Insecticidal Triterpenes in Meliaceae III: Plant Species, Molecules, and Activities in Munronia–Xylocarpus
Abstract
1. Introduction
2. Plant Species and Their Insecticidal Chemicals
2.1. Munronia
2.2. Neobeguea
2.3. Pseudocedrela
2.4. Nymania
2.5. Quivisia
2.6. Ruagea
2.7. Dysoxylum
2.8. Soymida
2.9. Lansium
2.10. Sandoricum
2.11. Walsura
2.12. Trichilia
2.13. Swietenia
2.14. Turraea
2.15. Xylocarpus
3. Structures and Structure–Activity Relationship (SAR) of the Insecticidal Chemicals
3.1. Structures of the Insecticidal Chemicals
3.2. Structure–Activity Relationship (SAR) of the Insecticidal Chemicals
4. Insecticidal Mechanism of Action
5. Environmental Toxicity
6. Future Outlook
Author Contributions
Funding
Conflicts of Interest
References
- Arnason, J.T.; Philogéne, B.J.R.; Morand, P.F. Insecticides of plant origin. ChemInform 1989, 387, 21. [Google Scholar]
- Yadav, P.A.; Suresh, G.; Rao, M.S.A.; Shankaraiah, G.; Usha, R.P.; Babu, K.S. Limonoids from the leaves of Soymida febrifuga and their insect antifeedant activities. Bioorg. Med. Chem. Lett. 2014, 24, 888–892. [Google Scholar] [CrossRef] [PubMed]
- Tan, Q.G.; Luo, X.D. Meliaceous limonoids: Chemistry and biological activities. Chem. Rev. 2011, 111, 7437–7522. [Google Scholar] [CrossRef] [PubMed]
- Liao, S.G.; Chen, H.D.; Yue, J.M. Plant orthoesters. Chem. Rev. 2009, 109, 1092–1140. [Google Scholar] [CrossRef] [PubMed]
- Ascher, K.R.S. Nonconventional insecticidal effects of pesticides available from the neem tree, Azadirachta indica. Arch. Insect Biochem. Physiol. 1993, 22, 433–449. [Google Scholar] [CrossRef]
- Kilani-Morakchi, S.; Morakchi-Goudjil, H.; Sifi, K. Azadirachtin-based insecticide: Overview, risk assessments, and future directions. Front. Agron. 2021, 3, 676208. [Google Scholar] [CrossRef]
- Duc, D.X.; Hieu, T.T.; Thuy, P.T. Isolation and bioactivities of limonoids from meliaceae family: A review. Curr. Org. Chem. 2022, 26, 1359–1430. [Google Scholar]
- Thakur, N.; Kaur, S.; Tomar, P.; Thakur, S.; Yadav, A.N. Microbial biopesticides: Current status and advancement for sustainable agriculture and environment. In New and Future Developments in Microbial Biotechnology and Bioengineering; Rastegari, A.A., Yadav, A.N., Yadav, N., Eds.; Elsevier: Amsterdam, The Netherlands, 2020; pp. 243–282. [Google Scholar]
- Roy, A.; Saraf, S. Limonoids: Overview of significant bioactive triterpenes distributed in plants kingdom. Biol. Pharm. Bull. 2006, 29, 191–201. [Google Scholar] [CrossRef] [PubMed]
- Lin, M.; Yang, S.; Huang, J.; Zhou, L. Insecticidal triterpenes in meliaceae: Plant species, molecules and activities: Part I (Aphanamixis-Chukrasia). Int. J. Mol. Sci. 2021, 22, 13262. [Google Scholar] [CrossRef] [PubMed]
- Lin, M.; Bi, X.; Zhou, L.; Huang, J. Insecticidal triterpenes in meliaceae: Plant species, molecules, and activities: Part II (Cipadessa, Melia). Int. J. Mol. Sci. 2022, 23, 5329. [Google Scholar] [CrossRef]
- Sun, Y.; Li, Q.; Sun, Y.; Cui, L.; Wang, Y.; Li, Y.; Luo, J.; Kong, L. Limonoids with diverse oxidation patterns of C-12 indicating a complete ring C-seco biogenetic pathway from Munronia unifoliolata. J. Nat. Prod. 2021, 84, 2352–2365. [Google Scholar] [CrossRef] [PubMed]
- Yang, X.R.; Tanaka, N.; Tsuji, D.; Lu, F.L.; Yan, X.J.; Itoh, K.; Li, D.P.; Kashiwada, Y. Limonoids from the aerial parts of Munronia pinnata. Tetrahedron 2019, 75, 130779. [Google Scholar] [CrossRef]
- Jayasinghe, U. Antimicrobial activity of some sri lankan rubiaceae and meliaceae. Fitoterapia 2002, 73, 424–427. [Google Scholar] [CrossRef] [PubMed]
- Lin, B.D.; Chen, H.D.; Liu, J.; Zhang, S.; Wu, Y.; Dong, L.; Yue, J.M. Mulavanins A–E: Limonoids from Munronia delavayi. Phytochemistry 2010, 71, 1596–1601. [Google Scholar] [CrossRef] [PubMed]
- Yan, Y.; Yuan, C.M.; Di, Y.T.; Huang, T.; Fan, Y.M.; Ma, Y.; Zhang, J.X.; Hao, X.J. Limonoids from Munronia henryi and their anti-tobacco mosaic virus activity. Fitoterapia 2015, 107, 29–35. [Google Scholar] [CrossRef]
- Yan, Y.; Tang, L.; Hu, J.; Wang, J.; Adelakun, T.A.; Yang, D.; Di, Y.; Zhang, Y.; Hao, X. Munronin O, a potential activator for plant resistance. Pestic. Biochem. Physiol. 2018, 146, 13–18. [Google Scholar] [CrossRef] [PubMed]
- Ge, Y.H.; Liu, K.X.; Zhang, J.X.; Mu, S.Z.; Hao, X.J. The limonoids and their antitobacco mosaic virus (TMV) activities from Munronia unifoliolata Oliv. J. Agric. Food Chem. 2012, 60, 4289–4295. [Google Scholar] [CrossRef]
- Qi, S.H.; Wu, D.G.; Chen, L.; Ma, Y.B.; Luo, X.D. Insect antifeedants from Munronia henryi: Structure of munroniamide. J. Agric. Food Chem. 2003, 51, 6949–6952. [Google Scholar] [CrossRef] [PubMed]
- Qi, S.H.; Chen, L.; Wu, D.G.; Ma, Y.B.; Luo, X.D. Novel tetranortriterpenoid derivatives from Munronia henryi. Tetrahedron 2003, 59, 4193–4199. [Google Scholar] [CrossRef]
- Fossen, T.; Yahorau, A.; Yahorava, S.; Raharinjato, F.; Razafimahefa, S.; Rasoanaivo, P.; Wikberg, J. New polyfunctional phragmalin limonoids from Neobeguea mahafalensis. Planta Medica 2016, 82, 1087–1095. [Google Scholar] [CrossRef]
- Randrianarivelojosia, M.; Kotsos, M.P.; Mulholland, D.A. A limonoid from Neobeguea mahafalensis. Phytochemistry 1999, 52, 1141–1143. [Google Scholar] [CrossRef]
- Coombes, P.H.; Mulholland, D.A.; Randrianarivelojosia, M. Phragmalin limonoids from the madagascan meliaceae Neobeguea leandreana. J. Nat. Prod. 2003, 66, 735–738. [Google Scholar] [CrossRef] [PubMed]
- Naidoo, D.; Mulholland, D.A.; Randrianarivelojosia, M.; Coombes, P.H. Limonoids and triterpenoids from the seed of Neobeguea mahafalensis. Biochem. Syst. Ecol. 2003, 31, 1047–1050. [Google Scholar] [CrossRef]
- Mulholland, D.A.; Taylor, D.A.H. Limonoid extractives from the genera Capuronianthus, Neobeguea and quivisianthe. Phytochemistry 1988, 27, 1741–1743. [Google Scholar] [CrossRef]
- Suresh, G.; Gopalakrishnan, G.; Wesley, S.D.; Pradeep Singh, N.D.; Malathi, R.; Rajan, S.S. Insect antifeedant activity of tetranortriterpenoids from the rutales. A Perusal of structural relations. J. Agric. Food Chem. 2002, 50, 4484–4490. [Google Scholar] [CrossRef]
- Sarria, A.L.F.; Soares, M.S.; Matos, A.P.; Fernandes, J.B.; Vieira, P.C.; das G. Fernandes da Silva, M.F. Effect of triterpenoids and limonoids isolated from Cabralea canjerana and Carapa guianensis (Meliaceae) against Spodoptera frugiperda (J. E. Smith). Z. Für Naturforschung C 2011, 66, 245–250. [Google Scholar] [CrossRef]
