Insights into CLC-0’s Slow-Gating from Intracellular Proton Inhibition
Abstract
1. Introduction
2. Results
2.1. The Magnitude and Direction of Anion Flux Affect the Recovery of the Wild-Type CLC-0 Current from H+i-Induced Inhibition
2.2. Analyzing H+i Inhibition in the Inactivation-Suppressed Mutants of CLC-0
2.3. Analyzing Recovery from H+i Inhibition in Mutants Missing Egate
2.4. C212S Mutation Slows down the Transition from the I1 to I2 State
2.5. Increasing [Cl−] also Favors the Slow-Gate Opening in CLC-0 Mutants
3. Discussion
3.1. Membrane Hyperpolarization and Outward Anion Flux Favor CLC-0’s Slow-Gate Opening
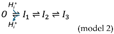
3.2. Current Recovery Processes in CLC-0 Mutants Support Multiple Inactivated States
3.3. Removal of the Egate Charge Does Not Eliminate CLC-0’s Slow Gating
3.4. Single-Channel Recordings Provide Support to the Macroscopic Current Behaviors
4. Materials and Methods
4.1. Molecular Biology and Channel Expression
4.2. Electrophysiological Recordings
4.3. Data Analyses
4.4. Homology Modeling of the CLC-0 Structure and Amino Acid Sequence Alignment
Supplementary Materials
Author Contributions
Funding
Institutional Review Board Statement
Informed Consent Statement
Data Availability Statement
Acknowledgments
Conflicts of Interest
Abbreviations
| H+ | protons |
| Cl− | chloride ions |
| Br− | bromide ions |
| SCN− | thiocyanate ions |
| H+i | intracellular protons |
| [H+]i | concentration of intracellular protons |
| [Cl−]i | concentration of intracellular chloride ions |
| [Cl−]o | concentration of extracellular chloride ions |
| pHi | intracellular pH |
| HEK | human embryonic kidney |
| C212S | C212S mutant of the Torpedo CLC-0 Cl− channel |
| Y512A | Y512A mutant of the Torpedo CLC-0 Cl− channel |
| E166A | E166A mutant of the Torpedo CLC-0 Cl− channel |
| E166Q | E166Q mutant of the Torpedo CLC-0 Cl− channel |
| hCLC-1 | human CLC-1 chloride channel |
| WT | wild type |
| Egate | glutamate gate |
| Inorm | normalized current |
| mV | millivolt |
| ms | millisecond |
| s | second |
| Hz | Hertz (1/sec) |
| Vm | membrane voltage |
| Po | open probability |
| τrec | time constant of the current recovery |
| Fi | fraction of exponential component i |
| fi | time fraction of the current level i (i = 0, 1 or 2) |
| P(t) | Probability of events longer than time t |
| NMDG | N-methyl D-glucamine |
| EGTA | ethylene-bis(oxyethylenenitrilo)tetraacetic acid |
| HEPES | 4-(2-hydroxyethyl)-1-piperazineethanesulfonic acid |
| MES | 2-(N-morpholino)ethanesulfonic acid |
References
- Miller, C. ClC chloride channels viewed through a transporter lens. Nature 2006, 440, 484–489. [Google Scholar] [CrossRef]
- Chen, T.Y.; Hwang, T.C. CLC-0 and CFTR: Chloride channels evolved from transporters. Physiol. Rev. 2008, 88, 351–387. [Google Scholar] [CrossRef] [PubMed]
- Steinmeyer, K.; Ortland, C.; Jentsch, T.J. Primary structure and functional expression of a developmentally regulated skeletal muscle chloride channel. Nature 1991, 354, 301–304. [Google Scholar] [CrossRef] [PubMed]
