Abstract
Among the various drug discovery methods, a very promising modern approach consists in designing multi-target-directed ligands (MTDLs) able to modulate multiple targets of interest, including the pathways where hydrogen sulfide (H2S) is involved. By incorporating an H2S donor moiety into a native drug, researchers have been able to simultaneously target multiple therapeutic pathways, resulting in improved treatment outcomes. This review gives the reader some pills of successful multi-target H2S-donating molecules as worthwhile tools to combat the multifactorial nature of complex disorders, such as inflammatory-based diseases and cancer, as well as cardiovascular, metabolic, and neurodegenerative disorders.
1. Introduction
In the latter decades of the twentieth century, the doctrine of “one drug–one target–one disease” philosophy was the only approach to characterize the research in the field of medicinal chemistry. Despite the best efforts of medicinal chemists, this strategy resulted to be inadequately in many diseases because of their multifactorial nature.
Recently, multi-target drug discovery strategy has emerged as promising alternative to the classical design approach [1,2].
This strategy is based on molecular hybridization, which consists in combining two pharmacologically active compounds, or parts of them (fragment-based), in a single chemical entity. This new molecule, a multi-target directed ligand (MTDL), derived from framework combination, connected directly via a metabolically stable or cleavable linker, or framework integration strategies. Depending on the degree of the integration, the MTDL can be fused or merged.
Several studies confirmed that MTDLs were responsible for a synergic therapeutic effect and reduced adverse side effects, compared to modulation of a single target [3,4,5,6]. These improvements justify the growing interest of the medicinal chemistry community in MTDLs.
Considering the success in this field, in this review we present the application of a multi-target drug approach involving the use of hydrogen sulfide (H2S) donor units for multifactorial disorders.
Herein, we focused on the development of multi-target H2S-donating molecules obtained by combining two chemical entities, a native drug with a moiety structurally able to release H2S, either merged or connected directly (fused) or via a linker (Figure 1).
Figure 1.
Multi-target drug design strategy of H2S donating molecules based on framework combination. The two moieties, native drug (in blue) and H2S donor (in yellow), can be connected via metabolically stable or cleavable linkers, attached directly (fused) or merged.
Through the application of this strategy, new molecules capable of simultaneously targeting multiple therapeutic pathways, resulting in improved treatment outcomes, are obtained.
Some of these hybrid compounds with an interesting activity profile against different targets have the potential to be developed as drug candidates for the treatment of several complex diseases.
2. H2S: From Historical Background to Developing Chemical Tools
H2S has long been known as the third gasotransmitter, along with nitric oxide (NO) and carbon monoxide (CO). Among this family, H2S has the uniqueness of existing in multiple forms in nature: gas, solid as salt, or liquid as an aqueous solution establishing a dynamic equilibrium among molecular hydrogen sulfide and ionized forms (sulfide and bisulfide ions) under physiological conditions.
Although the existence of H2S in mammalian tissue has been recognized for decades, its endogenous production and signaling potential were not fully understood until the seminal study by Abe and Kimura in 1996 [7].
In mammals, H2S is primarily produced by cystathionine-β-synthase (CBS), cystathionine-γ-lyase (CSE), and 3-mercaptopyruvate sulfurtransferase (3-MST)/cysteine aminotransferase (CAT) [8,9].
Despite being traditionally considered a toxic gas [10,11], over the last decade, significant research and development efforts have been focused on H2S in order to comprehend its biologic roles in health and disease and its positive role in crucial physiological functions.
It is widely considered a key mediator in many physio-pathological processes, such as inflammation, neuromodulation, oxidation, tumor progression, cardiovascular, bone, and metabolic disease [12,13].
As interest in the physio-pathological aspects of H2S has expanded, chemical tools for elucidating the role of H2S have been developed. For this purpose, multiple approaches have been identified, either based on inhibition of H2S biosynthesis or H2S donation.
Currently, a limited number of pharmacologically well-characterized compounds are considered to be selective and potent inhibitors of the enzymes involved in H2S biosynthesis. Specifically, DL-propargylglycine, β-cyanoalanine, L-2-oxo-N-(prop-2-yn-1-yl) thiazolidine-4-carboxamide, aminooxyacetic acid, and L-aspartic acid (L-Asp) are the most selective agents to block the H2S endogenous production [14,15,16].
Additionally, the use of exogenous H2S in different disease models has been extensively studied to further explore the plethora of biological effects of this gaseous signaling molecule.
To date, available H2S donor sources are limited. The widely used pharmacological tools are inorganic sulfide salts, such as sodium sulfide (Na2S) and hydrosulfide (NaHS), that quickly release H2S upon reaction with water [17].
Among the natural sources, interesting candidates as H2S-donor were represented by garlic-derived organosulfur compounds, such as allicin and the polysulfides diallyl di and tri-sulfide (DADS and DATS), and isothiocyanates, such as sulforaphane (SFN), allyl isothiocyanate (AITC), benzyl isothiocyanate (BITC), 4-hydroxybenzyl isothiocyanate (HBITC), and erucin (ERU), present in many edible plants of the Brassicaceae family, like broccoli, black and white mustard, garden cress, and rocket (Figure 2).
Figure 2.
Chemical structures of natural H2S donating compounds: garlic-derived organosulfur compounds (yellow box) and natural isothiocyanates from Brassicaceae family (green box).
Among the synthetic H2S donors, the most widely investigated is the 4-methoxyphenyl(morpholino)phosphinodithioate morpholinium salt, GYY4137 [18]. This compound is one of the first slow-releasing H2S donors developed that decomposes spontaneously in aqueous buffers to release H2S over a long period of time.
Moreover, other H2S-releasing compounds were developed and investigated, including 1,2-dithiole-3-thiones, such as 5-(4-hydroxyphenyl)-3H-1,2-dithiole-3-thione (ADT-OH) [19], arylthioamides, such as 4-hydroxythiobenzamide (TBZ) [20], N-(benzoylthio)benzamides [21], S-aroylthiooximes [22], 1,2,4-thiadiazolidin-3,5-diones [23], dithioates, such as 4-hydroxybenzodithioate (HBTA) [24], and isothiocyanates [25,26] (Figure 3).
Figure 3.
Chemical structures of most representative H2S donors.
H2S donors are known to play their biological roles [27] through several mechanisms, summarized in Figure 4.
Figure 4.
Biological effects and pathophysiological mechanisms of H2S donors.
Specifically, H2S donors have important benefits in terms of anti-inflammatory and anti-cancer properties through a variety of complex processes.
First, in terms of anti-inflammatory properties, H2S donors reduce inflammation by blocking the production and release of inflammatory mediators and altering inflammatory signaling pathways. In particular, they have the ability to decrease the action of important molecules that regulate inflammation, such as nuclear factor-κB (NF-κB) and tumor necrosis factor-α (TNF-α), as well as reduce the infiltration of inflammatory cells and the levels of inflammatory mediators [28].
In terms of anticancer effects, H2S donors have a strong inhibitory impact on tumor development and metastasis by interfering with cancer cells’ biological activities. This includes the modulation of cancer cell survival signaling pathways, such as the suppression of the inhibitor of apoptosis proteins (IAPs) family and the B-cell lymphoma-2 (Bcl-2) family, which induce apoptosis in tumor cells. Furthermore, H2S donors have the ability to regulate the cell cycle of cancer cells, preventing their uncontrolled multiplication [29,30].
Moreover, H2S donors produce a variety of cardiovascular effects. First, they contribute to blood pressure stability by modulating vascular tension and cellular signaling pathways. Furthermore, research suggests that H2S donors may help prevent atherosclerosis by reducing artery wall damage and plaque development [31,32].
H2S donors are also therapeutically useful in the treatment of metabolic disorders by controlling lipid metabolism, energy metabolism, insulin signaling, and other processes. In the prospective therapy of metabolic illnesses, H2S donors’ function through a variety of channels, positively influencing metabolic processes. Furthermore, H2S donors have a considerable effect on lipid metabolism. They can control fatty acid synthesis and breakdown, increase lipid balance, and limit aberrant lipid buildup, all of which contribute to the prevention of metabolic illnesses, including obesity. Particularly, by blocking glucose-6-phosphate dehydrogenase (G6PD)-associated cyclin-dependent kinase 5 (CDK5), stimulating aldehyde dehydrogenase-2 (ALDH2), boosting mitochondrial antioxidant defense, and initiating the adenosine monophosphate-activated protein kinase (AMPK) signaling pathway, H2S donors also contribute to glucose metabolism. Finally, these mechanisms protect the function of pancreatic insulin-producing cells (β cells) from damage caused by high glucose [33].
Moreover, prior research has mostly concentrated on the advantages of using exogenous H2S for neurodegenerative illnesses. Research has demonstrated that H2S is involved in many physiological processes in the body and that, because of its antioxidant qualities and capacity to control oxygen consumption, it can have cytoprotective effects. H2S influences the activity of particular proteins by sulfhydrylation or by up- or down-regulating the genes related to anti-inflammatory, antiapoptotic, and antioxidant defenses [34].
3. Multi-Target H2S Donors
Based on the growing interest in the H2S field and the emerging multitarget-directed ligands approach, some of the H2S-releasing moieties have been largely used for developing novel molecular hybrids with several “native” drugs [35,36], including non-steroidal anti-inflammatory drugs (NSAIDs), corticosteroids, nucleosides, prostaglandin analogs, adrenergic agonists or antagonists, carbonic anhydrase inhibitors, opioid receptor agonist, acetylcholinesterase (AChE) inhibitor, N-methyl-D-aspartate (NMDA) receptor antagonist, anthracyclines and Transient Receptor Potential Vanilloid 1 (TRPV1) agonists.
In this review, we focus on the “smart” multi-target compounds resulting from the combinations of “old” native drugs with moieties structurally able to release H2S and their applications as therapeutic tools in complex disorders, such as inflammatory-based diseases, cancer, as well as neurodegenerative, cardiovascular, and metabolic diseases [31,34,37,38,39].
3.1. Pills of H2S-Donating Molecules for Inflammatory-Based Diseases
The substantial evidence supporting the involvement of H2S in inflammatory processes [28] has prompted scientists to develop novel compounds combining H2S-donor moieties with anti-inflammatory drugs, non-steroidal or steroidal compounds, offering a potential new approach for treating inflammation and inflammatory conditions.
3.1.1. H2S-Donating NSAIDs
NSAIDs have long been used for their anti-inflammatory and analgesic properties. However, they are associated with certain adverse effects, particularly gastrointestinal damage and cardiovascular risks.
By combining NSAIDs with H2S donors, researchers aim to enhance the anti-inflammatory effects of these drugs while simultaneously exploiting the beneficial properties of H2S. The hybridization approach offers a dual mechanism of action, potentially resulting in superior therapeutic outcomes and reduced side effects. The incorporation of H2S donors into NSAIDs holds great potential in mitigating the side effects of NSAIDs while enhancing the therapeutic efficacy of these drugs.
The H2S released by these hybrid compounds acts as a vasodilator, protecting the gastrointestinal lining and reducing the risk of NSAID-induced gastric ulcers and bleeding. Additionally, H2S modulates the production of inflammatory mediators, such as cytokines and prostaglandins, thereby further reducing inflammation and pain.
One of the most used NSAIDs, naproxen, was modified with a moiety able to release H2S, giving ATB-346 [2-(6-methoxy-napthalen-2-yl)-propionic acid 4-thiocarbamoyl-phenyl ester] (Figure 5) [40].
Figure 5.
Chemical structures of representative H2S-NSAIDs.
The new compound derived from the conjunction of naproxen with TBZ, leading to ATB-346, which not only retains the effects of naproxen but also improves bone quality and prevents gastric mucosa damage due to prostaglandin inhibition [41].
The efficacy of ATB-346 was assessed in healthy subjects across various models with weakened mucosal protection and within a gastric ulcer recovery model. Regarding gastric harm, ATB-346 proved to be roughly 100 times less risky than naproxen in healthy subjects, while also demonstrating effects that were either on par with or more effective than those of naproxen in two inflammation models. Moreover, unlike selective cyclooxygenase-2 (COX-2) inhibitors, ATB-346 did not cause notable gastric injury in rats with impaired mucosal defense; it further promoted the repair of existing gastric ulcers. Significantly, ATB-346 displayed a more favorable cardiovascular profile compared to traditional NSAIDs. It has also been found to inhibit alveolar bone loss and inflammation in models of periodontitis [41].
Additionally, more recent studies have shown that ATB-346 can reduce intestinal inflammation and restore transit in conditions like postoperative ileus [42]. This makes ATB-346 a potentially new adjuvant therapy for periodontal diseases and other inflammatory conditions where NSAIDs are indicated but their side effects are a concern.
More recently, a new H2S-releasing naproxen, Naproxen-HBTA, was crafted [24]. It exhibited promise in diminishing the characteristics associated with metastatic melanoma, as observed in animal studies. Research has revealed that naproxen-HBTA can trigger cell death and reduce the progression, invasion, and cluster development of human melanoma cells. Moreover, when administered orally, it markedly reduced the advancement and expansion of melanoma in mouse models.
