Hard Gelatin Capsules with Alginate-Hypromellose Microparticles as a Multicompartment Drug Delivery System for Sustained Posaconazole Release
Abstract
1. Introduction
2. Results and Discussion
2.1. Formulation Characteristics
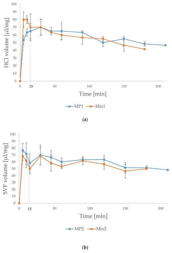
2.2. In Vitro Release Study
2.3. Disintegration Time Test
2.4. Residence Time Assay
2.5. Mucoadhesion Properties
2.6. Swelling Ratio
2.7. DSC Analysis
3. Materials and Methods
3.1. Materials
3.2. Samples Preparation
3.3. Angle of Repose
3.4. Bulk and Tapped Density
3.5. Particle Size
3.6. Moisture Content
3.7. Capsule Preparation
3.8. Evaluation of POS Content in Hard Gelatin Capsules
3.9. Solubility Test
3.10. In Vitro Release Profile
3.11. Spectrophotometric Analysis
3.12. Mathematical Modeling of the Release Profile
3.13. Disintegration Time
3.14. Residence Time Test
3.15. Swelling Ratio
3.16. DSC Analysis
3.17. Mucoadhesive Properties
3.18. Statistical Analysis
4. Conclusions
Author Contributions
Funding
Institutional Review Board Statement
Informed Consent Statement
Data Availability Statement
Conflicts of Interest
References
- Lengyel, M.; Kállai-Szabó, N.; Antal, V.; Laki, A.J.; Antal, I. Microparticles, Microspheres, and Microcapsules for Advanced Drug Delivery. Sci. Pharm. 2019, 87, 20. [Google Scholar] [CrossRef]
- Rafiee, M.H.; Abdul Rasool, B.K. An Overview of Microparticulate Drug Delivery System and Its Extensive Therapeutic Applications in Diabetes. Adv. Pharm. Bull. 2022, 12, 730. [Google Scholar] [CrossRef] [PubMed]
- Salama, A.H. Spray Drying as an Advantageous Strategy for Enhancing Pharmaceuticals Bioavailability. Drug Deliv. Transl. Res. 2020, 10, 1–12. [Google Scholar] [CrossRef] [PubMed]
- Strojewski, D.; Krupa, A. Spray Drying and Nano Spray Drying as Manufacturing Methods of Drug-Loaded Polymeric Particles. Polym. Med. 2022, 52, 101–111. [Google Scholar] [CrossRef] [PubMed]
- Allen, L.V.; Ansel, H.C. Ansel’s Pharmaceutical Dosage Forms and Drug Delivery Systems, 10th ed.; Wolters Kluwer Health: Philadelphia, PA, USA, 2014. [Google Scholar]
- Gullapalli, R.P.; Mazzitelli, C.L. Gelatin and Non-Gelatin Capsule Dosage Forms. J. Pharm. Sci. 2017, 106, 1453–1465. [Google Scholar] [CrossRef]
- Szekalska, M.; Puciłowska, A.; Szymańska, E.; Ciosek, P.; Winnicka, K. Alginate: Current Use and Future Perspectives in Pharmaceutical and Biomedical Applications. Int. J. Polym. Sci. 2016, 2016, 7697031. [Google Scholar] [CrossRef]
- Kruk, K.; Winnicka, K. Alginates Combined with Natural Polymers as Valuable Drug Delivery Platforms. Mar. Drugs 2022, 21, 11. [Google Scholar] [CrossRef]
- Jadach, B.; Świetlik, W.; Froelich, A. Sodium Alginate as a Pharmaceutical Excipient: Novel Applications of a Well-Known Polymer. J. Pharm. Sci. 2022, 111, 1250–1261. [Google Scholar] [CrossRef] [PubMed]
- Gheorghita Puscaselu, R.; Lobiuc, A.; Dimian, M.; Covasa, M. Alginate: From Food Industry to Biomedical Applications and Management of Metabolic Disorders. Polymer 2020, 12, 2417. [Google Scholar] [CrossRef]
- Mašková, E.; Kubová, K.; Raimi-Abraham, B.T.; Vllasaliu, D.; Vohlídalová, E.; Turánek, J.; Mašek, J. Hypromellose—A Traditional Pharmaceutical Excipient with Modern Applications in Oral and Oromucosal Drug Delivery. J. Control. Release 2020, 324, 695–727. [Google Scholar] [CrossRef]
- Available online: https://www.Fda.Gov/Food/Generally-Recognized-Safe-Gras/Gras-Substances-Scogs-Database (accessed on 29 May 2024).