- Thiemann, A.; Gründer, S.; Pusch, M.; Jentsch, T.J. A chloride channel widely expressed in epithelial and non-epithelial cells. Nature 1992, 356, 57–60. [Google Scholar] [CrossRef] [PubMed]
- Adachi, S.; Uchida, S.; Ito, H.; Hata, M.; Hiroe, M.; Marumo, F.; Sasaki, S. Two isoforms of a chloride channel predominantly expressed in thick ascending limb of Henle’s loop and collecting ducts of rat kidney. J. Biol. Chem. 1994, 269, 17677–17683. [Google Scholar] [CrossRef] [PubMed]
- Kieferle, S.; Fong, P.; Bens, M.; Vandewalle, A.; Jentsch, T.J. Two highly homologous members of the ClC chloride channel family in both rat and human kidney. Proc. Natl. Acad. Sci. USA 1994, 91, 6943–6947. [Google Scholar] [CrossRef] [PubMed]
- Brandt, S.; Jentsch, T.J. ClC-6 and ClC-7 are two novel broadly expressed members of the CLC chloride channel family. FEBS Lett. 1995, 377, 15–20. [Google Scholar] [CrossRef]
- Duan, D.; Winter, C.; Cowley, S.; Hume, J.R.; Horowitz, B. Molecular identification of a volume-regulated chloride channel. Nature 1997, 390, 417–421. [Google Scholar] [CrossRef]
- Fisher, S.E.; Black, G.C.; Lloyd, S.E.; Hatchwell, E.; Wrong, O.; Thakker, R.V.; Craig, I.W. Isolation and partial characterization of a chloride channel gene which is expressed in kidney and is a candidate for Dent’s disease (an X-linked hereditary nephrolithiasis). Hum. Mol. Genet. 1994, 3, 2053–2059. [Google Scholar] [PubMed]
- Van Slegtenhorst, M.A.; Bassl, M.T.; Borsanil, G.; Wapenaar, M.C.; Ferrero, G.B.; de Concillls, L.; Rugarli, E.I.; Grillo, A.; Franco, B.; Zoghbl, H.Y.; et al. A gene from the Xp22.3 region shares homology with voltage-gated chloride channels. Hum. Mol. Genet. 1994, 3, 547–552. [Google Scholar] [CrossRef] [PubMed]
- Jentsch, T.J.; Steinmeyer, K.; Schwarz, G. Primary structure of Torpedo marmorata chloride channel isolated by expression cloning in Xenopus oocytes. Nature 1990, 348, 510–514. [Google Scholar] [CrossRef] [PubMed]
- Dutzler, R.; Campbell, E.B.; Cadene, M.; Chait, B.T.; MacKinnon, R. X-ray structure of a ClC chloride channel at 3.0 A reveals the molecular basis of anion selectivity. Nature 2002, 415, 287–294. [Google Scholar] [CrossRef] [PubMed]
- Park, E.; Campbell, E.B.; MacKinnon, R. Structure of a CLC chloride ion channel by cryo-electron microscopy. Nature 2017, 541, 500–505. [Google Scholar] [CrossRef] [PubMed]
- Park, E.; MacKinnon, R. Structure of the CLC-1 chloride channel from Homo sapiens. eLife 2018, 7, e36629. [Google Scholar] [CrossRef] [PubMed]
- Feng, L.; Campbell, E.B.; Hsiung, Y.; MacKinnon, R. Structure of a eukaryotic CLC transporter defines an intermediate state in the transport cycle. Science 2010, 330, 635–641. [Google Scholar] [CrossRef]
- Wang, K.; Preisler, S.S.; Zhang, L.; Cui, Y.; Missel, J.W.; Grønberg, C.; Gotfryd, K.; Lindahl, E.; Andersson, M.; Calloe, K.; et al. Structure of the human ClC-1 chloride channel. PLoS Biol. 2019, 17, e3000218. [Google Scholar] [CrossRef] [PubMed]
- Miller, C. Open-state substructure of single chloride channels from Torpedo electroplax. Philos. Trans. R. Soc. London. B Biol. Sci. 1982, 299, 401–411. [Google Scholar] [PubMed]
