Talaroacids A–D and Talaromarane A, Diterpenoids with Anti-Inflammatory Activities from Mangrove Endophytic Fungus Talaromyces sp. JNQQJ-4
Abstract
1. Introduction
2. Results and Discussion
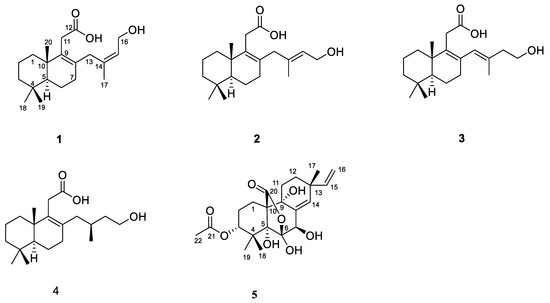
2.1. Structure Identification
2.2. Anti-Inflammatory Activities
3. Materials and Methods
3.1. General Experiment Procedures
3.2. ECD and NMR Calculations
3.3. Plant and Fungal Material
3.4. Fermentation, Extraction and Purification
3.5. Crystallographic Data for Talaromarane A
3.6. Anti-Inflammatory Assay
3.7. Solubility and the Stability
4. Conclusions
Supplementary Materials
Author Contributions
Funding
Institutional Review Board Statement
Informed Consent Statement
Data Availability Statement
Acknowledgments
Conflicts of Interest
References
- Hanson, J.R. Diterpenoids of Terrestrial Origin. Nat. Prod. Rep. 2015, 32, 1654–1663. [Google Scholar] [CrossRef] [PubMed]
- Hanson, J.R.; Nichols, T.; Mukhrish, Y.; Bagley, M.C. Diterpenoids of Terrestrial Origin. Nat. Prod. Rep. 2019, 36, 1499–1512. [Google Scholar] [CrossRef] [PubMed]
- Peters, R.J. Two Rings in Them All: The Labdane-Related Diterpenoids. Nat. Prod. Rep. 2010, 27, 1521. [Google Scholar] [CrossRef] [PubMed]
- Li, R.; Morris-Natschke, S.L.; Lee, K.-H. Clerodane Diterpenes: Sources, Structures, and Biological Activities. Nat. Prod. Rep. 2016, 33, 1166–1226. [Google Scholar] [CrossRef] [PubMed]
- Roncero, A.M.; Tobal, I.E.; Moro, R.F.; Díez, D.; Marcos, I.S. Halimane Diterpenoids: Sources, Structures, Nomenclature and Biological Activities. Nat. Prod. Rep. 2018, 35, 955–991. [Google Scholar] [CrossRef] [PubMed]
- Zhang, J.; Li, Y.; Zhu, R.; Li, L.; Wang, Y.; Zhou, J.; Qiao, Y.; Zhang, Z.; Lou, H. Scapairrins A–Q, Labdane-Type Diterpenoids from the Chinese Liverwort Scapania irrigua and Their Cytotoxic Activity. J. Nat. Prod. 2015, 78, 2087–2094. [Google Scholar] [CrossRef] [PubMed]
- Ma, J.; Yang, X.; Zhang, Q.; Zhang, X.; Xie, C.; Tuerhong, M.; Zhang, J.; Jin, D.-Q.; Lee, D.; Xu, J.; et al. Cytotoxic Clerodane Diterpenoids from the Leaves of Casearia kurzii. Bioorg. Chem. 2019, 85, 558–567. [Google Scholar] [CrossRef] [PubMed]
- Wang, C.-L.; Dai, Y.; Zhu, Q.; Peng, X.; Liu, Q.-F.; Ai, J.; Zhou, B.; Yue, J.-M. Laeviganoids A–T, Ent -Clerodane-Type Diterpenoids from Croton laevigatus. J. Nat. Prod. 2023, 86, 1345–1359. [Google Scholar] [CrossRef] [PubMed]
- Song, J.-Q.; Yang, K.-C.; Fan, X.-Z.; Deng, L.; Zhu, Y.-L.; Zhou, H.; Huang, Y.-S.; Kong, X.-Q.; Zhang, L.-J.; Liao, H.-B. Clerodane Diterpenoids with In-Vitro Anti-Neuroinflammatory Activity from the Tuberous Root of Tinospora sagittata (Menispermaceae). Phytochemistry 2024, 218, 113932. [Google Scholar] [CrossRef]