- Timmins, P.; Pygall, S.; Melia, C.D. Hydrophilic Matrix Tablets for Oral Controlled Release; American Association of Pharmaceutical Scientists; AAPS Advances in the Pharmaceutical Sciences Series; Springer: New York, NY, USA, 2014. [Google Scholar]
- Guarve, K.; Kriplani, P. HPMC- A Marvel Polymer for Pharmaceutical Industry-Patent Review. Former. Recent Pat. Drug Deliv. Formul. 2021, 15, 46–58. [Google Scholar] [CrossRef]
- Tundisi, L.L.; Mostaço, G.B.; Carricondo, P.C.; Petri, D.F.S. Hydroxypropyl Methylcellulose: Physicochemical Properties and Ocular Drug Delivery Formulations. Eur. J. Pharm. Sci. 2021, 159, 105736. [Google Scholar] [CrossRef]
- Chen, L.; Krekels, E.H.J.; Verweij, P.E.; Buil, J.B.; Knibbe, C.A.J.; Brüggemann, R.J.M. Pharmacokinetics and Pharmacodynamics of Posaconazole. Drugs 2020, 80, 671–695. [Google Scholar] [CrossRef]
- Committee for Medicinal Products for Human Use. Posaconazole EMA Assessment Report. 2019. Available online: https://www.google.com/url?sa=i&rct=j&q=&esrc=s&source=web&cd=&ved=0CAIQw7AJahcKEwiwyLTli5r_AhUAAAAAHQAAAAAQAg&url=https%3A%2F%2Fwww.ema.europa.eu%2Fen%2Fdocuments%2Fassessment-report%2Fposaconazole-accord-epar-assessment-report_en.pdf&psig=AOvVaw0RNTVdytxsai5r6xGw8238&ust=1685434721649831 (accessed on 29 May 2024).
- Szekalska, M.; Citkowska, A.; Wróblewska, M.; Winnicka, K. The Impact of Gelatin on the Pharmaceutical Characteristics of Fucoidan Microspheres with Posaconazole. Materials 2021, 14, 4087. [Google Scholar] [CrossRef]
- Deshkar, S.; Yeole, P.; Mahore, J.; Shinde, A.; Giram, P. Polyelectrolyte-Complex-Based Hydrogel Inserts for Vaginal Delivery of Posaconazole and Probiotics. Gels 2023, 9, 851. [Google Scholar] [CrossRef]
- BCS Classification. Available online: https://www.pharmaspecialists.com/p/available-bcs-classification-of-drugs-2.html#gsc.tab=0 (accessed on 29 May 2024).