Another H2S-releasing NSAID derivative is ACS14 [2-acetyloxybenzoic acid 4-(3-thioxo-3H-1, 2-dithiol-5-yl) phenyl ester] (Figure 5), a conjugate between ADT-OH and acetylsalicylic acid [43]. This new entity, ACS14, combines aspirin’s anti-inflammatory properties with the protective effect of H2S, inhibiting COX and showing antioxidant effects. It stimulated antioxidants, protecting against aspirin-induced gastric damage [43].
Moreover, ACS14, not only blocked the aggregation dependent on arachidonic acid but also, in contrast to regular aspirin, reduced aggregation induced by adenosine diphosphate (ADP), collagen, and thrombin. These effects, which are independent of COX, were noted following both a brief period of whole blood incubation in vitro and sustained oral administration in mice. As a result, ACS14 extended the clotting time, indicative of the rate at which a firm clot develops, a process highly reliant on platelet activity. This is in line with the observed in vivo reduction of arterial thrombus formation in both small arterioles and larger arteries. Additionally, it has been demonstrated that the diminished activation of the αIIbβ3 integrin by ACS14, along with an increase in intracellular cyclic nucleotides, plays a role in its antithrombotic properties. Moreover, it has been demonstrated the inhibitory effects of ACS14 in estrogen receptor-negative breast cancer cells and leukemic Jurkat cells [44,45].
Sustaining its thromboxane-suppressing activity, the aspirin-H2S releasing hybrid maintained the integrity of the gastric mucosa by enhancing H2S/glutathione (GSH) formation [46]; this process influences redox imbalance. Additionally, a recent study found that ACS14 could protect the gastric mucosa from aspirin-induced damage by inhibiting oxidative stress and stimulating local blood flow, possibly involving ATP-sensitive potassium (KATP) channels [47].
ATB-429, a compound derived from the combination of mesalamine and ADT-OH (Figure 5), exhibited enhanced properties for reducing inflammation and pain [48]. Compared to mesalamine alone, ATB-429 has shown a notable decrease in gastrointestinal adverse effects, particularly evident in a colitis mouse model where it demonstrated superior anti-inflammatory capabilities. The compound was effective in mitigating inflammation in conditions such as liver and lung injuries caused by lipopolysaccharides (LPS), as well as in ulcerative colitis. It also offered anti-inflammatory benefits in the case of gastric mucosal damage induced by NSAIDs. ATB-429 outperformed mesalamine in lessening mucosal harm and the severity of the disease; it also significantly diminished the infiltration of chronic granulocytes and lowered the levels of various key inflammatory cytokines’ mRNA.
ACS15 is a derivative that donates H2S, created by combining diclofenac with ADT-OH (Figure 5). It offered superior anti-inflammatory benefits and fewer gastrointestinal side effects compared to diclofenac. ACS15 showed the capability to release H2S both in vitro and in vivo, enhancing its anti-inflammatory properties and markedly diminishing lung damage linked to pancreatitis [49]. Additionally, research indicated that ACS15 possesses activity against myocardial ischemia-reperfusion injury, a property not observed in diclofenac [50].
ATB-352 was obtained by fusing ketoprofen with ADT-OH (Figure 5). Studies have shown that ATB-352 exhibited anti-inflammatory effects comparable to ketoprofen while causing negligible gastrointestinal side effects. Moreover, the hybrid had potential for the chemoprevention of tumors [51].
Furthermore, hybrids of NSAIDs and H2S and NO donors have also been developed. This approach also aims to improve the effectiveness of the native drugs and minimize their adverse effects.
NOSH-aspirin is a hybrid of aspirin bearing both H2S and nitric oxide-releasing entities (Figure 6) [52,53]. The new compound has been shown to maintain the fever-reducing, pain-relieving, inflammation-diminishing, and platelet aggregation-inhibiting properties of aspirin. Conversely, it has been demonstrated to have a reduced risk of gastrointestinal hemorrhage and offer enhanced efficacy in preventing tumors.
Figure 6.
Chemical structures of representative NOSH-NSAIDs.
Moreover, Wang and colleagues developed a range of ATB-429 derivatives that release nitric oxide and assessed their capacity to inhibit tumor growth [54]. The findings indicated that these derivatives are potent in combating tumor cells. Specifically, compounds 8 (Figure 6) with an IC50 value of 2.677 µM, and 9 (Figure 6) with an IC50 of 3.051 µM, were more effective against the MCF-7 breast cancer cell line, and compound 8 (Figure 6) was also more effective (IC50 = 1.270 µM) against the DU145 prostate cancer cell line, compared to Vandetanib, which had IC50 values of 3.536 µM and 1.974 µM, respectively.
Similarly, AVT-219 and AVT-18A (Figure 6) are NOSH NSAIDs created by fusing naproxen and sulindac, respectively, with H2S and nitric oxide donors [55]. Both compounds preserved the anti-inflammatory and anti-platelet aggregation benefits of their native drugs. Moreover, they exhibited a reduced impact on the gastrointestinal tract. Additionally, these NOSH compounds demonstrated potent efficacy in suppressing the proliferation of various cancer cell types, such as colon, breast, and pancreatic cancer cells [56].
3.1.2. H2S-Donating Glucocorticoids
Glucocorticoids, a class of corticosteroids, are well-known for their potent anti-inflammatory and immunosuppressive properties. In fact, they represent the standard gold treatment of various inflammatory-based diseases, although their long-term use can lead to adverse effects, including cardiovascular diseases, osteoporosis, and weakened immunity [57,58].
To harness the therapeutic benefits of H2S in controlling the inflammatory and pruritogenic response while mitigating the side effects of glucocorticoids, researchers have developed H2S-donating glucocorticoids.
H2S has shown promising results in treating asthma by activating potassium channels in bronchial smooth muscle cells, leading to relaxation, and by decreasing eosinophil infiltration and oxidative stress in the lungs [59,60].
Similarly, in the skin, H2S plays a key role in controlling critical processes, including vasodilation, the formation of new blood vessels, the growth and division of cells, programmed cell death, and inflammatory responses [61].
Starting from these findings, a novel therapeutic strategy has been offered particularly in conditions like asthma and atopic dermatitis, where both inflammation and oxidative stress play a significant role.
Researchers conjugated different glucocorticoids, such as betamethasone 17-valerate, triamcinolone acetonide, dexamethasone, and prednisone, to various H2S-releasing groups, like ADT-OH, thioamides, isothiocyanates, and benzodithioates, using a specific spacer (Figure 7) [62,63].
Figure 7.
Structures of H2S-donating prednisone, dexamethasone, betamethasone and triamcinolone derivatives.
All hybrids, compound 12-23 (Figure 7) have been proven to release H2S in both buffer solutions (with thiol activation) and bronchial smooth muscle cells, as confirmed by H2S electrode measurements and fluorescent probes [62,63].
Among the synthesized compounds, compounds 13 and 17 [62], and compound 22 [63] (Figure 7) demonstrated the most potent effects and were selected for further investigation. These hybrids exhibited a significantly stronger ability to inhibit mast cell degranulation compared to their parent glucocorticoid. This enhanced anti-inflammatory effect is likely due to the release of H2S, as compounds that donate H2S, such as 4-hydroxy-phenylisothiocyanate (HPI) and TBZ, also showed strong inhibitory effects.
Notably, compound 22 (Figure 7) exhibited in animal studies protective properties against airway remodeling caused by asthma and significantly reduced the density of smooth muscle and collagen around the bronchioles. It also effectively decreased the infiltration of eosinophils and mast cells in the lung tissue of mice [63,64].
More recently, considering the potential benefits of combining H2S donors with glucocorticoids and the primary approach to treating various skin disorders, including atopic dermatitis, which involves the application of corticosteroids such as dexamethasone and two H2S-releasing derivatives, compounds 20 and 21 (Figure 7), were selected and evaluated in a mouse model of atopic dermatitis [65].
Applying equal doses of dexamethasone or its derivatives, compounds 20 and 21, topically led to comparable decreases in dermatitis severity, scratching, swelling, eosinophil count, spleen enlargement, and tissue alterations. Unlike dexamethasone, the H2S-releasing hybrids inhibited the rise of IL-4 and the oxidative damage to skin proteins. Specifically, compound 20 and not compound 21, enhanced the H2S production and glutathione peroxidase (GPx) enzyme activity when given in equal molar amounts [65].
This study once again demonstrated the efficacy of the combination of H2S-donating moiety with dexamethasone, maintaining its anti-inflammatory properties and contributing additional therapeutic benefits to the original drug.
3.2. Pills of H2S-Donating Molecules as Anti-Cancer Agents
Numerous studies have highlighted the significant role of H2S within cancer biology, and, intriguingly, the administration of H2S-donating compounds has been linked to the induction of apoptosis in different types of cancer cells [37].
3.2.1. H2S-Donating Doxorubicin Derivatives
Doxorubicin (DOXO) is a potent antineoplastic agent widely used in clinical practice, but its use is limited due to its cardiotoxicity and the rapid development of multidrug resistance. To address these issues, researchers have been developing H2S-releasing DOXOs (H2S-DOXOs) [66]. These new derivatives combine DOXO with H2S donor substructures (Figure 8) to reduce cardiotoxicity and combat DOXO-resistant tumor cells.
Figure 8.
Structures of H2S-donating DOXOs.
All H2S-DOXOs were evaluated on cardiac H9c2 cells, as well as DOXO-sensitive U-2OS osteosarcoma cells and their variants that exhibit varying levels of resistance to DOXO. The H2S-releasing moieties had a significant impact on the compounds’ biological activity. It was found that all H2S-DOXOs succeeded in diminishing the oxidative stress caused by the antibiotic in cardiomyocytes, with the majority also showing considerably lower toxicity compared to the original compound. In contrast to DOXO, the majority of these compounds are harmless to H9c2 cells at a concentration of 5 µM, showing promise for ongoing research and advancement [66].
Moreover, against sarcoma cell lines, all H2S-donating DOXOs demonstrated markedly stronger cytotoxic effects than the original compound [66].
3.2.2. H2S-Donating Capsaicin Derivatives
Capsaicin (CAP), a well-known natural product found in hot peppers (Capsicum annuum L.), is a key TRPV1 agonist, offering health benefits. Studies on CAP have highlighted its pain-relief, cancer-fighting, anti-inflammatory, heart-protective, antioxidant, and weight-loss benefits, all of which are mediated by the activation of the TRPV1 receptor but are hindered by poor bioavailability and a tendency to irritate [67,68]. Despite attempts to alter CAP’s structure, no variants with a better pharmaceutical profile and less irritation have been successfully developed.
Consequently, aiming to enhance CAP’s effectiveness and reduce its irritant properties, a series of H2S-releasing CAP derivatives was developed by Qian and coworkers [69]. These compounds were synthesized by fusing capsaicin and dihydrocapsaicin with different hydrogen sulfide donors via an ester linkage to the C-4 position of CAP (Figure 9).
Figure 9.
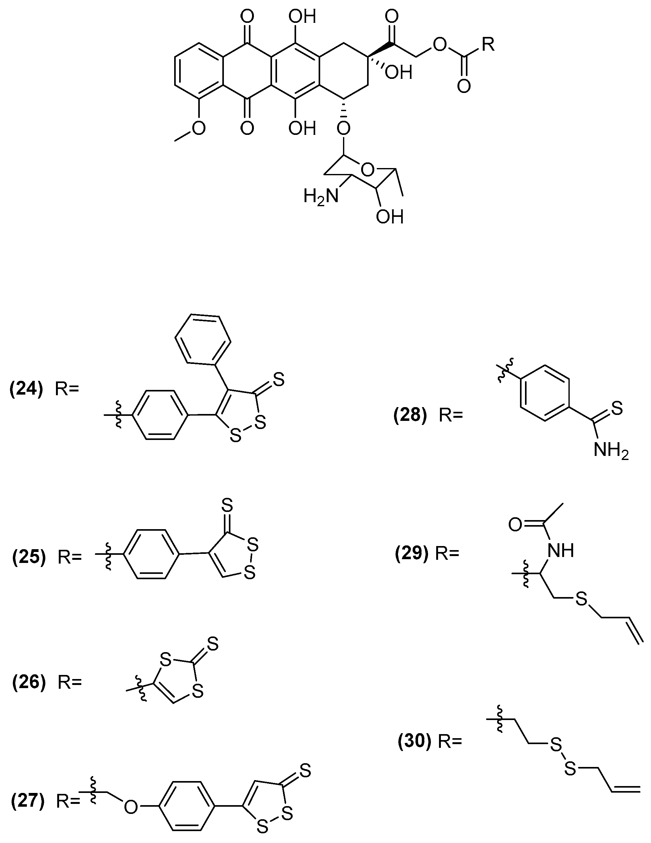
Chemical structures of H2S-donating capsaicin derivatives (B1-B14) and of the most interesting of the series (B9).