- Li, J.; Niu, L.; Huang, H.; Li, Q.; Xie, C.; Yang, C. Anti-Inflammatory Labdane Diterpenoids from the Aerial Parts of Leonurus sibiricus. Phytochemistry 2024, 217, 113927. [Google Scholar] [CrossRef]
- Tamuli, R.; Nguyen, T.; Macdonald, J.R.; Pierens, G.K.; Fisher, G.M.; Andrews, K.T.; Adewoyin, F.B.; Omisore, N.O.; Odaibo, A.B.; Feng, Y. Isolation and In Vitro and In Vivo Activity of Secondary Metabolites from Clerodendrum polycephalum Baker against Plasmodium Malaria Parasites. J. Nat. Prod. 2023, 86, 2661–2671. [Google Scholar] [CrossRef] [PubMed]
- Zhao, X.-T.; Lei, C.; You, J.-Q.; Zhao, T.; Yu, M.-H.; Shi, X.-L.; Hu, X.; Hou, A.-J. Dimeric Clerodane Diterpenoids and Antiviral Constituents of Dodonaea viscosa. Bioorg. Chem. 2021, 112, 104916. [Google Scholar] [CrossRef]
- Zhang, L.-T.; Wang, X.-L.; Wang, T.; Zhang, J.-S.; Huang, Z.-Q.; Shen, T.; Lou, H.-X.; Ren, D.-M.; Wang, X.-N. Dolabellane and Clerodane Diterpenoids from the Twigs and Leaves of Casearia kurzii. J. Nat. Prod. 2020, 83, 2817–2830. [Google Scholar] [CrossRef]
- Lei, C.; Wang, X.-H.; Liu, Y.-N.; Zhao, T.; Hu, Z.; Li, J.-Y.; Hou, A.-J. Clerodane Diterpenoids from Dodonaea viscosa and Their Inhibitory Effects on ATP Citrate Lyase. Phytochemistry 2021, 183, 112614. [Google Scholar] [CrossRef] [PubMed]
- Ren, X.; Yuan, X.; Jiao, S.-S.; He, X.-P.; Hu, H.; Kang, J.-J.; Luo, S.-H.; Liu, Y.; Guo, K.; Li, S.-H. Clerodane Diterpenoids from the Uygur Medicine Salvia deserta with Immunosuppressive Activity. Phytochemistry 2023, 214, 113823. [Google Scholar] [CrossRef] [PubMed]
- Li, C.; Sun, X.; Yin, W.; Zhan, Z.; Tang, Q.; Wang, W.; Zhuo, X.; Wu, Z.; Zhang, H.; Li, Y.; et al. Crassifolins Q−W: Clerodane Diterpenoids From Croton crassifolius With Anti-Inflammatory and Anti-Angiogenesis Activities. Front. Chem. 2021, 9, 733350. [Google Scholar] [CrossRef] [PubMed]
- Torres, F.R.; Pérez-Castorena, A.L.; Arredondo, L.; Toscano, R.A.; Nieto-Camacho, A.; Martínez, M.; Maldonado, E. Labdanes, Withanolides, and Other Constituents from Physalis nicandroides. J. Nat. Prod. 2019, 82, 2489–2500. [Google Scholar] [CrossRef]
- Wu, J.; Xiao, Q.; Xu, J.; Li, M.-Y.; Pan, J.-Y.; Yang, M. Natural Products from True Mangrove Flora: Source, Chemistry and Bioactivities. Nat. Prod. Rep. 2008, 25, 955. [Google Scholar] [CrossRef]
- Cadamuro, R.D.; Da Silveira Bastos, I.M.A.; Silva, I.T.; Da Cruz, A.C.C.; Robl, D.; Sandjo, L.P.; Alves, S.; Lorenzo, J.M.; Rodríguez-Lázaro, D.; Treichel, H.; et al. Bioactive Compounds from Mangrove Endophytic Fungus and Their Uses for Microorganism Control. J. Fungi 2021, 7, 455. [Google Scholar] [CrossRef]