- Li, M.Y.; Zhang, J.; Feng, G.; Satyanandamurty, T.; Wu, J. Khayasin and 2′S-methylbutanoylproceranolide: Promising candidate insecticides for the control of the coconut leaf beetle, Brontispa longissima. J. Pestic. Sci. 2011, 36, 22–26. [Google Scholar] [CrossRef]
- Wu, J.; Zhang, S.; Long, L.J.; Li, Q.X. Limonin Compound-Wood Fruit Chinaberry Lactone and Its Use. Patent CN03140079.5, 7 August 2003. [Google Scholar]
- Alhassan, A.M.; Ahmed, Q.U.; Malami, I.; Zakaria, Z.A. Pseudocedrela kotschyi: A review of ethnomedicinal uses, pharmacology and phytochemistry. Pharm. Biol. 2021, 59, 953–961. [Google Scholar] [CrossRef] [PubMed]
- Sinan, K.I.; Dall’Acqua, S.; Ferrarese, I.; Mollica, A.; Stefanucci, A.; Glamočlija, J.; Sokovic, M.; Nenadić, M.; Aktumsek, A.; Zengin, G. LC-MS based analysis and biological properties of Pseudocedrela kotschyi (Schweinf.) Harms extracts: A valuable source of antioxidant, antifungal, and antibacterial compounds. Antioxidants 2021, 10, 1570. [Google Scholar] [CrossRef]
- Ahua, K.M.; Ioset, J.R.; Ioset, K.N.; Diallo, D.; Mauël, J.; Hostettmann, K. Antileishmanial activities associated with plants used in the malian traditional medicine. J. Ethnopharmacol. 2007, 110, 99–104. [Google Scholar] [CrossRef]
- Ayo, R.G.; Audu, O.T.; Ndukwe, G.I.; Ogunshola, A.M. Antimicrobial activity of extracts of leaves of Pseudocedrela kotschyi (Schweinf.) Harms. Afr. J. Biotechnol. 2010, 9, 7733–7737. [Google Scholar]
- Bello, O.M.; Zaki, A.A.; Khan, S.I.; Fasinu, P.S.; Ali, Z.; Khan, I.A.; Usman, L.A.; Oguntoye, O.S. Assessment of selected medicinal plants indigenous to west africa for antiprotozoal activity. South Afr. J. Bot. 2017, 113, 200–211. [Google Scholar] [CrossRef]
- Kassim, O.O.; Loyevsky, M.; Amonoo, H.; Lashley, L.; Ako-Nai, K.A.; Gordeuk, V.R. Inhibition of in-vitro growth of Plasmodium falciparum by Pseudocedrela kotschyi extract alone and in combination with Fagara zanthoxyloides extract. Trans. R. Soc. Trop. Med. Hyg. 2009, 103, 698–702. [Google Scholar] [CrossRef] [PubMed]
- Adeniyi, C.B.A.; Odumosu, B.T.; Aiyelaagbe, O.O.; Kolude, B. In-vitro antimicrobial activities of methanol extracts of Zanthoxylum xanthoxyloides and Pseudocedrela Kotschyi. Afr. J. Biomed. Res. 2010, 13, 61–68. [Google Scholar]
- Dougnon, V.; Hounsa, E.; Agbodjento, E.; Keilah, L.P.; Legba, B.B.; Sintondji, K.; Afaton, A.; Klotoe, J.R.; Baba-Moussa, L.; Bankole, H.; et al. Percentage destabilization effect of some west african medicinal plants on the outer membrane of various bacteria involved in infectious diarrhea. BioMed Res. Int. 2021, 2021, 4134713. [Google Scholar] [CrossRef] [PubMed]
- Alhassan, A.; Malami, I.; Abdullahi, M. Phytochemical screening and antimicrobial evaluation of stem bark extract of Pseudocedrela kotschyi (Schweinf.) Herms. Br. J. Pharm. Res. 2014, 4, 1937–1944. [Google Scholar] [CrossRef]
- Asase, A.; Kokubun, T.; Grayer, R.J.; Kite, G.; Simmonds, M.S.J.; Oteng-Yeboah, A.A.; Odamtten, G.T. Chemical constituents and antimicrobial activity of medicinal plants from ghana: Cassia sieberiana, Haematostaphis barteri, Mitragyna inermis and Pseudocedrela kotschyi. Phytother. Res. 2008, 22, 1013–1016. [Google Scholar] [CrossRef] [PubMed]
- Sidjui, L.S.; Nganso, Y.O.D.; Toghueo, R.M.K.; Wakeu, B.N.K.; Dameue, J.T.; Mkounga, P.; Adhikari, A.; Lateef, M.; Folefoc, G.N.; Ali, M.S. Kostchyienones A and B, new antiplasmodial and cytotoxicity of limonoids from the roots of Pseudocedrela kotschyi (Schweinf.) Harms. Z. Für Naturforschung C 2018, 73, 153–160. [Google Scholar] [CrossRef] [PubMed]
- Georges, K.; Jayaprakasam, B.; Dalavoy, S.S.; Nair, M.G. Pest-managing activities of plant extracts and anthraquinones from Cassia nigricans from burkina faso. Bioresour. Technol. 2008, 99, 2037–2045. [Google Scholar] [CrossRef]
- Hay, A.E.; Ioset, J.R.; Ahua, K.M.; Diallo, D.; Brun, R.; Hostettmann, K. Limonoid orthoacetates and antiprotozoal compounds from the roots of Pseudocedrela kotschyi. J. Nat. Prod. 2006, 70, 9–13. [Google Scholar] [CrossRef]
- Ekong, D.E.U.; Olagbemi, E.O. Novel meliacins (limonoids) from the wood of. Tetrahedron Lett. 1967, 8, 3525–3527. [Google Scholar] [CrossRef]
- Ambrozin, A.R.P.; Leite, A.C.; Bueno, F.C.; Vieira, P.C.; Fernandes, J.B.; Bueno, O.C.; das G. Fernandes da Silva, M.F.; Pagnocca, F.C.; Hebling, M.J.A.; Bacci, M., Jr. Limonoids from andiroba oil and Cedrela fissilis and their insecticidal activity. J. Braz. Chem. Soc. 2006, 17, 542–547. [Google Scholar] [CrossRef]
- Oyedeji-Amusa, M.O.; Sadgrove, N.J.; Van Wyk, B.E. The ethnobotany and chemistry of south african meliaceae: A Review. Plants 2021, 10, 1796. [Google Scholar] [CrossRef] [PubMed]
- Oyedeji-Amusa, M.O.; Van Vuuren, S.; Van Wyk, B.E. Antimicrobial activity and toxicity of extracts from the bark and leaves of south african indigenous meliaceae against selected pathogens. S. Afr. J. Bot. 2020, 133, 83–90. [Google Scholar] [CrossRef]
- Arnold, T.H.; Prentice, C.A.; Hawker, L.C.; Snyman, E.E.; Tomalin, M.; Crouch, N.R.; Pottas-Bircher, C. Medicinal and Magical Plants of Southern Africa: An Annotated Checklist; Silverhill Seeds: Cape Town, Southern Africa, 2002. [Google Scholar]
- MacLachlan, L.K.; Taylor, D.A.H. Limonoids from Nymania capensis. Phytochemistry 1982, 21, 1701–1703. [Google Scholar] [CrossRef]
- Koul, O.; Daniewski, W.M.; Multani, J.S.; Gumulka, M.; Singh, G. Antifeedant effects of the limonoids from Entandrophragma candolei (Meliaceae) on the Gram Pod Borer, Helicoverpa armigera (Lepidoptera: Noctuidae). J. Agric. Food Chem. 2003, 51, 7271–7275. [Google Scholar] [CrossRef] [PubMed]
- Govindachari, T.R.; Suresh, G.; Krishna Kumari, G.N.; Rajamannar, T.; Partho, P.D. Nymania-3: A bioactive triterpenoid from Dysoxylum malabaricum. Fitoterapia 1999, 70, 83–86. [Google Scholar] [CrossRef]
- Coombes, P.H.; Mulholland, D.A.; Randrianarivelojosia, M. Mexicanolide limonoids from the madagascan meliaceae Quivisia papinae. Phytochemistry 2005, 66, 1100–1107. [Google Scholar] [CrossRef] [PubMed]
- Coombes, P.H.; Mulholland, D.A.; Randrianarivelojosia, M. Quivisianthone, an evodulone limonoid from the madagascan meliaceae Quivisia papinae. Phytochemistry 2004, 65, 377–380. [Google Scholar] [CrossRef]
- Lee, S.M.; Olsen, J.I.; Schweizer, M.P.; Klocke, J.A. 7-Deacetyl-17β-hydroxyazadiradione, a new limonoid insect growth inhibitor from Azadirachta indica. Phytochemistry 1988, 27, 2773–2775. [Google Scholar] [CrossRef]
- Kipassa, N.T.; Iwagawa, T.; Okamura, H.; Doe, M.; Morimoto, Y.; Nakatani, M. Limonoids from the stem bark of Cedrela odorata. Phytochemistry 2008, 69, 1782–1787. [Google Scholar] [CrossRef] [PubMed]