- Dekkers, B.G.J.; Bakker, M.; Van Der Elst, K.C.M.; Sturkenboom, M.G.G.; Veringa, A.; Span, L.F.R.; Alffenaar, J.-W.C. Therapeutic Drug Monitoring of Posaconazole: An Update. Curr. Fungal Infect. Rep. 2016, 10, 51–61. [Google Scholar] [CrossRef]
- Yawalkar, A.N.; Pawar, M.A.; Vavia, P.R. Microspheres for Targeted Drug Delivery- A Review on Recent Applications. J. Drug Deliv. Sci. Technol. 2022, 75, 103659. [Google Scholar] [CrossRef]
- Kruk, K.; Szekalska, M.; Basa, A.; Winnicka, K. The Impact of Hypromellose on Pharmaceutical Properties of Alginate Microparticles as Novel Drug Carriers for Posaconazole. Int. J. Mol. Sci. 2023, 24, 10793. [Google Scholar] [CrossRef] [PubMed]
- Sierra-Vega, N.O.; Romañach, R.J.; Méndez, R. Feed Frame: The Last Processing Step before the Tablet Compaction in Pharmaceutical Manufacturing. Int. J. Pharm. 2019, 572, 118728. [Google Scholar] [CrossRef]
- Jallo, L.J.; Ghoroi, C.; Gurumurthy, L.; Patel, U.; Davé, R.N. Improvement of Flow and Bulk Density of Pharmaceutical Powders Using Surface Modification. Int. J. Pharm. 2012, 423, 213–225. [Google Scholar] [CrossRef]
- Shah, U.V.; Karde, V.; Ghoroi, C.; Heng, J.Y.Y. Influence of Particle Properties on Powder Bulk Behaviour and Processability. Int. J. Pharm. 2017, 518, 138–154. [Google Scholar] [CrossRef] [PubMed]
- Goh, H.P.; Heng, P.W.S.; Liew, C.V. Comparative Evaluation of Powder Flow Parameters with Reference to Particle Size and Shape. Int. J. Pharm. 2018, 547, 133–141. [Google Scholar] [CrossRef] [PubMed]
- Tay, J.Y.S.; Liew, C.V.; Heng, P.W.S. Powder Flow Testing: Judicious Choice of Test Methods. AAPS PharmSciTech 2017, 18, 1843–1854. [Google Scholar] [CrossRef] [PubMed]
- Elekes, F.; Parteli, E.J.R. An Expression for the Angle of Repose of Dry Cohesive Granular Materials on Earth and in Planetary Environments. Proc. Natl. Acad. Sci. USA 2021, 118, e2107965118. [Google Scholar] [CrossRef] [PubMed]
- Wei, S.; Wei, H.; Saxen, H.; Yu, Y. Numerical Analysis of the Relationship between Friction Coefficient and Repose Angle of Blast Furnace Raw Materials by Discrete Element Method. Materials 2022, 15, 903. [Google Scholar] [CrossRef] [PubMed]
- Akseli, I.; Hilden, J.; Katz, J.M.; Kelly, R.C.; Kramer, T.T.; Mao, C.; Osei-Yeboah, F.; Strong, J.C. Reproducibility of the Measurement of Bulk/Tapped Density of Pharmaceutical Powders Between Pharmaceutical Laboratories. J. Pharm. Sci. 2019, 108, 1081–1084. [Google Scholar] [CrossRef] [PubMed]
- Yang, N.; Chen, H.; Jin, Z.; Hou, J.; Zhang, Y.; Han, H.; Shen, Y.; Guo, S. Moisture Sorption and Desorption Properties of Gelatin, HPMC and Pullulan Hard Capsules. Int. J. Biol. Macromol. 2020, 159, 659–666. [Google Scholar] [CrossRef]
- Mircioiu, C.; Voicu, V.; Anuta, V.; Tudose, A.; Celia, C.; Paolino, D.; Fresta, M.; Sandulovici, R.; Mircioiu, I. Mathematical Modeling of Release Kinetics from Supramolecular Drug Delivery Systems. Pharmaceutics 2019, 11, 140. [Google Scholar] [CrossRef] [PubMed]