- Cai, R.; Wu, Y.; Chen, S.; Cui, H.; Liu, Z.; Li, C.; She, Z. Peniisocoumarins A–J: Isocoumarins from Penicillium commune QQF-3, an Endophytic Fungus of the Mangrove Plant Kandelia candel. J. Nat. Prod. 2018, 81, 1376–1383. [Google Scholar] [CrossRef]
- Yu, G.; Sun, Z.; Peng, J.; Zhu, M.; Che, Q.; Zhang, G.; Zhu, T.; Gu, Q.; Li, D. Secondary Metabolites Produced by Combined Culture of Penicillium crustosum and a Xylaria sp. J. Nat. Prod. 2019, 82, 2013–2017. [Google Scholar] [CrossRef] [PubMed]
- Bai, M.; Zheng, C.-J.; Chen, G.-Y. Austins-Type Meroterpenoids from a Mangrove-Derived Penicillium sp. J. Nat. Prod. 2021, 84, 2104–2110. [Google Scholar] [CrossRef] [PubMed]
- Bai, M.; Zheng, C.-J.; Huang, G.-L.; Mei, R.-Q.; Wang, B.; Luo, Y.-P.; Zheng, C.; Niu, Z.-G.; Chen, G.-Y. Bioactive Meroterpenoids and Isocoumarins from the Mangrove-Derived Fungus Penicillium sp. TGM112. J. Nat. Prod. 2019, 82, 1155–1164. [Google Scholar] [CrossRef] [PubMed]
- Liu, S.; Dai, H.; Makhloufi, G.; Heering, C.; Janiak, C.; Hartmann, R.; Mándi, A.; Kurtán, T.; Müller, W.E.G.; Kassack, M.U.; et al. Cytotoxic 14-Membered Macrolides from a Mangrove-Derived Endophytic Fungus, Pestalotiopsis microspora. J. Nat. Prod. 2016, 79, 2332–2340. [Google Scholar] [CrossRef]
- Zheng, C.-J.; Huang, G.-L.; Liao, H.-X.; Mei, R.-Q.; Luo, Y.-P.; Chen, G.-Y.; Zhang, Q.-Y. Bioactive Cytosporone Derivatives Isolated from the Mangrove-Derived Fungus Dothiorella sp. ML002. Bioorg. Chem. 2019, 85, 382–385. [Google Scholar] [CrossRef]
- Li, W.-S.; Hu, H.-B.; Huang, Z.-H.; Yan, R.-J.; Tian, L.-W.; Wu, J. Phomopsols A and B from the Mangrove Endophytic Fungus Phomopsis sp. Xy21: Structures, Neuroprotective Effects, and Biogenetic Relationships. Org. Lett. 2019, 21, 7919–7922. [Google Scholar] [CrossRef] [PubMed]
- Meng, L.-H.; Wang, C.-Y.; Mándi, A.; Li, X.-M.; Hu, X.-Y.; Kassack, M.U.; Kurtán, T.; Wang, B.-G. Three Diketopiperazine Alkaloids with Spirocyclic Skeletons and One Bisthiodiketopiperazine Derivative from the Mangrove-Derived Endophytic Fungus Penicillium brocae MA-231. Org. Lett. 2016, 18, 5304–5307. [Google Scholar] [CrossRef]
- Li, H.-L.; Xu, R.; Li, X.-M.; Yang, S.-Q.; Meng, L.-H.; Wang, B.-G. Simpterpenoid A, a Meroterpenoid with a Highly Functionalized Cyclohexadiene Moiety Featuring Gem -Propane-1,2-Dione and Methylformate Groups, from the Mangrove-Derived Penicillium simplicissimum MA-332. Org. Lett. 2018, 20, 1465–1468. [Google Scholar] [CrossRef]
- Chen, S.; Cai, R.; Liu, Z.; Cui, H.; She, Z. Secondary metabolites from mangrove-associated fungi: Source, chemistry and bioac-tivities. Nat. Prod. Rep. 2022, 3, 560–595. [Google Scholar] [CrossRef]
- Wang, G.; Yuan, Y.; Li, Z.; Liu, X.; Chu, Y.; She, Z.; Kang, W.; Chen, Y. Pleosmaranes A–R, Isopimarane and 20-nor Isopimarane Diterpenoids with Anti-Inflammatory Activities from the Mangrove Endophytic Fungus Pleosporales sp. HNQQJ-1. J. Nat. Prod. 2024, 87, 304–314. [Google Scholar] [CrossRef]