- Su, R.H.; Kim, M.; Yamamoto, T.; Takahashi, S. Antifeeding constituents of Phellodendron chinense fruit against Reticulitermes speratus. J. Pestic. Sci. 1990, 15, 567–572. [Google Scholar] [CrossRef][Green Version]
- Pennington, T.D.; Barker, A.; Rojas-Andres, B.M. A revision of the genus Ruagea (Meliaceae: Melioideae). Kew Bull. 2021, 76, 565–604. [Google Scholar] [CrossRef]
- Chinchilla-Carmona, M.; Valerio-Campos, I.; SÁNchez-Porras, R.; Mora-Chaves, V.; Bagnarello-Madrigal, V.; MartÍNez-Esquivel, L.; GonzÁLez-Paniagua, A.; Vanegas, J.C. Evaluación in vivo de la actividad antimalárica de 25 plantas provenientes de una reserva de Conservación Biológica de Costa Rica. Rev. Chil. Hist. Nat. 2011, 84, 115–123. [Google Scholar] [CrossRef]
- Mootoo, B.S.; Ramsewak, R.; Khan, A.; Tinto, W.F.; Reynolds, W.F.; McLean, S.; Yu, M. Tetranortriterpenoids from Ruagea glabra. J. Nat. Prod. 1996, 59, 544–547. [Google Scholar] [CrossRef]
- Chan, W.R.; Magnus, K.E.; Mootoo, B.S. Extractives from Cedrela odorata L. The structure of methyl angolensate. J. Chem. Soc. C Org. 1967, 171–177. [Google Scholar] [CrossRef]
- Kadota, S.; Marpaung, L.; Kikuchi, T.; Ekimoto, H. Constituents of the seeds of Swietenia mahagoni JACQ. III. Structures of mahonin and secomahoganin. Chem. Pharm. Bull. 1990, 38, 1495–1500. [Google Scholar] [CrossRef]
- Okorie, D.A.; Taylor, D.A.H. Limonoids from Xylocarpus granatum Koenig. J. Chem. Soc. C Org. 1970, 211–213. [Google Scholar] [CrossRef]
- Nathan, S.S.; Hisham, A.; Jayakumar, G. Larvicidal and growth inhibition of the malaria vector Anopheles stephensi by triterpenes from Dysoxylum malabaricum and Dysoxylum beddomei. Fitoterapia 2008, 79, 106–111. [Google Scholar] [CrossRef]
- He, X.F.; Wang, X.N.; Yin, S.; Dong, L.; Yue, J.M. Ring A-seco triterpenoids with antibacterial activity from Dysoxylum hainanense. Bioorganic Med. Chem. Lett. 2011, 21, 125–129. [Google Scholar] [CrossRef]
- Hisham, A.; Ajitha Bai, M.D.; JayaKumar, G.; Nair, M.S.; Fujimoto, Y. Triterpenoids from Dysoxylum malabaricum. Phytochemistry 2001, 56, 331–334. [Google Scholar] [CrossRef] [PubMed]
- Luo, X.D.; Wu, S.H.; Wu, D.G.; Ma, Y.B.; Qi, S.H. Novel antifeeding limonoids from Dysoxylum hainanense. Tetrahedron 2002, 58, 7797–7804. [Google Scholar] [CrossRef]
- Hisham, A.; Jayakumar, G.; Bai, A.; Fujimoto, Y. Beddomeilactone: A new triterpene from Dysoxylum beddomei. Nat. Prod. Res. 2004, 18, 329–334. [Google Scholar] [CrossRef]
- Qi, S.; Wub, D.; Zhang, S.; Luo, X.-D. A New Tetranortriterpenoid from Dysoxylum lenticellatum. Z. Für Naturforschung B 2003, 58, 1128–1132. [Google Scholar] [CrossRef]
- Senthil-Nathan, S.; Choi, M.Y.; Seo, H.Y.; Paik, C.H.; Kalaivani, K. Toxicity and behavioral effect of 3β,24,25-trihydroxycycloartane and beddomei lactone on the rice leaffolder Cnaphalocrocis medinalis (Guenée) (Lepidoptera: Pyralidae). Ecotoxicol. Environ. Saf. 2009, 72, 1156–1162. [Google Scholar] [CrossRef] [PubMed]
- Senthil Nathan, S.; Kalaivani, K.; Sehoon, K. Effects of Dysoxylum malabaricum Bedd. (Meliaceae) extract on the malarial vector Anopheles stephensi Liston (Diptera: Culicidae). Bioresour. Technol. 2006, 97, 2077–2083. [Google Scholar] [CrossRef]
- Senthil Nathan, S.; Choi, M.Y.; Paik, C.H.; Seo, H.Y. Food consumption, utilization, and detoxification enzyme activity of the rice leaffolder larvae after treatment with Dysoxylum triterpenes. Pestic. Biochem. Physiol. 2007, 88, 260–267. [Google Scholar] [CrossRef]
- Awale, S.; Miyamoto, T.; Linn, T.Z.; Li, F.; Win, N.N.; Tezuka, Y.; Esumi, H.; Kadota, S. Cytotoxic constituents of Soymida febrifuga from Myanmar. J. Nat. Prod. 2009, 72, 1631–1636. [Google Scholar] [CrossRef] [PubMed]
- Ashok Yadav, P.; Suresh, G.; Rajendra Prasad, K.; Suri Appa Rao, M.; Suresh Babu, K. New phragmalin-type limonoids from Soymida febrifuga. Tetrahedron Lett. 2012, 53, 773–777. [Google Scholar] [CrossRef]
- Simonsen, H.T.; Nordskjold, J.B.; Smitt, U.W.; Nyman, U.; Palpu, P.; Joshi, P.; Varughese, G. In vitro screening of indian medicinal plants for antiplasmodial activity. J. Ethnopharmacol. 2001, 74, 195–204. [Google Scholar] [CrossRef]
- Jain, S.K. Dictionary of Indian Folk Medicine and Ethnobotany; Deep Publications: New Delhi, India, 1991. [Google Scholar]
- Techavuthiporn, C. Langsat—Lansium domesticum. In Exotic Fruits; Rodrigues, S., de Oliveira Silva, E., de Brito, E.S., Eds.; Academic Press: Cambridge, MA, USA, 2018; pp. 279–283. [Google Scholar] [CrossRef]
- Mayanti, T.; Sinaga, S.E.; Supratman, U. Phytochemistry and biological activity of Lansium domesticum Corr. species: A review. J. Pharm. Pharmacol. 2022, 74, 1568–1587. [Google Scholar] [CrossRef] [PubMed]
- Ramadhan, R.; Worawalai, W.; Phuwapraisirisan, P. New onoceranoid xyloside from Lansium parasiticum. Nat. Prod. Res. 2018, 33, 2917–2924. [Google Scholar] [CrossRef]
- Rudiyansyah; Alimuddin, A.H.; Masriani; Muharini, R.; Proksch, P. New tetranortriterpenoids, langsatides A and B from the seeds of Lansium domesticum Corr. (Meliaceae). Phytochem. Lett. 2018, 23, 90–93. [Google Scholar] [CrossRef]
- Shankar, S.; Jaiswal, L.; Aparna, R.S.L.; Prasad, R.G.S.V. Synthesis, characterization, in vitro biocompatibility, and antimicrobial activity of gold, silver and gold silver alloy nanoparticles prepared from Lansium domesticum fruit peel extract. Mater. Lett. 2014, 137, 75–78. [Google Scholar] [CrossRef]
- Omar, S.; Marcotte, M.; Fields, P.; Sanchez, P.E.; Poveda, L.; Mata, R.; Jimenez, A.; Durst, T.; Zhang, J.; MacKinnon, S.; et al. Antifeedant activities of terpenoids isolated from tropical rutales. J. Stored Prod. Res. 2007, 43, 92–96. [Google Scholar] [CrossRef]
- Champagne, D.E.; Koul, O.; Isman, M.B.; Scudder, G.G.E.; Neil Towers, G.H. Biological activity of limonoids from the rutales. Phytochemistry 1992, 31, 377–394. [Google Scholar] [CrossRef]
- Mayanti, T.; Tjokronegoro, R.; Supratman, U.; Mukhtar, M.R.; Awang, K.; Hadi, A.H.A. Antifeedant triterpenoids from the seeds and bark of Lansium domesticum cv Kokossan (Meliaceae). Molecules 2011, 16, 2785–2795. [Google Scholar] [CrossRef]
- Subahar, R.; Aulung, A.; Husna, I.; Winita, R.; Susanto, L.; Lubis, N.S.; Firmansyah, N.E. Effects of Lansium domesticum leaf extract on mortality, morphology, and histopathology of Aedes aegypti larvae (Diptera: Culicidae). Int. J. Mosq. Res. 2020, 7, 105–111. [Google Scholar]
- Saewan, N.; Sutherland, J.D.; Chantrapromma, K. Antimalarial tetranortriterpenoids from the seeds of Lansium domesticum Corr. Phytochemistry 2006, 67, 2288–2293. [Google Scholar] [CrossRef]
