Preparation of Conductive Cellulose Coated with Conductive Polymer and Its Application in the Detection of pH and Characteristic Substances in Sweat
Abstract
1. Introduction
2. Results
2.1. Fabrication of Cellulose-Based Sweat Sensor
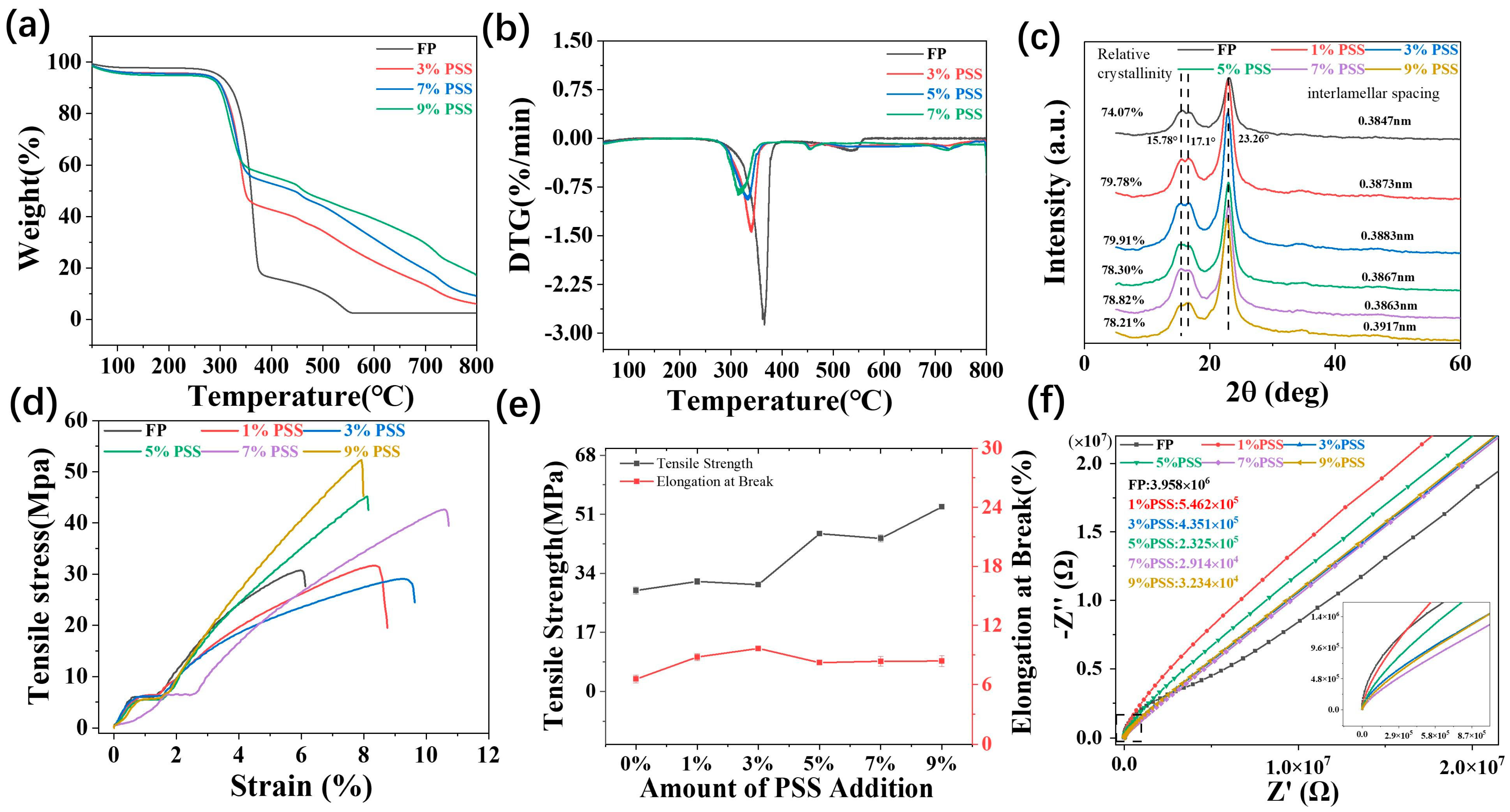
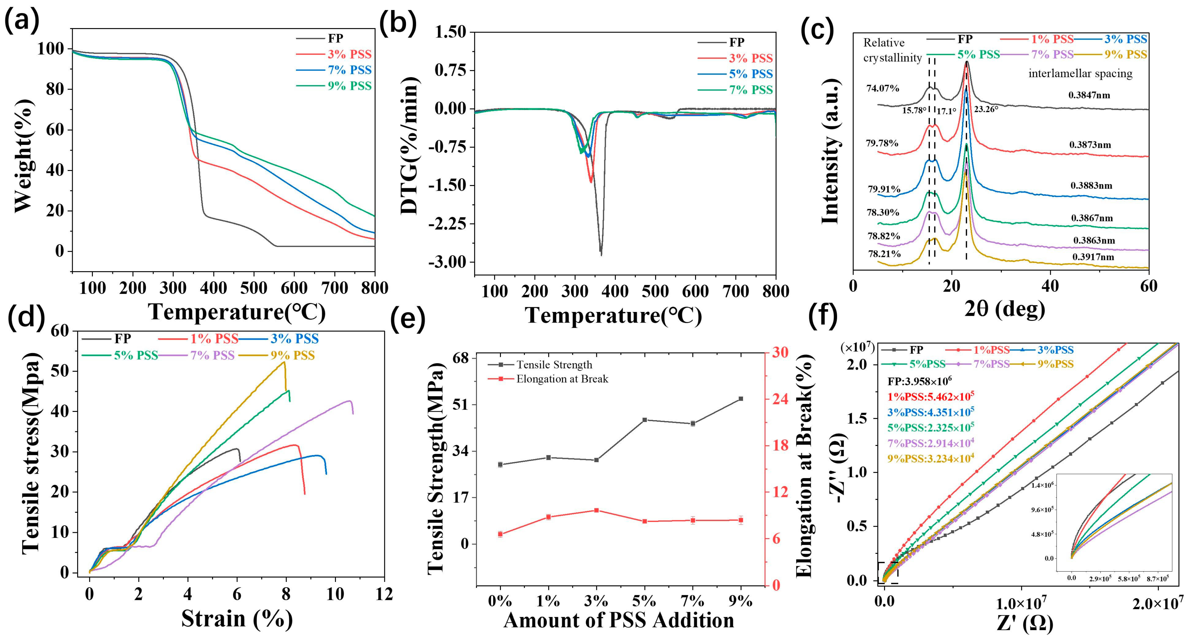
2.2. Structures and Properties of PSS/FP Membranes
2.3. Electrochemical Performance of PSS/FP Sensor
3. Discussion
4. Materials and Methods
4.1. Materials
4.2. Methods
4.3. Preparation of PSS/FP Membranes
4.4. pH Responsiveness Test
4.5. Preparation of Artificial Sweat
Author Contributions
Funding
Institutional Review Board Statement
Informed Consent Statement
Data Availability Statement
Conflicts of Interest
References
- Khan, S.; Ali, S.; Bermak, A. Recent developments in printing flexible and wearable sensing electronics for healthcare applications. Sensors 2019, 19, 1230. [Google Scholar] [CrossRef] [PubMed]
- Luo, N.; Dai, W.; Li, C. Flexible piezoresistive sensor patch enabling ultralow power cuffless blood pressure measurement. Adv. Funct. Mater. 2016, 26, 1178–1187. [Google Scholar] [CrossRef]
- Zhang, J.; Wan, L.; Gao, Y. Highly stretchable and self-healable MXene/polyvinyl alcohol hydrogel electrode for wearable capacitive electronic skin. Adv. Electron. Mater. 2019, 5, 1900285. [Google Scholar] [CrossRef]
- Dam, V.A.T.; Zevenbergen, M.A.G.; van Schaijk, R. Toward wearable patch for sweat analysis. Sens. Actuators B-Chem. 2016, 236, 834–838. [Google Scholar] [CrossRef]
- Zhang, X.; Chen, C.; Peng, D.; Zhou, Y.; Zhuang, J.; Zhang, X.; Hu, C.; Liu, Y.; Lei, B. pH-Responsive carbon dots with red emission for real-time and visual detection of amines. J. Mater. Chem. C 2020, 8, 11563–11571. [Google Scholar] [CrossRef]
- Son, J.; Bae, G.Y.; Lee, S. Cactus-Spine-Inspired Sweat-Collecting Patch for Fast and Continuous Monitoring of Sweat. Adv. Mater. 2021, 33, 2102740. [Google Scholar] [CrossRef] [PubMed]
- Yang, C.; Yu, S.; Yang, Q. Graphene supported platinum nanoparticles modified electrode and its enzymatic biosensing for lactic acid. J. Electrochem. Soc. 2018, 165, B665. [Google Scholar] [CrossRef]
- Pour, S.R.S.; Calabria, D.; Emamiamin, A. Microfluidic-Based Non-Invasive Wearable Biosensors for Real-Time Monitoring of Sweat Biomarkers. Biosensors 2024, 14, 29. [Google Scholar] [CrossRef] [PubMed]