- Chen, Y.; Yang, W.; Zhu, G.; Wang, G.; Chen, T.; Li, H.; Yuan, J.; She, Z. Didymorenloids A and B, Two Polycyclic Cyclopenta[b]Fluorene-Type Alkaloids with Anti-Hepatoma Activity from the Mangrove Endophytic Fungus Didymella sp. CYSK-4. Org. Chem. Front. 2024, 11, 1706–1712. [Google Scholar] [CrossRef]
- Liu, Y.; Chen, T.; Sun, B.; Tan, Q.; Ouyang, H.; Wang, B.; Yu, H.; She, Z. Mono- and Dimeric Sorbicillinoid Inhibitors Targeting IL-6 and IL-1β from the Mangrove-Derived Fungus Trichoderma Reesei BGRg-3. Int. J. Mol. Sci. 2023, 24, 16096. [Google Scholar] [CrossRef] [PubMed]
- Jia, H.; Wu, L.; Liu, R.; Li, J.; Liu, L.; Chen, C.; Li, J.; Zhang, K.; Liao, J.; Long, Y. Penifuranone A: A Novel Alkaloid from the Mangrove Endophytic Fungus Penicillium Crustosum SCNU-F0006. Int. J. Mol. Sci. 2024, 25, 5032. [Google Scholar] [CrossRef] [PubMed]
- Cui, H.; Liu, Y.; Li, J.; Huang, X.; Yan, T.; Cao, W.; Liu, H.; Long, Y.; She, Z. Diaporindenes A–D: Four Unusual 2,3-Dihydro-1 H -Indene Analogues with Anti-Inflammatory Activities from the Mangrove Endophytic Fungus Diaporthe sp. SYSU-HQ3. J. Org. Chem. 2018, 83, 11804–11813. [Google Scholar] [CrossRef] [PubMed]
- Chen, Y.; Yang, W.; Zou, G.; Wang, G.; Kang, W.; Yuan, J.; She, Z. Cytotoxic Bromine- and Iodine-Containing Cytochalasins Produced by the Mangrove Endophytic Fungus Phomopsis sp. QYM-13 Using the OSMAC Approach. J. Nat. Prod. 2022, 85, 1229–1238. [Google Scholar] [CrossRef] [PubMed]
- Minhas, R.; Bansal, Y.; Bansal, G. Inducible Nitric Oxide Synthase Inhibitors: A Comprehensive Update. Med. Res. Rev. 2020, 40, 823–855. [Google Scholar] [CrossRef] [PubMed]
- Miller, A.H.; Raison, C.L. The Role of Inflammation in Depression: From Evolutionary Imperative to Modern Treatment Target. Nat. Rev. Immunol. 2016, 16, 22–34. [Google Scholar] [CrossRef]
- Zhu, J.; Song, W.; Li, L.; Fan, X. Endothelial Nitric Oxide Synthase: A Potential Therapeutic Target for Cerebrovascular Diseases. Mol. Brain 2016, 9, 30. [Google Scholar] [CrossRef] [PubMed]
- Wang, X.; Ren, Z.; He, Y.; Xiang, Y.; Zhang, Y.; Qiao, Y. A Combination of Pharmacophore Modeling, Molecular Docking and Virtual Screening for iNOS Inhibitors from Chinese Herbs. Bio-Med. Mater. Eng. 2014, 24, 1315–1322. [Google Scholar] [CrossRef]
- You, J.; Liu, Y.; Zhou, J.; Sun, X.; Lei, C.; Mu, Q.; Li, J.; Hou, A. cis-Clerodane Diterpenoids with Structural Diversity and Anti-inflammatory Activity from Tinospora crispa. Chin. J. Chem. 2022, 40, 2882–2892. [Google Scholar] [CrossRef]