- Nishizawa, M.; Nademoto, Y.; Sastrapradja, S.; Shiro, M.; Hayashi, Y. Dukunolide D, E and F: New tetranortriterpenoids from the seeds of Lansium domesticum. Phytochemistry 1988, 27, 237–239. [Google Scholar] [CrossRef]
- Nishizawa, M.; Nademoto, Y.; Sastrapradja, S.; Shiro, M.; Hayashi, Y. Structure of dukunolides, bitter principles of Lansium domesticum. J. Org. Chem. 2002, 50, 5487–5490. [Google Scholar] [CrossRef]
- Nishizawa, M.; Nishide, H.; Hayashi, Y.; Kosela, S. The structure of lansioside A: A novel triterpene glycoside with amino-sugar from Lansium domesticum. Tetrahedron Lett. 1982, 23, 1349–1350. [Google Scholar] [CrossRef]
- Abdelgaleil, S.A.M.; Doe, M.; Nakatani, M. Rings B,D-seco limonoid antifeedants from Swietenia mahogani. Phytochemistry 2013, 96, 312–317. [Google Scholar] [CrossRef] [PubMed]
- Abdelgaleil, S.A.M.; Nakatani, M. Antifeeding activity of limonoids from Khaya senegalensis (Meliaceae). J. Appl. Entomol. 2003, 127, 236–239. [Google Scholar] [CrossRef]
- Bailly, C. The health benefits of santol fruits and bioactive products isolated from Sandoricum koetjape Merr.: A scoping review. J. Food Biochem. 2022, 46, e14152. [Google Scholar] [CrossRef] [PubMed]
- Dyah, A.R.; Leny, H.; Elvira, H.; Yana, M. A Cipadesin limonoid and a tirucallane triterpene from the fruit of Sandoricum koetjape and their inhibitory properties against receptor tyrosine kinases. Nat. Prod. Sci. 2021, 27, 134–139. [Google Scholar] [CrossRef]
- Powell, R.G.; Mikolajczak, K.L.; Zilkowski, B.W.; Mantus, E.K.; Cherry, D.; Clardy, J. Limonoid antifeedants from seed of Sandoricum koetjape. J. Nat. Prod. 2004, 54, 241–246. [Google Scholar] [CrossRef] [PubMed]
- Suchaichit, N.; Pitchuanchom, S.; Kanokmedhakul, K.; Moosophon, P.; Chompoosor, A.; Kanokmedhakul, S.; Suchaichit, N.P. A new apotirucallane from Walsura trichostemon leaves and its antibacterial and α-Glucosidase inhibitory activities. Chem. Biodivers. 2021, 18, e2100134. [Google Scholar] [CrossRef] [PubMed]
- Govindachari, T.R.; Krishna Kumari, G.N.; Suresh, G. Triterpenoids from Walsura piscidia. Phytochemistry 1995, 39, 167–170. [Google Scholar] [CrossRef]
- Han, M.L.; Shen, Y.; Wang, G.C.; Leng, Y.; Zhang, H.; Yue, J.M. 11β-HSD1 inhibitors from Walsura cochinchinensis. J. Nat. Prod. 2013, 76, 1319–1327. [Google Scholar] [CrossRef]
- Suri Appa Rao, M.; Suresh, G.; Ashok Yadav, P.; Rajendra Prasad, K.; Usha Rani, P.; Venkata Rao, C.; Suresh Babu, K. Piscidinols H–L, apotirucallane triterpenes from the leaves of Walsura trifoliata and their insecticidal activity. Tetrahedron 2015, 71, 1431–1437. [Google Scholar] [CrossRef]
- Sri Rama Murthy, K.; Kandimalla, N. Antimicrobial spectrum and phytochemical study of Walsura trifoliata (A. Juss.) Harms. (Meliaceae) bark extracts. J. Pharmacol. Toxicol. 2008, 3, 267–271. [Google Scholar] [CrossRef]
- Pullaiah, T.; Rani, S.S. Trees of Andhra Pradesh, India; Regency Publications: New Delhi, India, 1999. [Google Scholar]
- Balakrishna, K.; Sukumar, E.; Connolly, J.D. Piscidenone and piscidinol G, two new protolimonoids from Walsura piscidia. Nat. Prod. Sci. 2003, 9, 192–194. [Google Scholar]
- Purushothaman, K.K.; Duraiswamy, K.; Connolly, J.D. Tetranortriterpenoids from melia dubia. Phytochemistry 1984, 23, 135–137. [Google Scholar] [CrossRef]
- Torre-Anzúres, J.D.L.; Aragón-García, A.; Pérez-Torres, B.C.; López-Olguín, J.F. Actividad Biológica de un extracto de semillas de Trichilia havanensis Jacq. sobre larvas de Spodoptera exigua (Hübner). Southwest. Entomol. 2017, 42, 1069–1078. [Google Scholar] [CrossRef]
- De Souza Prim, P.; de Oliveira, L.F.; Ribas, L.L.F. An efficient protocol for in vitro propagation of Trichilia pallida Swartz (Meliaceae): A potential tree for natural insecticide production. Plant Cell Tissue Organ Cult. (PCTOC) 2020, 144, 469–476. [Google Scholar] [CrossRef]
- Mavundza, E.J.; Maharaj, R.; Finnie, J.F.; Kabera, G.; Van Staden, J. An ethnobotanical survey of mosquito repellent plants in uMkhanyakude district, KwaZulu-Natal province, South Africa. J. Ethnopharmacol. 2011, 137, 1516–1520. [Google Scholar] [CrossRef]
- Shai, L.J.; McGaw, L.J.; Masoko, P.; Eloff, J.N. Antifungal and antibacterial activity of seven traditionally used South African plant species active against Candida albicans. S. Afr. J. Bot. 2008, 74, 677–684. [Google Scholar] [CrossRef]
- Gamboa-Angulo, M.M.; Cristóbal-Alejo, J.; Medina-Baizabal, I.L.; Chí-Romero, F.; Méndez-González, R.; Simá-Polanco, P.; May-Pat, F. Antifungal properties of selected plants from the Yucatan peninsula, Mexico. World J. Microbiol. Biotechnol. 2008, 24, 1955–1959. [Google Scholar] [CrossRef]
- Kamanzi Atindehou, K.; Schmid, C.; Brun, R.; Koné, M.W.; Traore, D. Antitrypanosomal and antiplasmodial activity of medicinal plants from Côte d’Ivoire. J. Ethnopharmacol. 2004, 90, 221–227. [Google Scholar] [CrossRef]
- Kowa, T.K.; Jansen, O.; Ledoux, A.; Mamede, L.; Wabo, H.K.; Tchinda, A.T.; Genta-Jouve, G.; Frédérich, M. Bioassay-guided isolation of vilasinin–type limonoids and phenyl alkene from the leaves of Trichilia gilgiana and their antiplasmodial activities. Nat. Prod. Res. 2021, 36, 5039–5047. [Google Scholar] [CrossRef] [PubMed]
- Bogorni, P.C.; Vendramim, J.D. Bioatividade de extratos aquosos de Trichilia spp. sobre Spodoptera frugiperda (J.E. Smith) (Lepidoptera: Noctuidae) em milho. Neotrop. Entomol. 2003, 32, 665–669. [Google Scholar] [CrossRef]
- Nana, O.; Momeni, J.; Tepongning, R.N.; Ngassoum, M.B. Phythochemical screening, antioxydant and antiplasmodial activities of extracts from Trichilia roka and Sapium ellipticum. J. Phytopharm. 2013, 2, 22–29. [Google Scholar] [CrossRef]
- García-Gómez, A.; Figueroa-Brito, R.; Serrano, L.A.G.; Jiménez-Pérez, A. Trichilia(Meliaceae) plants: An important source of biomolecules with insecticidal properties. Fla. Entomol. 2018, 101, 470–479. [Google Scholar] [CrossRef]
- Liu, S.B.; Chen, H.Q.; Feng, G.; Guo, Z.K.; Cai, C.; Wang, J.; Mei, W.L.; Dai, H.F. A new insecticidal havanensin-type limonoid from the roots of Trichilia sinensis Bentv. Nat. Prod. Res. 2017, 32, 2797–2802. [Google Scholar] [CrossRef] [PubMed]
- Cunha, U.S.; Vendramim, J.D.; Rocha, W.C.; Vieira, P.C. Bioatividade de moléculas isoladas de Trichilia pallida Swartz (Meliaceae) sobre Tuta absoluta (Meyrick) (Lepidoptera: Gelechiidae). Neotrop. Entomol. 2008, 37, 709–715. [Google Scholar] [CrossRef] [PubMed][Green Version]
