New Insights into Hepatic and Intestinal Microcirculation and Pulmonary Inflammation in a Model of Septic Shock and Venovenous Extracorporeal Membrane Oxygenation in the Rat
Abstract
1. Introduction
2. Results
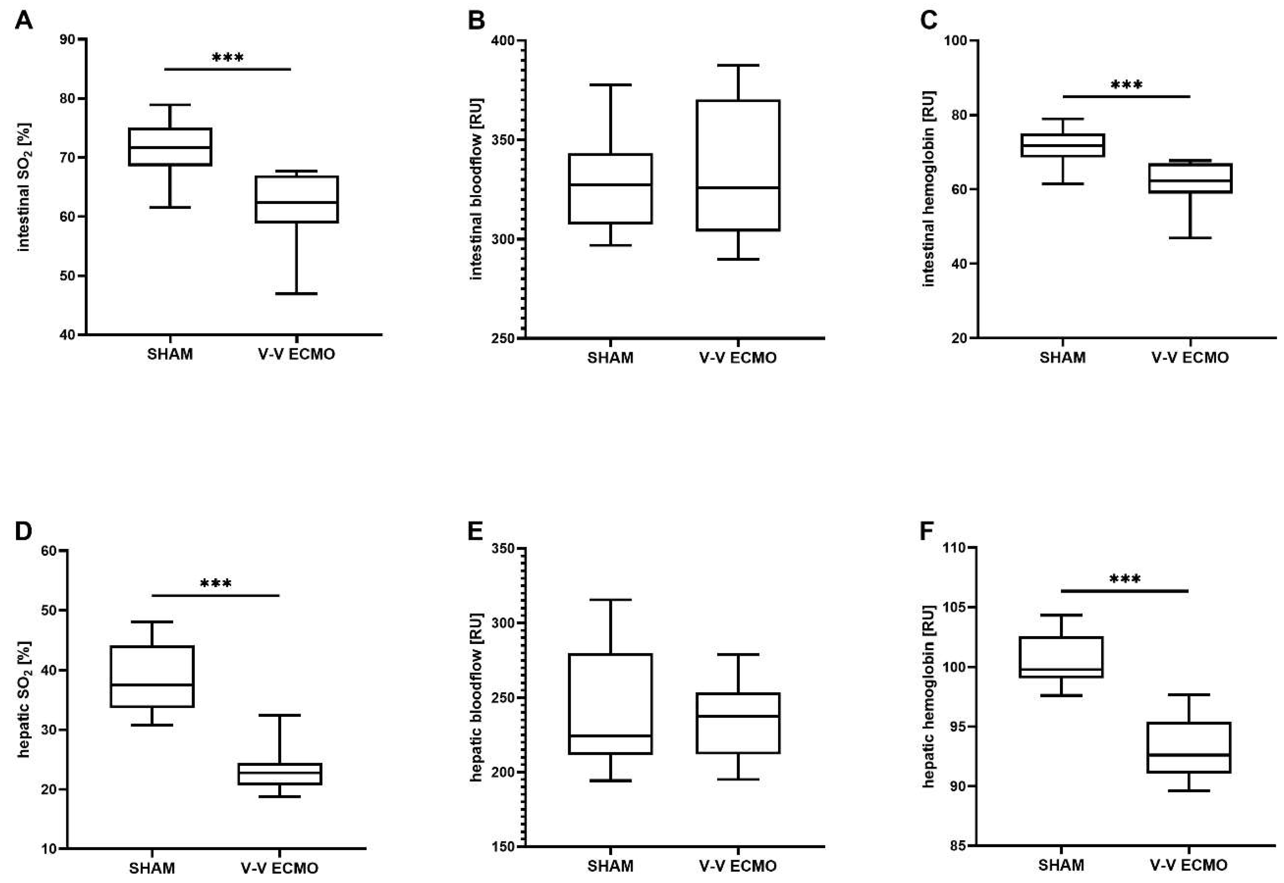
2.1. Intestinal and Hepatic Microcirculation
2.2. Hemodynamic Parameters
2.3. Blood Gas Analysis
2.4. Inflammatory Parameters
3. Discussion
4. Materials and Methods
4.1. Animals
4.2. Induction and Maintenance of Anesthesia
4.3. Cannulation and Abdominal Laparotomy
4.4. Induction of Septic Shock
4.5. Extracorporeal Membrane Oxygenation
4.6. Intestinal Microcirculation
4.7. Timepoints of Hemodynamic Measurements
4.8. Blood Analysis
4.9. End of Experiments
4.10. Enzyme-Linked Immunosorbent Assays
4.11. Statistics
5. Conclusions
Author Contributions
Funding
Institutional Review Board Statement
Informed Consent Statement
Data Availability Statement
Acknowledgments
Conflicts of Interest
References
- Hill, J.D.; Le O’Brien, T.G.; Murray, J.J.; Dontigny, L.; Bramson, M.L.; Osborn, J.J.; Gerbode, F. Prolonged Extracorporeal Oxygenation for Acute Post-Traumatic Respiratory Failure (Shock-Lung Syndrome). N. Engl. J. Med. 1972, 286, 629–634. [Google Scholar] [CrossRef] [PubMed]
- Peek, G.J.; Elbourne, D.; Mugford, M.; Tiruvoipati, R.; Wilson, A.; Allen, E.; Clemens, F.; Firmin, R.; Hardy, P.; Hibbert, C.; et al. Randomised controlled trial and parallel economic evaluation of conventional ventilatory support versus extracorporeal membrane oxygenation for severe adult respiratory failure (CESAR). Health Technol. Assess. 2010, 14, 1–46. [Google Scholar] [CrossRef] [PubMed]
- Barbaro, R.P.; MacLaren, G.; Boonstra, P.S.; Combes, A.; Agerstrand, C.; Annich, G.; Diaz, R.; Fan, E.; Hryniewicz, K.; Lorusso, R.; et al. Extracorporeal membrane oxygenation for COVID-19: Evolving outcomes from the international Extracorporeal Life Support Organization Registry. Lancet 2021, 398, 1230–1238. [Google Scholar] [CrossRef] [PubMed]
- Singer, M.; Deutschman, C.S.; Seymour, C.W.; Shankar-Hari, M.; Annane, D.; Bauer, M.; Bellomo, R.; Bernard, G.R.; Chiche, J.-D.; Coopersmith, C.M.; et al. The Third International Consensus Definitions for Sepsis and Septic Shock (Sepsis-3). JAMA 2016, 315, 801–810. [Google Scholar] [CrossRef] [PubMed]
- Fleischmann-Struzek, C.; Mellhammar, L.; Rose, N.; Cassini, A.; Rudd, K.E.; Schlattmann, P.; Allegranzi, B.; Reinhart, K. Incidence and mortality of hospital- and ICU-treated sepsis: Results from an updated and expanded systematic review and meta-analysis. Intensive Care Med. 2020, 46, 1552–1562. [Google Scholar] [CrossRef] [PubMed]