- Richard, E.A.; Miller, C. Steady-state coupling of ion-channel conformations to a transmembrane ion gradient. Science 1990, 247, 1208–1210. [Google Scholar] [CrossRef]
- Chen, T.Y.; Miller, C. Nonequilibrium gating and voltage dependence of the ClC-0 Cl- channel. J. Gen. Physiol. 1996, 108, 237–250. [Google Scholar] [CrossRef]
- Chen, T.Y. Structure and function of clc channels. Annu. Rev. Physiol. 2005, 67, 809–839. [Google Scholar] [CrossRef] [PubMed]
- Dutzler, R.; Campbell, E.B.; MacKinnon, R. Gating the selectivity filter in ClC chloride channels. Science 2003, 300, 108–112. [Google Scholar] [CrossRef] [PubMed]
- Pusch, M.; Ludewig, U.; Rehfeldt, A.; Jentsch, T.J. Gating of the voltage-dependent chloride channel CIC-0 by the permeant anion. Nature 1995, 373, 527–531. [Google Scholar] [CrossRef] [PubMed]
- Chen, T.Y. Coupling gating with ion permeation in ClC channels. Sci. STKE 2003, 2003, pe23. [Google Scholar] [CrossRef] [PubMed]
- Traverso, S.; Zifarelli, G.; Aiello, R.; Pusch, M. Proton sensing of CLC-0 mutant E166D. J. Gen. Physiol. 2006, 127, 51–65. [Google Scholar] [CrossRef] [PubMed]
- Niemeyer, M.I.; Cid, L.P.; Yusef, Y.R.; Briones, R.; Sepúlveda, F.V. Voltage-dependent and -independent titration of specific residues accounts for complex gating of a ClC chloride channel by extracellular protons. J. Physiol. 2009, 587 Pt 7, 1387–1400. [Google Scholar] [CrossRef] [PubMed]
- Zifarelli, G.; Murgia, A.R.; Soliani, P.; Pusch, M. Intracellular proton regulation of ClC-0. J. Gen. Physiol. 2008, 132, 185–198. [Google Scholar] [CrossRef] [PubMed]
- Chen, M.F.; Chen, T.Y. Different fast-gate regulation by external Cl(-) and H(+) of the muscle-type ClC chloride channels. J. Gen. Physiol. 2001, 118, 23–32. [Google Scholar] [CrossRef] [PubMed]
- Hanke, W.; Miller, C. Single chloride channels from Torpedo electroplax. Activation by protons. J. Gen. Physiol. 1983, 82, 25–45. [Google Scholar] [CrossRef] [PubMed]
- Chen, T.Y.; Chen, M.F.; Lin, C.W. Electrostatic control and chloride regulation of the fast gating of ClC-0 chloride channels. J. Gen. Physiol. 2003, 122, 641–651. [Google Scholar] [CrossRef]
- Kwon, H.C.; Fairclough, R.H.; Chen, T.Y. Biophysical and Pharmacological Insights to CLC Chloride Channels. Handb. Exp. Pharmacol. 2024, 283, 1–34. [Google Scholar] [PubMed]
- White, M.M.; Miller, C. A voltage-gated anion channel from the electric organ of torpedo californica. J. Biol. Chem. 1979, 254, 10161–10166. [Google Scholar] [CrossRef] [PubMed]
- Pusch, M.; Ludewig, U.; Jentsch, T.J. Temperature dependence of fast and slow gating relaxations of ClC-0 chloride channels. J. Gen. Physiol. 1997, 109, 105–116. [Google Scholar] [CrossRef] [PubMed]
- Yu, Y.; Tsai, M.-F.; Yu, W.-P.; Chen, T.-Y. Modulation of the slow/common gating of CLC channels by intracellular cadmium. J. Gen. Physiol. 2015, 146, 495–508. [Google Scholar] [CrossRef] [PubMed]
- Chen, T.Y. Extracellular zinc ion inhibits ClC-0 chloride channels by facilitating slow gating. J. Gen. Physiol. 1998, 112, 715–726. [Google Scholar] [CrossRef] [PubMed]