- Nakatani, M.; Nakanishi, K.J. Structures of insect antifeeding limonoids, trichilins F and G, from Trichilia roka. Heterocycles 1993, 36, 725–731. [Google Scholar] [CrossRef]
- Nakatani, M.; James, J.C.; Nakanishi, K. Isolation and structures of trichilins, antifeedants against the southern army worm. J. Am. Chem. Soc. 2002, 103, 1228–1230. [Google Scholar] [CrossRef]
- Simmonds, M.S.J.; Stevenson, P.C.; Porter, E.A.; Veitch, N.C. Insect Antifeedant activity of three new tetranortriterpenoids from Trichilia pallida. J. Nat. Prod. 2001, 64, 1117–1120. [Google Scholar] [CrossRef]
- Nakatani, M.; Huang, R.C.; Okamura, H.; Iwagawa, T.; Tadera, K.; Naoki, H. Three new antifeeding meliacarpinins from chinese Melia azedarach Linn. Tetrahedron 1995, 51, 11731–11736. [Google Scholar] [CrossRef]
- Kubo, I.; Klocke, J.A. An insect growth inhibitor from Trichilia roka (Meliaceae). Experientia 1982, 38, 639–640. [Google Scholar] [CrossRef]
- Passos, M.S.; Nogueira, T.S.R.; Azevedo, O.d.A.; Vieira, M.G.C.; Terra, W.d.S.; Braz-Filho, R.; Vieira, I.J.C. Limonoids from the genus Trichilia and biological activities: Review. Phytochem. Rev. 2021, 20, 1055–1086. [Google Scholar] [CrossRef]
- Rodríguez, B.; Caballero, C.; Ortego, F.; Castañera, P. A new tetranortriterpenoid from Trichilia havanensis. J. Nat. Prod. 2003, 66, 452–454. [Google Scholar] [CrossRef] [PubMed]
- Ortego, F.; López-Olguín, J.; Ruíz, M.; Castañera, P. Effects of toxic and deterrent terpenoids on digestive protease and detoxication enzyme activities of colorado potato beetle larvae. Pestic. Biochem. Physiol. 1999, 63, 76–84. [Google Scholar] [CrossRef]
- Xie, Y.S.; Isman, M.B.; Gunning, P.; MacKinnon, S.; Arnason, J.T.; Taylor, D.R.; Sanchez, P.; Hasbun, C.; Towers, G.H.N. Biological activity of extracts of Trichilia species and the limonoid hirtin against lepidopteran larvae. Biochem. Syst. Ecol. 1994, 22, 129–136. [Google Scholar] [CrossRef]
- Sun, Y.P.; Jin, W.F.; Wang, Y.Y.; Wang, G.; Morris-Natschke, S.; Liu, J.S.; Wang, G.K.; Lee, K.H. Chemical structures and biological activities of limonoids from the genus Swietenia (Meliaceae). Molecules 2018, 23, 1588. [Google Scholar] [CrossRef]
- Jimenez, A.; Mata, R.; Pereda-Miranda, R.; Calderon, J.; Isman, M.B.; Nicol, R.; Arnason, J.T. Insecticidal limonoids from Swietenia humilis and Cedrela Salvador. J. Chem. Ecol. 1997, 23, 1225–1234. [Google Scholar] [CrossRef]
- Alvarez, D.L.; Zuleta, D.; Saldamando, C.I.; Lobo-Echeverri, T. Selective activity of Carapa guianensis and Swietenia macrophylla (Meliaceae) against the corn and rice strains of Spodoptera frugiperda (Lepidoptera, Noctuidae). Int. J. Pest Manag. 2021, 70, 409–422. [Google Scholar] [CrossRef]
- El Zalabani, S.M.; El-Askary, H.I.; Mousa, O.M.; Issa, M.Y.; Zaitoun, A.A.; Abdel-Sattar, E. Acaricidal activity of Swietenia mahogani and Swietenia macrophylla ethanolic extracts against varroa destructor in honeybee colonies. Exp. Parasitol. 2012, 130, 166–170. [Google Scholar] [CrossRef]
- Khamis, W.M.; Heflish, A.A.; El-Messeiry, S.; Behiry, S.I.; Al-Askar, A.A.; Su, Y.; Abdelkhalek, A.; Gaber, M.K. Swietenia mahagoni leaves extract: Antifungal, insecticidal, and phytochemical analysis. Separations 2023, 10, 301. [Google Scholar] [CrossRef]
- Naveen, Y.P.; Rupini, G.D.; Ahmed, F.; Urooj, A. Pharmacological effects and active phytoconstituents of Swietenia mahagoni: A review. J. Integr. Med. 2014, 12, 86–93. [Google Scholar] [CrossRef] [PubMed]
- Pudhom, K.; Sommit, D.; Nuclear, P.; Ngamrojanavanich, N.; Petsom, A. Protoxylocarpins F-H, protolimonoids from seed kernels of Xylocarpus granatum. J. Nat. Prod. 2009, 72, 2188–2191. [Google Scholar] [CrossRef] [PubMed]
- Liu, J.Q.; Wang, C.F.; Chen, J.C.; Qiu, M.H. Limonoids from the leaves of Swietenia macrophylla. Nat. Prod. Res. 2012, 26, 1887–1891. [Google Scholar] [CrossRef] [PubMed]
- Saad, M.M.G.; Iwagawa, T.; Doe, M.; Nakatani, M. Swietenialides, novel ring D opened phragmalin limonoid orthoesters from Swietenia mahogani JACQ. Tetrahedron 2003, 59, 8027–8033. [Google Scholar] [CrossRef]
- Fowles, R.; Mootoo, B.; Ramsewak, R.; Khan, A.; Ramsubhag, A.; Reynolds, W.; Nair, M. Identification of new limonoids from Swietenia and their biological activity against insects. Pest Manag. Sci. 2010, 66, 1298–1303. [Google Scholar] [CrossRef] [PubMed]
- Moghadamtousi, S.; Goh, B.; Chan, C.; Shabab, T.; Kadir, H. Biological activities and phytochemicals of Swietenia macrophylla King. Molecules 2013, 18, 10465–10483. [Google Scholar] [CrossRef] [PubMed]
- Jimenez, A.; Villarreal, C.; Toscano, R.A.; Cook, M.; Arnason, J.T.; Bye, R.; Mata, R. Limonoids from Swietenia humilis and Guarea grandiflora (Meliaceae) taken in part from the PhD and MS theses of C. Villarreal and M. A. Jiménez, respectively. Phytochemistry 1998, 49, 1981–1988. [Google Scholar] [CrossRef]
- Pamplona, S.; Arruda, M.; Castro, K.; e Silva, C.; Ferreira, A.; da Silva, M.; Ohashi, O.; da Silva, M. Phragmalin limonoids from Swietenia macrophylla and their antifeedant assay against mahogany predator. J. Braz. Chem. Soc. 2018, 29, 1621–1629. [Google Scholar] [CrossRef]
- Essoung, F.R.E.; Chhabra, S.C.; Mba’ning, B.M.; Mohamed, S.A.; Lwande, W.; Lenta, B.N.; Ngouela, S.A.; Tsamo, E.; Hassanali, A. Larvicidal activities of limonoids from Turraea abyssinica (Meliaceae) on Tuta absoluta (Meyrick). J. Appl. Entomol. 2018, 142, 397–405. [Google Scholar] [CrossRef]
- Ndung’u, M.W.; Kaoneka, B.; Hassanali, A.; Lwande, W.; Hooper, A.M.; Tayman, F.; Zerbe, O.; Torto, B. New mosquito larvicidal tetranortriterpenoids from Turraea wakefieldii and Turraea floribunda. J. Agric. Food Chem. 2004, 52, 5027–5031. [Google Scholar] [CrossRef]
- Bentley, M.D.; Adul, G.O.; Alford, A.R.; Huang, F.Y.; Gelbaum, L.; Hassanali, A. An Insect Antifeedant Limonoid from Turraea nilotica. J. Nat. Prod. 2004, 58, 748–750. [Google Scholar] [CrossRef]
- Ndung’u, M.; Hassanali, A.; Hooper, A.M.; Chhabra, S.; Miller, T.A.; Paul, R.L.; Torto, B. Ring A-seco mosquito larvicidal limonoids from Turraea wakefieldii. Phytochemistry 2003, 64, 817–823. [Google Scholar] [CrossRef]
- Sarker, S.D.; Savchenko, T.; Whiting, P.; Šik, V.; Dinan, L. limonoids from Turraea obtusifolia (Meliaceae), prieurianin and rohitukin, antagonise 20-hydroxyecdysone action in a Drosophila cell line. Arch. Insect Biochem. Physiol. 1997, 35, 211–217. [Google Scholar] [CrossRef]
- Cheplogoi, P.K.; Mulholland, D.A. Tetranortriterpenoid derivatives from Turraea parvifolia (Meliaceae). Phytochemistry 2003, 62, 1173–1178. [Google Scholar] [CrossRef] [PubMed]