- Millar, J.E.; Fanning, J.P.; McDonald, C.I.; McAuley, D.F.; Fraser, J.F. The inflammatory response to extracorporeal membrane oxygenation (ECMO): A review of the pathophysiology. Crit. Care 2016, 20, 387. [Google Scholar] [CrossRef] [PubMed]
- Dias-Freitas, F.; Metelo-Coimbra, C.; Roncon-Albuquerque, R. Molecular mechanisms underlying hyperoxia acute lung injury. Respir. Med. 2016, 119, 23–28. [Google Scholar] [CrossRef] [PubMed]
- Yamamoto, R.; Fujishima, S.; Yamakawa, K.; Abe, T.; Ogura, H.; Saitoh, D.; Gando, S.; Sasaki, J. Hyperoxia for sepsis and development of acute lung injury with increased mortality. BMJ Open Respir. Res. 2023, 10, e001968. [Google Scholar] [CrossRef] [PubMed]
- Denning, N.-L.; Aziz, M.; Gurien, S.D.; Wang, P. DAMPs and NETs in Sepsis. Front. Immunol. 2019, 10, 2536. [Google Scholar] [CrossRef]
- Haussner, F.; Chakraborty, S.; Halbgebauer, R.; Huber-Lang, M. Challenge to the Intestinal Mucosa During Sepsis. Front. Immunol. 2019, 10, 891. [Google Scholar] [CrossRef] [PubMed]
- Payen, D. The gut as a hidden source of sepsis. Minerva Anestesiol. 2020, 86, 662–669. [Google Scholar] [CrossRef] [PubMed]
- Glowka, T.R.; Schewe, J.-C.; Muenster, S.; Putensen, C.; Kalff, J.C.; Pantelis, D. Decompressive laparotomy for the treatment of the abdominal compartment syndrome during extracorporeal membrane oxygenation support. J. Crit. Care 2018, 47, 274–279. [Google Scholar] [CrossRef] [PubMed]
- Schmidt, G.; Pitz, L.; Markmann, M.; Schneck, E.; Sander, M.; Koch, C.; Edinger, F. Micro-lightguide spectrophotometry assessment of hepatic and intestinal microcirculation in endotoxemic rats during intravenous treatment with angiotensin II. Eur. J. Pharm. Sci. 2023, 191, 106588. [Google Scholar] [CrossRef] [PubMed]
- Albuszies, G.; Radermacher, P.; Vogt, J.; Wachter, U.; Weber, S.; Schoaff, M.; Georgieff, M.; Barth, E. Effect of increased cardiac output on hepatic and intestinal microcirculatory blood flow, oxygenation, and metabolism in hyperdynamic murine septic shock. Crit. Care Med. 2005, 33, 2332–2338. [Google Scholar] [CrossRef] [PubMed]
- Nahum, E.; Skippen, P.W.; Gagnon, R.E.; Macnab, A.J.; Skarsgard, E.D. Correlation of near-infrared spectroscopy with perfusion parameters at the hepatic and systemic levels in an endotoxemic shock model. Med. Sci. Monit. 2006, 12, BR313–BR317. [Google Scholar] [PubMed]
