Opioid-Based Haptens: Development of Immunotherapy
Abstract
1. Introduction
2. The Background of Opioid-Based Hapten Structures
3. Pharmacological Studies on Anti-Morphine Antisera
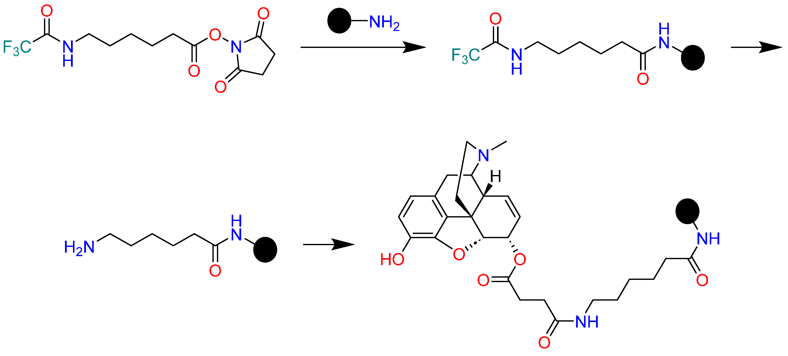
4. Immunotherapy against Heroin, Oxycodone, and Fentanyl
4.1. Immunotherapy against Heroin










| Opioid Hapten | No | Position of Hapten | Immunogen | Antibody Titres Specific | ** Cross-Reactivities | Reference |
|---|---|---|---|---|---|---|
| Heroin hapten (HAc) | 28a | N-17 | 28a-maleimide activated KLH | 6-O-Ac-Mor *, heroin +, Mor + | 6-O-Ac-Mor | [63,64,65] |
| Morphine hapten (N-thiol) | 28b | N-17 | 28b-maleimide activated KLH | Mor *, heroin + | Mor | [63,64,65] |
| C-3-acetamide analogue | 33 | N-17 | 33-maleimide activated KLH | 6-O-Ac-Mor ++, heroin+ | ND | [66] |
| HerdBA (β-alanine dipeptide linker) | 36 | N-17 | 36-TT | Ø | ND | [67] |
| C-3 methanesulfonate 6-O-acetate carboxyl-isoster of heroin (HMsuAc) | 37 | N-17 | 37-CRM | Heroin * | ND | [68,69,70] |
| 3,6-dimethanesulfonate carboxyl-isoster heroin (H3,6Ds) | 38 | N-17 | 38-CRM | Heroin * | ND | [68,69,70] |
| HAc | 28a | N-17 | HAc-CRM | Heroin * | ND | [68,69,70] |
| 3,6-diacetyl-N-carboxyethylnormorphine | 39a | N-17 | 39a-KLH | Heroin | ND | [68,69,70] |
| Deuterated heroin hapten | 39b | N-17 | 39b-KLH | ND | [71] | |
| MorHap | 40 | C-6 | 40-TT+[L(MPLA)] | Mor, 6AM | [72,74,75] | |
| OMAHap | 41 | C-6 | 41-TT+[L(MPLA)] | [72] | ||
| HerHap | 42 | N-17 | 42-TT+[L(MPLA)] | [72] | ||
| 6-AcMorHap | 43 | C-3 | 43-TT+[L(MPLA)] | [72] | ||
| PrOxyHap | 44 | C-3 | 44-TT+[L(MPLA)] | [73] | ||
| DiPrOxyHap | 45 | N-17 | 45-TT+[L(MPLA)] | [73] | ||
| DiAmHap | 46 | N-17 | 46-TT+[L(MPLA)] | Heroin, Mor, 6AM | [73] | |
| 6-AmHap | 47 | C-3 | 47-TT+[L(MPLA)] | Heroin, and other abused opioids, including hydrocodone, oxycodone, hydromorphone, oxymorphone, and codeine | [78] | |
| 6,14-AmidoHap | 48 | C-14 | 48-TT+[L(MPLA)]/Al(OH)3 | [79] | ||
| 14-AmidoMorHap | 49a | C-14 | 49a-TT+[L(MPLA)]/Al(OH)3 | [79] | ||
| 14-AmidoHerHap | 49b | C-14 | 49b-TT+[L(MPLA)]/Al(OH)3 | Heroin, 6AM | [79] | |
| 1-AmidoMorHap | 50 | C-1 | 50-TT+Al(OH)3-ALF43 | Ø | [80] | |
| 1-AmidoMorHap epimer | 51 | C-1 | 51-TT+Al(OH)3-ALF43 | 6-O-Ac-Mor, heroin | [80] | |
| 1-Amido-DihydroMorHap | 52 | C-1 | 52-TT+Al(OH)3-ALF43 | Ø | [80] | |
| 1 Amido-DihydroMorHap epimer | 53 | C-1 | 53-TT+Al(OH)3-ALF43 | 6-O-Ac-Mor, heroin | [80] |


4.2. Immunotherapy against Oxycodone
| Opioid Hapten | No | Position of Hapten | Immunogen | Antibody Titres Specific | Cross-Reactivities | Reference |
|---|---|---|---|---|---|---|
| Oxycodone-(Gly)4 | 53 | C-6 | 53-BSA | ↑ titres | [3] | |
| Oxycodone-(Gly)4 | 53 | C-6 | 53-KLH | ↑ titres Oxycod | Oxymor | [81] |
| Oxycodone-(Gly)4 | 53 | C-6 | 53-OVA | Oxycod, Oxymor | [3] | |
| Oxycodone-hemisuccinate | 54 | C-6 | 54-BSA | Low titre | NA | [3] |
| Morphine-6-O-glycolic acid-(Gly)4 | 55 | C-6 | 55-KLH | Oxygly4KLH (18%) | [81] |


4.3. Immunotherapy against Fentanyl



5. Impact of Opioid-Based Vaccination on Opioid Distribution
6. Other Strategies to Generate Opioid Haptens
7. The Pharmacological Properties of Novel Opioid Haptens
8. Conclusions
Author Contributions
Funding
Conflicts of Interest
References
- Butler, V.P. The Immunological Assay of Drugs. Pharmacol. Rev. 1977, 29, 103–184. [Google Scholar] [PubMed]
- Bonese, K.F.; Wainer, B.H.; Fitch, F.W.; Rothberg, R.M.; Schuster, C.R. Changes in Heroin Self-Administration by a Rhesus Monkey after Morphine Immunisation. Nature 1974, 252, 708–710. [Google Scholar] [CrossRef] [PubMed]
- Pravetoni, M.; Le Naour, M.; Harmon, T.M.; Tucker, A.M.; Portoghese, P.S.; Pentel, P.R. An Oxycodone Conjugate Vaccine Elicits Drug-Specific Antibodies That Reduce Oxycodone Distribution to Brain and Hot-Plate Analgesia. J. Pharmacol. Exp. Ther. 2012, 341, 225–232. [Google Scholar] [CrossRef] [PubMed]