- Tang, W.; Yin, L.; Sempionatto, J.R. Touch-based stressless cortisol sensing. Adv. Mater. 2021, 33, 2008465. [Google Scholar] [CrossRef]
- Seufert, B.; Thomas, S.; Takshi, A. Stretchable Nanofiber-Based Felt as a String Electrode for Potential Use in Wearable Glucose Biosensors. Sensors 2024, 24, 1283. [Google Scholar] [CrossRef]
- Qin, Y.; Mo, J.; Liu, Y. Stretchable Triboelectric Self-Powered Sweat Sensor Fabricated from Self-Healing Nanocellulose Hydrogels. Adv. Funct. Mater. 2022, 32, 2201846. [Google Scholar] [CrossRef]
- Qiao, L.; Benzigar, M.R.; Subramony, J.A. Advances in sweat wearables: Sample extraction, real-time biosensing, and flexible platforms. ACS Appl. Mater. Interfaces 2020, 12, 34337–34361. [Google Scholar] [CrossRef] [PubMed]
- He, W.; Wang, C.; Wang, H. Integrated textile sensor patch for real-time and multiplex sweat analysis. Sci. Adv. 2019, 5, eaax0649. [Google Scholar] [CrossRef]
- Gao, W.; Emaminejad, S.; Nyein, H.Y.Y. Fully integrated wearable sensor arrays for multiplexed in situ perspiration analysis. Nature 2016, 529, 509–514. [Google Scholar] [CrossRef] [PubMed]
- Jia, W.; Bandodkar, A.J.; Valdés-Ramírez, G. Electrochemical tattoo biosensors for real-time noninvasive lactate monitoring in human perspiration. Anal. Chem. 2013, 85, 6553–6560. [Google Scholar] [CrossRef] [PubMed]
- Zhang, L.; Liu, J.; Fu, Z. A wearable biosensor based on bienzyme gel-membrane for sweat lactate monitoring by mounting on eyeglasses. J. Nanosci. Nanotechnol. 2020, 20, 1495–1503. [Google Scholar] [CrossRef] [PubMed]
- Nyein, H.Y.Y.; Gao, W.; Shahpar, Z. A wearable electrochemical platform for noninvasive simultaneous monitoring of Ca2+ and pH. ACS Nano 2016, 10, 7216–7224. [Google Scholar] [CrossRef]
- Kim, J.; Jeerapan, I.; Imani, S.; Cho, T.N.; Bandodkar, A.; Cinti, S.; Mercier, P.P.; Wang, J. Noninvasive alcohol monitoring using a wearable tattoo-based iontophoretic-biosensing system. ACS Sens. 2016, 1, 1011–1019. [Google Scholar] [CrossRef]
- Chu, M.X.; Miyajima, K.; Takahashi, D. Soft contact lens biosensor for in situ monitoring of tear glucose as non-invasive blood sugar assessment. Talanta 2011, 83, 960–965. [Google Scholar] [CrossRef]
- Hu, Y.; Jiang, X.; Zhang, L. Construction of near-infrared photonic crystal glucose-sensing materials for ratiometric sensing of glucose in tears. Biosens. Bioelectron. 2013, 48, 94–99. [Google Scholar] [CrossRef]
