Determining the Affinity and Kinetics of Small Molecule Inhibitors of Galectin-1 Using Surface Plasmon Resonance
Abstract
1. Introduction
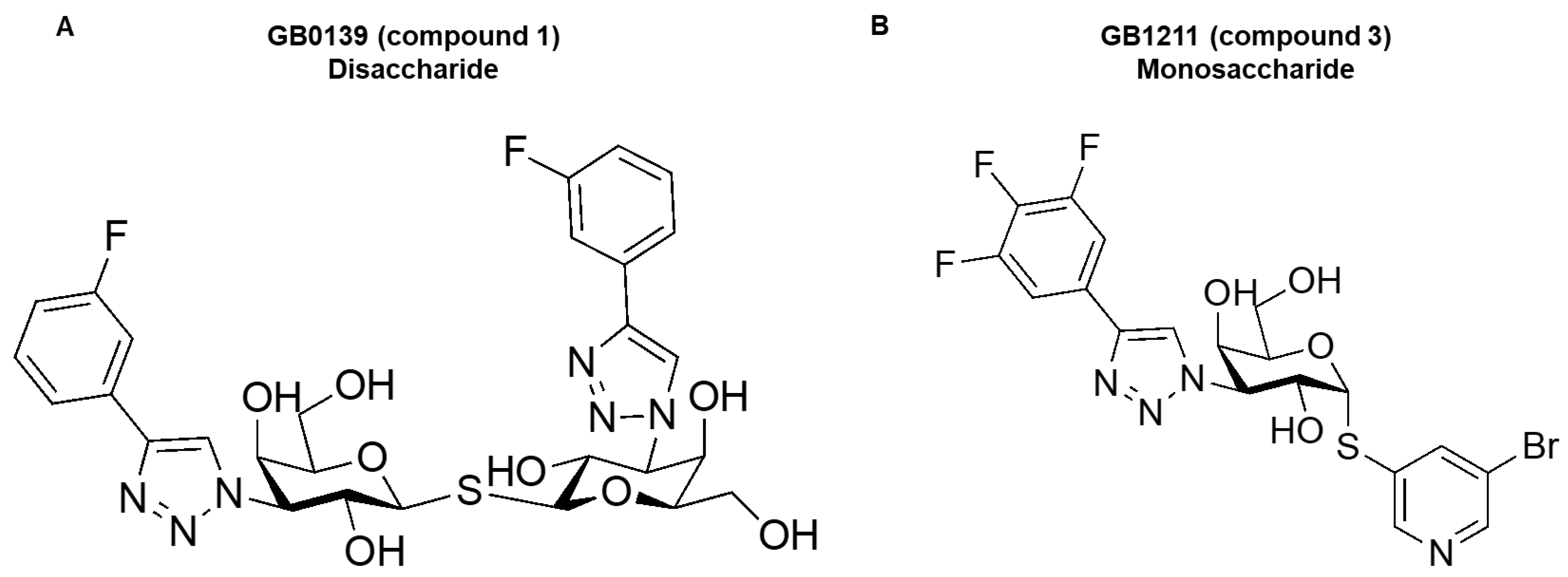
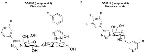
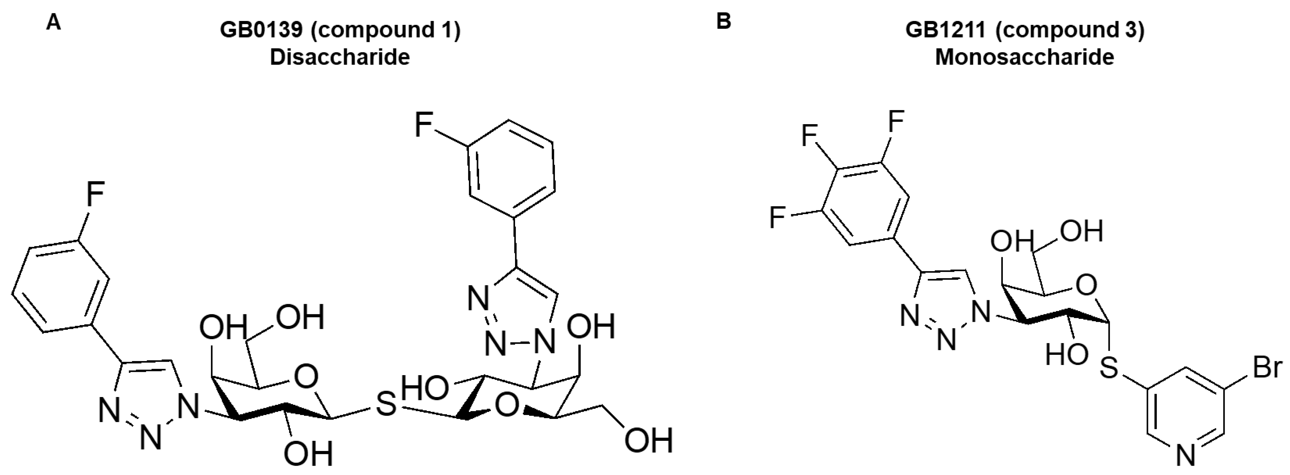
2. Results
3. Discussion
4. Materials and Methods
4.1. Materials
4.2. Protein Generation
4.3. Surface Plasmon Resonance (SPR) Binding Assays
4.4. Fluorescence Polarization Binding Assays
4.5. Data Analysis
Supplementary Materials
Author Contributions
Funding
Institutional Review Board Statement
Informed Consent Statement
Data Availability Statement
Acknowledgments
Conflicts of Interest
References
- Troncoso, M.F.; Elola, M.T.; Blidner, A.G.; Sarrias, L.; Espelt, M.V.; Rabinovich, G.A. The universe of galectin-binding partners and their functions in health and disease. J. Biol. Chem. 2023, 299, 105400. [Google Scholar] [CrossRef] [PubMed]
- Yang, R.-Y.; Rabinovich, G.A.; Liu, F.-T. Galectins: Structure, function and therapeutic potential. Expert Rev. Mol. Med. 2008, 10, e17. [Google Scholar] [CrossRef] [PubMed]
- Liu, F.-T.; Rabinovich, G.A. Galectins as modulators of tumour progression. Nat. Rev. Cancer 2005, 5, nrc1527. [Google Scholar] [CrossRef] [PubMed]
- Mariño, K.V.; Cagnoni, A.J.; Croci, D.O.; Rabinovich, G.A. Targeting galectin-driven regulatory circuits in cancer and fibrosis. Nat. Rev. Drug Discov. 2023, 22, 295–316. [Google Scholar] [CrossRef] [PubMed]
- Li, C.-H.; Chang, Y.-C.; Chan, M.-H.; Yang, Y.-F.; Liang, S.-M.; Hsiao, M. Galectins in Cancer and the Microenvironment: Functional Roles, Therapeutic Developments, and Perspectives. Biomedicines 2021, 9, 1159. [Google Scholar] [CrossRef] [PubMed]
- Bouffette, S.; Botez, I.; Ceuninck, F.D. Targeting galectin-3 in inflammatory and fibrotic diseases. Trends Pharmacol. Sci. 2023, 44, 519–531. [Google Scholar] [CrossRef] [PubMed]
- Bannoud, N.; Stupirski, J.C.; Cagnoni, A.J.; Hockl, P.F.; Sáez, J.M.P.; García, P.A.; Mahmoud, Y.D.; Tudela, J.G.; Scheidegger, M.A.; Marshall, A.; et al. Circulating galectin-1 delineates response to bevacizumab in melanoma patients and reprograms endothelial cell biology. Proc. Natl. Acad. Sci. USA 2023, 120, e2214350120. [Google Scholar] [CrossRef] [PubMed]
- Zetterberg, F.R.; Peterson, K.; Nilsson, U.J.; Dahlgren, K.A.; Diehl, C.; Holyer, I.; Håkansson, M.; Khabut, A.; Kahl-Knutson, B.; Leffler, H.; et al. Discovery of the selective and orally available galectin-1 inhibitor GB1908 as a potential treatment for lung cancer. J. Med. Chem. 2024, 67, 9374–9388. [Google Scholar] [CrossRef] [PubMed]