The new compounds underwent evaluation for their H2S releasing properties, analgesic and anticancer potential, and effect on gastric mucosa irritation.
The results revealed that the addition of an H2S-releasing group significantly affected their biological actions. All the H2S-donating CAPs enhanced calcium influx, and most of them exhibited some level of pain-relief activity. Moreover, when tested against K562, Hela, and MCF-7 cancer cell lines, nearly all H2S CAP derivatives showed stronger cytotoxic effects compared to the parent compound CAP.
Notably, the evaluations revealed that compound 31 (Figure 9), which incorporates an ADT-OH as H2S donor, exhibited superior analgesic properties and stronger cytotoxicity against cancer cell lines compared to CAP. Additionally, compound 31 (Figure 9) demonstrated a significant reduction in rat gastric mucosa irritation caused by CAP.
3.2.3. H2S-Donating Metformin
Metformin, the most widely used oral antidiabetic drug, has found new potential uses, notably as an anti-cancer agent.
Nowadays, there is a significant focus on both the fundamental and clinical research of metformin in the context of cancer. The key route for metformin’s anti-cancer effects involves the stimulation of the AMPK/mammalian target of rapamycin (mTOR) pathway, which is initiated by the suppression of complex I within the mitochondrial respiratory chain [70,71,72].
The urgent need to develop innovative strategies for cancer management and many studies confirming that H2S promotes anti-cancer effects in several tumor types [37,73] led Calderone and co-workers to develop a novel multi-target H2S-donating compound, called Metformine-ITC (Met-ITC) [74] (Figure 10), by incorporating an isothiocyanate moiety to metformin.
Figure 10.
Chemical structure of H2S-donating metformin.
Met-ITC demonstrated ability to release H2S both in cell-free assays and within cancer cells and greater efficacy in inhibiting cancer cell viability (e.g., AsPC-1, MIA PaCa-2, MCF-7) compared to metformin alone. It was less effective on non-tumorigenic cells (MCF 10-A). The presence of an H2S donor group, such as isothiocyanate function, gives the contribution to the anti-proliferative action by altering the cell cycle, promoting apoptosis, and suppressing the activity of histone deacetylases [74].
3.3. Pills of H2S-Donating Molecules as Cardioprotective Agents
In the cardiovascular system, numerous investigations have confirmed that H2S delivers advantageous and defensive actions, such as lowering blood pressure, enhancing vasodilation, mitigating atherosclerosis, and limiting endothelial dysfunction. Additionally, H2S is known for its antioxidant properties and its ability to promote the formation of new blood vessels.
The significant progress in comprehending the biological functions of H2S and its mechanisms of action within the cardiovascular system [31] led the researcher to design innovative H2S-donating compounds.
3.3.1. H2S-Donating Triphenylphosphonium
Acknowledging the critical role of oxidative stress in endothelial mitochondrial dysfunction, which is a key factor in cardiovascular diseases, diabetic complications, inflammatory conditions, and various critical illness conditions, often linked to disruptions in H2S balance, Szabo et al. have developed a mitochondria-targeted H2S donor, known as AP-39 (Figure 11) [75].
Figure 11.
Chemical structure of H2S-donating AP-39.
This novel compound was synthesized through the combination of triphenylphosphonium and ADT-OH and then examined for its ability to release H2S and its potential therapeutic effects. AP-39 has been found to markedly reduce oxidative stress-induced toxicity and offer protection against severe cardiac arrest, as well as renal and myocardial ischemia/reperfusion (I/R) injuries, by blocking the mitochondrial permeability transition pore [76,77,78,79].
Moreover, Muscará and colleagues elucidated the mechanisms of action of AP39 on the vascular reactivity of mouse mesenteric arteries in vitro. Their studies revealed that the vasodilatory effect induced by AP-39 and its H2S-releasing component, ADT-OH, was significantly diminished following the removal of the endothelium, indicating a reliance on NO-cyclic guanosine monophosphate (cGMP) signaling and small-conductance calcium-activated potassium (SKCa) channel activation. These findings suggested that endogenous H2S is involved in AP-39’s mechanism of action, and the vasodilatory response was not altered by glibenclamide-induced KATP channel blockade [80].
More recently, novel studies indicated that AP-39 mitigates the cardiotoxic effects of DOXO by reducing oxidative stress, preventing cell death, and protecting against mitochondrial damage. This is achieved through the regulation of AMPK/uncoupling protein 2 (UCP2) expression [81].
3.3.2. H2S-Donating Adenosine and Adenine Derivatives
Considering the protective roles of adenosine and hydrogen sulfide in the cardiovascular system, particularly during ischemic/reperfusion events, Andreadou and colleagues have synthesized a new class of compounds that release hydrogen sulfide [82].
Specifically, adenosine and the non-nucleoside analogue of adenine, 9-(4-hydroxybutyl)adenine, were chemically bonded with TBZ and ADT-OH through a stable ether linkage (Figure 12).
Figure 12.
Chemical structures of H2S-donating adenosine derivatives.
These compounds were tested for their potential as cardioprotective agents both in vitro and in vivo. It has been shown that the novel hybrids were able to gradually release H2S and to significantly decrease the size of myocardial infarcts when used during myocardial ischemia [82].
3.3.3. H2S-Donating Sildenafil
Sildenafil, a phosphodiesterase-5 inhibitor (PDE5-I) commonly used in conditions like erectile dysfunction and pulmonary arterial hypertension, was combined with an H2S donor moiety, ADT-OH, obtaining a novel molecule named ACS6 (Figure 13) [83].
Figure 13.
Chemical structure of H2S-donating sildenafil, ACS6.
The new hybrid was found to be significantly stronger in relaxing the spongy smooth muscle compared to sildenafil, and it has been demonstrated that the greater effectiveness of ACS6 is due to its ability to gradually release hydrogen sulfide [84].
Moreover, ACS6 was more effective than NaHS solution at inhibiting the production of oxygen radicals in pulmonary artery endothelial cells. Unlike NaHS, which only operates through the cAMP/protein kinase A (PKA) pathway, ACS6 has the advantage of activating both the cAMP/PKA and cGMP/protein kinase G (PKG) pathways [84].
Furthermore, ACS6 has been shown to offer protection to PC12 cells by increasing the levels of paraoxonase-1 (PON-1), which helps counteract the neurotoxic effects induced by homocysteine and reduces oxidative stress [85,86].
3.4. Pills of H2S-Donating Molecules for Glaucoma Treatment
Glaucoma is a group of optic neuropathies characterized by retinal ganglion cell and axonal death, leading to irreversible vision loss. As glaucoma is one of the leading causes of blindness worldwide [87], researchers have been exploring novel therapeutic approaches to better manage this condition.
Recent studies have shown that H2S has a protective effect against glaucoma-related damage [88,89,90,91,92].
In this context, new molecular hybrids that combine the action of antiglaucoma agents with H2S-releasing moieties have been designed and synthesized. These hybrids aim to provide a synergistic and enhanced therapy for glaucoma.
3.4.1. H2S-Donating of Prostaglandin Analogs
ACS67 is a hydrogen sulfide-releasing derivative of latanoprost acid (Figure 14). It has been studied for its potential neuroprotective properties, particularly in the context of retinal health [93].
Figure 14.
Chemical structure of H2S-donating Latanoprost.
ACS67 has been shown to attenuate retinal ischemia and oxidative stress in RGC-5 cells in culture. This suggests that it could potentially be used to protect neurons in the retina from damage due to ischemia or oxidative stress [94]. The neuroprotective effects of ACS67 are attributed to its ability to release H₂S [93]. Studies have indicated that ACS67 can significantly blunt the negative effects of hydrogen peroxide (H₂O₂)-induced toxicity to RGC-5 cells, whereas Latanoprost alone did not. This highlights the additional benefit provided by the H₂S-releasing moiety of ACS67 [94]. While ACS67 was found to maintain the intraocular pressure (IOP) effectiveness associated with Latanoprost, its H₂S-releasing property added a neuroprotective dimension, making it a compound of interest for glaucoma treatment research.
3.4.2. Other H2S-Donating Glaucoma Drugs
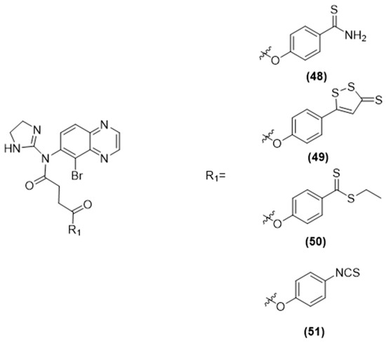
More recently, Sparaco et al. selected other antiglaucoma drugs, including carbonic anhydrase inhibitors, such as brinzolamide (Figure 15), β-blockers, such as betaxolol (Figure 16), and α-adrenergic agonists, such as brimonidine (Figure 17), and coupled them with various H2S-releasing moieties [95].
Figure 15.
Chemical structures of H2S brinzolamide derivatives.
Figure 16.
Chemical structures of H2S betaxolol derivatives.
Figure 17.
Chemical structures of H2S brimonidine derivatives.
The newly synthesized compounds were evaluated for their ability to release H2S using both amperometric and fluorometric methods.
The newly synthesized compounds’ ability to release H2S was confirmed by assessing an amperometric assay and in human primary corneal epithelial cells (HCEs) through spectrofluorometric analysis. Noteworthy compounds 42 (brinzolamide-HBTA), 43 (brinzolamide-HPI), and 51 (brimonidine-HPI) emerged as the most effective H2S-releasing hybrids in both aqueous solutions, in the presence of L-Cys, and within cells.
These initial findings support the concept of hybridization as an effective approach in drug development. Indeed, creating a new molecular entity by combining two or more drugs, identical or different, with or without a linker, aims to improve the effectiveness of the original drugs. Additionally, these results open up the possibility of pairing potent H2S donors like HBTA or HPI with proven intraocular pressure (IOP)-reducing medications, such as prostaglandin analogs, to develop innovative anti-glaucoma medications.
3.5. Pills of H2S-Donating Molecules for Neurodegenerative Diseases
Neurodegenerative diseases, like Alzheimer’s disease (AD), Huntington’s disease (HD), and Parkinson’s disease (PD) are persistent and progressive disorders. They result in neuronal loss, leading to cognitive and motor impairment.
Unfortunately, to date there are no treatments that effectively manage symptoms or provide a cure for these diseases.
Several studies reported the neuroprotective effects of the gaseous signaling molecule H2S, acting as a neuromodulator within the brain [96,97]. In particular, H2S interacts with both the NMDA receptor [98,99] and the α-amino-3-hydroxy-5-methyl-4-isoxazolepropionic acid (AMPA) receptor [100,101], influencing their functions. It shields nerve cells from oxidative harm by adjusting levels of GSH, managing KATP channels, and curtailing the generation of reactive oxygen species (ROS). Notably, the concentration of H2S and the activity of enzymes CBS and CSE are markedly reduced in the brains of individuals with neurodegenerative diseases [101,102,103].
Moreover, numerous investigations have highlighted the neuroprotective properties of H2S donors in both cell culture and animal models of neurodegeneration characterized by a decrease in H2S synthesis.
Consequently, therapeutic strategies based on H2S-donating hybrids for these conditions have been suggested.
3.5.1. H2S-Donating Levodopa
Levodopa (L-DOPA) is currently an important drug in the treatment of Parkinson’s syndrome, but it only replenishes dopamine levels in the brain and does not inhibit the progression of the disease.
Ongoing neuronal damage may be attributed to several factors, including oxidative stress, which encompasses the oxidation of L-DOPA and the neurotoxins produced by activated microglia and astrocytes.
