Characterization of NR1J1 Paralog Responses of Marine Mussels: Insights from Toxins and Natural Activators
Abstract
1. Introduction
2. Results
2.1. Freshwater Cyanotoxins
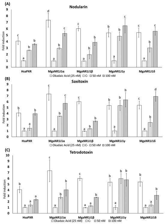
2.2. Marine Toxins
2.3. Natural Compounds
2.4. Algal Extracts
3. Discussion
4. Materials and Methods
4.1. Chemical and Reagents
4.2. Microalgae Extraction
4.3. Partial Gene Isolation and Plasmid Vector Construction
4.4. Compound Preparation and Testing Concentrations
4.5. Transfection and Transactivation Assays
4.6. Data Analysis and Statistics
5. Conclusions
Author Contributions
Funding
Institutional Review Board Statement
Informed Consent Statement
Data Availability Statement
Conflicts of Interest
References
- Laudet, V.; Gronemeyer, H. The Nuclear Receptor Facts Book, 1st ed.; Academic Press: Cambridge, MA, USA, 2002. [Google Scholar]
- Paps, J.; Holland, P.W.H. Reconstruction of the Ancestral Metazoan Genome Reveals an Increase in Genomic Novelty. Nat. Commun. 2018, 9, 1730. [Google Scholar] [CrossRef] [PubMed]
- Weikum, E.R.; Liu, X.; Ortlund, E.A. The Nuclear Receptor Superfamily: A Structural Perspective. Protein. Sci. 2018, 27, 1876–1892. [Google Scholar] [CrossRef] [PubMed]
- Bookout, A.L.; Jeong, Y.; Downes, M.; Yu, R.T.; Evans, R.M.; Mangelsdorf, D.J. Anatomical Profiling of Nuclear Receptor Expression Reveals a Hierarchical Transcriptional Network. Cell 2006, 126, 789–799. [Google Scholar] [CrossRef] [PubMed]
- Sharma, S.; Shen, T.; Chitranshi, N.; Gupta, V.; Basavarajappa, D.; Sarkar, S.; Mirzaei, M.; You, Y.; Wojciech, K.; Graham, S.L.; et al. Retinoid X Receptor: Cellular and Biochemical Roles of Nuclear Receptor with a Focus on Neuropathological Involvement. Mol. Neurobiol. 2022, 59, 2027–2050. [Google Scholar] [CrossRef]
- Krasowski, M.D.; Ni, A.; Hagey, L.R.; Ekins, S. Evolution of Promiscuous Nuclear Hormone Receptors: LXR, FXR, VDR, PXR, and CAR. Mol. Cell Endocrinol. 2011, 334, 39–48. [Google Scholar] [CrossRef] [PubMed]
- Frigo, D.E.; Bondesson, M.; Williams, C. Nuclear Receptors: From Molecular Mechanisms to Therapeutics. Essays Biochem. 2021, 65, 847. [Google Scholar] [CrossRef] [PubMed]
- Kaur, S.; Jobling, S.; Jones, C.S.; Noble, L.R.; Routledge, E.J.; Lockyer, A.E. The Nuclear Receptors of Biomphalaria glabrata and Lottia gigantea: Implications for Developing New Model Organisms. PLoS ONE 2015, 10, e0121259. [Google Scholar] [CrossRef] [PubMed]
- Kubota, A.; Goldstone, J.V.; Lemaire, B.; Takata, M.; Woodin, B.R.; Stegeman, J.J. Role of Pregnane X Receptor and Aryl Hydrocarbon Receptor in Transcriptional Regulation of pxr, cyp2, and cyp3 Genes in Developing Zebrafish. Toxicol. Sci. 2015, 143, 398–407. [Google Scholar] [CrossRef]
- Gomes, I.D.L.; Gazo, I.; Besnardeau, L.; Hebras, C.; McDougall, A.; Dumollard, R. Potential Roles of Nuclear Receptors in Mediating Neurodevelopmental Toxicity of Known Endocrine-Disrupting Chemicals in Ascidian Embryos. Mol. Reprod. Dev. 2019, 86, 1333–1347. [Google Scholar] [CrossRef]