- Volkow, N.D.; McLellan, A.T. Opioid Abuse in Chronic Pain—Misconceptions and Mitigation Strategies. N. Engl. J. Med. 2016, 374, 1253–1263. [Google Scholar] [CrossRef] [PubMed]
- Ganguly, A.; Michael, M.; Gorschin, S.; Harris, K.; McFarland, D. Cancer Pain and Opioid Use Disorder. Oncology 2022, 36, 535–541. [Google Scholar] [PubMed]
- Compton, W.M.; Jones, C.M. Epidemiology of the U.S. Opioid Crisis: The Importance of the Vector. Ann. N. Y. Acad. Sci. 2019, 1451, 130–143. [Google Scholar] [CrossRef] [PubMed]
- Humphreys, K.; Shover, C.L.; Andrews, C.M.; Bohnert, A.S.B.; Brandeau, M.L.; Caulkins, J.P.; Chen, J.H.; Cuéllar, M.F.; Hurd, Y.L.; Juurlink, D.N.; et al. Responding to the Opioid Crisis in North America and beyond: Recommendations of the Stanford–Lancet Commission. Lancet 2022, 399, 555–604. [Google Scholar] [CrossRef] [PubMed]
- Poklis, J.; Poklis, A.; Wolf, C.; Mainland, M.; Hair, L.; Devers, K.; Chrostowski, L.; Arbefeville, E.; Merves, M.; Pearson, J. Postmortem Tissue Distribution of Acetyl Fentanyl, Fentanyl and Their Respective nor-Metabolites Analyzed by Ultrahigh Performance Liquid Chromatography with Tandem Mass Spectrometry. Forensic Sci. Int. 2015, 257, 435–441. [Google Scholar] [CrossRef]
- Cicero, T.J.; Ellis, M.S.; Surratt, H.L. Effect of Abuse-Deterrent Formulation of OxyContin. N. Engl. J. Med. 2012, 367, 187–189. [Google Scholar] [CrossRef]
- Fairbairn, N.; Coffin, P.O.; Walley, A.Y. Naloxone for Heroin, Prescription Opioid, and Illicitly Made Fentanyl Overdoses: Challenges and Innovations Responding to a Dynamic Epidemic. Int. J. Drug Policy 2017, 46, 172–179. [Google Scholar] [CrossRef]
- Kolodny, A.; Courtwright, D.T.; Hwang, C.S.; Kreiner, P.; Eadie, J.L.; Clark, T.W.; Alexander, G.C. The Prescription Opioid and Heroin Crisis: A Public Health Approach to an Epidemic of Addiction. Annu. Rev. Public Health 2015, 36, 559–574. [Google Scholar] [CrossRef] [PubMed]
- Carroll, F.I.; Lewin, A.H.; Mascarella, S.W.; Seltzman, H.H.; Reddy, P.A. Designer Drugs: A Medicinal Chemistry Perspective. Ann. N. Y. Acad. Sci. 2012, 1248, 18–38. [Google Scholar] [CrossRef]
- Mounteney, J.; Giraudon, I.; Denissov, G.; Griffiths, P. Fentanyls: Are We Missing the Signs? Highly Potent and on the Rise in Europe. Int. J. Drug Policy 2015, 26, 626–631. [Google Scholar] [CrossRef] [PubMed]
- Maclean, J.C.; Mallatt, J.; Ruhm, C.J.; Simon, K. The Opioid Crisis, Health, Healthcare, and Crime: A Review of Quasi-Experimental Economic Studies. Ann. Am. Acad. Political Soc. Sci. 2022, 703, 15–49. [Google Scholar] [CrossRef]
- Spector, S.; Parker, C.W. Morphine: Radioimmunoassay. Science (1979) 1970, 168, 1347–1348. [Google Scholar] [CrossRef]
- Spector, S. Quantitative Determination of Morphine in Serum by Radioimmunoassay. J. Pharmacol. Exp. Ther. 1971, 178, 253–258. [Google Scholar]
- Spector, S.; Berkowitz, B.; Flynn, E.J.; Peskar, B. Antibodies to Morphine, Barbiturates, and Serotonin. Pharmacol. Rev. 1973, 25, 281–291. [Google Scholar] [PubMed]
- Wainer, B.H.; Fitch, F.W.; Rothberg, R.M.; Fried, J. Morphine-3-Succinyl-Bovine Serum Albumin: An Immunogenic Hapten-Protein Conjugate. Science (1979) 1972, 176, 1143–1145. [Google Scholar] [CrossRef]
- Wainer, B.H.; Fitch, F.W.; Rothberg, R.M.; Fried, J. The Structure of Morphine Monohemisuccinate. Science (1979) 1972, 178, 647–648. [Google Scholar] [CrossRef][Green Version]
- Gintzler, A.R.; Mohacsi, E.; Spector, S. Radioimmunoassay for the Simultaneous Determination of Morphine and Codeine. Eur. J. Pharmacol. 1976, 38, 149–156. [Google Scholar] [CrossRef]
- Davis, R.; Feldhaus, J.; Heveran, J.; Wicks, R.; Peckham, M. Iodination of Morphine and Dihydromorphine, as Related to Radioimmunoassay. Clin. Chem. 1975, 21, 1498–1505. [Google Scholar] [CrossRef] [PubMed]