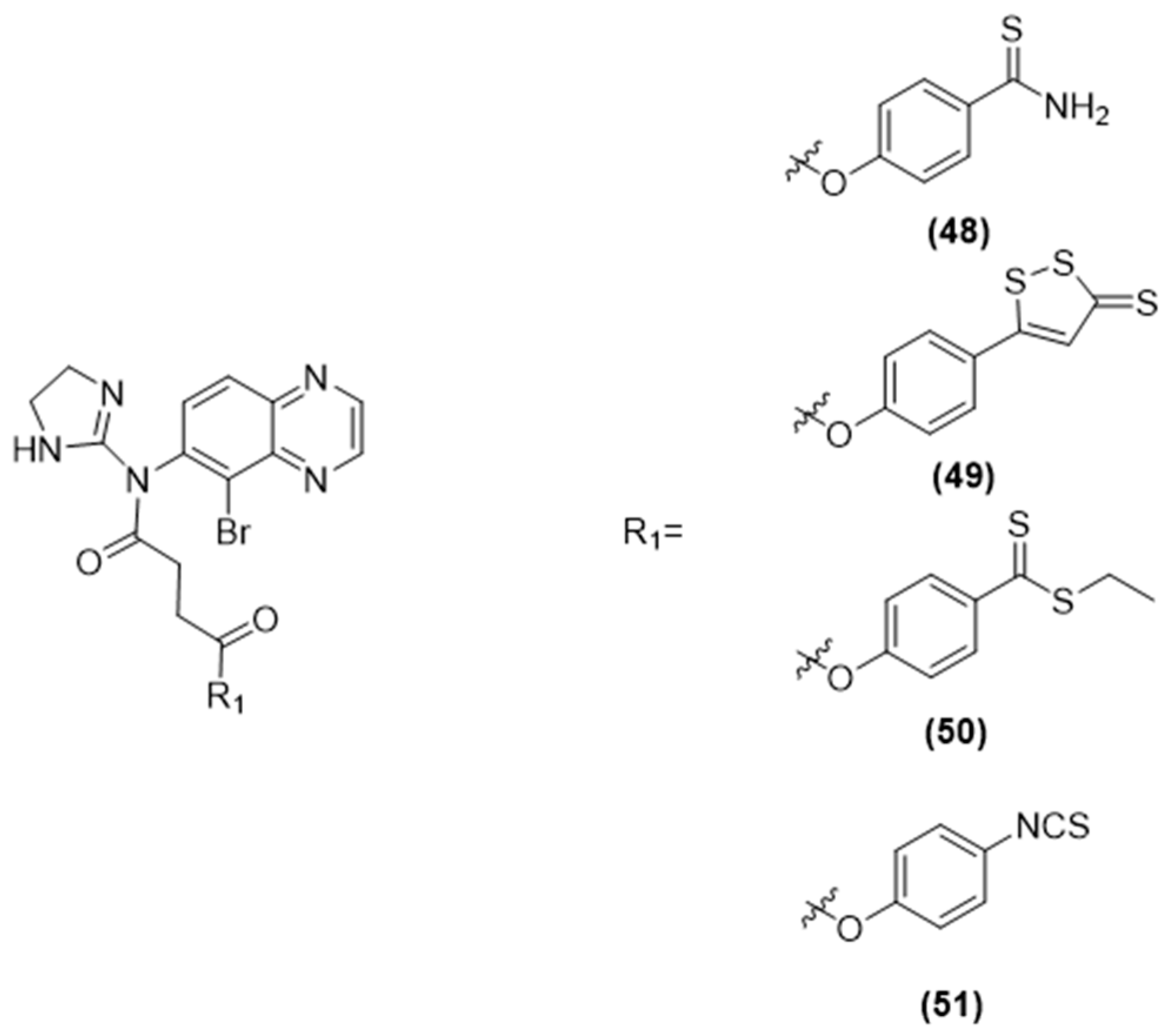
To mitigate these factors, a series of H2S-releasing derivatives, having both antioxidant and antiinflammatory properties, have been developed [104]. These compounds were obtained by combining L-DOPA with four H2S donors, such as ADT-OH derivatives and allyldisulfide (Figure 18).
Figure 18.
Chemical structures of H2S-donating DOPAs.
H2S-donating DOPA hybrids were able to release both dopamine and H2S. They were also investigated in cell culture models and exhibited several beneficial effects, including antioxidant activity. Moreover, these hybrids reduced the levels of pro-inflammatory cytokines such as TNF-α and interleukin-6 (IL-6), as well as nitrite from stimulated human microglia, astrocytes, THP-1, and U373 cells. Additionally, they mitigated the toxicity of supernatants from the stimulated cells on SH-SY5Y cells [104].
Among the tested hybrids, ACS84 (4-(3-thioxo-3H-1,2-dithiol-4-yl)-benzoic acid, Figure 18) was particularly noteworthy. When injected into rats, ACS84 dissociated into L-DOPA and ADT-OH within one hour; in fact, both metabolites were detected in the brain.
In rat models of Parkinson’s disease, ACS84 improved motor deficits, reduced neuronal loss in the substantia nigra, and elevated dopamine levels in the striata [105].
Research has shown that ACS84 can avoid amyloid-induced neuronal cell damage through anti-inflammatory effects and protect mitochondria in p38- and JNK-mediated stress responses. Thus, ACS84 has the potential to treat neurodegenerative diseases [104,105,106].
3.5.2. H2S Donating Memantine for Alzheimer’s Disease
AD is a progressive neurodegenerative disorder characterized by cognitive decline, memory loss, and other symptoms. Pathological hallmarks of AD include β-amyloid (Aβ) aggregation, τ-hyperphosphorylation, and loss of cholinergic neurons.
Despite significant research efforts, as for the other neurodegenerative diseases characterized by a complex etiology, discovering effective drugs for AD remains a major challenge. Currently, scientists are exploring the multitarget approach as a promising strategy to develop new medications for AD.
A clinically approved drug used in the treatment of AD, memantine, is an NMDA receptor antagonist that helps regulate glutamate activity in the brain, aiming to improve cognitive function and slow down disease progression. However, it has limitations, including its inability to halt the degenerative process [107].
Given the neuroprotective effects of the combination of exogenous H2S and NMDAR antagonism [108,109,110], H2S-donating memantine hybrids have been developed for this purpose. Indeed, Ichinose and co-workers conjugated the H2S donor ADT-OH to memantine, obtaining S-memantine (Figure 19) [111].
Figure 19.
Chemical structures of H2S memantine derivatives.
It has been shown that S-memantine, when compared to the parent ADT-OH molecule and Na2S, exhibited lower toxicity toward murine cortical neurons. Additionally, it enhanced cell viability in both SH-SY5Y and murine cortical neurons following oxygen-glucose deprivation and reoxygenation. Notably, post-treatment with S-memantine significantly improved survival rates and neurological outcomes in mice subjected to bilateral carotid artery occlusion/reperfusion. Remarkably, the effects of S-memantine surpassed those of Na2S, the parent ADT compound, and memantine alone [111].
More recently, Sestito et al. [112] developed another H2S-donating memantine compound by introducing an isothiocyanate group in place of the amine function of memantine (Figure 19). The novel chemical entity, referred to as “Memit,” has undergone in vitro testing to determine its pharmacological characteristics as the original drug. The studies have verified that Memit slowly generates H2S via a cysteine-dependent mechanism, resulting in the restoration of memantine.
In neuron-like cells and microglia, Memit demonstrated various effects associated with H2S and memantine, such as offering protective benefits against neuronal inflammation and reducing ROS production. Memit has also been validated to lessen the accumulation of Aβ(1-42) and provide a protective effect against Aβ oligomers, which cause damage in human neurons and rat microglial cells. Moreover, this new molecule has been found to stimulate autophagy in U-87MG cells, which is disrupted in neurodegenerative conditions.
3.5.3. H2S-Donating AChE Inhibitor for Alzheimer’s Disease
Tacrine (THA) was the first clinically approved acetylcholinesterase (AChE) inhibitor for AD treatment. Despite its clinical application, THA was withdrawn due to high hepatotoxicity. However, its high potency in AChE inhibition, low molecular weight, and simple structure make THA a promising scaffold for developing multitarget agents.
In this context, considering the anti-inflammatory, hepatoprotective, and neuroprotective effects of hydrogen sulfide, Liu and co-workers have developed THA-based hybrids (THS, Figure 20) by combining THA with a derivative of the natural H2S-donating compound S-allylcysteine [113].
Figure 20.
Chemical structure of H2S-donating tacrine.
The obtained compound resulted in significant cognitive and locomotor activity improvements while addressing THA’s hepatotoxicity. The administration of THS successfully reduced the levels of AChE in both the serum and hippocampus of AD mice treated with AlCl3, showing effects similar to those of THA.
Furthermore, the compound THS diminished inflammation in the hippocampus, which was indicated by the lowered mRNA levels of inflammatory cytokines (TNF-α, IL-6, and IL-1β). Additionally, the hybrid compound enhanced the levels of H2S in the hippocampus, reduced inflammatory responses, and fostered better synaptic plasticity within the hippocampal region. Notably, this compound exhibited no signs of causing liver toxicity or inflammation, as determined by the levels of liver transaminases and inflammatory cytokines.
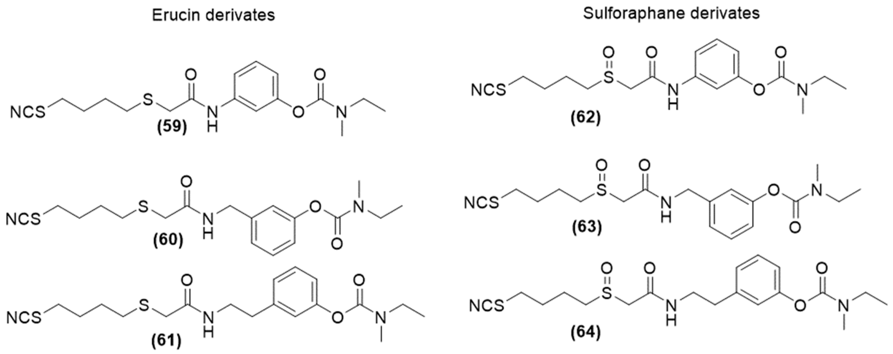
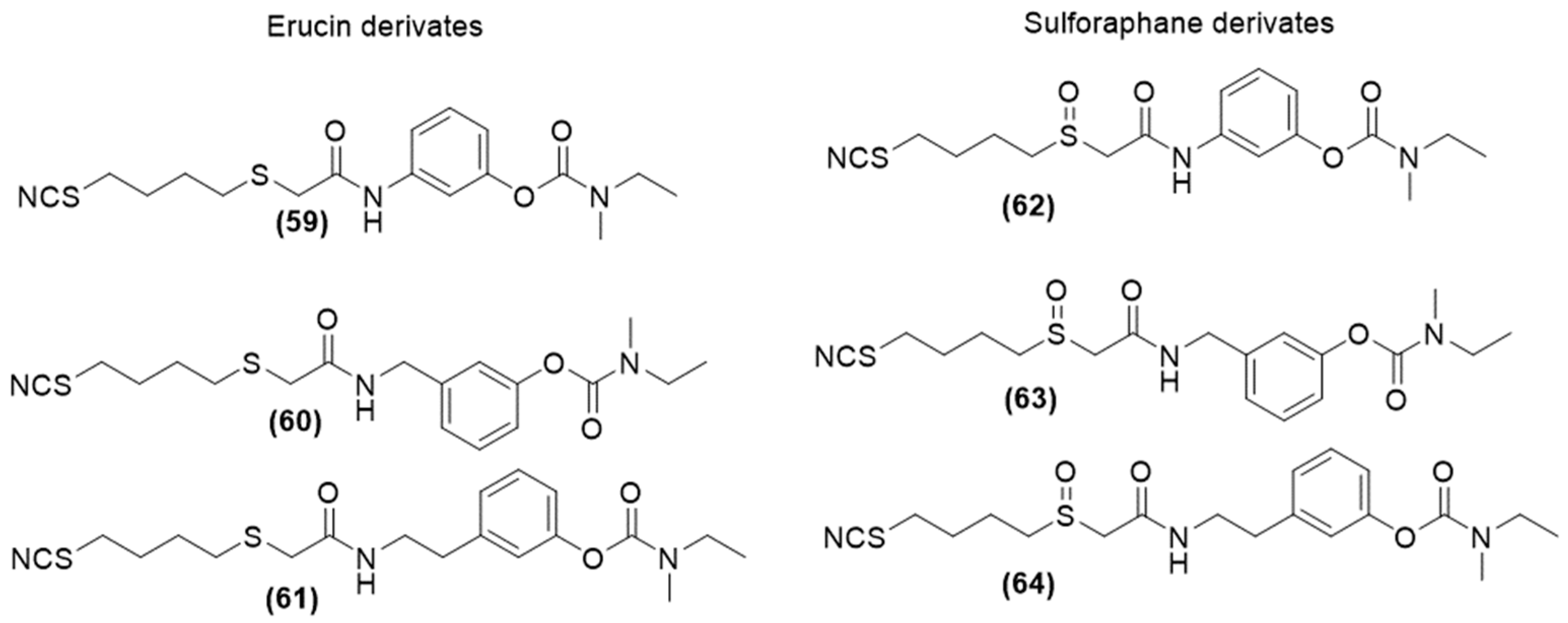
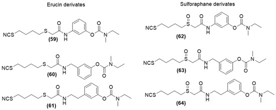
Similarly, in 2019, Sesisto et al. selected another AChE inhibitor with brain-region selectivity and clinically approved drugs for AD [114], rivastigmine, and designed a new class of multitarget H2S-donating compounds (Figure 21) by combining it with two natural products, such as sulforaphane (SFN) and erucin (ERN), endowed both with antioxidant and neuroprotective effects [115].
Figure 21.
Chemical structures of H2S-donating rivastigmine derivatives.
This research study revealed that all newly synthesized hybrids demonstrated an in vitro H2S-donor profile and showed protective effects against LPS-induced inflammation in microglial cells. Additionally, these compounds have been observed to reduce NO production in cells stimulated with LPS and pre-treated with the hybrids.
The compounds also exhibited neuroprotective and antioxidant properties in SH-SY5Y neuronal cells. Compared to rivastigmine, which has no antioxidant activity, all hybrids significantly lowered ROS production triggered by pro-inflammatory stimuli. The new hybrids also decreased NO release in BV-2 microglial cells, unlike rivastigmine. This effect is largely attributed to the diverse mechanisms of action of the SFN and ERN groups and their ability to release H2S.