- Thorén, A.; Elam, M.; Ricksten, S.E. Jejunal mucosal perfusion is well maintained during mild hypothermic cardiopulmonary bypass in humans. Anesth. Analg. 2001, 92, 5–11. [Google Scholar] [CrossRef]
- Scott, C.; Neira Agonh, D.; White, H.; Sultana, S.; Lehmann, C. Intravital Microscopy of Lipopolysaccharide-Induced Inflammatory Changes in Different Organ Systems-A Scoping Review. Int. J. Mol. Sci. 2023, 24, 16345. [Google Scholar] [CrossRef] [PubMed]
- Fujii, Y.; Sumikura, H.; Nagahama, D. Establishment of a novel miniature veno-venous extracorporeal membrane oxygenation model in the rat. Artif. Organs 2021, 45, 63–67. [Google Scholar] [CrossRef] [PubMed]
- Al-Ani, B.; ShamsEldeen, A.M.; Kamar, S.S.; Haidara, M.A.; Al-Hashem, F.; Alshahrani, M.Y.; Al-Hakami, A.M.; Kader, D.H.A.; Maarouf, A. Lipopolysaccharide induces acute lung injury and alveolar haemorrhage in association with the cytokine storm, coagulopathy and AT1R/JAK/STAT augmentation in a rat model that mimics moderate and severe Covid-19 pathology. Clin. Exp. Pharmacol. Physiol. 2022, 49, 483–491. [Google Scholar] [CrossRef]
- Delis, A.; Bautz, D.; Ehrentraut, H.; Doll, K.; Randau, T.M.; Strauss, A.C.; Habicht, I.; Güresir, E.; Bogatsch, H.; Kranke, P.; et al. Effects of Different Hemoglobin Levels on Near-Infrared Spectroscopy-Derived Cerebral Oxygen Saturation in Elderly Patients Undergoing Noncardiac Surgery. Transfus. Med. Hemother. 2023, 50, 270–276. [Google Scholar] [CrossRef]
- Riedel, G.L.; Scholle, J.L.; Shepherd, A.P.; Ward, W.F. Effects of hematocrit on oxygenation of the isolated perfused rat liver. Am. J. Physiol. 1983, 245, G769–G774. [Google Scholar] [CrossRef] [PubMed]
- Thorén, A.; Nygren, A.; Houltz, E.; Ricksten, S.-E. Cardiopulmonary bypass in humans--jejunal mucosal perfusion increases in parallel with well-maintained microvascular hematocrit. Acta Anaesthesiol. Scand. 2005, 49, 502–509. [Google Scholar] [CrossRef] [PubMed]
- Saxton, R.A.; Tsutsumi, N.; Su, L.L.; Abhiraman, G.C.; Mohan, K.; Henneberg, L.T.; Aduri, N.G.; Gati, C.; Garcia, K.C. Structure-based decoupling of the pro- and anti-inflammatory functions of interleukin-10. Science 2021, 371, eabc8433. [Google Scholar] [CrossRef] [PubMed]
- Soares, M.P.; Teixeira, L.; Moita, L.F. Disease tolerance and immunity in host protection against infection. Nat. Rev. Immunol. 2017, 17, 83–96. [Google Scholar] [CrossRef] [PubMed]