- Dey, D.; Quispe, C.; Hossain, R.; Jain, D.; Ahmed Khan, R.; Janmeda, P.; Islam, M.T.; Ansar Rasul Suleria, H.; Martorell, M.; Daştan, S.D.; et al. Ethnomedicinal use, phytochemistry, and pharmacology of Xylocarpus granatum. J. Koenig. Evid.-Based Complement. Altern. Med. 2021, 2021, 8922196. [Google Scholar] [CrossRef]
- Wu, J.; Zhang, S.; Bruhn, T.; Xiao, Q.; Ding, H.; Bringmann, G. Xylogranatins F–R: Antifeedants from the Chinese Mangrove, Xylocarpus granatum, A new biogenetic pathway to tetranortriterpenoids. Chem.—A Eur. J. 2008, 14, 1129–1144. [Google Scholar] [CrossRef] [PubMed]
- Islam, M.T.; Sharifi-Rad, J.; Martorell, M.; Ali, E.S.; Asghar, M.N.; Deeba, F.; Firoz, C.K.; Mubarak, M.S. Chemical profile and therapeutic potentials of Xylocarpus moluccensis (Lam.) M. Roem.: A literature-based review. J. Ethnopharmacol. 2020, 259, 112958. [Google Scholar] [CrossRef] [PubMed]
- Ishida, M.; Serit, M.; Nakata, K.; Juneja, L.R.; Kim, M.; Takahashi, S. Several antifeedants from neem oil, Azadirachta indica a. juss., against Reticulitermes speratus kolbe (isoptera: Rhinotermitidae). Biosci. Biotechnol. Biochem. 1992, 56, 1835–1838. [Google Scholar] [CrossRef][Green Version]
- Lakshmi, V.; Singh, N.; Shrivastva, S.; Mishra, S.K.; Dharmani, P.; Mishra, V.; Palit, G. Gedunin and photogedunin of Xylocarpus granatum show significant anti-secretory effects and protect the gastric mucosa of peptic ulcer in rats. Phytomedicine 2010, 17, 569–574. [Google Scholar] [CrossRef]
- Misra, S.; Verma, M.; Mishra, S.K.; Srivastava, S.; Lakshmi, V.; Misra-Bhattacharya, S. Gedunin and photogedunin of Xylocarpus granatum possess antifilarial activity against human lymphatic filarial parasite Brugia malayi in experimental rodent host. Parasitol. Res. 2011, 109, 1351–1360. [Google Scholar] [CrossRef]
- Wu, J.; Zhang, S.; Xiao, Q.; Li, Q.; Huang, J.; Long, L.; Huang, L. Xyloccensin L, a novel limonoid from Xylocarpus granatum. Tetrahedron Lett. 2004, 45, 591–593. [Google Scholar] [CrossRef]
- Céspedes, C.L.; Calderón, J.S.; Lina, L.; Aranda, E. Growth inhibitory effects on fall armyworm Spodoptera frugiperda of some limonoids isolated from Cedrela spp. (Meliaceae). J. Agric. Food Chem. 2000, 48, 1903–1908. [Google Scholar] [CrossRef] [PubMed]
- Wu, J.; Xiao, Q.; Zhang, S.; Li, X.; Xiao, Z.; Ding, H.; Li, Q. Xyloccensins Q–V, six new 8,9,30-phragmalin ortho ester antifeedants from the chinese mangrove Xylocarpus granatum. Tetrahedron 2005, 61, 8382–8389. [Google Scholar] [CrossRef]
- Zhang, J.; Yang, S.X.; Yang, X.B.; Li, M.Y.; Feng, G.; Pan, J.Y.; Satyanandamurty, T.; Wu, J. Mexicanolides from the seeds of a krishna mangrove, Xylocarpus moluccensis. Chem. Pharm. Bull. 2010, 58, 552–555. [Google Scholar] [CrossRef] [PubMed]
- Wheeler, D.A.; Isman, M.B. Antifeedant and toxic activity of Trichilia americana extract against the larvae of Spodoptera litura. Entomol. Exp. Appl. 2003, 98, 9–16. [Google Scholar]
- Togola, A.; Diallo, D.; Dembélé, S.; Barsett, H.; Paulsen, B.S. Ethnopharmacological survey of different uses of seven medicinal plants from Mali, (West Africa) in the regions Doila, Kolokani and Siby. J. Ethnobiol. Ethnomedicine 2005, 1, 7. [Google Scholar] [CrossRef] [PubMed]
- Komane, B.; Olivier, E.I.; Viljoen, A.M. Trichilia emetica (Meliaceae)—A review of traditional uses, biological activities and phytochemistry. Phytochem. Lett. 2011, 4, 1–9. [Google Scholar] [CrossRef]
- Kumar, V.; Bharate, S.S.; Bhurta, D.; Gupta, M.; Gandhi, S.G.; Singh, D.; Jaglan, S.; Kumar, A.; Vishwakarma, R.A.; Bharate, S.B. Evaluation of rohitukine-enriched fraction of Dysoxylum binectariferum Hook.f. (leaves) as anti-arthritic phytopharmaceutical candidate: Chemical standardization, in-vivo validation, formulation development and oral pharmacokinetics. J. Ethnopharmacol. 2020, 254, 112758. [Google Scholar] [CrossRef] [PubMed]
- Huang, H.L.; Wang, C.M.; Wang, Z.H.; Yao, M.J.; Han, G.T.; Yuan, J.C.; Gao, K.; Yuan, C.S. Tirucallane-type triterpenoids from Dysoxylum lenticellatum. J. Nat. Prod. 2011, 74, 2235–2242. [Google Scholar] [CrossRef] [PubMed]
- Germanò, M.P.; D’Angelo, V.; Sanogo, R.; Catania, S.; Alma, R.; Pasquale, R.D.; Bisignano, G. Hepatoprotective and antibacterial effects of extracts from Trichilia emetica Vahl. (Meliaceae). J. Ethnopharmacol. 2005, 96, 227–232. [Google Scholar] [CrossRef]
- Pavela, R.; Žabka, M.; Kalinkin, V.M.; Kotenev, E.S.; Gerus, A.V.; Shchenikova, A.V.; Chermenskaya, T. Systemic applications of azadirachtin in the control of Corythucha ciliata (Say, 1832) (Hemiptera, Tingidae), a pest of Platanus sp. Plant Prot. Sci. 2018, 49, 27–33. [Google Scholar] [CrossRef]
- Pavela, R.; Bárnet, M.; Kocourek, F. Effect of azadirachtin applied systemically through roots of plants on the mortality, development and fecundity of the cabbage aphid (Brevicoryne brassicae). Phytoparasitica 2004, 32, 286–294. [Google Scholar] [CrossRef]

























| Family | Genus | Species |
|---|---|---|
| Meliaceae | Munronia | Munronia henryi Harms |
| Neobeguea | Neobeguea mahafalensis J.-F. Leroy | |
| Pseudocedrela | Pseudocedrela kotschyi (Schweinf.) Harms | |
| Nymania | Nymania capensis (Thunb.) Lindb. | |
| Quivisia | Quivisia papinae Baillon ex Grandidier | |
| Ruagea | Ruagea glabra Triana and Planch. | |
| Dysoxylum | Dysoxylum beddomei Hiern | |
| Dysoxylum malabaricum Bedd. | ||
| Dysoxylum hainanense (Merr.) | ||
| Soymida | Soymida febrifuga (Roxb.) A. Juss. | |
| Lansium | Lansium domesticum Corr. | |
| Sandoricum | Sandoricum koetjape (Burm.f.) Merr. | |
| Walsura | Walsura trifoliata (A. Juss.) Harms. (synonym: Walsura piscidia Roxb.) | |
| Trichilia | Trichilia elegans A. Juss. | |
| Trichilia catigua A. Juss. | ||
| Trichilia roka Chiov. | ||
| Trichilia havanensis Jacq. | ||
| Trichilia sinensis Bentv. | ||
| Trichilia hirta L. | ||
| Trichilia pallida Swartz | ||
| Trichilia claussenii Catiguá | ||
| Trichilia pallens C. DC. | ||
| Trichilia emetica Vahl. | ||
| Trichilia gilgiana Harms | ||
| Trichilia americana Sessé and Moc. | ||
| Swietenia | Swietenia humilis Zucc. | |
| Swietenia macrophylla King | ||
| Swietenia mahogani JACQ. | ||
| Turraea | Turraea obtusifolia Hochstetter | |
| Turraea abyssinica Hochst. | ||
| Turraea floribunda Hochstetter | ||
| Turraea wakefieldii Oliv. | ||
| Turraea nilotica Kotschy and Peyr. | ||
| Turraea parvifolia Defl. | ||
| Xylocarpus | Xylocarpus granatum J. Koenig | |
| Xylocarpus moluccensis (Lam.) M. Roem. | ||
