE CYTOPLASMIC KINASE VI_A2 Gene Involved in Shoot and Fruit Patterning of Arabidopsis thaliana. Int. J. Mol. Sci. 2024, 25, 8001. https://doi.org/10.3390/ijms25148001
Kenesi E, Beöthy-Fehér O, Szőllősi R, Domonkos I, Valkai I, Fehér A. The REPLUMLESS Transcription Factor Controls the Expression of the RECEPTOR-LIKE CYTOPLASMIC KINASE VI_A2 Gene Involved in Shoot and Fruit Patterning of Arabidopsis thaliana. International Journal of Molecular Sciences. 2024; 25(14):8001. https://doi.org/10.3390/ijms25148001
Chicago/Turabian StyleKenesi, Erzsébet, Orsolya Beöthy-Fehér, Réka Szőllősi, Ildikó Domonkos, Ildikó Valkai, and Attila Fehér. 2024. "The REPLUMLESS Transcription Factor Controls the Expression of the RECEPTOR-LIKE CYTOPLASMIC KINASE VI_A2 Gene Involved in Shoot and Fruit Patterning of Arabidopsis thaliana" International Journal of Molecular Sciences 25, no. 14: 8001. https://doi.org/10.3390/ijms25148001
APA StyleKenesi, E., Beöthy-Fehér, O., Szőllősi, R., Domonkos, I., Valkai, I., & Fehér, A. (2024). The REPLUMLESS Transcription Factor Controls the Expression of the RECEPTOR-LIKE CYTOPLASMIC KINASE VI_A2 Gene Involved in Shoot and Fruit Patterning of Arabidopsis thaliana. International Journal of Molecular Sciences, 25(14), 8001. https://doi.org/10.3390/ijms25148001