- Medzhitov, R.; Schneider, D.S.; Soares, M.P. Disease tolerance as a defense strategy. Science 2012, 335, 936–941. [Google Scholar] [CrossRef] [PubMed]
- Ayres, J.S.; Schneider, D.S. Tolerance of infections. Annu. Rev. Immunol. 2012, 30, 271–294. [Google Scholar] [CrossRef] [PubMed]
- Pool, R.; Gomez, H.; Kellum, J.A. Mechanisms of Organ Dysfunction in Sepsis. Crit. Care Clin. 2018, 34, 63–80. [Google Scholar] [CrossRef] [PubMed]
- Kuehn, C.; Orszag, P.; Burgwitz, K.; Marsch, G.; Stumpp, N.; Stiesch, M.; Haverich, A. Microbial adhesion on membrane oxygenators in patients requiring extracorporeal life support detected by a universal rDNA PCR test. ASAIO J. 2013, 59, 368–373. [Google Scholar] [CrossRef]
- Yu, Y.; Kim, Y.H.; Cho, W.H.; Son, B.S.; Yeo, H.J. Biofilm microbiome in extracorporeal membrane oxygenator catheters. PLoS ONE 2021, 16, e0257449. [Google Scholar] [CrossRef]
- Zha, Y.; Yuan, J.; Bao, J.; Fang, M.; Liu, N.; Huang, R.; Wang, C.; Chen, S.; Shao, M. Veno-venous extracorporeal membrane oxygenation for septic shock patients with pulmonary infection: A propensity score matching-based retrospective study. Artif. Organs 2022, 46, 2304–2312. [Google Scholar] [CrossRef]
- Falk, L.; Hultman, J.; Broman, L.M. Extracorporeal Membrane Oxygenation for Septic Shock. Crit. Care Med. 2019, 47, 1097–1105. [Google Scholar] [CrossRef]
- Takauji, S.; Hayakawa, M.; Ono, K.; Makise, H. Respiratory extracorporeal membrane oxygenation for severe sepsis and septic shock in adults: A propensity score analysis in a multicenter retrospective observational study. Acute Med. Surg. 2017, 4, 408–417. [Google Scholar] [CrossRef]
- Edinger, F.; Schneck, E.; Schulte, C.; Gehron, J.; Mueller, S.; Sander, M.; Koch, C. Comparison of the effect of membrane sizes and fibre arrangements of two membrane oxygenators on the inflammatory response, oxygenation and decarboxylation in a rat model of extracorporeal membrane oxygenation. BMC Cardiovasc. Disord. 2020, 20, 294. [Google Scholar] [CrossRef] [PubMed]
- Edinger, F.; Schneck, E.; Schulte, C.; Schmidt, G.; Gehron, J.; Sander, M.; Koch, C. Impact of the inspiratory oxygen fraction on the cardiac output during jugulo-femoral venoarterial extracorporeal membrane oxygenation in the rat. BMC Cardiovasc. Disord. 2022, 22, 174. [Google Scholar] [CrossRef] [PubMed]





| 0 Min | 30 Min | 60 Min | 90 Min | 120 Min | ||
|---|---|---|---|---|---|---|
| SaO2 * | sham | 100 [99–100] | 97 [96–98] | 95 [94–96] | 94 [92–95] | 93 [92–95] |