| Xylocarpus obovatus (Blume) A. Juss. |
| Compound | Plant Source | Insect | Activity | Refs. |
|---|---|---|---|---|
| fissinolide | Soymida febrifuga | Achaea janata | AI = 76.46 μg/cm2 | [2] |
| Spodoptera litura | AI = 61.69 μg/cm2 | |||
| swietenitin O | Soymida febrifuga | Achaea janata | AI = 66.61 μg/cm2 | [2] |
| Spodoptera litura | AI = 51.93 μg/cm2 | |||
| xylolactone (xyloccensin L) | Xylocarpus granatum | Piece brassicae | AFD at 1000 μg/mL | [3] |
| methyl 6-acetoxyangolensate | Lansium domesticum | Spodoptera littoralis | AFD at 500 μg/mL | [11,89] |
| munroniamide | Munronia henryi | Pieris brassicae L. | AR = 27.6% at 1000 μg/mL (48 h) | [19] |
| munronins B | Munronia henryi | Pieris brassicae L. | AR = 20.9% at 1000 μg/mL (48 h) | [20] |
| munronins C | Munronia henryi | Pieris brassicae L. | AR = 31.0% at 1000 μg/mL (48 h) | [20] |
| munronins D | Munronia henryi | Pieris brassicae L. | AR = 28.0% at 1000 μg/mL (48 h) | [20] |
| munronins E | Munronia henryi | Pieris brassicae L. | AR = 37.1% at 1000 μg/mL (48 h) | [20] |
| methyl angolensate | Neobeguea mahafalensis Ruagea glabra Lansium domesticum Trichilia elegans Xylocarpus granatum Xylocarpus moluccensis | Spodoptera litura | PFI = 65.3 | [26] |
| nymania-3 | Nymania capensis Dysoxylum malabaricum | Pericallia ricini | AFD at 1–10 μg/cm2 leaf | [50] |
| melianone | Quivisia papinae Guarea grandiflora | Reticulitermes speratus | 95% mortality, 30 d, at 100 μg/disc | [55] |
| AFD at 100 μg/disc | ||||
| xylocarpin | Ruagea glabra | Spodoptera frugiperda | AI = 77.8 at 1000 μg/mL (18 h) | [58] |
| ruageanin A | Ruagea glabra | Spodoptera frugiperda | AI = 72.6 at 1000 μg/mL (18 h) | [58] |
| ruageanin B | Ruagea glabra | Spodoptera frugiperda | AI = 86.3 at 1000 μg/mL (18 h) | [58] |
| dysoxylumic acid A | Dysoxylum hainanense | Pieris rapae L. | AR = 78.7% at 500 μg/mL | [65] |
| dysoxylumic acid B | Dysoxylum hainanense | Pieris rapae L. | AR = 64.1% at 500 μg/mL | [65] |
| dysoxylumic acid C | Dysoxylum hainanense | Pieris rapae L. | AR = 59.4% at 500 μg/mL | [65] |
| dysoxylumin A | Dysoxylum hainanense | Pieris rapae L. | AR = 73.8% at 1000 μg/mL | [65] |
| dysoxylumin B | Dysoxylum hainanense | Pieris rapae L. | AR = 77.4% at 1000 μg/mL | [65] |
| dysoxylumin C | Dysoxylum hainanense | Pieris rapae L. | AR = 74.9% at 1000 μg/mL | [65] |
| kokosanolide A | Lansium domesticum | Epilachna vigintioctopunctata | AF = 78% | [82] |
| kokosanolide B | Lansium domesticum | Epilachna vigintioctopunctata | AF = 99% | [82] |
| 8,14-secogammacera-7,14-diene-3,21-dione | Lansium domesticum | Epilachna vigintioctopunctata | AF = 85% | [82] |
| 8,14-secogammacera-7,14(27)-diene-3,21-dione | Lansium domesticum | Epilachna vigintioctopunctata | AF = 56% | [82] |
| swietemahonin G | Swietenia mahogani | Spodoptera littoralis | AFD at 300 μg/mL | [88] |
| swietephragmin I | Swietenia mahogani | Spodoptera littoralis | AFD at 500 μg/mL | [88] |
| 2-Hydroxy-6-deacetoxyswietenin | Swietenia mahogani | Spodoptera littoralis | AFD at 500 μg/mL | [88] |
| 6-O-acetyl-2-hydroxyswietenin | Swietenia mahogani | Spodoptera littoralis | AFD at 500 μg/mL | [88] |
| 2-hydroxyswietenine | Swietenia mahogani | Spodoptera littoralis | AFD at 500 μg/mL | [88] |
| methyl 6-hydroxyangolensate | Swietenia mahogani Lansium domesticum | Spodoptera littoralis | AFD at 500 μg/mL | [88] |
| 7-deacetoxy-7-oxogedunin | Swietenia mahogani Swietenia macrophylla | Spodoptera littoralis | AFD at 1000 μg/mL | [88] |
| swietephragmin H | Swietenia mahogani | Spodoptera littoralis | AFD at 1000 μg/mL | [88] |
| 11-hydroxy-swietephragmin B | Swietenia mahogani | Spodoptera littoralis | AFD at 1000 μg/mL | [88] |
| sandoricin | Sandoricum koetjape | Ostrina nubilalis | AFD at 200 μg/mL | [92] |
| Spodoptera frugiperda | AFD at 25 μg/mL | |||
| 6-hydroxysandoricin | Sandoricum koetjape | Ostrina nubilalis | AFD at 200 μg/mL | [92] |
| Spodoptera frugiperda | AFD at 25 μg/mL | |||
| azadiradione | Quivisia papinae Lansium domesticum | Plutella xylostella | AR = 90.6% at 2000 μg/mL (48 h) | [96] |
| trichilin D | Trichilia roka | Spodoptera eridania | AFD at 400 μg/mL | [114] |
| trichilin F | Trichilia roka | Spodoptera littoralis | AFD at 300 μg/mL | [114] |
| trichilin G | Trichilia roka | Spodoptera littoralis | AFD at 300 μg/mL | [114] |
| trichilin B | Trichilia roka | Spodoptera exigua | MIC = 200 μg/mL | [116] |
| azadirone | Trichilia havanensis | Leptinotarsa decemlineata | AI = 11.6–26.9, at 100–500 μg/mL | [119] |
| 1β,2β;21,23-diepoxy-7α-hydroxy-24,25,26,27-tetranor-apotirucalla- 14,20,22-trien-3-one | Trichilia havanensis | Leptinotarsa decemlineata | AFD at 300 μg/mL | [119] |
| Methyl 6,11β-dihydroxy-12α-(2-methylpropanoyloxy)-3,7-dioxo-14β,15β-epoxy-1,5-meliacadien-29-oate | Trichilia pallida | Heliothis virescens | FI = 29 | [120] |
| Helicoverpa armigera | FI = 32 | |||
| deacetylhirtin | Trichilia pallida | Heliothis virescens | FI = 49 | [120] |
| Helicoverpa armigera | FI = 42 | |||
| swietenialide A | Swietenia mahogani | Spodoptera littoralis | AFD at 1000 μg/mL | [130] |
| swietenialide B | Swietenia mahogani | Spodoptera littoralis | AFD at 1000 μg/mL | [130] |
| swietenialide C | Swietenia mahogani | Spodoptera littoralis | AFD at 1000 μg/mL | [130] |
| swietenialide D | Swietenia mahogani | Spodoptera littoralis | AFD at 1000 μg/mL | [130] |
| swietenialide E | Swietenia mahogani | Spodoptera littoralis | AFD at 1000 μg/mL | [130] |
| swietenine | Swietenia macrophylla Swietenia mahagoni | Spodoptera frugiperda | DC50 = 0.19 mg L−1 | [131] |
| swietenolide | Swietenia mahogani | Spodoptera frugiperda | AI = 94.1, at 1000 μg/mL | [132] |
| 6-O-acetylswietenolide | Swietenia mahogani | Spodoptera frugiperda | AI = 72.2, at 1000 μg/mL | [132] |
| 3,6-O,O- diacetylswietenolide | Swietenia mahogani | Spodoptera frugiperda | AI = 72.0, at 1000 μg/mL | [132] |
| swietemahonin F | Swietenia mahogani | Spodoptera frugiperda | AI = 70.2, at 1000 μg/mL | [132] |
| Nilotin | Turraea nilotica | Leptinotarsa decemlineata | ED50 = 7 μg/mL | [137] |
| 7-deacetylgenudin | Xylocarpus granatum Pseudocedrela kotschyi | Reticulitermes speratus | PC95 = 113.7 μg/disc | [144] |
| xyloccensin P | Xylocarpus granatum | Mythimna separata | AFD at 500 μg/mL | [149] |
| xyloccensin Q | Xylocarpus granatum | Mythimna separata | AFD at 500 μg/mL | [149] |
| Compound | Plant Source | Insect | Activity | Ref. |
|---|---|---|---|---|