- Mason, P.A.; Law, B.; Ardrey, R.E. Preparation of 2-iodomorphine for Use in Radioimmunoassay. J. Label. Comp. Radiopharm. 1981, 18, 1497–1505. [Google Scholar] [CrossRef]
- Van Vunakis, H.; Wasserman, E.; Levine, L. Vunakis Specificities of Antibodies to Morphine. J. Pharmacol. Exp. Ther. 1972, 180, 514–521. [Google Scholar] [PubMed]
- Catlin, D.H.; Schaeffer, J.C.; Liewen, M.B. 2-Diazomorphine Directed Antiserum: Determination of Morphine in Brain after Naloxone Challenge in Morphine Pellet Implanted Mice. Life Sci. 1977, 20, 123–132. [Google Scholar] [CrossRef]
- Cross, S. Critical Antigenic Determinants for Production of Antibody to Distinguish Morphine from Heroin, Codeine and Dextromethorphan. Mol. Immunol. 1974, 11, 453–456. [Google Scholar] [CrossRef]
- Herndon, B.L.; Paull, K.; Baeder, D.H.; Ringle, D.A. Comparison of Immunogenicity of Opiates Bound to Protein at Different Sites on the Molecule: N-Carboxy Morphine-BSA. Pharmacol. Res. Commun. 1976, 8, 325–335. [Google Scholar] [CrossRef]
- Koida, M.; Takahashi, M.; Muraoka, S.; Kaneto, H. Antibodies to Bsa Conjugates of Morphine Derivatives: Strict Dependency of the Immunological Specificity on the Hapten Structure. Jpn. J. Pharmacol. 1974, 24, 165–167. [Google Scholar] [CrossRef] [PubMed]
- Koida, M.; Takahashi, M.; Kaneto, H. The Morphine 3-Glucuronide Directed Antibody: Its Immunological Specificity and Possible Use for Radioimmunoassay of Morphine in Urine. Jpn. J. Pharmacol. 1974, 24, 707–714. [Google Scholar] [CrossRef] [PubMed]
- Findlay, J.W.A.; Butz, R.F.; Welch, R.M. A Codeine Radioimmunoassay Exhibiting Insignificant Cross-Reactivity with Morphine. (Preliminary Communication). Life Sci. 1976, 19, 389–393. [Google Scholar] [CrossRef]
- Usagawa, T.; Itoh, Y.; Hifumi, E.; Takeyasu, A.; Nakahara, Y.; Uda, T. Characterization of Morphine-Specific Monoclonal Antibodies Showing Minimal Cross-Reactivity with Codeine. J. Immunol. Methods 1993, 157, 143–148. [Google Scholar] [CrossRef]
- Budd, R.D.; Leung, W.J.; Yang, F.C. RIA Opiates: Structure versus Reactivity. Clin. Toxicol. 1980, 17, 383–393. [Google Scholar] [CrossRef] [PubMed]
- Catlin, D.; Cleeland, R.; Grunberg, E. A Sensitive, Rapid Radioimmunoassay for Morphine and Immunologically Related Substances in Urine and Serum. Clin. Chem. 1973, 19, 216–220. [Google Scholar] [CrossRef]
- Mulé, S.J.; Bastos, M.L.; Jukofsky, D. Evaluation of Immunoassay Methods for Detection, in Urine, of Drugs Subject to Abuse. Clin. Chem. 1974, 20, 243–248. [Google Scholar] [CrossRef] [PubMed]
- Mule, S.J.; Whitlock, E.; Jukofsky, D. Radioimmunoassay of Drugs Subject to Abuse: Critical Evaluation of Urinary Morphine Barbiturate, Morphine, Barbiturate, and Amphetamine Assays. Clin. Chem. 1975, 21, 81–86. [Google Scholar] [CrossRef] [PubMed]
- Berkowitz, B.A.; Cerreta, K.V.; Spector, S. The Influence of Physiologic and Pharmacologic Factors on the Disposition of Morphine as Determined by Radioimmunoassay. J. Pharmacol. Exp. Ther. 1975, 191, 527–534. [Google Scholar]
- Catlin, D.H. Pharmacokinetics of Morphine by Radioimmunoassay: The Influence of Immunochemical Factors. J. Pharmacol. Exp. Ther. 1977, 200, 224–235. [Google Scholar] [PubMed]
- Grabinski, P.Y.; Kaiko, R.F.; Walsh, T.D.; Foley, K.M.; Houde, R.W. Morphine Radioimmunoassay Specificity before and after Extraction of Plasma and Cerebrospinal Fluid. J. Pharm. Sci. 1983, 72, 27–30. [Google Scholar] [CrossRef]
- Stanski, D.R.; Paalzow, L.; Edlund, P.O. Morphine Pharmacokinetics: GLC Assay versus Radioimmunoassay. J. Pharm. Sci. 1982, 71, 314–317. [Google Scholar] [CrossRef]
