Theoretical Study of the Mechanism of the Formation of Azomethine Ylide from Isatine and Sarcosine and Its Reactivity in 1,3-Dipolar Cycloaddition Reaction with 7-Oxabenzonorbornadiene †
Abstract
1. Introduction
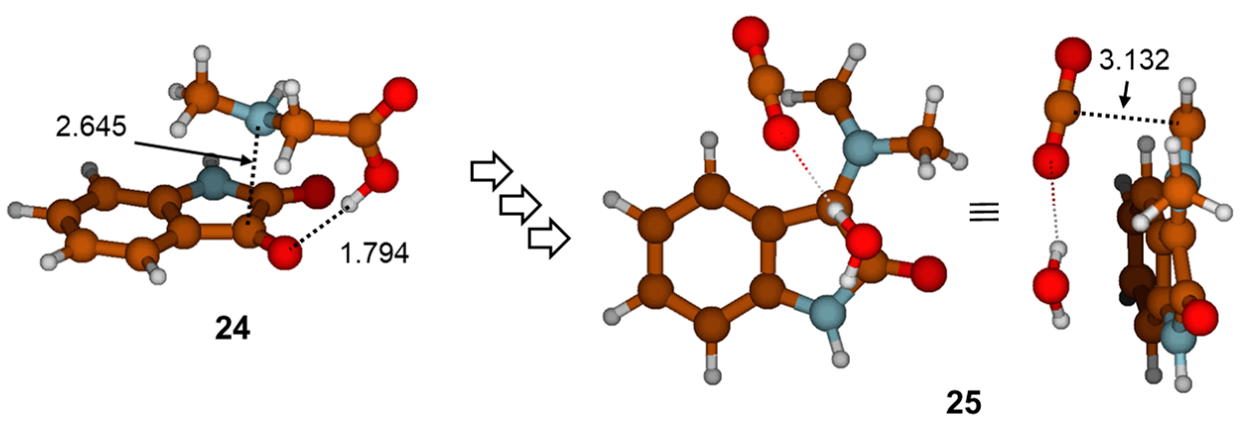
2. Results and Discussion
3. Materials and Methods
4. Conclusions
Supplementary Materials
Author Contributions
Funding
Institutional Review Board Statement
Informed Consent Statement
Data Availability Statement
Acknowledgments
Conflicts of Interest
References
- Dubey, S.; Pal, A.; Roy, S.; Sasmal, S.; Tamrakar, A.; Jana, R.; Das, T. Recent advances in the (3+2) cycloaddition of azomethine ylide. New J. Chem. 2023, 47, 8997–9034. [Google Scholar] [CrossRef]
- Warrener, R.N.; Margetić, D.; Butler, D.N.; Sun, G. Neighbouring Group Participation in N-Methoxymethyl 7-Azanorbornanes 1: The Synthesis of N,N′-Methano-bridged Diazasesquinorbornanes, N3-[3]Polynorbornanes and CN3-[4]Polynorbornanes. Synlett 2001, 2001, 0202–0205. [Google Scholar] [CrossRef]
- Maggini, M.; Scorrano, G.; Prato, M. Addition of azomethine ylides to C60: Synthesis, characterization, and functionalization of fullerene pyrrolidines. J. Am. Chem. Soc. 1993, 115, 9798–9799. [Google Scholar] [CrossRef]
- Kumaran, S.; Saritha, R.; Gurumurthy, P.; Parthasarathy, K. Synthesis of Fused Spiropyrrolidine Oxindoles Through 1,3-Dipolar Cycloaddition of Azomethine Ylides Prepared from Isatins and α-Amino Acids with Heterobicyclic Alkenes. Eur. J. Org. Chem. 2020, 2020, 2725–2729. [Google Scholar] [CrossRef]
- Gugkaeva, Z.T.; Panova, M.V.; Smol’Yakov, A.F.; Medvedev, M.G.; Tsaloev, A.T.; Godovikov, I.A.; Maleev, V.I.; Larionov, V.A. Asymmetric Metal-Templated Route to Amino Acids with 3-Spiropyrrolidine Oxindole Core via a 1,3-Dipolar Addition of Azomethine Ylides to a Chiral Dehydroalanine Ni(II) Complex. Adv. Synth. Catal. 2022, 364, 2395–2402. [Google Scholar] [CrossRef]
- Filatov, A.S.; Pronina, Y.A.; Selivanov, S.I.; Shmakov, S.V.; Uspenski, A.A.; Boitsov, V.M.; Stepakov, A.V. 11H-Benzo[4,5]imidazo[1,2-a]indol-11-one as a New Precursor of Azomethine Ylides: 1,3-Dipolar Cycloaddition Reactions with Cyclopropenes and Maleimides. Int. J. Mol. Sci. 2022, 23, 13202. [Google Scholar] [CrossRef] [PubMed]
- Wu, P. Theoretical study of the mechanism generating azomethine ylide from formaldehyde and glycine. J. Struct. Chem. 2015, 56, 1262–1267. [Google Scholar] [CrossRef]
- Servinis, L.; Gengenbach, T.R.; Huson, M.G.; Henderson, L.C.; Fox, B.L. A Novel Approach to the Functionalisation of Pristine Carbon Fibre Using Azomethine 1,3-Dipolar Cycloaddition. Aust. J. Chem. 2015, 68, 335–344. [Google Scholar] [CrossRef]
- Parr, R.G.; Yang, W. Density functional approach to the frontier-electron theory of chemical reactivity. J. Am. Chem. Soc. 1984, 106, 4049–4050. [Google Scholar] [CrossRef]
- Yang, W.; Parr, R.G. Hardness, softness, and the fukui function in the electronic theory of metals and catalysis. Proc. Natl. Acad. Sci. USA 1985, 82, 6723–6726. [Google Scholar] [CrossRef]