3.5.4. H2S-Donating Melatonin for Neuro-Inflammation
Over the past years, melatonin has garnered considerable attention for its beneficial effects on the CNS, such as neuroprotective qualities, partly due to its strong antioxidant capabilities and its role as a radical scavenger. Owing to these properties, melatonin is being considered for the treatment of oxidative stress-related conditions, including neurodegenerative diseases (NDDs).
Given melatonin’s multifaceted nature and the promising neuroprotective effects seen with sulforaphane, it has been postulated that combining these compounds into a single molecule might yield synergistic, enhanced neuroprotective outcomes, potentially offering a new therapeutic approach for NDDs.
In 2015, Leon and coworkers have thus designed a melatonin-sulforaphane hybrid known as ITH12674 (Figure 22) [116].
Figure 22.
Chemical structure of H2S-donating melatonin.
To evaluate the neuroprotective effects of the novel compound, various in vitro models simulating oxidative stress associated with neurodegenerative conditions and cerebral ischemia were utilized. This hybrid is engineered to interact with cysteines in Keap1, thereby releasing Nrf2. Indeed, it was able to interact with intracellular glutathione to form a powerful antioxidant that counteracts the excessive production of ROS and reactive nitrogen species (RNS). Owing to these synergistic actions, ITH12674 exhibited significant protection against oxidative stress. ITH12674 demonstrated a superior neuroprotective profile in comparison to melatonin and sulforaphane.
In 2020, in addition to its pharmacological assessment, the same research group also examined ITH12674 for its anti-inflammatory properties [117]. The obtained findings suggest that ITH12674 provided an anti-inflammatory response by inhibiting the Toll-like receptor 4 (TLR4) and NF-κB signaling pathways. This dual drug-prodrug action has led to an enhanced pharmacological profile, showing promise for treating NDDs.
3.6. Pills of H2S-Donating Molecules for Osteoporosis
H2S-Donating Bisphosphonates
Bisphosphonates (BPs) stand as the primary treatment for osteoporosis, a complex metabolic bone disease characterized by low bone mass and deterioration of bone microarchitecture, leading to increased fragility and risk of fractures [118].
The pathophysiology of osteoporosis involves a disruption in the balance of bone formation and resorption, which is regulated by various genetic and environmental factors [118,119]. The strong bone affinity of BPs has led to their use in creating conjugates with drugs that either promote bone growth or prevent bone loss.
Given recent findings indicating H2S as a significant molecule in bone metabolism, encouraging bone formation and hindering the differentiation of osteoclasts [120], Rapposelli et al. developed novel H2S-donating compound, DM-22 (Figure 23), derived from a combination of alendronate (AL), a bisphosphonate used for osteoporosis treatment, and an isothiocyanate group [121].
Figure 23.
Chemical structure of H2S-donating alendronate.
In vitro tests of DM-22 and AL assessed their impact on the survival and functionality of human osteoclasts and mesenchymal stromal cells during osteogenic differentiation. Amperometric analysis showed that DM-22 was able to release H2S gradually through a thiol-dependent mechanism.
Notably, DM-22 markedly suppressed the differentiation and activity of human osteoclasts, preserving their viability. Unlike AL, DM-22 did not cause cytotoxic effects in human mesenchymal stromal cells. Therefore, DM-22 emerges as a promising candidate for a new generation of bone-anabolic drugs.
4. Conclusions and Future Perspectives
The development of H2S donating molecules is a dynamic field, aiming to create molecules that release H2S in a controlled manner. There are different types of H2S donors, including sulfide salts, garlic-derived sulfur compounds, and synthetic molecules with specific release mechanisms. These donors have potential therapeutic value, as they can modulate H2S levels in the body and may contribute to treatments for complex pathological conditions, such as inflammatory-based diseases, cancer, metabolic, cardiovascular, and neurodegenerative disorders.
In recent years, hybrid compounds that combine H2S donor moieties with native drugs have gained significant attention due to their potential therapeutic applications.
One of the key advantages of the H2S-donating compounds is their ability to enhance the efficacy of native drugs by additional pharmacological actions attributed to H2S. By incorporating an H2S donor into a native drug, researchers have been able to simultaneously target multiple therapeutic pathways, resulting in improved treatment outcomes.
Notably, some developed H2S-releasing compounds are currently being evaluated in clinical trials for their therapeutic potential. Among them, noteworthy examples are reported in Figure 24 and include GIC-1001 from GIcare Pharma Inc., which is an H2S releasing trimebutine maleate salt, offering an alternative to traditional sedatives during colonoscopy procedures [122]; ATB-346 by Antibe Therapeutics, recognized for its anti-inflammatory properties [40] and recently included in phase II study targeting osteoarthritis-related pain; SG-1002 [123] by SulfaGENIX, which is under investigation (ClinicalTrials.gov NCT01989208) for its potential to elevate circulating levels of H2S and nitric oxide (NO) following heart failure and ammonium tetrathiomolybdate (ATTM) [124], which has undergone clinical trials for breast cancer treatment due to its ability to deplete copper.
Figure 24.
Chemical structures of H2S-donating molecules in clinical trials.
Despite many advances in this field and great strides toward multi-target H2S donors, there are still some limitations to this application.
A number of issues remain to be addressed, including the rapid release of H2S and fast metabolism in vivo, the capacity of H2S-related chemicals to target specifically their sites of action or to pass through the blood-brain barrier (BBB), and the optimization of laboratory techniques for measuring H2S levels in tissues or cells.
Therefore, while the development of hybrid compounds that combine H2S donors with native drugs represents a promising approach in drug discovery, further research is needed to optimize the design and delivery of these hybrid compounds for safe and effective clinical applications.
In conclusion, by summarizing the numerous H2S-donating molecules already developed and studied in different complex diseases, this review can enlighten researchers and lead them to develop new, increasingly effective, and promising hybrids.
Author Contributions
Conceptualization, A.C., G.C. and B.S.; resources, A.C., A.S., F.F., E.P. and B.S.; writing—original draft preparation, A.C., A.S. and B.S.; writing—review and editing, A.C., F.F., E.P. and B.S.; supervision, A.C., V.S. and G.C. All authors have read and agreed to the published version of the manuscript.
Funding
This research received no external funding.
Conflicts of Interest
The authors declare no conflict of interest.
References
- Ramsay, R.R.; Popovic-Nikolic, M.R.; Nikolic, K.; Uliassi, E.; Bolognesi, M.L. A perspective on multi-target drug discovery and design for complex diseases. Clin. Transl. Med. 2018, 7, 3. [Google Scholar] [CrossRef] [PubMed]
- De Freitas Silva, M.; Dias, K.S.T.; Gontijo, V.S.; Ortiz, C.J.C.; Viegas, C., Jr. Multi-Target Directed Drugs as a Modern Approach for Drug Design Towards Alzheimer’s Disease: An Update. Curr. Med. Chem. 2018, 25, 3491–3525. [Google Scholar] [CrossRef] [PubMed]
- Morphy, R.; Rankovic, Z. Designed multiple ligands. An emerging drug discovery paradigm. J. Med. Chem. 2005, 48, 6523–6543. [Google Scholar] [CrossRef] [PubMed]
- Viegas-Junior, C.; Danuello, A.; da Silva Bolzani, V.; Barreiro, E.J.; Fraga, C.A.M. Molecular hybridization: A useful tool in the design of new drug prototypes. Curr. Med. Chem. 2007, 14, 1829–1852. [Google Scholar] [CrossRef] [PubMed]
- Bolognesi, M.L. Polypharmacology in a single drug: Multitarget drugs. Curr. Med. Chem. 2013, 20, 1639–1645. [Google Scholar] [CrossRef] [PubMed]
- Bolognesi, M.L.; Cavalli, A. Multitarget drug discovery and polypharmacology. Chem. Med. Chem. 2016, 11, 1190–1192. [Google Scholar] [CrossRef] [PubMed]
- Abe, K.; Kimura, H. The possible role of hydrogen sulfide as an endogenous neuromodulator. J. Neurosci. 1996, 16, 1066–1071. [Google Scholar] [CrossRef] [PubMed]
- Kabil, O.; Banerjee, R. Redox Biochemistry of Hydrogen Sulfide. J. Biol. Chem. 2010, 285, 21903–21907. [Google Scholar] [CrossRef] [PubMed]
- Kimura, H. Hydrogen sulfide: Its production and functions. Exp. Physiol. 2011, 96, 833–835. [Google Scholar] [CrossRef]
- Reiffenstein, R.J.; Hulbert, W.C.; Roth, S.H. Toxicology of hydrogen sulfide. Annu. Rev. Pharmacol. 1992, 32, 109–134. [Google Scholar] [CrossRef]
- Szabo, C. A timeline of hydrogen sulfide (H2S) research: From environmental toxin to biological mediator. Biochem. Pharmacol. 2018, 149, 5–19. [Google Scholar] [CrossRef]
- Cirino, G.; Szabo, C.; Papapetropoulos, A. Physiological roles of hydrogen sulfide in mammalian cells, tissues, and organs. Physiol. Rev. 2023, 103, 31–276. [Google Scholar] [CrossRef]
- Andrés, C.M.C.; Pérez de la Lastra, J.M.; Andrés Juan, C.; Plou, F.J.; Pérez-Lebeña, E. Chemistry of Hydrogen Sulfide-Pathological and Physiological Functions in Mammalian Cells. Cells 2023, 12, 2684. [Google Scholar] [CrossRef] [PubMed]
- Szabo, C.; Papapetropoulos, A. International union of basic and clinical pharmacology. CII: Pharmacological modulation of H2S levels: H2S donors and H2S biosynthesis inhibitors. Pharmacol. Rev. 2017, 69, 497–564. [Google Scholar] [CrossRef] [PubMed]
- Petrosino, M.; Zuhra, K.; Kopec, J.; Hutchin, A.; Szabo, C.; Majtan, T. H2S biogenesis by cystathionine beta-synthase: Mechanism of inhibition by aminooxyacetic acid and unexpected role of serine. Cell. Mol. Life Sci. 2022, 79, 438. [Google Scholar] [CrossRef]