- Moore, R.A.; Baldwin, D.; Allen, M.C.; Watson, P.J.; Bullingham, R.E.; McQuay, H.J. Sensitive and Specific Morphine Radioimmunoassay with Iodine Label: Pharmacokinetics of Morphine in Man after Intravenous Administration. Ann. Clin. Biochem. 1984, 21, 318–325. [Google Scholar] [CrossRef]
- Hand, C.W.; Moore, R.A.; McQuay, H.J.; Allen, M.C.; Sear, J.W. Analysis of Morphine and Its Major Metabolites by Differential Radioimmunoassay. Ann. Clin. Biochem. 1987, 24, 153–160. [Google Scholar] [CrossRef]
- Aherne, G.W.; Littleton, P. Morphine-6-Glucuronide, an Important Factor in Interpreting Morphine Radioimmunoassays. Lancet 1985, 326, 210–211. [Google Scholar] [CrossRef] [PubMed]
- Hoskin, P.; Hanks, G.; Aherne, G.; Chapman, D.; Littleton, P.; Filshie, J. The Bioavailability and Pharmacokinetics of Morphine after Intravenous, Oral and Buccal Administration in Healthy Volunteers. Br. J. Clin. Pharmacol. 1989, 27, 499–505. [Google Scholar] [CrossRef]
- Chapman, D.J.; Joel, S.P.; Aherne, G.W. Evaluation of a Differential Radioimmunoassay Technique for the Determination of Morphine and Morphine-6-Glucuronide in Human Plasma. J. Pharm. Biomed. Anal. 1994, 12, 353–360. [Google Scholar] [CrossRef] [PubMed]
- Brown, R.T.; Carter, N.K.; Lumbard, K.W.; Scheinmann, F. Synthesis of a Morphine-6-Glucuronide Hapten, N-(4-Aminobutyl)Normorphine-6-Glucuronide, and Related Haptens. Tetrahedron Lett. 1995, 36, 8661–8664. [Google Scholar] [CrossRef]
- Chapman, D.J.; Cross, M.J.; Joel, S.P.; Aherne, G.W. A Specific Radioimmunoassay for the Determination of Morphine-6-Glucuronide in Human Plasma. Ann. Clin. Biochem. 1995, 32, 297–302. [Google Scholar] [CrossRef]
- Beike, J.; Blaschke, G.; Mertz, A.; Köhler, H.; Brinkmann, B. A Specific Immunoassay for the Determination of Morphine and Its Glucuronides in Human Blood. Int. J. Leg. Med. 1998, 112, 8–14. [Google Scholar] [CrossRef]
- Méndez, S.B.; Matus-Ortega, M.; Miramontes, R.H.; Salazar-Juárez, A. Effect of the Morphine/Heroin Vaccine on Opioid and Non-Opioid Drug-Induced Antinociception in Mice. Eur. J. Pharmacol. 2021, 891, 173718. [Google Scholar] [CrossRef]
- Anton, B.; Leff, P. A Novel Bivalent Morphine/Heroin Vaccine That Prevents Relapse to Heroin Addiction in Rodents. Vaccine 2006, 24, 3232–3240. [Google Scholar] [CrossRef]
- Anton, B.; Salazar, A.; Flores, A.; Matus, M.; Marin, R.; Hernandez, J.A.; Leff, P. Vaccines against Morphine/Heroin and Its Use as Effective Medication for Preventing Relapse to Opiate Addictive Behaviors. Hum. Vaccin. 2009, 5, 214–229. [Google Scholar] [CrossRef]
- Li, Q.Q.; Luo, Y.X.; Sun, C.Y.; Xue, Y.X.; Zhu, W.L.; Shi, H.S.; Zhai, H.F.; Shi, J.; Lu, L. A Morphine/Heroin Vaccine with New Hapten Design Attenuates Behavioral Effects in Rats. J. Neurochem. 2011, 119, 1271–1281. [Google Scholar] [CrossRef]
- Findlay, J.W.A.; Butz, R.F.; Jones, E.C. Relationships between Immunogen Structure and Antisera Specificity in the Narcotic Alkaloid Series. Clin. Chem. 1981, 27, 1524–1535. [Google Scholar] [CrossRef] [PubMed]
- Berkowitz, B.; Spector, S. Evidence for Active Immunity to Morphine in Mice. Science (1979) 1972, 178, 1290–1292. [Google Scholar] [CrossRef]
- Berkowitz, B.A.; Ceretta, K.V.; Spector, S. Influence of Active and Passive Immunity on the Disposition of Dihydromorphine-H3. Life Sci. 1974, 15, 1017–1028. [Google Scholar] [CrossRef]
- Wainer, B.H.; Fitch, F.W.; Rothberg, R.M.; Schuster, C.R. In Vitro Morphine Antagonism by Antibodies. Nature 1973, 241, 537–538. [Google Scholar] [CrossRef] [PubMed]
- Killian, A.; Bonese, K.; Rothberg, R.M.; Wainer, B.H.; Schuster, C.R. Effects of Passive Immunization against Morphine on Heroin Self-Administration. Pharmacol. Biochem. Behav. 1978, 9, 347–352. [Google Scholar] [CrossRef] [PubMed]