- Dash, S.; Murthy, P.N.; Nath, L.; Chowdhury, P. Kinetic Modeling on Drug Release from Controlled Drug Delivery Systems. Acta Pol. Pharm. 2010, 67, 217–223. [Google Scholar]
- Bermejo, M.; Sanchez-Dengra, B.; Gonzalez-Alvarez, M.; Gonzalez-Alvarez, I. Oral Controlled Release Dosage Forms: Dissolution versus Diffusion. Expert Opin. Drug Deliv. 2020, 17, 791–803. [Google Scholar] [CrossRef]
- Taipaleenmäki, E.; Städler, B. Recent Advancements in Using Polymers for Intestinal Mucoadhesion and Mucopenetration. Macromol. Biosci. 2020, 20, 1900342. [Google Scholar] [CrossRef]
- Netsomboon, K.; Bernkop-Schnürch, A. Mucoadhesive vs. Mucopenetrating Particulate Drug Delivery. Eur. J. Pharm. Biopharm. 2016, 98, 76–89. [Google Scholar] [CrossRef] [PubMed]
- Kumar, R.; Islam, T.; Nurunnabi, M. Mucoadhesive Carriers for Oral Drug Delivery. J. Control. Release 2022, 351, 504–559. [Google Scholar] [CrossRef] [PubMed]
- Subramanian, P. Mucoadhesive Delivery System: A Smart Way to Improve Bioavailability of Nutraceuticals. Foods 2021, 10, 1362. [Google Scholar] [CrossRef] [PubMed]
- Matyash, M.; Despang, F.; Ikonomidou, C.; Gelinsky, M. Swelling and Mechanical Properties of Alginate Hydrogels with Respect to Promotion of Neural Growth. Tissue Eng. Part C Methods 2014, 20, 401–411. [Google Scholar] [CrossRef] [PubMed]
- Günter, E.A.; Popeyko, O.V.; Belozerov, V.S.; Martinson, E.A.; Litvinets, S.G. Physicochemical and Swelling Properties of Composite Gel Microparticles Based on Alginate and Callus Cultures Pectins with Low and High Degrees of Methylesterification. Int. J. Biol. Macromol. 2020, 164, 863–870. [Google Scholar] [CrossRef] [PubMed]
- Chirico, S.; Dalmoro, A.; Lamberti, G.; Russo, G.; Titomanlio, G. Analysis and Modeling of Swelling and Erosion Behavior for Pure HPMC Tablet. J. Control. Release 2007, 122, 181–188. [Google Scholar] [CrossRef] [PubMed]
- Viridén, A.; Wittgren, B.; Larsson, A. Investigation of Critical Polymer Properties for Polymer Release and Swelling of HPMC Matrix Tablets. Eur. J. Pharm. Sci. 2009, 36, 297–309. [Google Scholar] [CrossRef] [PubMed]
- Leyva-Porras, C.; Cruz-Alcantar, P.; Espinosa-Solís, V.; Martínez-Guerra, E.; Piñón-Balderrama, C.I.; Compean Martínez, I.; Saavedra-Leos, M.Z. Application of Differential Scanning Calorimetry (DSC) and Modulated Differential Scanning Calorimetry (MDSC) in Food and Drug Industries. Polymer 2019, 12, 5. [Google Scholar] [CrossRef]
- Chiu, M.; Prenner, E. Differential Scanning Calorimetry: An Invaluable Tool for a Detailed Thermodynamic Characterization of Macromolecules and Their Interactions. J. Pharm. Bioall. Sci. 2011, 3, 39. [Google Scholar] [CrossRef]
- Dudek, G.; Turczyn, R. New Type of Alginate/Chitosan Microparticle Membranes for Highly Efficient Pervaporative Dehydration of Ethanol. RSC Adv. 2018, 8, 39567–39578. [Google Scholar] [CrossRef] [PubMed]