- Briš, A.; Murata, Y.; Hashikawa, Y.; Margetić, D. Utilization of sym-tetrazines as guanidine delivery cycloaddition reagents. An experimental and computational study. J. Mol. Struct. 2023, 1272, 134207. [Google Scholar] [CrossRef]
- Margetić, D.; Trošelj, P.; Ishikawa, T.; Kumamoto, T. Design of New Scaffolds for Increased Superbasicity of Bisguanidine Proton Sponges. Bull. Chem. Soc. Jpn. 2010, 83, 1055–1057. [Google Scholar] [CrossRef]
- Margetić, D.; Williams, R.V.; Warrener, R.N. Pyramidalized Olefins: A DFT Study of the Homosesquinorbornene and Sesquibicyclo[2.2.2]octene Nuclei. J. Org. Chem. 2003, 68, 9186–9190. [Google Scholar] [CrossRef] [PubMed]
- Margetić, D.; Warrener, R.N.; Eckert-Maksić, M.; Antol, I.; Glasovac, Z. A DFT study of pyramidalized alkenes: 7-oxasesquinorbornenes and 7,7’-dioxasesquinorbornenes. Theor. Chem. Acc. 2003, 109, 182–189. [Google Scholar] [CrossRef]
- Zhao, Y.; Truhlar, D.G. The M06 suite of density functionals for main group thermochemistry, thermochemical kinetics, noncovalent interactions, excited states, and transition elements: Two new functionals and systematic testing of four M06-class functionals and 12 other functionals. Theor. Chem. Acc. 2008, 120, 215–241. [Google Scholar] [CrossRef]
- Bursch, M.; Mewes, J.; Hansen, A.; Grimme, S. Best-Practice DFT Protocols for Basic Molecular Computational Chemistry. Angew. Chem. Int. Ed. 2022, 61, e202205735. [Google Scholar] [CrossRef]
- Goerigk, L.; Kruse, H.; Grimme, S. Benchmarking Density Functional Methods against the S66 and S66x8 Datasets for Non-Covalent Interactions. Chemphyschem 2011, 12, 3421–3433. [Google Scholar] [CrossRef] [PubMed]
- Marenich, A.V.; Cramer, C.J.; Truhlar, D.G. Universal Solvation Model Based on Solute Electron Density and on a Continuum Model of the Solvent Defined by the Bulk Dielectric Constant and Atomic Surface Tensions. J. Phys. Chem. B 2009, 113, 6378–6396. [Google Scholar] [CrossRef]
- Hehre, W.J.; Ditchfield, R.; Pople, J.A. Self—Consistent Molecular Orbital Methods. XII. Further Extensions of Gaussian—Type Basis Sets for Use in Molecular Orbital Studies of Organic Molecules. J. Chem. Phys. 1972, 56, 2257–2261. [Google Scholar] [CrossRef]
- Hariharan, P.C.; Pople, J.A. The influence of polarization functions on molecular orbital hydrogenation energies. Theor. Chem. Acc. 1973, 28, 213–222. [Google Scholar] [CrossRef]
- Frisch, M.J.; Trucks, G.W.; Schlegel, H.B.; Scuseria, G.E.; Robb, M.A.; Cheeseman, J.R.; Scalmani, G.; Barone, V.; Mennucci, B.; Petersson, G.A.; et al. Gaussian 16, Revision C.01; Gaussian, Inc.: Wallingford, CT, USA, 2019. [Google Scholar]
- Marenich, A.V.; Jerome, S.V.; Cramer, C.J.; Truhlar, D.G. Charge Model 5: An Extension of Hirshfeld Population Analysis for the Accurate Description of Molecular Interactions in Gaseous and Condensed Phases. J. Chem. Theory Comput. 2012, 8, 527–541. [Google Scholar] [CrossRef] [PubMed]
- Yang, W.; Mortier, W.J. The use of global and local molecular parameters for the analysis of the gas-phase basicity of amines. J. Am. Chem. Soc. 1986, 108, 5708–5711. [Google Scholar] [CrossRef] [PubMed]