- Sörme, P.; Kahl-Knutsson, B.; Huflejt, M.; Nilsson, U.J.; Leffler, H. Fluorescence polarization as an analytical tool to evaluate galectin-ligand interactions. Anal. Biochem. 2004, 334, 36–47. [Google Scholar] [CrossRef] [PubMed]
- Kim, H.; Weidner, N.; Ronin, C.; Klein, E.; Roper, J.A.; Kahl-Knutson, B.; Peterson, K.; Leffler, H.; Nilsson, U.J.; Pedersen, A.; et al. Evaluating the affinity and kinetics of small molecule glycomimetics for human and mouse galectin-3 using surface plasmon resonance. SLAS Discov. 2023, 28, 233–239. [Google Scholar] [CrossRef] [PubMed]
- Delaine, T.; Collins, P.; MacKinnon, A.; Sharma, G.; Stegmayr, J.; Rajput, V.K.; Mandal, S.; Cumpstey, I.; Larumbe, A.; Salameh, B.A.; et al. Galectin-3-Binding Glycomimetics that Strongly Reduce Bleomycin-Induced Lung Fibrosis and Modulate Intracellular Glycan Recognition. Chembiochem 2016, 17, 1759–1770. [Google Scholar] [CrossRef] [PubMed]
- Zetterberg, F.R.; MacKinnon, A.; Brimert, T.; Gravelle, L.; Johnsson, R.E.; Kahl-Knutson, B.; Leffler, H.; Nilsson, U.J.; Pedersen, A.; Peterson, K.; et al. Discovery and Optimization of the First Highly Effective and Orally Available Galectin 3 Inhibitors for Treatment of Fibrotic Disease. J. Med. Chem. 2022, 65, 12626–12638. [Google Scholar] [CrossRef] [PubMed]
- Heine, V.; Dey, C.; Bojarová, P.; Křen, V.; Elling, L. Methods of in vitro study of galectin-glycomaterial interaction. Biotechnol. Adv. 2022, 58, 107928. [Google Scholar] [CrossRef] [PubMed]
- Cecioni, S.; Matthews, S.E.; Blanchard, H.; Praly, J.P.; Imberty, A.; Vidal, S. Synthesis of lactosylated glycoclusters and inhibition studies with plant and human lectins. Carbohydr. Res. 2012, 356, 132–141. [Google Scholar] [CrossRef] [PubMed]
- Yang, M.L.; Chen, Y.H.; Wang, S.W.; Huang, Y.J.; Leu, C.H.; Yeh, N.C.; Chu, C.Y.; Lin, C.C.; Shieh, G.S.; Chen, Y.L.; et al. Galectin-1 binds to influenza virus and ameliorates influenza virus pathogenesis. J. Virol. 2011, 85, 10010–10020. [Google Scholar] [CrossRef] [PubMed]
- Goud, N.S.; Pooladanda, V.; Chandra, K.M.; Soukya, P.S.L.; Alvala, R.; Kumar, P.; Nagaraj, C.; Bharath, R.D.; Qureshi, I.A.; Godugu, C.; et al. Novel benzimidazole-triazole hybrids as apoptosis inducing agents in lung cancer: Design, synthesis, 18F-radiolabeling & galectin-1 inhibition studies. Bioorg. Chem. 2020, 102, 104125. [Google Scholar] [CrossRef] [PubMed]
- Salomonsson, E.; Carlsson, M.C.; Osla, V.; Hendus-Altenburger, R.; Kahl-Knutson, B.; Öberg, C.T.; Sundin, A.; Nilsson, R.; Nordberg-Karlsson, E.; Nilsson, U.J.; et al. Mutational Tuning of Galectin-3 Specificity and Biological Function. J. Biol. Chem. 2010, 285, 35079–35091. [Google Scholar] [CrossRef] [PubMed]