- Rose, D.P.; Ratterman, M.E.; Griffin, D.K. Adhesive RFID sensor patch for monitoring of sweat electrolytes. IEEE Trans. Biomed. Eng. 2014, 62, 1457–1465. [Google Scholar] [CrossRef] [PubMed]
- Caldara, M.; Colleoni, C.; Guido, E. Optical monitoring of sweat pH by a textile fabric wearable sensor based on covalently bonded litmus-3-glycidoxypropyltrimethoxysilane coating. Sens. Actuators B Chem. 2016, 222, 213–220. [Google Scholar] [CrossRef]
- Holzmann, M.; Cnattingius, S.; Nordström, L. Lactate production as a response to intrapartum hypoxia in the growth-restricted fetus. BJOG Int. J. Obstet. Gynaecol. 2012, 119, 1265–1269. [Google Scholar] [CrossRef] [PubMed]
- Kost, G.J.; Nguyen, T.H.; Tang, Z. Whole-blood glucose and lactate: Trilayer biosensors, drug interference, metabolism, and practice guidelines. Arch. Pathol. Lab. Med. 2000, 124, 1128–1134. [Google Scholar] [CrossRef] [PubMed]
- Bandodkar, A.J.; Jia, W.; Yardımcı, C. Tattoo-based noninvasive glucose monitoring: A proof-of-concept study. Anal. Chem. 2015, 87, 394–398. [Google Scholar] [CrossRef] [PubMed]
- Mandpe, P.; Prabhakar, B.; Gupta, H. Glucose oxidase-based biosensor for glucose detection from biological fluids. Sens. Rev. 2020, 40, 497–511. [Google Scholar] [CrossRef]
- Kiani, S.; Rezaei, P.; Karami, M.; Sadeghzadeh, R.A. Band-stop filter sensor based on SIW cavity for the non-invasive measuring of blood glucose. IET Wirel. Sens. Syst. 2019, 9, 1–5. [Google Scholar] [CrossRef]
- Zhang, H.; Sun, L.; Song, C. Integrated solid-state wearable sweat sensor system for sodium and potassium ion concentration detection. Sens. Rev. 2022, 42, 76–88. [Google Scholar] [CrossRef]
- Mir, M.; Ali, M.N.; Ansari, U. Aqua-gel pH sensor: Intelligent engineering and evaluation of pH sensor based on multi-factorial testing regimes. Sens. Rev. 2018, 39, 178–189. [Google Scholar] [CrossRef]
- Chen, Y.; Sikkandhar, M.; Cheng, M.Y. Solid-state ion-selective pH sensor. IEEE Sens. J. 2022, 22, 11474–11479. [Google Scholar] [CrossRef]
- Agarwal, U.P.; Reiner, R.S.; Ralph, S.A. Characterization of the supramolecular structures of cellulose nanocrystals of different origins. Cellulose 2021, 28, 1369–1385. [Google Scholar] [CrossRef]