| [%] | ECMO | 100 [99–100] | 100 [99–100] | 98 [96–99] | 96 [93–99] | 94 [91–99] |
| ScvO2 | sham | 80 [77–85] | 80 [74–86] | 74 [69–79] | 74 [70–75] | 69 [64–71] |
| [%] | ECMO | 72 [71–75] | 78 [77–81] | 74 [67–81] | 73 [67–78] | 63 [57–69] |
| pO2 | sham | 130 [115–140] | 108 [106–120] | 106 [96–110] | 98 [90–100] | 87 [79–94] |
| [mmHg] | ECMO | 141 [130–148] | 109 [103–126] | 93 [83–107] | 86 [71–104] | 75 [62–87] |
| pCO2 *** | sham | 44 [42–46] | 58 [52–61] | 60 [57–65] | 61 [55–66] | 60 [55–67] |
| [mmHg] | ECMO | 44 [43–49] | 39 [37–43] | 40 [39–44] | 43 [42–46] | 37 [36–45] |
| pH *** | sham | 7.37 [7.33–7.39] | 7.25 [7.23–7.28] | 7.21 [7.19–7.23] | 7.23 [7.20–7.26] | 7.25 [7.22–7.27] |
| ECMO | 7.36 [7.32–7.38] | 7.41 [7.38–7.43] | 7.38 [7.35–7.43] | 7.38 [7.34–7.39] | 7.44 [7.38–7.47] | |
| Bic *** | sham | 23.7 [22.8–25.0] | 21.2 [20.5–22.1] | 20.4 [19.2–21.0] | 21.4 [20.3–22.7] | 22.8 [21.9–23.3] |
| [mmol/L] | ECMO | 24.2 [23.0–25.1] | 24.8 [23.9–25.9] | 24.1 [23.3–25.9] | 24.7 [22.5–25.2] | 25.6 [24.9–27.1] |
| BE *** | sham | −1.0 [−2.0–0.7] | −3.9 [−4.8–−2.7] | −4.8 [−6.5–−4.2] | −3.5 [−4.9–−2.0] | −1.8 [−2.9–−1.2] |
| ECMO | −0.4 [−1.8–0.7] | 0.5 [−0.7–1.7] | −0.5 [−1.3–1.6] | 0.4 [−2.3–0.9] | 1.5 [0.6–3.1] | |
| Lac | sham | 1.3 [1.1–1.5] | 1.9 [1.8–2.1] | 2.1 [1.8–2.8] | 1.6 [1.4–2.2] | 1.2 [1.0–1.7] |
| [mmol/L] | ECMO | 1.4 [1.2–1.6] | 1.9 [1.7–2.1] | 2.6 [2.2–2.8] | 1.9 [1.7–2.4] | 1.3 [1.2–1.6] |
| Hb *** | sham | 15.1 [15.0–15.5] | 13.5 [13.2–13.9] | 12.8 [12.3–13.3] | 11.6 [11.2–11.9] | 11.1 [10.3–11.5] |
| [mg/dL] | ECMO | 15.2 [14.6–15.6] | 8.8 [8.5–9.0] | 8.4 [8.2–8.6] | 7.6 [7.4–8.0] | 7.3 [7.2–7.6] |
| Hct *** | sham | 46.4 [46.0–47.4] | 41.5 [40.6–42.6] | 39.1 [37.9–41.0] | 35.8 [34.6–36.6] | 34.1 [31.8–35.4] |
| [%] | ECMO | 46.4 [44.7–47.9] | 27.3 [26.4–28.1] | 26.0 [25.4–26.6] | 23.7 [22.9–25.0] | 22.6 [22.3–23.5] |
| Glu * | sham | 163 [157–171] | 213 [181–231] | 184 [166–223] | 147 [132–160] | 138 [120–150] |
| [mg/dL] | ECMO | 161 [154–171] | 178 [174–185] | 171 [161–176] | 133 [115–143] | 131 [128–135] |
| Na | sham | 141 [141–142] | 143 [142–143] | 143 [143–144] | 144 [142–145] | 144 [143–144] |
| [mmol/L] | ECMO | 142 [141–143] | 143 [142–144] | 144 [143–144] | 144 [144–146] | 144 [144–144] |
| K ** | sham | 4.5 [4.5–4.7] | 3.9 [3.8–4.2] | 3.9 [3.7–3.9] | 4.2 [ 4.0–4.4] | 4.6 [4.4–4.8] |
| [mmol/L] | ECMO | 4.3 [4.3–4.4] | 4.0 [3.9–4.0] | 3.6 [3.5–3.6] | 3.8 [3.7–3.9] | 4.1 [4.0–4.2] |