- Lin, Y.W.; Lin, C.W.; Chen, T.Y. Elimination of the slow gating of ClC-0 chloride channel by a point mutation. J. Gen. Physiol. 1999, 114, 1–12. [Google Scholar] [CrossRef] [PubMed]
- Ludewig, U.; Pusch, M.; Jentsch, T.J. Two physically distinct pores in the dimeric ClC-0 chloride channel. Nature 1996, 383, 340–343. [Google Scholar] [CrossRef] [PubMed]
- Bennetts, B.; Parker, M.W. Molecular determinants of common gating of a ClC chloride channel. Nat. Commun. 2013, 4, 2507. [Google Scholar] [CrossRef] [PubMed]
- Bykova, E.A.; Zhang, X.-D.; Chen, T.-Y.; Zheng, J. Large movement in the C terminus of CLC-0 chloride channel during slow gating. Nat. Struct. Mol. Biol. 2006, 13, 1115–1119. [Google Scholar] [CrossRef]
- Kwon, H.C.; Yu, Y.; Fairclough, R.H.; Chen, T.-Y. Proton-dependent inhibition, inverted voltage activation, and slow gating of CLC-0 Chloride Channel. PLoS ONE 2020, 15, e0240704. [Google Scholar] [CrossRef] [PubMed]
- Jesús-pérez, J.J.D.; Castro-Chong, A.; Shieh, R.-C.; Hernández-Carballo, C.Y.; De Santiago-Castillo, J.A.; Arreola, J. Gating the glutamate gate of CLC-2 chloride channel by pore occupancy. JGP 2016, 147, 25–37. [Google Scholar] [CrossRef] [PubMed]
- Jesus-Perez, J.J.D.; Méndez-Maldonado, G.A.; López-Romero, A.E.; Esparza-Jasso, D.; González-Hernández, I.L.; De la Rosa, V.; Gastélum-Garibaldi, R.; Sánchez-Rodríguez, J.E.; Arreola, J. Electro-steric opening of the CLC-2 chloride channel gate. Sci. Rep. 2021, 11, 13127. [Google Scholar] [CrossRef] [PubMed]
- Koch, M.C.; Steinmeyer, K.; Lorenz, C.; Ricker, K.; Wolf, F.; Otto, M.; Zoll, B.; Lehmann-Horn, F.; Grzeschik, K.-H.; Jentsch, T.J. The skeletal muscle chloride channel in dominant and recessive human myotonia. Science 1992, 257, 797–800. [Google Scholar] [CrossRef] [PubMed]
- Fernandes-Rosa, F.L.; Boulkroun, S.; Zennaro, M.-C. Somatic and inherited mutations in primary aldosteronism. J. Mol. Endocrinol. 2017, 59, R47–R63. [Google Scholar] [CrossRef] [PubMed]
- Fernandes-Rosa, F.L.; Daniil, G.; Orozco, I.J.; Göppner, C.; El Zein, R.; Jain, V.; Boulkroun, S.; Jeunemaitre, X.; Amar, L.; Lefebvre, H.; et al. A gain-of-function mutation in the CLCN2 chloride channel gene causes primary aldosteronism. Nat. Genet. 2018, 50, 355–361. [Google Scholar] [CrossRef] [PubMed]
- Goppner, C.; Orozco, I.J.; Hoegg-Beiler, M.B.; Soria, A.H.; Hübner, C.A.; Fernandes-Rosa, F.L.; Boulkroun, S.; Zennaro, M.-C.; Jentsch, T.J. Pathogenesis of hypertension in a mouse model for human CLCN2 related hyperaldosteronism. Nat. Commun. 2019, 10, 4678. [Google Scholar] [CrossRef] [PubMed]
- Scholl, U.I.; Stölting, G.; Schewe, J.; Thiel, A.; Tan, H.; Nelson-Williams, C.; Vichot, A.A.; Jin, S.C.; Loring, E.; Untiet, V.; et al. CLCN2 chloride channel mutations in familial hyperaldosteronism type II. Nat. Genet. 2018, 50, 349–354. [Google Scholar] [CrossRef]
- Stowasser, M.; Wolley, M.; Wu, A.; Gordon, R.D.; Schewe, J.; Stölting, G.; Scholl, U.I. Pathogenesis of Familial Hyperaldosteronism Type II: New Concepts Involving Anion Channels. Curr. Hypertens. Rep. 2019, 21, 31. [Google Scholar] [CrossRef] [PubMed]