- Schaftenaar, G.; Noordik, J.H. Molden: A pre- and post-processing program for molecular and electronic structures. J. Comput. Aided Mol. Des. 2000, 14, 123–134. [Google Scholar] [CrossRef] [PubMed]









| Transition | Structure | Freq/cm−1 | Description |
|---|---|---|---|
| TS1 | ![]() | −179.8 | Nucleophilic addition + simultaneous proton shift |
| TS2 | ![]() | −69.9 | Rotation around the C13-N12 bond |
| TS3 | ![]() | −931.0 | Proton transfer |
| TS4 | ![]() | −403.0 | Rotation of OH group—rotation around the C3-O11 bond |
| TS5 | ![]() | −85.2 | N12 pyramidalization |
| TS6 | ![]() | −344.8 | H2O cleavage |
| TS7 | ![]() | −575.2 | Decarboxylation |
![]() | ||||||
|---|---|---|---|---|---|---|
| TS7 | 22 | |||||
| Grel 1 | Grel 2 | Δq(C1) | Grel 1 | Grel 2 | Δq(C1) | |
| R=H | 16.1 | 26.0 | −0.12 | 1.7 | 11.6 | −0.20 |
| R=NH2 | 16.4 | 26.0 | −0.12 | 2.9 | 12.4 | −0.21 |
| R=NO2 | 12.0 | 23.0 | −0.12 | −4.1 | 6.8 | −0.21 |
| R=GU | 14.8 | 24.3 | −0.11 | 0.8 | 10.3 | −0.20 |
| R=GUH+ | 13.1 | 21.2 | −0.12 | −2.2 | 5.9 | −0.21 |
Disclaimer/Publisher’s Note: The statements, opinions and data contained in all publications are solely those of the individual author(s) and contributor(s) and not of MDPI and/or the editor(s). MDPI and/or the editor(s) disclaim responsibility for any injury to people or property resulting from any ideas, methods, instructions or products referred to in the content. |
© 2024 by the authors. Licensee MDPI, Basel, Switzerland. This article is an open access article distributed under the terms and conditions of the Creative Commons Attribution (CC BY) license (https://creativecommons.org/licenses/by/4.0/).
Share and Cite
Antol, I.; Štrbac, P.; Murata, Y.; Margetić, D. Theoretical Study of the Mechanism of the Formation of Azomethine Ylide from Isatine and Sarcosine and Its Reactivity in 1,3-Dipolar Cycloaddition Reaction with 7-Oxabenzonorbornadiene. Int. J. Mol. Sci. 2024, 25, 6524. https://doi.org/10.3390/ijms25126524
Antol I, Štrbac P, Murata Y, Margetić D. Theoretical Study of the Mechanism of the Formation of Azomethine Ylide from Isatine and Sarcosine and Its Reactivity in 1,3-Dipolar Cycloaddition Reaction with 7-Oxabenzonorbornadiene. International Journal of Molecular Sciences. 2024; 25(12):6524. https://doi.org/10.3390/ijms25126524
Chicago/Turabian StyleAntol, Ivana, Petar Štrbac, Yasujiro Murata, and Davor Margetić. 2024. "Theoretical Study of the Mechanism of the Formation of Azomethine Ylide from Isatine and Sarcosine and Its Reactivity in 1,3-Dipolar Cycloaddition Reaction with 7-Oxabenzonorbornadiene" International Journal of Molecular Sciences 25, no. 12: 6524. https://doi.org/10.3390/ijms25126524
APA StyleAntol, I., Štrbac, P., Murata, Y., & Margetić, D. (2024). Theoretical Study of the Mechanism of the Formation of Azomethine Ylide from Isatine and Sarcosine and Its Reactivity in 1,3-Dipolar Cycloaddition Reaction with 7-Oxabenzonorbornadiene. International Journal of Molecular Sciences, 25(12), 6524. https://doi.org/10.3390/ijms25126524