- Corvino, A.; Severino, B.; Fiorino, F.; Frecentese, F.; Magli, E.; Perissutti, E.; Santagada, V.; Bucci, M.; Cirino, G.; Kelly, G.; et al. Fragment-based de novo design of a cystathionine γ-lyase selective inhibitor blocking hydrogen sulfide production. Sci. Rep. 2016, 6, 34398. [Google Scholar] [CrossRef]
- Hughes, M.N.; Centelles, M.N.; Moore, K.P. Making and Working with Hydrogen Sulfide. Free. Radic. Biol. Med. 2009, 47, 1346–1353. [Google Scholar] [CrossRef] [PubMed]
- Li, L.; Whiteman, M.; Guan, Y.Y.; Neo, K.L.; Cheng, Y.; Lee, S.W.; Zhao, Y.; Baskar, R.; Tan, C.H.; Moore, P.K. Characterization of a novel, water-soluble hydrogen sulfide-releasing molecule (GYY4137): New insights into the biology of hydrogen sulfide. Circulation 2008, 117, 2351–2360. [Google Scholar] [CrossRef]
- Zanatta, S.D.; Jarrott, B.; Williams, S.J. Synthesis and Preliminary Pharmacological Evaluation of Aryl Dithiolethiones with Cyclooxygenase-2-Selective Inhibitory Activity and Hydrogen Sulfide-Releasing Properties. Aust. J. Chem. 2010, 63, 946–957. [Google Scholar] [CrossRef]
- Martelli, A.; Testai, L.; Citi, V.; Marino, A.; Pugliesi, I.; Barresi, E.; Nesi, G.; Rapposelli, S.; Taliani, S.; Da Settimo, F.; et al. Arylthioamides as H2S Donors: L-Cysteine-Activated Releasing Properties and Vascular Effects in Vitro and in Vivo. ACS Med. Chem. Lett. 2013, 4, 904–908. [Google Scholar] [CrossRef]
- Zhao, Y.; Yang, C.; Organ, C.; Li, Z.; Bhushan, S.; Otsuka, H.; Pacheco, A.; Kang, J.; Aguilar, H.C.; Lefer, D.J. Design, Synthesis, and Cardioprotective Effects of N-Mercapto-Based Hydrogen Sulfide Donors. J. Med. Chem. 2015, 58, 7501–7511. [Google Scholar] [CrossRef]
- Foster, J.C.; Powell, C.R.; Radzinski, S.C.; Matson, J.B. S-aroylthiooximes: A facile route to hydrogen sulfide releasing compounds with structure-dependent release kinetics. Org. Lett. 2014, 16, 1558–1561. [Google Scholar] [CrossRef]
- Severino, B.; Corvino, A.; Fiorino, F.; Luciano, P.; Frecentese, F.; Magli, E.; Saccone, I.; Di Vaio, P.; Citi, V.; Calderone, V. 1,2,4-Thiadiazolidin-3,5-diones as Novel Hydrogen Sulfide Donors. Eur. J. Med. Chem. 2018, 143, 1677–1686. [Google Scholar] [CrossRef]
- Ercolano, G.; De Cicco, P.; Frecentese, F.; Saccone, I.; Corvino, A.; Giordano, F.; Magli, E.; Fiorino, F.; Severino, B.; Calderone, V.; et al. Anti-metastatic Properties of Naproxen-HBTA in a Murine Model of Cutaneous Melanoma. Front. Pharmacol. 2019, 10, 213. [Google Scholar] [CrossRef]
- Citi, V.; Martelli, A.; Testai, L.; Marino, A.; Breschi, M.C.; Calderone, V. Hydrogen Sulfide Releasing Capacity of Natural Isothiocyanates: Is It a Reliable Explanation for the Multiple Biological Effects of Brassicaceae? Planta Med. 2014, 80, 610–613. [Google Scholar] [CrossRef] [PubMed]
- Citi, V.; Corvino, A.; Fiorino, F.; Frecentese, F.; Magli, E.; Perissutti, E.; Santagada, V.; Brogi, S.; Flori, L.; Gorica, E. Structure-Activity Relationships Study of Isothiocyanates for H2S Releasing Properties: 3-Pyridyl-Isothiocyanate as a New Promising Cardioprotective Agent. J. Adv. Res. 2021, 27, 41–53. [Google Scholar] [CrossRef] [PubMed]
- Zhao, Y.; Wang, Y.; Xu, Q.; Zhou, K.; Shen, Y.; Guo, Y.; Liu, H.; Ren, Z.; Jiang, Z. Hydrogen sulfide donors across time: From origins to cutting-edge applications. Nitric Oxide 2024, 144, 29–39. [Google Scholar] [CrossRef]
- Han, N.R.; Ko, S.G.; Park, H.J.; Moon, P.D. Hydrogen sulfide downregulates oncostatin M expression via PI3K/akt/NF-κB signaling processes in neutrophil-like differentiated HL-60 cells. Antioxidants 2023, 12, 417. [Google Scholar] [CrossRef] [PubMed]
- Khattak, S.; Rauf, M.A.; Khan, N.H.; Zhang, Q.Q.; Chen, H.J.; Muhammad, P.; Ansari, M.A.; Alomary, M.N.; Jahangir, M.; Zhang, C.Y.; et al. Hydrogen Sulfide Biology and Its Role in Cancer. Molecules 2022, 27, 3389. [Google Scholar] [CrossRef]
- Zhang, C.H.; Jiang, Z.L.; Meng, Y.; Yang, W.Y.; Zhang, X.Y.; Zhang, Y.X.; Khattak, S.; Ji, X.Y.; Wu, D.D. Hydrogen sulfide and its donors: Novel antitumor and antimetastatic agents for liver cancer. Cell Signal. 2023, 106, 110628. [Google Scholar] [CrossRef]
- Corvino, A.; Frecentese, F.; Magli, E.; Perissutti, E.; Santagada, V.; Scognamiglio, A.; Caliendo, G.; Fiorino, F.; Severino, B. Trends in H2S-Donors Chemistry and Their Effects in Cardiovascular Diseases. Antioxid. 2021, 10, 429. [Google Scholar] [CrossRef] [PubMed]
- Wang, R. Roles of hydrogen sulfide in hypertension development and its complications: What, so what, now what. Hypertension 2023, 80, 936–944. [Google Scholar] [CrossRef] [PubMed]
- Karunakaran, U.; Elumalai, S.; Chung, S.M.; Maedler, K.; Won, K.C.; Moon, J.S. Mitochondrial aldehyde dehydrogenase-2 coordinates the hydrogen sulfide—AMPK axis to attenuate high glucose-induced pancreatic β-cell dysfunction by glutathione antioxidant system. Redox Biol. 2024, 69, 102994. [Google Scholar] [CrossRef] [PubMed]
- Sharif, A.H.; Iqbal, M.; Manhoosh, B.; Gholampoor, N.; Ma, D.; Marwah, M.; Sanchez-Aranguren, L. Hydrogen Sulphide-Based Therapeutics for Neurological Conditions: Perspectives and Challenges. Neurochem. Res. 2023, 48, 1981–1996. [Google Scholar] [CrossRef] [PubMed]
- Caliendo, G.; Cirino, G.; Santagada, V.; Wallace, J.L. Synthesis and biological effects of hydrogen sulfide (H2S): Development of H2S-releasing drugs as pharmaceuticals. J. Med. Chem. 2010, 53, 6275–6286. [Google Scholar] [CrossRef] [PubMed]
- Sestito, S.; Nesi, G.; Pi, R.; Macchia, M.; Rapposelli, S. Hydrogen Sulfide: A Worthwhile Tool in the Design of New Multitarget Drugs. Front. Chem. 2017, 5, 72. [Google Scholar] [CrossRef]
- Ngowi, E.E.; Afza, A.; Sarfraz, M.; Khattak, S.; Zaman, S.U.; Khan, N.H.; Li, T.; Jiang, Q.Y.; Zhang, X.; Duan, S.F.; et al. Role of hydrogen sulfide donors in cancer development and progression. Int. J. Biol. Sci. 2021, 17, 73–88. [Google Scholar] [CrossRef] [PubMed]
- Munteanu, C.; Rotariu, M.; Turnea, M.; Dogaru, G.; Popescu, C.; Spînu, A.; Andone, I.; Postoiu, R.; Ionescu, E.V.; Oprea, C.; et al. Recent Advances in Molecular Research on Hydrogen Sulfide (H2S) Role in Diabetes Mellitus (DM)—A Systematic Review. Int. J. Mol. Sci. 2022, 23, 6720. [Google Scholar] [CrossRef]
- Magli, E.; Perissutti, E.; Santagada, V.; Caliendo, G.; Corvino, A.; Esposito, G.; Esposito, G.; Fiorino, F.; Migliaccio, M.; Scognamiglio, A.; et al. H2S Donors and Their Use in Medicinal Chemistry. Biomolecules 2021, 11, 1899. [Google Scholar] [CrossRef]
- Wallace, J.L.; Caliendo, G.; Santagada, V.; Cirino, G. Markedly reduced toxicity of a hydrogen sulphide-releasing derivative of naproxen (ATB-346). Br. J. Pharmacol. 2010, 159, 1236–1246. [Google Scholar] [CrossRef]
- Herrera, B.S.; Coimbra, L.S.; da Silva, A.R.; Teixeira, S.A.; Costa, S.K.; Wallace, J.L.; Spolidorio, L.C.; Muscara, M.N. The H2S-releasing naproxen derivative, ATB-346, inhibits alveolar bone loss and inflammation in rats with ligature-induced periodontitis. Med. Gas. Res. 2015, 5, 4. [Google Scholar] [CrossRef] [PubMed]
- Van Dingenen, J.; Pieters, L.; Vral, A.; Lefebvre, R.A. The H2S-Releasing Naproxen Derivative ATB-346 and the Slow-Release H2S Donor GYY4137 Reduce Intestinal Inflammation and Restore Transit in Postoperative Ileus. Front. Pharmacol. 2019, 10, 116. [Google Scholar] [CrossRef] [PubMed]
- Liu, L.; Cui, J.; Song, C.J.; Bian, J.S.; Sparatore, A.; Soldato, P.D.; Wang, X.Y.; Yan, C.D. H2S-releasing aspirin protects against aspirin-induced gastric injury via reducing oxidative stress. PLoS ONE 2012, 7, 46301. [Google Scholar]
- Chattopadhyay, M.; Kodela, R.; Nath, N.; Barsegian, A.; Boring, D.; Kashfi, K. Hydrogen sulfide-releasing aspirin suppresses NF-kappaB signaling in estrogen receptor negative breast cancer cells in vitro and in vivo. Biochem. Pharmacol. 2012, 83, 723–732. [Google Scholar] [CrossRef] [PubMed]
- Chattopadhyay, M.; Nath, N.; Kodela, R.; Sobocki, T.; Metkar, S.; Gan, Z.Y.; Kashfi, K. Hydrogen sulfide-releasing aspirin inhibits the growth of leukemic Jurkat cells and modulates beta-catenin expression. Leuk. Res. 2013, 37, 1302–1308. [Google Scholar] [CrossRef] [PubMed]
- Sparatore, A.; Perrino, E.; Tazzari, V.; Giustarini, D.; Rossi, R.; Rossoni, G.; Erdmann, K.; Schröder, H.; Del Soldato, P. Pharmacological profile of a novel H2S-releasing aspirin. Free Radic. Biol. Med. 2009, 46, 586–592. [Google Scholar] [CrossRef] [PubMed]
- Sun, H.Z.; Zheng, S.; Lu, K.; Hou, F.T.; Bi, J.X.; Liu, X.L.; Wang, S.S. Hydrogen sulfide attenuates gastric mucosal injury induced by restraint water-immersion stress via activation of KATP channel and NF-κB dependent pathway. World J. Gastroenterol. 2017, 23, 87–92. [Google Scholar] [CrossRef] [PubMed]
- Distrutti, E.; Sediari, L.; Mencarelli, A.; Renga, B.; Orlandi, S.; Russo, G.; Caliendo, G.; Santagada, V.; Cirino, G.; Wallace, J.L.; et al. 5-Amino-2-hydroxybenzoic acid 4-(5-thioxo-5H-[1,2]dithiol-3yl)-phenyl ester (ATB-429), a hydrogen sulfide-releasing derivative of mesalamine, exerts antinociceptive effects in a model of postinflammatory hypersensitivity. J. Pharmacol. Exp. Ther. 2006, 319, 447–458. [Google Scholar] [CrossRef]
- Wallace, J.L.; Caliendo, G.; Santagada, V.; Cirino, G.; Fiorucci, S. Gastrointestinal safety and anti-inflammatory effects of a hydrogen sulfide-releasing diclofenac derivative in the rat. Gastroenterology 2007, 132, 261–271. [Google Scholar] [CrossRef]
- Rossoni, G.; Sparatore, A.; Tazzari, V.; Manfredi, B.; Del Soldato, P.; Berti, F. The hydrogen sulphide-releasing derivative of diclofenac protects against ischaemia-reperfusion injury in the isolated rabbit heart. Br. J. Pharmacol. 2008, 153, 100–109. [Google Scholar] [CrossRef]
- Gemici, B.; Elsheikh, W.; Feitosa, K.B.; Costa, S.K.; Muscara, M.N.; Wallace, J.L. H2S-releasing drugs: Anti-inflammatory, cytoprotective and chemopreventative potential. Nitric Oxide. 2015, 46, 25–31. [Google Scholar] [CrossRef] [PubMed]
- Kodela, R.; Chattopadhyay, M.; Kashfi, K. NOSH-Aspirin: A Novel Nitric Oxide-Hydrogen Sulfide-Releasing Hybrid: A New Class of Anti-inflammatory Pharmaceuticals. ACS Med. Chem. Lett. 2012, 3, 257–262. [Google Scholar] [CrossRef] [PubMed]
- Chattopadhyay, M.; Kodela, R.; Olson, K.R.; Kashfi, K. NOSH-aspirin (NBS-1120), a novel nitric oxide- and hydrogen sulfide-releasing hybrid is a potent inhibitor of colon cancer cell growth in vitro and in a xenograft mouse model. Biochem. Biophys. Res. Commun. 2012, 419, 523–528. [Google Scholar] [CrossRef] [PubMed]