- Xu, T.; Ding, X.; Shao, C. Electric power generation through the direct interaction of pristine graphene-oxide with water molecules. Small 2018, 14, 1704473. [Google Scholar] [CrossRef] [PubMed]






| PSS Concentration | Loading Dosage |
|---|---|
| 1% | 0.2% |
| 3% | 6.7% |
| 5% | 15.4% |
| 7% | 12.4% |
| 9% | 20.9% |
| PSS Concentration | Viscosity (mPa.⋅S) |
|---|---|
| 1% | 248.9 |
| 3% | 302.2 |
| 5% | 337.8 |
| 7% | 444.4 |
| 9% | 613.3 |
Disclaimer/Publisher’s Note: The statements, opinions and data contained in all publications are solely those of the individual author(s) and contributor(s) and not of MDPI and/or the editor(s). MDPI and/or the editor(s) disclaim responsibility for any injury to people or property resulting from any ideas, methods, instructions or products referred to in the content. |
© 2024 by the authors. Licensee MDPI, Basel, Switzerland. This article is an open access article distributed under the terms and conditions of the Creative Commons Attribution (CC BY) license (https://creativecommons.org/licenses/by/4.0/).
Share and Cite
Wu, Y.; Hou, D.; Zheng, Y.; Lin, X.; Yang, F.; Liu, C.; Sun, H. Preparation of Conductive Cellulose Coated with Conductive Polymer and Its Application in the Detection of pH and Characteristic Substances in Sweat. Int. J. Mol. Sci. 2024, 25, 6393. https://doi.org/10.3390/ijms25126393
Wu Y, Hou D, Zheng Y, Lin X, Yang F, Liu C, Sun H. Preparation of Conductive Cellulose Coated with Conductive Polymer and Its Application in the Detection of pH and Characteristic Substances in Sweat. International Journal of Molecular Sciences. 2024; 25(12):6393. https://doi.org/10.3390/ijms25126393
Chicago/Turabian StyleWu, Yujia, Defa Hou, Yunwu Zheng, Xu Lin, Fulin Yang, Can Liu, and Hao Sun. 2024. "Preparation of Conductive Cellulose Coated with Conductive Polymer and Its Application in the Detection of pH and Characteristic Substances in Sweat" International Journal of Molecular Sciences 25, no. 12: 6393. https://doi.org/10.3390/ijms25126393
APA StyleWu, Y., Hou, D., Zheng, Y., Lin, X., Yang, F., Liu, C., & Sun, H. (2024). Preparation of Conductive Cellulose Coated with Conductive Polymer and Its Application in the Detection of pH and Characteristic Substances in Sweat. International Journal of Molecular Sciences, 25(12), 6393. https://doi.org/10.3390/ijms25126393