| Cl * | sham | 109 [108–110] | 110 [109–111] | 111 [110–112] | 111 [111–113] | 112 [111–114] |
| [mmol/L] | ECMO | 109 [108–109] | 111 [110–113] | 113 [112–114] | 113 [113–115] | 114 [113–114] |
| Ca * | sham | 1.51 [1.50–1.53] | 1.47 [1.45–1.49] | 1.46 [1.45–1.50] | 1.46 [1.40–1.48] | 1.43 [1.41–1.44] |
| [mmol/L] | ECMO | 1.50 [1.48–1.56] | 1.45 [1.44–1.47] | 1.42 [1.37–1.45] | 1.43 [1.38–1.46] | 1.41 [1.38–1.42] |
Disclaimer/Publisher’s Note: The statements, opinions and data contained in all publications are solely those of the individual author(s) and contributor(s) and not of MDPI and/or the editor(s). MDPI and/or the editor(s) disclaim responsibility for any injury to people or property resulting from any ideas, methods, instructions or products referred to in the content. |
© 2024 by the authors. Licensee MDPI, Basel, Switzerland. This article is an open access article distributed under the terms and conditions of the Creative Commons Attribution (CC BY) license (https://creativecommons.org/licenses/by/4.0/).
Share and Cite
Edinger, F.; Zajonz, T.; Holtz, L.; Schmidt, G.; Schneck, E.; Sander, M.; Koch, C. New Insights into Hepatic and Intestinal Microcirculation and Pulmonary Inflammation in a Model of Septic Shock and Venovenous Extracorporeal Membrane Oxygenation in the Rat. Int. J. Mol. Sci. 2024, 25, 6621. https://doi.org/10.3390/ijms25126621
Edinger F, Zajonz T, Holtz L, Schmidt G, Schneck E, Sander M, Koch C. New Insights into Hepatic and Intestinal Microcirculation and Pulmonary Inflammation in a Model of Septic Shock and Venovenous Extracorporeal Membrane Oxygenation in the Rat. International Journal of Molecular Sciences. 2024; 25(12):6621. https://doi.org/10.3390/ijms25126621
Chicago/Turabian StyleEdinger, Fabian, Thomas Zajonz, Lena Holtz, Götz Schmidt, Emmanuel Schneck, Michael Sander, and Christian Koch. 2024. "New Insights into Hepatic and Intestinal Microcirculation and Pulmonary Inflammation in a Model of Septic Shock and Venovenous Extracorporeal Membrane Oxygenation in the Rat" International Journal of Molecular Sciences 25, no. 12: 6621. https://doi.org/10.3390/ijms25126621
APA StyleEdinger, F., Zajonz, T., Holtz, L., Schmidt, G., Schneck, E., Sander, M., & Koch, C. (2024). New Insights into Hepatic and Intestinal Microcirculation and Pulmonary Inflammation in a Model of Septic Shock and Venovenous Extracorporeal Membrane Oxygenation in the Rat. International Journal of Molecular Sciences, 25(12), 6621. https://doi.org/10.3390/ijms25126621