- Wang, C.; Xia, G.; Liu, X.; Zhang, R.; Chai, Y.; Zhang, J.; Li, X.; Yang, Y.; Wang, J.; Liu, M. Synthesis and antitumor activity of ATB-429 derivatives containing a nitric oxide-releasing moiety. Bioorg. Med. Chem. Lett. 2016, 26, 2355–2359. [Google Scholar] [CrossRef] [PubMed]
- Kodela, R.; Chattopadhyay, M.; Kashfi, K. Synthesis and biological activity of NOSH-naproxen (AVT-219) and NOSH-sulindac (AVT-18A) as potent anti-inflammatory agents with chemotherapeutic potential. Med. Chem. Comm. 2013, 4, 1472–1481. [Google Scholar] [CrossRef] [PubMed]
- Kashfi, K.; Chattopadhyay, M.; Kodela, R. NOSH-sulindac (AVT-18A) is a novel nitric oxide- and hydrogen sulfide-releasing hybrid that is gastrointestinal safe and has potent anti-inflammatory, analgesic, antipyretic, anti-platelet, and anti-cancer properties. Redox Biol. 2015, 6, 287–296. [Google Scholar] [CrossRef] [PubMed]
- Liu, D.; Ahmet, A.; Ward, L.; Krishnamoorthy, P.; Mandelcorn, E.D.; Leigh, R.; Brown, J.P.; Cohen, A.; Kim, H. A practical guide to the monitoring and management of the complications of systemic corticosteroid therapy. Allergy Asthma Clin. Immunol. 2013, 9, 30. [Google Scholar] [CrossRef] [PubMed]
- Patt, H.; Bandgar, T.; Lila, A.; Shah, N. Management issues with exogenous steroid therapy. Indian J. Endocrinol. Metab. 2013, 17, S612–S617. [Google Scholar] [PubMed]
- Benetti, L.R.; Campos, D.; Gurgueira, S.A.; Vercesi, A.E.; Guedes, C.; Santos, K.L.; Wallace, J.; Simone, T.; Florenzano, J.; Costa, S.; et al. Hydrogen sulfide inhibits oxidative stress in lungs from allergic mice in vivo. Eur. J. Pharmacol. 2013, 698, 463–469. [Google Scholar] [CrossRef]
- Chen, Y.; Wu, R.; Geng, B.; Qi, Y.; Wang, P.; Yao, W.; Tang, C. Endogenous hydrogen sulfide reduces airway inflammation and remodeling in a rat model of asthma. Cytokine 2009, 45, 117–123. [Google Scholar] [CrossRef]
- Coavoy-Sánchez, S.A.; Costa, S.K.P.; Muscará, M.N. Hydrogen Sulfide and Dermatological Diseases. Br. J. Pharmacol. 2020, 177, 857–865. [Google Scholar] [CrossRef] [PubMed]
- Giordano, F.; Corvino, A.; Scognamiglio, A.; Citi, V.; Gorica, E.; Fattorusso, C.; Persico, M.; Caliendo, G.; Fiorino, F.; Magli, E.; et al. Hybrids between H2S-donors and betamethasone 17-valerate or triamcinolone acetonide inhibit mast cell degranulation and promote hyperpolarization of bronchial smooth muscle cells. Eur. J. Med. Chem. 2021, 221, 113517. [Google Scholar] [CrossRef]
- Corvino, A.; Citi, V.; Fiorino, F.; Frecentese, F.; Magli, E.; Perissutti, E.; Santagada, V.; Calderone, V.; Martelli, A.; Gorica, E.; et al. H2S donating corticosteroids: Design, synthesis and biological evaluation in a murine model of asthma. J. Adv. Res. 2021, 35, 267–277. [Google Scholar] [CrossRef] [PubMed]
- Cerqua, I.; Granato, E.; Corvino, A.; Severino, B.; D’Avino, D.; Simonelli, M.; Perissutti, E.; Scognamiglio, A.; Mirra, D.; D’Agostino, B.; et al. Prednisone-hydrogen sulfide releasing hybrid shows improved therapeutic profile in asthma. Front. Pharmacol. 2023, 14, 1266934. [Google Scholar] [CrossRef]
- Coavoy-Sánchez, S.A.; Cerqueira, A.R.A.; Teixeira, S.A.; Santagada, V.; Andreozzi, G.; Corvino, A.; Scognamiglio, A.; Sparaco, R.; Caliendo, G.; Severino, B.; et al. Beneficial Effects of Two Hydrogen Sulfide (H2S)-Releasing Derivatives of Dexamethasone with Antioxidant Activity on Atopic Dermatitis in Mice. Pharmaceutics 2023, 15, 1907. [Google Scholar] [CrossRef]
- Chegaev, K.; Rolando, B.; Cortese, D.; Gazzano, E.; Buondonno, I.; Lazzarato, L.; Fanelli, M.; Hattinger, C.M.; Serra, M.; Riganti, C.; et al. H2S-Donating Doxorubicins May Overcome Cardiotoxicity and Multidrug Resistance. J. Med. Chem. 2016, 59, 4881–4889. [Google Scholar] [CrossRef]
- Ilie, M.A.; Caruntu, C.; Tampa, M.; Georgescu, S.R.; Matei, C.; Negrei, C.; Ion, R.M.; Constantin, C.; Neagu, M.; Boda, D. Capsaicin: Physicochemical properties, cutaneous reactions and potential applications in painful and inflammatory conditions. Exp. Ther. Med. 2019, 18, 916–925. [Google Scholar] [CrossRef] [PubMed]
- Chapa-Oliver, A.M.; Mejía-Teniente, L. Capsaicin: From Plants to a Cancer-Suppressing Agent. Molecules 2016, 21, 931. [Google Scholar] [CrossRef]
- Gao, M.; Li, J.; Nie, C.; Song, B.; Yan, L.; Qian, H. Design, synthesis and biological evaluation of novel hydrogen sulfide releasing capsaicin derivatives. Bioorg Med. Chem. 2018, 26, 2632–2639. [Google Scholar] [CrossRef]
- Owen, M.R.; Doran, E.; Halestrap, A.P. Evidence that metformin exerts its anti-diabetic effects through inhibition of complex 1 of the mitochondrial respiratory chain. Biochem. J. 2000, 348 Pt 3, 607–614. [Google Scholar] [CrossRef]
- Zhou, G.; Myers, R.; Li, Y.; Chen, Y.; Shen, X.; Fenyk-Melody, J.; Wuk, M.; Ventre, J.; Doebber, T.; Fujii, N.; et al. Role of AMP-activated protein kinase in mechanism of metformin action. J. Clin. Investig. 2001, 108, 1167–1174. [Google Scholar] [CrossRef] [PubMed]
- Kheirandish, M.; Mahboobi, H.; Yazdanparast, M.; Kamal, W.; Kamal, M.A. Anti-cancer effects of metformin: Recent evidences for its role in prevention and treatment of cancer. Curr. Drug Metab. 2018, 19, 793–797. [Google Scholar] [CrossRef] [PubMed]
- Li, H.; Xu, F.; Gao, G.; Gao, X.; Wu, B.; Zheng, C.; Wang, P.; Li, Z.; Hua, H.; Li, D. Hydrogen sulfide and its donors: Novel antitumor and antimetastatic therapies for triple-negative breast cancer. Redox Biol. 2020, 34, 101564. [Google Scholar] [CrossRef] [PubMed]
- Citi, V.; Barresi, E.; Piragine, E.; Spezzini, J.; Testai, L.; Da Settimo, F.; Martelli, A.; Taliani, S.; Calderone, V. Anti-Proliferative Properties of the Novel Hybrid Drug Met-ITC, Composed of the Native Drug Metformin with the Addition of an Isothiocyanate H2S Donor Moiety, in Different Cancer Cell Lines. Int. J. Mol. Sci. 2023, 24, 16131. [Google Scholar] [CrossRef] [PubMed]
- Szczesny, B.; Módis, K.; Yanagi, K.; Coletta, C.; Le Trionnaire, S.; Perry, A.; Wood, M.E.; Whiteman, M.; Szabo, C. AP39, a novel mitochondria-targeted hydrogen sulfide donor, stimulates cellular bioenergetics, exerts cytoprotective effects and protects against the loss of mitochondrial DNA integrity in oxidatively stressed endothelial cells in vitro. Nitric Oxide 2014, 41, 120–130. [Google Scholar] [CrossRef] [PubMed]
- Ikeda, K.; Marutani, E.; Hirai, S.; Wood, M.E.; Whiteman, M.; Ichinose, F. Mitochondria-Targeted Hydrogen Sulfide Donor AP39 Improves Neurological Outcomes after Cardiac Arrest in Mice. Nitric Oxide 2015, 49, 90–96. [Google Scholar] [CrossRef] [PubMed]
- Ahmad, A.; Olah, G.; Szczesny, B.; Wood, M.E.; Whiteman, M.; Szabo, C. AP39, A Mitochondrially Targeted Hydrogen Sulfide Donor, Exerts Protective Effects in Renal Epithelial Cells Subjected to Oxidative Stress in Vitro and in Acute Renal Injury in Vivo. Shock 2016, 45, 88–97. [Google Scholar] [CrossRef] [PubMed]
- Chatzianastasiou, A.; Bibli, S.I.; Andreadou, I.; Efentakis, P.; Kaludercic, N.; Wood, M.E.; Whiteman, M.; Di Lisa, F.; Daiber, A.; Manolopoulos, V.G. Cardioprotection by H2S Donors: Nitric Oxide-Dependent and -Independent Mechanisms. J. Pharmacol. Exp. Ther. 2016, 358, 431–440. [Google Scholar] [CrossRef] [PubMed]
- Karwi, Q.G.; Bornbaum, J.; Boengler, K.; Torregrossa, R.K.; Whiteman, M.; Wood, M.E.; Schulz, R.; Baxter, G.F. AP39, A Mitochondria-Targeting Hydrogen Sulfide (H2S) Donor, Protects against Myocardial Reperfusion Injury Independently of Salvage Kinase Signalling. Br. J. Pharmacol. 2017, 174, 287–301. [Google Scholar] [CrossRef]
- Da Costa Marques, L.A.; Teixeira, S.A.; de Jesus, F.N.; Wood, M.E.; Torregrossa, R.; Whiteman, M.; Costa, S.K.P.; Muscará, M.N. Vasorelaxant Activity of AP39, a Mitochondria-Targeted H2S Donor, on Mouse Mesenteric Artery Rings In Vitro. Biomolecules 2022, 12, 280. [Google Scholar] [CrossRef]
- Zhang, B.; Li, Y.; Liu, N.; Liu, B. AP39, a novel mitochondria-targeted hydrogen sulfide donor ameliorates doxorubicin-induced cardiotoxicity by regulating the AMPK/UCP2 pathway. PLoS ONE 2024, 19, 0300261. [Google Scholar] [CrossRef] [PubMed]
- Lougiakis, N.; Papapetropoulos, A.; Gikas, E.; Toumpas, S.; Efentakis, P.; Wedmann, R.; Zoga, A.; Zhou, Z.; Iliodromitis, E.K.; Skaltsounis, A.L.; et al. Synthesis and Pharmacological Evaluation of Novel Adenine-Hydrogen Sulfide Slow Release Hybrids Designed as Multitarget Cardioprotective Agents. J. Med. Chem. 2016, 59, 1776–1790. [Google Scholar] [CrossRef] [PubMed]
- Muzaffar, S.; Jeremy, J.Y.; Sparatore, A.; Del Soldato, P.; Angelini, G.D.; Shukla, N. H2S-donating sildenafil (ACS6) inhibits superoxide formation and gp91phox expression in arterial endothelial cells: Role of protein kinases A and G. Br. J. Pharmacol. 2008, 155, 984–994. [Google Scholar] [CrossRef] [PubMed]
- Shukla, N.; Rossoni, G.; Hotston, M.; Sparatore, A.; Del Soldato, P.; Tazzari, V.; Persad, R.; Angelini, G.D.; Jeremy, J.Y. Effect of hydrogen sulphide-donating sildenafil (ACS6) on erectile function and oxidative stress in rabbit isolated corpus cavernosum and in hypertensive rats. BJU Int. 2009, 103, 1522–1529. [Google Scholar] [CrossRef] [PubMed]
- Tang, X.Q.; Chen, R.Q.; Ren, Y.K.; Soldato, P.D.; Sparatore, A.; Zhuang, Y.Y.; Fang, H.R.; Wang, C.Y. ACS6, a Hydrogen sulfide-donating derivative of sildenafil, inhibits homocysteine-induced apoptosis by preservation of mitochondrial function. Med. Gas Res. 2011, 1, 20. [Google Scholar] [CrossRef] [PubMed]
- Tang, X.Q.; Chen, R.Q.; Dong, L.; Ren, Y.K.; Del Soldato, P.; Sparatore, A.; Liao, D.F. Role of Paraoxonase-1 in the Protection of Hydrogen Sulfide-Donating Sildenafil (ACS6) Against Homocysteine-Induced Neurotoxicity. J. Mol. Neurosci. 2013, 50, 70–77. [Google Scholar] [CrossRef] [PubMed]
- Allocco, A.R.; Ponce, J.A.; Riera, M.J.; Magurno, M.G. Critical pathway for primary open angle glaucoma diagnosis. Int. J. Ophthalmol. 2017, 10, 968–972. [Google Scholar]
- Huang, S.; Huang, P.; Liu, X.; Lin, Z.; Wang, J.; Xu, S.; Guo, L.; Leung, C.K.-s.; Zhong, Y. Relevant variations and neuroprotecive effect of hydrogen sulfide in a rat glaucoma model. Neuroscience 2017, 341, 27–41. [Google Scholar] [CrossRef] [PubMed]