- Barbosa-Mendez, S.; Matus-Ortega, M.; Hernandez-Miramontes, R.; Salazar-Juárez, A. Synergistic Immune and Antinociceptive Effects Induced from the Combination of Two Different Vaccines against Morphine/Heroin in Mouse. Hum. Vaccin. Immunother. 2021, 17, 3515–3528. [Google Scholar] [CrossRef] [PubMed]
- Bremer, P.T.; Janda, K.D. Conjugate Vaccine Immunotherapy for Substance Use Disorder. Pharmacol. Rev. 2017, 69, 298–315. [Google Scholar] [CrossRef]
- Shen, X.Y.; Orson, F.M.; Kosten, T.R. Vaccines against Drug Abuse. Clin. Pharmacol. Ther. 2012, 91, 60–70. [Google Scholar] [CrossRef]
- Banks, M.L.; Olson, M.E.; Janda, K.D. Immunopharmacotherapies for Treating Opioid Use Disorder. Trends Pharmacol. Sci. 2018, 39, 908–911. [Google Scholar] [CrossRef]
- Olson, M.E.; Janda, K.D. Vaccines to Combat the Opioid Crisis. EMBO Rep. 2018, 19, 5–9. [Google Scholar] [CrossRef]
- Pravetoni, M.; Comer, S.D. Development of Vaccines to Treat Opioid Use Disorders and Reduce Incidence of Overdose. Neuropharmacology 2019, 158, 107662. [Google Scholar] [CrossRef] [PubMed]
- Xiaoshan, T.; Junjie, Y.; Wenqing, W.; Yunong, Z.; Jiaping, L.; Shanshan, L.; Kutty Selva, N.; Kui, C. Immunotherapy for Treating Methamphetamine, Heroin and Cocaine Use Disorders. Drug Discov. Today 2020, 25, 610–619. [Google Scholar] [CrossRef] [PubMed]
- Stowe, G.N.; Vendruscolo, L.F.; Edwards, S.; Schlosburg, J.E.; Misra, K.K.; Schulteis, G.; Mayorov, A.V.; Zakhari, J.S.; Koob, G.F.; Janda, K.D. A Vaccine Strategy That Induces Protective Immunity against Heroin. J. Med. Chem. 2011, 54, 5195–5204. [Google Scholar] [CrossRef]
- Neil Stowe, G.; Schlosburg, J.E.; Vendruscolo, L.F.; Edwards, S.; Misra, K.K.; Schulteis, G.; Zakhari, J.S.; Koob, G.F.; Janda, K.D. Developing a Vaccine Against Multiple Psychoactive Targets: A Case Study of Heroin. CNS Neurol. Disord. Drug Targets 2012, 10, 865–875. [Google Scholar] [CrossRef]
- Schlosburg, J.E.; Vendruscolo, L.F.; Bremer, P.T.; Lockner, J.W.; Wade, C.L.; Nunes, A.A.K.; Stowe, G.N.; Edwards, S.; Janda, K.D.; Koob, G.F. Dynamic Vaccine Blocks Relapse to Compulsive Intake of Heroin. Proc. Natl. Acad. Sci. USA 2013, 110, 9036–9041. [Google Scholar] [CrossRef]
- Bremer, P.T.; Janda, K.D. Investigating the Effects of a Hydrolytically Stable Hapten and a Th1 Adjuvant on Heroin Vaccine Performance. J. Med. Chem. 2012, 55, 10776–10780. [Google Scholar] [CrossRef] [PubMed]
- Bremer, P.T.; Schlosburg, J.E.; Banks, M.L.; Steele, F.F.; Zhou, B.; Poklis, J.L.; Janda, K.D. Development of a Clinically Viable Heroin Vaccine. J. Am. Chem. Soc. 2017, 139, 8601–8611. [Google Scholar] [CrossRef]
- Belz, T.F.; Bremer, P.T.; Zhou, B.; Blake, S.; Ellis, B.; Eubanks, L.M.; Janda, K.D. Sulfonate-Isosteric Replacement Examined within Heroin-Hapten Vaccine Design. Bioorg. Med. Chem. Lett. 2020, 30, 127388. [Google Scholar] [CrossRef] [PubMed]
- Belz, T.F.; Lin, M.; Eubanks, L.M.; Ellis, B.; Janda, K.D. Vaccine Design through Transition State Mimicry of Heroin Hydrolysis. Tetrahedron Lett. 2021, 71, 153045. [Google Scholar] [CrossRef]
- Olson, M.E.; Eubanks, L.M.; Janda, K.D. Chemical Interventions for the Opioid Crisis: Key Advances and Remaining Challenges. J. Am. Chem. Soc. 2019, 141, 1798–1806. [Google Scholar] [CrossRef]
- Belz, T.F.; Bremer, P.T.; Zhou, B.; Ellis, B.; Eubanks, L.M.; Janda, K.D. Enhancement of a Heroin Vaccine through Hapten Deuteration. J. Am. Chem. Soc. 2020, 142, 13294–13298. [Google Scholar] [CrossRef]
- Matyas, G.R.; Mayorov, A.V.; Rice, K.C.; Jacobson, A.E.; Cheng, K.; Iyer, M.R.; Li, F.; Beck, Z.; Janda, K.D.; Alving, C.R. Liposomes Containing Monophosphoryl Lipid A: A Potent Adjuvant System for Inducing Antibodies to Heroin Hapten Analogs. Vaccine 2013, 31, 2804–2810. [Google Scholar] [CrossRef] [PubMed]
- Li, F.; Cheng, K.; Antoline, J.F.G.; Iyer, M.R.; Matyas, G.R.; Torres, O.B.; Jalah, R.; Beck, Z.; Alving, C.R.; Parrish, D.A.; et al. Synthesis and Immunological Effects of Heroin Vaccines. Org. Biomol. Chem. 2014, 12, 7211–7232. [Google Scholar] [CrossRef] [PubMed]