- Mustafa, W.W.; Fletcher, J.; Khoder, M.; Alany, R.G. Solid Dispersions of Gefitinib Prepared by Spray Drying with Improved Mucoadhesive and Drug Dissolution Properties. AAPS PharmSciTech 2022, 23, 48. [Google Scholar] [CrossRef]
- Owen, D.H.; Katz, D.F. A Vaginal Fluid Simulant. Contraception 1999, 59, 91–95. [Google Scholar] [CrossRef]
- EDQM. European Pharmacopoeia, 11th ed.; EDQM: Strasbourg, France, 2022. [Google Scholar]
- Nakamura, F. In Vitro and in Vivo Nasal Mucoadhesion of Some Water-Soluble Polymers. Int. J. Pharm. 1996, 134, 173–181. [Google Scholar] [CrossRef]
- Nižić, L.; Potaś, J.; Winnicka, K.; Szekalska, M.; Erak, I.; Gretić, M.; Jug, M.; Hafner, A. Development, Characterisation and Nasal Deposition of Melatonin-Loaded Pectin/Hypromellose Microspheres. Eur. J. Pharm. Sci. 2020, 141, 105115. [Google Scholar] [CrossRef]
- Szekalska, M.; Wróblewska, M.; Czajkowska-Kośnik, A.; Sosnowska, K.; Misiak, P.; Wilczewska, A.Z.; Winnicka, K. The Spray-Dried Alginate/Gelatin Microparticles with Luliconazole as Mucoadhesive Drug Delivery System. Materials 2023, 16, 403. [Google Scholar] [CrossRef]





| MP1 | MP2 | Mix1 | Mix2 | |
|---|---|---|---|---|
| Drug loading [%] | 36.19 ± 1.63 | 20.59 ± 1.28 | Not tested * | Not tested * |
| Particle size (µm) | 14.08 ± 2.05 | 16.38 ± 2.27 | 14.93 ± 3.62 | 14.56 ± 2.15 |
| Moisture content [%] | 6.35 ± 0.83 | 13.67 ± 1.46 | 7.66 ± 1.52 | 16.60 ± 2.00 |
| Angle of response [°] | 25.01 ± 0.54 | 18.77 ± 1.03 | 31.78 ± 1.66 | 23.10 ± 0.56 |
| Bulk density [g/mL] | 0.11 ± 0.00 | 0.14 ± 0.00 | 0.38 ± 0.00 | 0.41 ± 0.00 |
| Tapped density [g/mL] | 0.17 ± 0.00 | 0.21 ± 0.00 | 0.63 ± 0.01 | 0.67 ± 0.01 |
| Carr’s index [%] | 35.68 ± 0.34 | 32.85 ± 1.56 | 39.58 ± 0.94 | 38.98 ± 1.02 |
| Hausner’s ratio | 1.55 ± 0.01 | 1.49 ± 0.03 | 1.66 ± 0.03 | 1.64 ± 0.03 |
| Solubility [µg/mL] | ||||
|---|---|---|---|---|
| Formulation | Water | 0.1 M HCl | SVF | SVF + 1% SDS |
| POS * | 0.77 ± 0.14 | 954.68 ± 112.41 | 0.45 ± 0.13 | 1349.12 ± 150.50 |
| MP1 | 14.23 ± 1.63 | 1187.35 ± 36.80 | 13.92 ± 0.35 | 1757.90 ± 139.28 |
| MP2 | 13.02 ± 0.96 | 1107.39 ± 45.74 | 12.97 ± 0.25 | 1755.09 ± 95.23 |
| Mix1 | 8.51 ± 0.05 | 1102.13 ± 17.01 | 8.02 ± 0.21 | 1340.70 ± 144.83 |
| Mix2 | 12.42 ± 0.22 | 1146.63 ± 24.89 | 12.42 ± 0.18 | 1794.39 ± 174.03 |
| Formulation | Zero-Order Kinetics | First-Order Kinetics | Highuchi Model | Hixson-Crowell Model | Korsmeyer-Peppas Model | ||||||
|---|---|---|---|---|---|---|---|---|---|---|---|
| R2 | K | R2 | K | R2 | K | R2 | K | R2 | K | n | |
| A. 0.1 M HCl (pH 1.2) | |||||||||||
| MP1 | 0.99 | 0.20 | 0.78 | 0.009 | 0.98 | 3.91 | 0.99 | 0.005 | 0.99 | 0.18 | 0.79 |
| Mix1 | 0.91 | 1.29 | 0.78 | 0.04 | 0.95 | 15.49 | 0.96 | 0.05 | 0.98 | 1.97 | 1.29 |
| B. SVF (pH 4.2) | |||||||||||