- Zhu, Y.-L.; Deng, L.; Dai, X.-Y.; Song, J.-Q.; Zhu, Y.; Liu, T.; Kong, X.-Q.; Zhang, L.-J.; Liao, H.-B. Tinopanoids K-T, Clerodane Diterpenoids with Anti-Inflammatory Activity from Tinospora crispa. Bioorg. Chem. 2023, 140, 106812. [Google Scholar] [CrossRef] [PubMed]
- Zhu, Y.-L.; Deng, L.; Song, J.-Q.; Zhu, Y.; Yuan, R.-W.; Fan, X.-Z.; Zhou, H.; Huang, Y.-S.; Zhang, L.-J.; Liao, H.-B. Clerodane Diterpenoids with Anti-Inflammatory and Synergistic Antibacterial Activities from Tinospora crispa. Org. Chem. Front. 2022, 9, 6945–6957. [Google Scholar] [CrossRef]






| No. | 1 b | 2 a | 3 b | 4 a | 5 a |
|---|---|---|---|---|---|
| 1a | 1.67, m | 1.68, m | 1.73, m | 1.68, m | 2.05, m |
| 1b | 1.20, overlap | 1.22, overlap | 1.26, m | 1.19, m | |
| 2a | 1.65, m | 1.45, m | 1.64, m | 1.69, m | 1.91, m |
| 2b | 1.39, overlap | 1.21, overlap | 1.48, overlap | 1.21, m | |
| 3a | 1.38, m | 1.39, m | 1.43, m | 1.38, m | 4.70, dd (3.5, 2.2) |
| 3b | 1.15, m | 1.16, m | 1.19, m | 1.15, m | |
| 5 | 1.18, m | 1.22, overlap | 1.27, overlap | 1.20, overlap | |
| 6a | 1.57, m | 1.58, m | 1.74, overlap | 1.58, m | |
| 6b | 1.47, m | 1.27, m | 1.27, overlap | 1.45, m | |
| 7 | 1.99, m | 2.04, m | 2.05, m | 2.08, m | 4.74, s |
| 11a | 3.23, d (17.4) | 3.10, d (17.3) | 3.03, d (16.7) | 3.20, d (17.4) | 1.76, m |
| 11b | 3.04, d (17.4) | 2.99, d (17.3) | 2.90, d (16.7) | 3.00, d (17.4) | 1.69, m |
| 12a | 1.96, m | ||||
| 12b | 1.49, m | ||||
| 13a | 2.84, d (14.6) | 2.78, d (16.0) | 5.65, s | 1.88, d (7.5) | |
| 13b | 2.71, d (14.6) | 2.54 d (16.0) | |||
| 14 | 1.82, m | 5.88, s | |||
| 15a | 5.49, m | 5.32, t (7.1) | 2.23, t (7.1) | 1.59, m | 5.82, dd (17.5, 10.6) |
| 15b | 1.36, m | ||||
| 16a | 4.18, m | 4.15, d (7.1) | 3.62, t (7.1) | 3.68, m | 5.04, dd (17.5, 1.0) |
| 16b | 4.99, dd (10.6, 1.0) | ||||
| 17 | 1.62, s | 1.62, s | 1.56, s | 0.84, overlap | 1.00, s |
| 18 | 0.83, s | 0.84, s | 0.87, s | 0.83, s | 1.27, s |
| 19 | 0.89, s | 0.89, s | 0.91, s | 0.89, s | 1.30, s |
| 20 | 0.95, s | 0.98, s | 1.02, s | 0.95, s | |
| 22 | 2.13, s |
| No. | 1 b | 2 a | 3 b | 4 a | 5 a |
|---|---|---|---|---|---|
| 1 | 36.3, CH2 | 36.2, CH2, | 37.4, CH2 | 36.4, CH2, | 14.4, CH2 |
| 2 | 18.9, CH2 | 18.9, CH2 | 19.9, CH2 | 19.1, CH2 | 21.8, CH2 |
| 3 | 41.6, CH2 | 41.6, CH2 | 42.9, CH2 | 41.6, CH2 | 80.2, CH |
| 4 | 33.4, C | 33.5, C | 34.2, C | 33.5, C | 40.8, C |
| 5 | 51.4, CH | 51.4, CH | 52.7, CH | 51.4, CH | 83.3, C |
| 6 | 19.0, CH2 | 19.0 c, CH2 | 20.0, CH2 | 19.0, CH2 | 105.0, C |
| 7 | 31.1, CH2 | 31.9, CH2 | 32.6, CH2 | 31.1, CH2 | 70.9, CH |
| 8 | 132.1, C | 132.0, C | 134.1, C | 133.6, C | 135.4, C |
| 9 | 135.8, C | 136.7, C | 137.6, C | 135.2, C | 73.2, C |
| 10 | 39.1, C | 39.1, C | 39.7, C | 39.1, C | 55.9, C |