- Torres, O.B.; Jalah, R.; Rice, K.C.; Li, F.; Antoline, J.F.G.; Iyer, M.R.; Jacobson, A.E.; Boutaghou, M.N.; Alving, C.R.; Matyas, G.R. Characterization and Optimization of Heroin Hapten-BSA Conjugates: Method Development for the Synthesis of Reproducible Hapten-Based Vaccines. Anal. Bioanal. Chem. 2014, 406, 5927–5937. [Google Scholar] [CrossRef]
- Torres, O.B.; Antoline, J.F.G.; Li, F.; Jalah, R.; Jacobson, A.E.; Rice, K.C.; Alving, C.R.; Matyas, G.R. A Simple Nonradioactive Method for the Determination of the Binding Affinities of Antibodies Induced by Hapten Bioconjugates for Drugs of Abuse. Anal. Bioanal. Chem. 2016, 408, 1191–1204. [Google Scholar] [CrossRef] [PubMed]
- Matyas, G.R.; Rice, K.C.; Cheng, K.; Li, F.; Antoline, J.F.G.; Iyer, M.R.; Jacobson, A.E.; Mayorov, A.V.; Beck, Z.; Torres, O.B.; et al. Facial Recognition of Heroin Vaccine Opiates: Type 1 Cross-Reactivities of Antibodies Induced by Hydrolytically Stable Haptenic Surrogates of Heroin, 6-Acetylmorphine, and Morphine. Vaccine 2014, 32, 1473–1479. [Google Scholar] [CrossRef] [PubMed]
- Jalah, R.; Torres, O.B.; Mayorov, A.V.; Li, F.; Antoline, J.F.G.; Jacobson, A.E.; Rice, K.C.; Deschamps, J.R.; Beck, Z.; Alving, C.R.; et al. Efficacy, but Not Antibody Titer or Affinity, of a Heroin Hapten Conjugate Vaccine Correlates with Increasing Hapten Densities on Tetanus Toxoid, but Not on CRM197 Carriers. Bioconjug. Chem. 2015, 26, 1041–1053. [Google Scholar] [CrossRef]
- Sulima, A.; Jalah, R.; Antoline, J.F.G.; Torres, O.B.; Imler, G.H.; Deschamps, J.R.; Beck, Z.; Alving, C.R.; Jacobson, A.E.; Rice, K.C.; et al. A Stable Heroin Analogue That Can Serve as a Vaccine Hapten to Induce Antibodies That Block the Effects of Heroin and Its Metabolites in Rodents and That Cross-React Immunologically with Related Drugs of Abuse. J. Med. Chem. 2018, 61, 329–343. [Google Scholar] [CrossRef] [PubMed]
- Gutman, E.S.; Irvin, T.C.; Morgan, J.B.; Barrientos, R.C.; Torres, O.B.; Beck, Z.; Matyas, G.R.; Jacobson, A.E.; Rice, K.C. Synthesis and Immunological Effects of C14-Linked 4,5-Epoxymorphinan Analogues as Novel Heroin Vaccine Haptens. RSC Chem. Biol. 2021, 2, 835–842. [Google Scholar] [CrossRef]
- Sulima, A.; Li, F.; Morgan, J.B.; Truong, P.; Antoline, J.F.G.; Oertel, T.; Barrientos, R.C.; Torres, O.B.; Beck, Z.; Imler, G.H.; et al. Design, Synthesis, and In Vivo Evaluation of C1-Linked 4,5-Epoxymorphinan Haptens for Heroin Vaccines. Molecules 2022, 27, 1553. [Google Scholar] [CrossRef]
- Pravetoni, M.; Raleigh, M.D.; Le Naour, M.; Tucker, A.M.; Harmon, T.M.; Jones, J.M.; Birnbaum, A.K.; Portoghese, P.S.; Pentel, P.R. Co-Administration of Morphine and Oxycodone Vaccines Reduces the Distribution of 6-Monoacetylmorphine and Oxycodone to Brain in Rats. Vaccine 2012, 30, 4617–4624. [Google Scholar] [CrossRef]
- Pravetoni, M.; Le Naour, M.; Tucker, A.M.; Harmon, T.M.; Hawley, T.M.; Portoghese, P.S.; Pentel, P.R. Reduced Antinociception of Opioids in Rats and Mice by Vaccination with Immunogens Containing Oxycodone and Hydrocodone Haptens. J. Med. Chem. 2013, 56, 915–923. [Google Scholar] [CrossRef] [PubMed]
- Henderson, G. Fentanyl-Related Deaths: Demographics, Circumstances, and Toxicology of 112 Cases. J. Forensic Sci. 1991, 36, 422–433. [Google Scholar] [CrossRef] [PubMed]
- Martin, M.; Hecker, J.; Clark, R.; Frye, J.; Jehle, D.; Lucid, E.J.; Harchelroad, F. China White Epidemic: An Eastern United States Emergency Department Experience. Ann. Emerg. Med. 1991, 20, 158–164. [Google Scholar] [CrossRef] [PubMed]
- Prekupec, M.P.; Mansky, P.A.; Baumann, M.H. Misuse of Novel Synthetic Opioids: A Deadly New Trend. J. Addict. Med. 2017, 11, 256–265. [Google Scholar] [CrossRef] [PubMed]