- Fong, P.; Rehfeldt, A.; Jentsch, T.J. Determinants of slow gating in ClC-0, the voltage-gated chloride channel of Torpedo marmorata. Am. J. Physiol. 1998, 274, C966–C973. [Google Scholar] [CrossRef] [PubMed]
- Miller, C.; White, M.M. A voltage-dependent chloride conductance channel from Torpedo electroplax membrane. Ann. N. Y. Acad. Sci. 1980, 341, 534–551. [Google Scholar] [CrossRef] [PubMed]
- Zhang, X.D.; Li, Y.; Yu, W.-P.; Chen, T.-Y. Roles of K149, G352, and H401 in the channel functions of ClC-0: Testing the predictions from theoretical calculations. J. Gen. Physiol. 2006, 127, 435–447. [Google Scholar] [CrossRef]
- Hille, B. Ion Channels of Excitable Membranes, 3rd ed.; Sinauer Associates, Inc.: Sunderland, MA, USA, 2001; p. 814. [Google Scholar]
- Zhang, X.D.; Tseng, P.-Y.; Yu, W.-P.; Chen, T.-Y. Blocking pore-open mutants of CLC-0 by amphiphilic blockers. J. Gen. Physiol. 2009, 133, 43–58. [Google Scholar] [CrossRef] [PubMed]
- Jumper, J.; Evans, R.; Pritzel, A.; Green, T.; Figurnov, M.; Ronneberger, O.; Tunyasuvunakool, K.; Bates, R.; Žídek, A.; Potapenko, A.; et al. Highly accurate protein structure prediction with AlphaFold. Nature 2021, 596, 583–589. [Google Scholar] [CrossRef] [PubMed]
- Varadi, M.; Anyango, S.; Deshpande, M.; Nair, S.; Natassia, C.; Yordanova, G.; Yuan, D.; Stroe, O.; Wood, G.; Laydon, A.; et al. AlphaFold Protein Structure Database: Massively expanding the structural coverage of protein-sequence space with high-accuracy models. Nucleic Acids Res. 2022, 50, D439–D444. [Google Scholar] [CrossRef] [PubMed]











Disclaimer/Publisher’s Note: The statements, opinions and data contained in all publications are solely those of the individual author(s) and contributor(s) and not of MDPI and/or the editor(s). MDPI and/or the editor(s) disclaim responsibility for any injury to people or property resulting from any ideas, methods, instructions or products referred to in the content. |
© 2024 by the authors. Licensee MDPI, Basel, Switzerland. This article is an open access article distributed under the terms and conditions of the Creative Commons Attribution (CC BY) license (https://creativecommons.org/licenses/by/4.0/).
Share and Cite
Kwon, H.C.; Fairclough, R.H.; Chen, T.-Y. Insights into CLC-0’s Slow-Gating from Intracellular Proton Inhibition. Int. J. Mol. Sci. 2024, 25, 7796. https://doi.org/10.3390/ijms25147796
Kwon HC, Fairclough RH, Chen T-Y. Insights into CLC-0’s Slow-Gating from Intracellular Proton Inhibition. International Journal of Molecular Sciences. 2024; 25(14):7796. https://doi.org/10.3390/ijms25147796
Chicago/Turabian StyleKwon, Hwoi Chan, Robert H. Fairclough, and Tsung-Yu Chen. 2024. "Insights into CLC-0’s Slow-Gating from Intracellular Proton Inhibition" International Journal of Molecular Sciences 25, no. 14: 7796. https://doi.org/10.3390/ijms25147796
APA StyleKwon, H. C., Fairclough, R. H., & Chen, T.-Y. (2024). Insights into CLC-0’s Slow-Gating from Intracellular Proton Inhibition. International Journal of Molecular Sciences, 25(14), 7796. https://doi.org/10.3390/ijms25147796