- Liu, H.; Anders, F.; Thanos, S.; Mann, C.; Liu, A.; Grus, F.H.; Pfeiffer, N.; Prokosch-Willing, V. Hydrogen Sulfide Protects Retinal Ganglion Cells Against Glaucomatous Injury In Vitro and In Vivo. Investig. Ophthalmol. Vis. Sci. 2017, 58, 5129–5141. [Google Scholar] [CrossRef] [PubMed]
- Han, Y.; Shang, Q.; Yao, J.; Ji, Y. Hydrogen sulfide: A gaseous signaling molecule modulates tissue homeostasis: Implications in ophthalmic diseases. Cell Death Dis. 2019, 10, 293. [Google Scholar] [CrossRef]
- Li, P.; Liu, H.; Shi, X.; Prokosch, V. Hydrogen Sulfide: Novel Endogenous and Exogenous Modulator of Oxidative Stress in Retinal Degeneration Diseases. Molecules 2021, 26, 2411. [Google Scholar] [CrossRef] [PubMed]
- Scheid, S.; Goeller, M.; Baar, W.; Wollborn, J.; Buerkle, H.; Schlunck, G.; Lagrèze, W.; Goebel, U.; Ulbrich, F. Hydrogen Sulfide Reduces Ischemia and Reperfusion Injury in Neuronal Cells in a Dose- and Time-Dependent Manner. Int. J. Mol. Sci. 2021, 22, 10099. [Google Scholar] [CrossRef]
- Perrino, E.; Uliva, C.; Lanzi, C.; Soldato, P.D.; Masini, E.; Sparatore, A. New prostaglandin derivative for glaucoma treatment. Bioorg. Med. Chem. Lett. 2009, 19, 1639–1642. [Google Scholar] [CrossRef]
- Osborne, N.N.; Ji, D.; Abdul Majid, A.S.; Fawcett, R.J.; Sparatore, A.; Del Soldato, P. ACS67, a hydrogen sulfide-releasing derivative of latanoprost acid, attenuates retinal ischemia and oxidative stress to RGC-5 cells in culture. Invest. Ophthalmol. Vis. Sci. 2010, 51, 284–294. [Google Scholar] [CrossRef] [PubMed]
- Sparaco, R.; Citi, V.; Magli, E.; Martelli, A.; Piragine, E.; Calderone, V.; Andreozzi, G.; Perissutti, E.; Frecentese, F.; Santagada, V.; et al. Design, Synthesis and Evaluation of Novel Molecular Hybrids between Antiglaucoma Drugs and H2S Donors. Int. J. Mol. Sci. 2022, 23, 13804. [Google Scholar] [CrossRef] [PubMed]
- Kimura, H. Hydrogen sulfide as a neuromodulator. Mol. Neurobiol. 2002, 26, 13–19. [Google Scholar] [CrossRef] [PubMed]
- Zhou, L.; Wang, Q. Advances of H2S in Regulating Neurodegenerative Diseases by Preserving Mitochondria Function. Antioxidants 2023, 12, 652. [Google Scholar] [CrossRef] [PubMed]
- Yang, Y.; Zhao, Y.; Yu, B.; Xu, G.; Wang, W.; Zhan, J.; Tang, Z.; Wang, T.; Wei, B. GluN2B-containing NMDA receptors contribute to the beneficial effects of hydrogen sulfide on cognitive and synaptic plasticity deficits in APP/PS1 transgenic mice. Neuroscience 2016, 335, 170–183. [Google Scholar] [CrossRef]
- Yakovlev, A.; Kurmasheva, E.; Ishchenko, Y.; Giniatullin, R.; Sitdiova, G. Age-dependent, subunit specific action of hydrogen sulfide on GluN1/2A and GluN1/2B NMDA receptors. Front. Cell. Neurosci. 2017, 11, 375. [Google Scholar] [CrossRef] [PubMed]
- Li, Y.L.; Zhou, J.; Zhang, H.; Luo, Y.; Long, L.H.; Hu, Z.L.; Chen, J.G.; Wang, F.; Wu, P.F. Hydrogen Sulfide Promotes Surface Insertion of Hippocampal AMPA Receptor GluR1 Subunit via Phosphorylating at Serine-831/Serine-845 Sites Through a Sulfhydration-Dependent Mechanism. CNS Neurosci. Ther. 2016, 22, 789–798. [Google Scholar] [CrossRef]
- Giovinazzo, D.; Bursac, B.; Sbodio, J.; Nalluru, S.; Vignane, T.; Snowman, A.M.; Albacarys, L.M.; Sedlak, T.W.; Torregrossa, R.; Whiteman, M.; et al. Hydrogen sulfide is neuroprotective in Alzheimer’s disease by Sulfhydrating GSK3β and inhibiting tau hyperphosphorylation. Proc. Natl. Acad. Sci. USA 2021, 118, 2017225118. [Google Scholar] [CrossRef] [PubMed]
- Paul, B.; Sbodio, J.; Xu, R.; Vandiver, M.S.; Cha, J.Y.; Snowman, A.M.; Synder, S.H. Cystathionine γ-lyase deficiency mediates neurodegeneration in Huntington’s disease. Nature 2014, 509, 96–100. [Google Scholar] [CrossRef] [PubMed]
- Paul, B.; Sbodio, J.; Snyder, S.H. Mutant huntingtin derails cysteine metabolism in Huntington’s disease at both transcriptional and post-translational levels. Antioxidants 2022, 11, 1470. [Google Scholar] [CrossRef] [PubMed]
- Lee, M.; Tazzari, V.; Giustarini, D.; Rossi, R.; Sparatore, A.; Del Soldato, P.; McGeer, E.; McGeer, P.L. Effects of hydrogen sulfide releasing L-DOPA derivatives on glial activation: Potential for treating Parkinson disease. J. Biol. Chem. 2010, 285, 17318–17328. [Google Scholar] [CrossRef]
- Xie, L.; Hu, L.F.; Teo, X.Q.; Tiong, C.X.; Tazzari, V.; Sparatore, A.; Del Soldato, P.; Dawe, G.S.; Bian, J. Therapeutic effect of hydrogen sulfide-releasing L-Dopa derivative ACS84 on 6-OHDA-induced Parkinson’s disease rat model. PLoS ONE 2013, 8, 60200. [Google Scholar] [CrossRef] [PubMed]
- Liu, Y.Y.; Sparatore, A.; Del Soldato, P.; Bian, J.S. ACS84, a novel hyrogen sulfide-releasing compound, protects against amyloid beta-induced cell cytotoxicity. Neurochem. Int. 2011, 58, 591–598. [Google Scholar] [CrossRef] [PubMed]
- Rossi, M.; Freschi, M.; De Camargo Nascente, L.; Salerno, A.; De Melo Viana Teixeira, S.; Nachon, F.; Chantegreil, F.; Soukup, O.; Prchal, L.; Malaguti, M.; et al. Sustainable Drug Discovery of Multi-Target-Directed Ligands for Alzheimer’s Disease. J. Med. Chem. 2021, 64, 4972–4990. [Google Scholar] [CrossRef] [PubMed]
- Qu, K.; Chen, C.P.; Halliwell, B.; Moore, P.K.; Wong, P.T. Hydrogen sulfide is a mediator of cerebral ischemic damage. Stroke 2006, 37, 889–893. [Google Scholar] [CrossRef] [PubMed]
- Cheung, N.S.; Peng, N.S.; Chen, M.J.; Moore, P.K.; Whiteman, M. Hydrogen sulfide induced neuronal death occurs via glutamate receptor and is associated with calpain activation and lysosomal rupture in mouse primary cortical neurons. Neuropharmacology 2007, 53, 505–514. [Google Scholar] [CrossRef]
- Chen, M.; Peng, Z.; Manikandan, J.; Melendez, A.J.; Tan, G.; Chung, C.; Li, Q.; Tan, T.M.; Deng, L.W.; Whiteman, M.; et al. Gene profiling reveals hydrogen sulphide recruits death signaling via the N-methyl-D-aspartate receptor identifying commonalities with excitotoxicity. J. Cell. Physiol. 2011, 226, 1308–1322. [Google Scholar] [CrossRef]
- Marutani, E.; Kosugi, S.; Tokuda, K.; Khatri, A.; Nguyen, R.; Atochin, D.N.; Kida, K.; Leyen, V.; Arai, K.; Ichinose, F. A novel hydrogen sulfide-releasing N-methyl-D-aspartate receptor antagonist prevents ischemic neuronal death. J. Biol. Chem. 2012, 287, 32124–32135. [Google Scholar] [CrossRef] [PubMed]
- Sestito, S.; Daniele, S.; Pietrobono, D.; Citi, V.; Bellusci, L.; Chiellini, G.; Calderone, V.; Martini, C.; Rapposelli, S. Memantine prodrug as a new agent for Alzheimer’s Disease. Sci. Rep. 2019, 9, 4612. [Google Scholar] [CrossRef] [PubMed]
- Cheng, X.J.; Gu, J.X.; Pang, Y.P.; Liu, J.; Xu, T.; Li, X.R.; Hua, Y.Z.; Newell, K.A.; Huang, X.F.; Yu, Y.; et al. Tacrine-Hydrogen Sulfide Donor Hybrid Ameliorates Cognitive Impairment in the Aluminum Chloride Mouse Model of Alzheimer’s Disease. ACS Chem. Neurosci. 2019, 10, 3500–3509. [Google Scholar] [CrossRef] [PubMed]
- Polinsky, R.J. Clinical pharmacology of rivastigmine: A new-generation acetylcholinesterase inhibitor for the treatment of Alzheimer’s disease. Clin. Ther. 1998, 20, 634–647. [Google Scholar] [CrossRef] [PubMed]
- Sestito, S.; Pruccoli, L.; Runfola, M.; Citi, M.; Martelli, A.; Saccomanni, G.; Calderone, V.; Tarozzi, A.; Rapposelli, S. Design and synthesis of H2S-donor hybrids: A new treatment for Alzheimer’s disease? Eur. J. Med. Chem. 2019, 184, 111745. [Google Scholar] [CrossRef] [PubMed]
- Egea, J.; Buendia, I.; Parada, E.; Navarro, E.; Rada, P.; Cuadrado, A.; López, M.G.; García, A.G.; León, R. Melatonin-sulforaphane hybrid ITH12674 induces neuroprotection in oxidative stress conditions by a ‘drug-prodrug’ mechanism of action. Br. J. Pharmacol. 2015, 172, 1807–1821. [Google Scholar] [CrossRef]
- Michalska, P.; Buendia, I.; Duarte, P.; Fernandez Mendivil, C.; Negredo, P.; Cuadrado, A.; López, M.G.; Leon, R. Melatonin-sulforaphane hybrid ITH12674 attenuates glial response in vivo by blocking LPS binding to MD2 and receptor oligomerization. Pharmacol. Res. 2020, 152, 104597. [Google Scholar] [CrossRef]
- Barnsley, J.; Buckland, G.; Chan, P.E.; Ong, A.; Ramos, A.S.; Baxter, M.; Laskou, F.; Dennison, E.M.; Cooper, C.; Patel, H.P. Pathophysiology and treatment of osteoporosis: Challenges for clinical practice in older people. Aging Clin. Exp. Res. 2021, 33, 759–773. [Google Scholar] [CrossRef] [PubMed]
- Clark, G.R.; Duncan, E.L. The genetics of osteoporosis. Br. Med. Bull. 2015, 113, 73–81. [Google Scholar] [CrossRef] [PubMed]
- Hao, Y.; Wang, H.; Fang, L.; Bian, J.; Gao, Y.; Li, C. H2S Donor and Bone Metabolism. Front. Pharmacol. 2021, 12, 661601. [Google Scholar] [CrossRef]
- Rapposelli, S.; Gambari, L.; Digiacomo, M.; Citi, V.; Lisignoli, G.; Manferdini, C.; Calderone, V.; Grassi, F. A Novel H2S-releasing Amino-Bisphosphonate which combines bone anti-catabolic and anabolic functions. Sci. Rep. 2017, 7, 11940. [Google Scholar] [CrossRef] [PubMed]
- Cenac, N.; Castro, M.; Desormeaux, C.; Colin, P.; Sie, M.; Ranger, M.; Vergnolle, N. A novel orally administered trimebutine compound (GIC-1001) is anti-nociceptive and features peripheral opioid agonistic activity and Hydrogen Sulphide-releasing capacity in mice. Eur. J. Pain 2016, 20, 723–730. [Google Scholar] [CrossRef] [PubMed]
- Polhemus, D.J.; Li, Z.; Pattillo, C.B.; Gojon, G., Sr.; Gojon, G., Jr.; Giordano, T.; Krum, H. A novel hydrogen sulfide prodrug, SG1002, promotes hydrogen sulfide and nitric oxide bioavailability in heart failure patients. Cardiovasc. Ther. 2015, 33, 216–226. [Google Scholar] [CrossRef] [PubMed]
- Xu, S.; Yang, C.T.; Meng, F.H.; Pacheco, A.; Chen, L.; Xian, M. Ammonium tetrathiomolybdate as a water-soluble and slow-release hydrogen sulfide donor. Bioorg. Med. Chem. Lett. 2016, 26, 1585–1588. [Google Scholar] [CrossRef]
Disclaimer/Publisher’s Note: The statements, opinions and data contained in all publications are solely those of the individual author(s) and contributor(s) and not of MDPI and/or the editor(s). MDPI and/or the editor(s) disclaim responsibility for any injury to people or property resulting from any ideas, methods, instructions or products referred to in the content. |
© 2024 by the authors. Licensee MDPI, Basel, Switzerland. This article is an open access article distributed under the terms and conditions of the Creative Commons Attribution (CC BY) license (https://creativecommons.org/licenses/by/4.0/).