- Bremer, P.T.; Kimishima, A.; Schlosburg, J.E.; Zhou, B.; Collins, K.C.; Janda, K.D. Combatting Synthetic Designer Opioids: A Conjugate Vaccine Ablates Lethal Doses of Fentanyl Class Drugs. Angew. Chem.-Int. Ed. 2016, 55, 3772–3775. [Google Scholar] [CrossRef] [PubMed]
- Hwang, C.S.; Smith, L.C.; Natori, Y.; Ellis, B.; Zhou, B.; Janda, K.D. Efficacious Vaccine against Heroin Contaminated with Fentanyl. ACS Chem. Neurosci. 2018, 9, 1269–1275. [Google Scholar] [CrossRef]
- Natori, Y.; Hwang, C.S.; Lin, L.; Smith, L.C.; Zhou, B.; Janda, K.D. A Chemically Contiguous Hapten Approach for a Heroin-Fentanyl Vaccine. Beilstein J. Org. Chem. 2019, 15, 1020–1031. [Google Scholar] [CrossRef]
- Park, H.; Lee, J.C.; Eubanks, L.M.; Ellis, B.; Zhou, B.; Janda, K.D. Improvements on a Chemically Contiguous Hapten for a Vaccine to Address Fentanyl-Contaminated Heroin. Bioorg. Med. Chem. 2021, 41, 116225. [Google Scholar] [CrossRef]
- Townsend, E.A.; Bremer, P.T.; Faunce, K.E.; Negus, S.S.; Jaster, A.M.; Robinson, H.L.; Janda, K.D.; Banks, M.L. Evaluation of a Dual Fentanyl/Heroin Vaccine on the Antinociceptive and Reinforcing Effects of a Fentanyl/Heroin Mixture in Male and Female Rats. ACS Chem. Neurosci. 2020, 11, 1300–1310. [Google Scholar] [CrossRef]
- Blake, S.; Bremer, P.T.; Zhou, B.; Petrovsky, N.; Smith, L.C.; Hwang, C.S.; Janda, K.D. Developing Translational Vaccines against Heroin and Fentanyl through Investigation of Adjuvants and Stability. Mol. Pharm. 2021, 18, 228–235. [Google Scholar] [CrossRef] [PubMed]
- Raleigh, M.D.; Baruffaldi, F.; Peterson, S.J.; Le Naour, M.; Harmon, T.M.; Vigliaturo, J.R.; Pentel, P.R.; Pravetoni, M. A Fentanyl Vaccine Alters Fentanyl Distribution and Protects against Fentanyl-Induced Effects in Mice and Rats. J. Pharmacol. Exp. Ther. 2019, 368, 282–291. [Google Scholar] [CrossRef]
- Robinson, C.; Gradinati, V.; Hamid, F.; Baehr, C.; Crouse, B.; Averick, S.; Kovaliov, M.; Harris, D.; Runyon, S.; Baruffaldi, F.; et al. Therapeutic and Prophylactic Vaccines to Counteract Fentanyl Use Disorders and Toxicity. J. Med. Chem. 2020, 63, 14647–14667. [Google Scholar] [CrossRef] [PubMed]
- Raleigh, M.D.; Pravetoni, M.; Harris, A.C.; Birnbaum, A.K.; Pentel, P.R. Selective Effects of a Morphine Conjugate Vaccine on Heroin and Metabolite Distribution and Heroin-Induced Behaviors in Rats. J. Pharmacol. Exp. Ther. 2013, 344, 397–406. [Google Scholar] [CrossRef] [PubMed]
- Raleigh, M.D.; Laudenbach, M.; Baruffaldi, F.; Peterson, S.J.; Roslawski, M.J.; Birnbaum, A.K.; Carroll, F.I.; Runyon, S.P.; Winston, S.; Pentel, P.R.; et al. Opioid Dose-And Route-Dependent Efficacy of Oxycodone and Heroin Vaccines in Rats. J. Pharmacol. Exp. Ther. 2018, 365, 346–353. [Google Scholar] [CrossRef]
- Crouse, B.; Miller, S.M.; Muelken, P.; Hicks, L.; Vigliaturo, J.R.; Marker, C.L.; Guedes, A.G.P.; Pentel, P.R.; Evans, J.T.; LeSage, M.G.; et al. A TLR7/8 Agonist Increases Efficacy of Anti-Fentanyl Vaccines in Rodent and Porcine Models. NPJ Vaccines 2023, 8, 107. [Google Scholar] [CrossRef]
- Köteles, I.; Mazák, K.; Tóth, G.; Tűz, B.; Hosztafi, S. Synthesis of Potential Haptens with Morphine Skeleton and Determination of Protonation Constants. Molecules 2020, 25, 4009. [Google Scholar] [CrossRef]
- Köteles, I.; Mazák, K.; Tóth, G.; Horváth, P.; Kiss, E.; Tűz, B.; Hosztafi, S. Synthesis of 3-O-Carboxyalkyl Morphine Derivatives and Characterization of Their Acid-Base Properties. Chem. Biodivers. 2021, 18, e2100135. [Google Scholar] [CrossRef]
- Zádor, F.; Mohammadzadeh, A.; Balogh, M.; Zádori, Z.S.; Király, K.; Barsi, S.; Galambos, A.R.; László, S.B.; Hutka, B.; Váradi, A.; et al. Comparisons of in Vivo and in Vitro Opioid Effects of Newly Synthesized 14-Methoxycodeine-6-O-Sulfate and Codeine-6-O-Sulfate. Molecules 2020, 25, 1370. [Google Scholar] [CrossRef]