| MP2 | 0.97 | 0.48 | 0.83 | 0.02 | 0.93 | 8.34 | 0.90 | 0.01 | 0.94 | 1.18 | 1.11 |
| Mix2 | 0.99 | 0.46 | 0.79 | 0.02 | 0.95 | 7.93 | 0.98 | 0.01 | 0.98 | 1.25 | 1.19 |
| C. SVF (pH 4.2) after spilling out | |||||||||||
| MP2 | 0.99 | 2.34 | 0.79 | 0.07 | 0.98 | 21.12 | 0.90 | 0.09 | 0.96 | 2.83 | 1.47 |
| Mix2 | 0.95 | 1.58 | 0.82 | 0.02 | 0.99 | 16.35 | 0.99 | 0.06 | 0.98 | 0.69 | 0.77 |
| Disintegration Time [min] | ||||
|---|---|---|---|---|
| Microparticles | Physical Powders Mixtures | |||
| MP1 | MP2 | Mix1 | Mix2 | |
| 0.1 M HCl (pH 1.2) | 95.33 ± 1.53 | - | 52.33 ± 4.04 | - |
| SVF (pH 4.8) | - | 197.00 ± 12.53 | - | 194.67 ± 8.14 |
| Residence Time [min] | ||||
|---|---|---|---|---|
| Microparticles | Physical Powders Mixtures | |||
| MP1 | MP2 | Mix1 | Mix2 | |
| Capsules | 23.17 ± 2.71 | 89.67 ± 2.52 | 20.83 ± 3.39 | 38.33 ± 6.28 |
| After spilling out | 19.17 ± 4.92 | 26.67 ± 0.82 | 20.83 ± 3.19 | 35.67 ± 3.72 |
| Microparticles | Mixture of Powders | |||
|---|---|---|---|---|
| Formulation | MP1 | MP2 | Mix1 | Mix2 |
| Amount of POS [mg] | 50 | 50 | 50 | 50 |
| ALG:HPMC:POS ratio | 1:3:1 | 1:5:1 | 1:3:1 | 1:5:1 |
Disclaimer/Publisher’s Note: The statements, opinions and data contained in all publications are solely those of the individual author(s) and contributor(s) and not of MDPI and/or the editor(s). MDPI and/or the editor(s) disclaim responsibility for any injury to people or property resulting from any ideas, methods, instructions or products referred to in the content. |
© 2024 by the authors. Licensee MDPI, Basel, Switzerland. This article is an open access article distributed under the terms and conditions of the Creative Commons Attribution (CC BY) license (https://creativecommons.org/licenses/by/4.0/).
Share and Cite
Kruk, K.; Winnicka, K. Hard Gelatin Capsules with Alginate-Hypromellose Microparticles as a Multicompartment Drug Delivery System for Sustained Posaconazole Release. Int. J. Mol. Sci. 2024, 25, 7116. https://doi.org/10.3390/ijms25137116
Kruk K, Winnicka K. Hard Gelatin Capsules with Alginate-Hypromellose Microparticles as a Multicompartment Drug Delivery System for Sustained Posaconazole Release. International Journal of Molecular Sciences. 2024; 25(13):7116. https://doi.org/10.3390/ijms25137116
Chicago/Turabian StyleKruk, Katarzyna, and Katarzyna Winnicka. 2024. "Hard Gelatin Capsules with Alginate-Hypromellose Microparticles as a Multicompartment Drug Delivery System for Sustained Posaconazole Release" International Journal of Molecular Sciences 25, no. 13: 7116. https://doi.org/10.3390/ijms25137116
APA StyleKruk, K., & Winnicka, K. (2024). Hard Gelatin Capsules with Alginate-Hypromellose Microparticles as a Multicompartment Drug Delivery System for Sustained Posaconazole Release. International Journal of Molecular Sciences, 25(13), 7116. https://doi.org/10.3390/ijms25137116