- Vuong, L.; Kouverianou, E.; Rooney, C.M.; McHugh, B.J.; Howie, S.E.; Gregory, C.D.; Forbes, S.J.; Henderson, N.C.; Zetterberg, F.R.; Nilsson, U.J.; et al. An Orally Active Galectin-3 Antagonist Inhibits Lung Adenocarcinoma Growth and Augments Response to PD-L1 Blockade. Cancer Res. 2019, 79, 1480–1492. [Google Scholar] [CrossRef] [PubMed]
- Salameh, B.A.; Cumpstey, I.; Sundin, A.; Leffler, H.; Nilsson, U.J. 1H-1,2,3-Triazol-1-yl thiodigalactoside derivatives as high affinity galectin-3 inhibitors. Bioorganic Med. Chem. 2010, 18, 5367–5378. [Google Scholar] [CrossRef] [PubMed]






Disclaimer/Publisher’s Note: The statements, opinions and data contained in all publications are solely those of the individual author(s) and contributor(s) and not of MDPI and/or the editor(s). MDPI and/or the editor(s) disclaim responsibility for any injury to people or property resulting from any ideas, methods, instructions or products referred to in the content. |
© 2024 by the authors. Licensee MDPI, Basel, Switzerland. This article is an open access article distributed under the terms and conditions of the Creative Commons Attribution (CC BY) license (https://creativecommons.org/licenses/by/4.0/).
Share and Cite
Kim, H.; Kretz, L.; Ronin, C.; Starck, C.; Roper, J.A.; Kahl-Knutson, B.; Peterson, K.; Leffler, H.; Nilsson, U.J.; Pedersen, A.; et al. Determining the Affinity and Kinetics of Small Molecule Inhibitors of Galectin-1 Using Surface Plasmon Resonance. Int. J. Mol. Sci. 2024, 25, 6704. https://doi.org/10.3390/ijms25126704
Kim H, Kretz L, Ronin C, Starck C, Roper JA, Kahl-Knutson B, Peterson K, Leffler H, Nilsson UJ, Pedersen A, et al. Determining the Affinity and Kinetics of Small Molecule Inhibitors of Galectin-1 Using Surface Plasmon Resonance. International Journal of Molecular Sciences. 2024; 25(12):6704. https://doi.org/10.3390/ijms25126704
Chicago/Turabian StyleKim, Henry, Louis Kretz, Céline Ronin, Christina Starck, James A. Roper, Barbro Kahl-Knutson, Kristoffer Peterson, Hakon Leffler, Ulf J. Nilsson, Anders Pedersen, and et al. 2024. "Determining the Affinity and Kinetics of Small Molecule Inhibitors of Galectin-1 Using Surface Plasmon Resonance" International Journal of Molecular Sciences 25, no. 12: 6704. https://doi.org/10.3390/ijms25126704
APA StyleKim, H., Kretz, L., Ronin, C., Starck, C., Roper, J. A., Kahl-Knutson, B., Peterson, K., Leffler, H., Nilsson, U. J., Pedersen, A., Zetterberg, F. R., & Slack, R. J. (2024). Determining the Affinity and Kinetics of Small Molecule Inhibitors of Galectin-1 Using Surface Plasmon Resonance. International Journal of Molecular Sciences, 25(12), 6704. https://doi.org/10.3390/ijms25126704