| 11 | 32.7, CH2 | 32.7, CH2 | 34.7, CH2 | 32.8, CH2 | 27.2, CH2 |
| 12 | 178.0, C | 177.0, C | 176.9, C | 171.2, C | 29.6, CH2 |
| 13 | 35.9, CH2 | 43.3, CH2 | 129.2, CH | 41.2, CH2 | 38.3, C |
| 14 | 138.3, C | 137.8, C | 135.1, C | 28.4, CH | 135.9, CH |
| 15 | 125.6, CH | 123.2, CH | 43.0, CH2 | 40.1, CH2 | 146.9, CH |
| 16 | 59.1, CH2 | 59.5, CH2 | 61.8, CH2 | 61.2, CH2 | 111.7, CH2 |
| 17 | 22.9, CH3 | 16.8, CH3 | 17.2, CH3 | 19.4, CH3 | 24.3, CH3 |
| 18 | 21.8, CH3 | 21.8, CH3 | 22.1, CH3 | 21.8, CH3 | 24.4, CH3 |
| 19 | 33.3, CH3 | 33.3, CH3 | 33.7, CH3 | 33.3, CH3 | 22.2, CH3 |
| 20 | 19.9, CH3 | 20.2, CH3 | 20.4, CH3 | 20.2, CH3 | 172.7, C |
| 21 | 168.9, C | ||||
| 22 | 21.4, CH3 |
| Compounds | 1 | 2 | 3 | 4 | 5 | Quercetin |
|---|---|---|---|---|---|---|
| IC50 (μM) | 15.78 | 4.59 | >50 | 21.60 | 13.38 | 11.33 |
Disclaimer/Publisher’s Note: The statements, opinions and data contained in all publications are solely those of the individual author(s) and contributor(s) and not of MDPI and/or the editor(s). MDPI and/or the editor(s) disclaim responsibility for any injury to people or property resulting from any ideas, methods, instructions or products referred to in the content. |
© 2024 by the authors. Licensee MDPI, Basel, Switzerland. This article is an open access article distributed under the terms and conditions of the Creative Commons Attribution (CC BY) license (https://creativecommons.org/licenses/by/4.0/).
Share and Cite
Wang, G.; Wu, J.; Li, Z.; Chen, T.; Liu, Y.; Wang, B.; Chen, Y.; She, Z. Talaroacids A–D and Talaromarane A, Diterpenoids with Anti-Inflammatory Activities from Mangrove Endophytic Fungus Talaromyces sp. JNQQJ-4. Int. J. Mol. Sci. 2024, 25, 6691. https://doi.org/10.3390/ijms25126691
Wang G, Wu J, Li Z, Chen T, Liu Y, Wang B, Chen Y, She Z. Talaroacids A–D and Talaromarane A, Diterpenoids with Anti-Inflammatory Activities from Mangrove Endophytic Fungus Talaromyces sp. JNQQJ-4. International Journal of Molecular Sciences. 2024; 25(12):6691. https://doi.org/10.3390/ijms25126691
Chicago/Turabian StyleWang, Guisheng, Jianying Wu, Zhaokun Li, Tao Chen, Yufeng Liu, Bo Wang, Yan Chen, and Zhigang She. 2024. "Talaroacids A–D and Talaromarane A, Diterpenoids with Anti-Inflammatory Activities from Mangrove Endophytic Fungus Talaromyces sp. JNQQJ-4" International Journal of Molecular Sciences 25, no. 12: 6691. https://doi.org/10.3390/ijms25126691
APA StyleWang, G., Wu, J., Li, Z., Chen, T., Liu, Y., Wang, B., Chen, Y., & She, Z. (2024). Talaroacids A–D and Talaromarane A, Diterpenoids with Anti-Inflammatory Activities from Mangrove Endophytic Fungus Talaromyces sp. JNQQJ-4. International Journal of Molecular Sciences, 25(12), 6691. https://doi.org/10.3390/ijms25126691