| Opioid Hapten | No | Position of Hapten | Immunogen | Immune Specificity | Cross-Reactivities ** | References |
|---|---|---|---|---|---|---|
| 3-O-carboxymethylmorphine | 1 | C-3 | 1-BSA | Mor, Cod, Heroin | Cod, nor-Mor, Heroin | [1,15] |
| 3-carboxymethylmorphine | 1 | C-3 | 1-TT | Mor, Cod, Heroin | ND | [47] |
| 2-(p-aminofenilazo)-morphine | 3 | C-2 | 3-BSA | Mor, Cod, Heroin | Nor-Mor | [17] |
| Morphine-6-hemisuccinate | 4 | C-6 | 4-BSA | Mor, Cod, Heroin | Heroin, Mor, Cod, Nalor | [18,19] |
| Morphine-6-hemisuccinate | 4 | C-6 | 4-TT | Heroin, 6-O-Ac-Mor, M3G, M6G | Heroin, Mor | [48,49] |
| 6-glutarylmorphine | 6 | C-6 | 6-glutarylMor– KLH | Mor, Heroin | Heroin, Mor | [50] |
| N-carboxymethyl-normorphine | 8 | N-17 | 8-BSA | Mor, NorMor, Nalor, NX | Nor-Mor, Nalor | [20,26] |
| 2-arylazomorphine (Scheme 1 and Scheme 2) | C-2 | 2-arylazomorphine-BSA | Mor | [25] | ||
| 2-(4-carboxyethyl-phenyl)-azomorphine | 10 | C-2 | 10-BSA | Cod, Ethylmor | [36] | |
| 2-(4-carboxy-phenyl)-azomorphine | 11 | C-2 | 11-KLH or BSA | Mor | Cod (16%), Ethylmor (11%) | [36] |
| Codeine-6-hemisuccinate | 12a | C-6 | [51] | |||
| Ethylmorphine-6-hemisuccinate | 12b | C-6 | [51] | |||
| Oxycodone-6-carboxymethyloxime | 13 | C-6 | 13-BSA | Oxymor | [51] | |
| N-(4-aminobutyl)normorphine | 17 | N-17 | 17-BSA | Mor | Nalor | [30] |
| N-succinylnormorphine | 18 | N-17 | 18-BSA | Mor | - | [41] |
| N-substituted morphine-6-glucuronide | N-17 | BTG | M6G | - | [44] | |
| N-γ-aminopropyl-normorphine | 21 | N-17 | 21-BSA | Mor | Nor-Mor | [46] |
| N-γ-aminopropyl-normorphine-3-G | 22 | N-17 | 22-BSA | M3G | ND | [46] |
| N-γ-aminopropyl-normorphine-6-G | 23 | N-17 | 23-BSA | M6G | ND | [46] |
| Opioid Hapten | Chemical Structure | Emax (%) | EC50 (nM) |
|---|---|---|---|
| KI-184 | ![]() | 29.4 ± 4.4 | 6800 |
| KI-186 | ![]() | 59.8 ± 3.8 | 13,644 |
| KI-195 | ![]() | 27.5 ± 4.8 | 8640 |
| KI-209 | ![]() | 13.6 ± 1.2 | 395 |
| KI-210 | ![]() | 50.7 ± 0.5 | 5025 |
| KI-211 | ![]() | 40.9 ± 4.1 | 10,406 |
| KI-214 | ![]() | 28.4 ± 6.8 | 16,507 |
| KI-216 | ![]() | 26.5 ± 3.3 | 4496 |
Disclaimer/Publisher’s Note: The statements, opinions and data contained in all publications are solely those of the individual author(s) and contributor(s) and not of MDPI and/or the editor(s). MDPI and/or the editor(s) disclaim responsibility for any injury to people or property resulting from any ideas, methods, instructions or products referred to in the content. |
© 2024 by the authors. Licensee MDPI, Basel, Switzerland. This article is an open access article distributed under the terms and conditions of the Creative Commons Attribution (CC BY) license (https://creativecommons.org/licenses/by/4.0/).
Share and Cite
Hosztafi, S.; Galambos, A.R.; Köteles, I.; Karádi, D.Á.; Fürst, S.; Al-Khrasani, M. Opioid-Based Haptens: Development of Immunotherapy. Int. J. Mol. Sci. 2024, 25, 7781. https://doi.org/10.3390/ijms25147781
Hosztafi S, Galambos AR, Köteles I, Karádi DÁ, Fürst S, Al-Khrasani M. Opioid-Based Haptens: Development of Immunotherapy. International Journal of Molecular Sciences. 2024; 25(14):7781. https://doi.org/10.3390/ijms25147781
Chicago/Turabian StyleHosztafi, Sándor, Anna Rita Galambos, István Köteles, Dávid Á Karádi, Susanna Fürst, and Mahmoud Al-Khrasani. 2024. "Opioid-Based Haptens: Development of Immunotherapy" International Journal of Molecular Sciences 25, no. 14: 7781. https://doi.org/10.3390/ijms25147781
APA StyleHosztafi, S., Galambos, A. R., Köteles, I., Karádi, D. Á., Fürst, S., & Al-Khrasani, M. (2024). Opioid-Based Haptens: Development of Immunotherapy. International Journal of Molecular Sciences, 25(14), 7781. https://doi.org/10.3390/ijms25147781