| swietenitin O | Soymida febrifuga | Achaea janata | LC50 = 0.65 μg/cm2 | [2] |
| Spodoptera litura | LC50 = 0.75 μg/cm2 | |||
| methyl angolensate | Neobeguea mahafalensis Ruagea glabra Lansium domesticum Trichilia elegans Xylocarpus granatum Xylocarpus moluccensis | Spodoptera frugiperda | mortality rate of 40% at 50 mg·kg−1 | [27] |
| khayasin | Xylocarpus moluccensis | Brontispa longissima | LC50 = 7.28 μg/mL (24 h) | [28] |
| photogedunin | Cedrela fissilis Xylocarpus granatum | Atta sexdens rubropilosa | S50 = 9 days | [44] |
| 7-deacetoxy-7-oxogedunin | Pseudocedrela kotschyi | Atta sexdens rubropilosa | S50 = 11 days | [44] |
| 7-deacetylgedunin | Pseudocedrela kotschyi | Atta sexdens rubropilosa | S50 = 9 days | [44] |
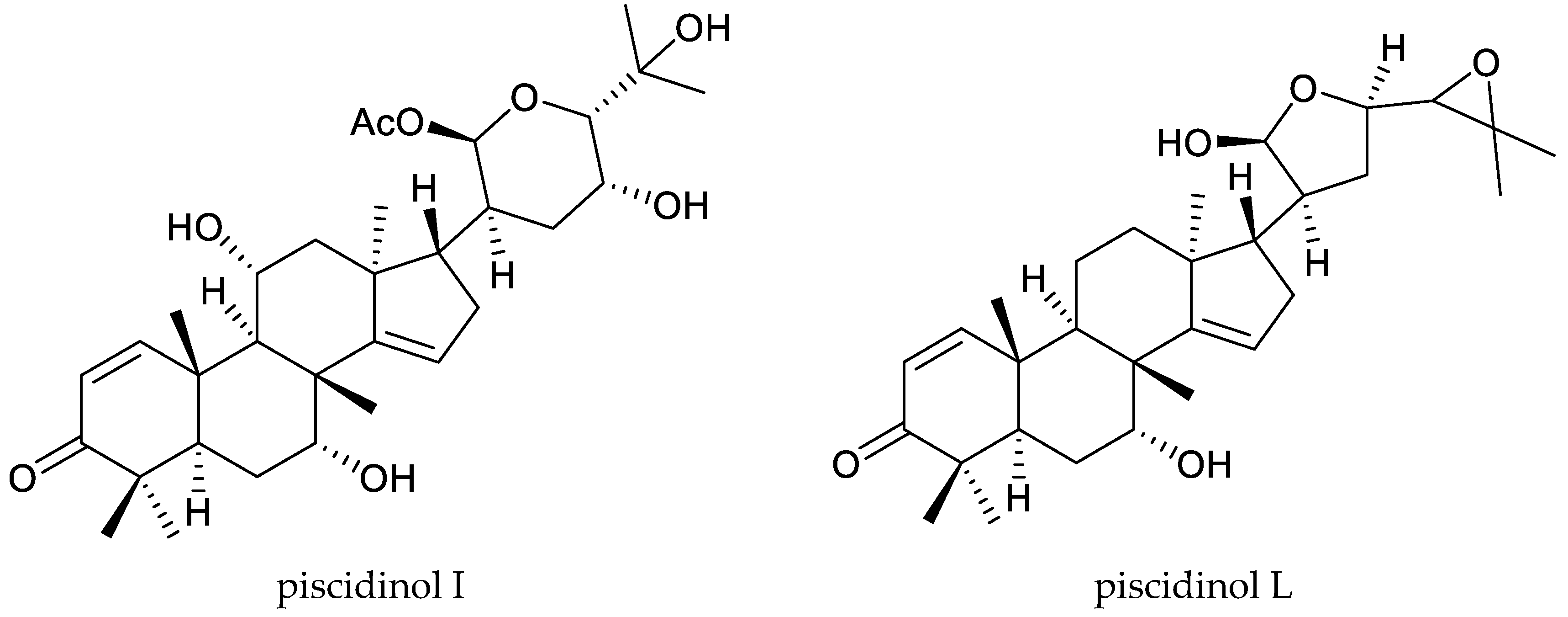
| piscidinol I | Walsura trifoliata | Achaea janata | LC50 = 40.83 mg/cm2 | [96] |
| Spodoptera litura | LC50 = 46.55 mg/cm2 | |||
| piscidinol L | Walsura trifoliata | Achaea janata | LC50 = 20.00 mg/cm2 | |
| Spodoptera litura | LC50 = 22.02 mg/cm2 | |||
| trisinlin A | Trichilia sinensis | Spodoptera litura | 96.67% mortalities, 14 d, at 20 μg/mL | [111] |
| trichilin A | Trichilia emetica Trichilia roka | Spodoptera eridania | killed the third instar larvae over a 10-day feeding | [114] |
| humilinolide A | Swietenia humilis | Ostrinia nubilalis | larval mortality: 43.3% at 50 μg/mL | [123] |
| humilinolide B | Swietenia humilis | Ostrinia nubilalis | larval mortality: 50% at 50 μg/mL | [123] |
| humilinolide C | Swietenia humilis | Ostrinia nubilalis | larval mortality: 50% at 50 μg/mL | [123] |
| humilinolide D | Swietenia humilis | Ostrinia nubilalis | larval mortality: 63.3% at 50 μg/mL | [123] |
| humilinolide E | Swietenia humilis | Ostrinia nubilalis | the survival rate: 20% | [133] |
| humilin B | Swietenia humilis | Ostrinia nubilalis | the survival rate > 50% | [133] |
| swietenin C | Swietenia humilis | Ostrinia nubilalis | the survival rate < 50% | [133] |
| methyl-2-hydroxy-3-β-isobutyroxy-1 -oxomeliac-8(30)-enate | Swietenia humilis | Ostrinia nubilalis | the survival rate: 30% | [133] |
| methyl-2-hydroxy-3β-tigloyloxy-1-oxomeliac-8(30)-enate | Swietenia humilis | Ostrinia nubilalis | the survival rate > 60% | [133] |
| 12α-diacetoxywalsuranolide | Turraea abyssinica | Tuta absoluta | LD50 = 6.6 μg/mL | [135] |
| 1α,7α,12α-triacetoxy-4α-carbomethoxy-11β-hydroxy- 14β,15β-epoxyhavanensin | Turraea abyssinica | Tuta absoluta | LD50 = 4.6 μg/mL | [135] |
| 11-epi-21-hydroxytoonacilide | Turraea abyssinica | Tuta absoluta | LD50 = 7.1 μg/mL | [135] |
| 11β,12α-diacetoxycedrelone | Turraea abyssinica | Tuta absoluta | LD50 = 5.8 μg/mL | [135] |
| 1α,7α,11β-triacetoxy-4α-carbomethoxy-12α -(2-methylpropanoyloxy)-14β,15β-epoxyhavanensin | Turraea floribunda | Anopheles gambiae | LD50 = 4.0 μg/mL | [136] |
| 1α,11β-diacetoxy-4α-carbomethoxy -7α-hydroxy-12α-(2-methylpropanoyloxy)-15- oxohavanensin | Turraea floribunda | Anopheles gambiae | LD50 = 3.6 μg/mL | [136] |
| 1α-acetoxy-3α- propanoyloxy-vilasinin | Turraea wakefieldii Turraea parvifolia | Anopheles gambiae | LD50 = 7.1 μg/mL | [136] |
| 11β,12α-diacetoxyneotecleanin | Turraea wakefieldii | Anopheles gambiae | LD50 = 7.83 μg/mL (24 h) | [138] |
| 11β,12α-diacetoxy-14β,15β-epoxyneotecleanin | Turraea wakefieldii | Anopheles gambiae | LD50 = 7.07 μg/mL (24 h) | [138] |
| 11β,12α-diacetoxy-11β-hydroxyneotecleanin Anophelesgambiae | Turraea wakefieldii | Anopheles gambiae | LD50 = 7.05 μg/mL (24 h) | [138] |
| gedunin | Xylocarpus granatum Xylocarpus obovatus | Spodoptera frugiperda | LC50 = 39.0 μg/mL | [148] |
| Compound | Plant Source | Insect | Activity | Ref. |
|---|---|---|---|---|
| prieurianin | Nymania capensis Trichilia firieuriana Turraea obtusifolia | Helicoverpa armigera | EC50 = 18.8 μg/mL | [49] |
| azadiradione | Quivisia papinae Lansium domesticum | Heliothis uirescens | EC50 = 560 μg/mL | [53] |
| 3β,24,25-trihydroxycycloartane | Dysoxylum beddomei | Cnaphalocrocis medinalis | prolonged larval duration and reduced larval weight at 3–12 μg/mL | [68] |
| beddomei lactone | Dysoxylum beddomei | Cnaphalocrocis medinalis | prolonged larval duration and reduced larval weight at 3–12 μg/mL | [68] |
| sendanin | Trichilia roka | Pectinophora gossypiella Heliothis zea Heliothis virescens Spodoptera frugiperda | ED50 = 9 μg/mL ED50 = 55 μg/mL ED50 = 60 μg/mL ED50 = 11 μg/mL | [117] |
| azadirone | Trichilia havanensis | Leptinotarsa decemlineata | AI valus at 100-500 μg/mL varied from 11.6 to 26.9 | [119] |
| hirtin | Trichilia hirta Trichilia pallida | Peridroma saucia | EC50 = 13.0 μg/mL (7 d) | [121] |
| humilinolide C | Swietenia humilis | Ostrinia nubilalis | decreased the growth, 5 μg/mL | [123] |
| 13% pupation, 50 μg/mL | [123] | |||
| humilinolide D | Swietenia humilis | Ostrinia nubilalis | 10% pupation, 50 μg/mL | [123] |
Disclaimer/Publisher’s Note: The statements, opinions and data contained in all publications are solely those of the individual author(s) and contributor(s) and not of MDPI and/or the editor(s). MDPI and/or the editor(s) disclaim responsibility for any injury to people or property resulting from any ideas, methods, instructions or products referred to in the content. |
© 2024 by the authors. Licensee MDPI, Basel, Switzerland. This article is an open access article distributed under the terms and conditions of the Creative Commons Attribution (CC BY) license (https://creativecommons.org/licenses/by/4.0/).
Share and Cite
Lin, M.; Liu, X.; Chen, J.; Huang, J.; Zhou, L. Insecticidal Triterpenes in Meliaceae III: Plant Species, Molecules, and Activities in Munronia–Xylocarpus. Int. J. Mol. Sci. 2024, 25, 7818. https://doi.org/10.3390/ijms25147818
Lin M, Liu X, Chen J, Huang J, Zhou L. Insecticidal Triterpenes in Meliaceae III: Plant Species, Molecules, and Activities in Munronia–Xylocarpus. International Journal of Molecular Sciences. 2024; 25(14):7818. https://doi.org/10.3390/ijms25147818
Chicago/Turabian StyleLin, Meihong, Xiaohui Liu, Jiaxin Chen, Jiguang Huang, and Lijuan Zhou. 2024. "Insecticidal Triterpenes in Meliaceae III: Plant Species, Molecules, and Activities in Munronia–Xylocarpus" International Journal of Molecular Sciences 25, no. 14: 7818. https://doi.org/10.3390/ijms25147818
APA StyleLin, M., Liu, X., Chen, J., Huang, J., & Zhou, L. (2024). Insecticidal Triterpenes in Meliaceae III: Plant Species, Molecules, and Activities in Munronia–Xylocarpus. International Journal of Molecular Sciences, 25(14), 7818. https://doi.org/10.3390/ijms25147818