- Darbre, P.D. Endocrine Disruption and Human Health; Elsevier BV: Amsterdam, The Netherlands, 2015; pp. 1–377. [Google Scholar] [CrossRef]
- Kliewer, S.A.; Goodwin, B.; Willson, T.M. The Nuclear Pregnane X Receptor: A Key Regulator of Xenobiotic Metabolism. Endocr. Rev. 2002, 23, 687–702. [Google Scholar] [CrossRef]
- Auwerx, J.; Baulieu, E.; Beato, M.; Becker-Andre, M.; Burbach, P.H.; Camerino, G.; Chambon, P.; Cooney, A.; Dejean, A.; Dreyer, C.; et al. A Unified Nomenclature System for the Nuclear Receptor Superfamily. Cell 1999, 97, 161–163. [Google Scholar] [CrossRef] [PubMed]
- Iyer, M.; Reschly, E.J.; Krasowski, M.D. Functional Evolution of the Pregnane X Receptor. Expert Opin. Drug Metab. Toxicol. 2006, 2, 381–397. [Google Scholar] [CrossRef] [PubMed]
- Zhao, P.; Gao, Y.; Zhou, Y.; Huang, M.; Fan, S.; Bi, H. Exogenous Pregnane X Receptor Does Not Undergo Liquid-Liquid Phase Separation in Nucleus under Cell-Based In Vitro Conditions. Drug Metab. Dispos. 2024, 52, 6. [Google Scholar] [CrossRef] [PubMed]
- Lille-Langøy, R.; Goldstone, J.V.; Rusten, M.; Milnes, M.R.; Male, R.; Stegeman, J.J.; Blumberg, B.; Goksøyr, A. Environmental Contaminants Activate Human and Polar Bear (Ursus maritimus) Pregnane X Receptors (PXR, NR1I2) Differently. Toxicol. Appl. Pharmacol. 2015, 284, 54–64. [Google Scholar] [CrossRef] [PubMed]
- Miglioli, A.; Canesi, L.; Gomes, I.D.L.; Schubert, M.; Dumollard, R. Nuclear Receptors and Development of Marine Invertebrates. Genes 2021, 12, 83. [Google Scholar] [CrossRef] [PubMed]
- Cruzeiro, C.; Lopes-Marques, M.; Ruivo, R.; Rodrigues-Oliveira, N.; Santos, M.M.; Rocha, M.J.; Rocha, E.; Filipe, L.; Castro, C. A Mollusk VDR/PXR/CAR-like (NR1J) Nuclear Receptor Provides Insight into Ancient Detoxification Mechanisms. Aquat. Toxicol. 2016, 174, 61–69. [Google Scholar] [CrossRef]
- Campos, A.; Puerto, M.; Prieto, A.; Caméan, A.; Almeida, A.M.; Coelho, A.V.; Vasconcelos, V. Protein Extraction and Two-Dimensional Gel Electrophoresis of Proteins in the Marine Mussel Mytilus galloprovincialis: An Important Tool for Protein Expression Studies, Food Quality and Safety Assessment. J. Sci. Food Agric. 2013, 93, 1779–1787. [Google Scholar] [CrossRef]
- Richter, I.; Fidler, A.E. Marine Invertebrate Xenobiotic-Activated Nuclear Receptors: Their Application as Sensor Elements in High-Throughput Bioassays for Marine Bioactive Compounds. Mar. Drugs 2014, 12, 5590–5618. [Google Scholar] [CrossRef]
- Filipa Mesquita, A.; José Mendes Gonçalves, F.; Marta Mendes Gonçalves, A. Marine Bivalves’ Ecological Roles and Humans-Environmental Interactions to Achieve Sustainable Aquatic Ecosystems. In Marine Ecosystems-Biodiversity, Ecosystem Services and Human Impacts; Environmental Sciences; IntechOpen: London, UK, 2024. [Google Scholar] [CrossRef]
- Tolson, A.H.; Wang, H. Regulation of Drug-Metabolizing Enzymes by Xenobiotic Receptors: PXR and CAR. Adv. Drug Deliv. Rev. 2010, 62, 1238–1249. [Google Scholar] [CrossRef]
- Seow, C.L.; Lau, A.J. Differential Activation of Pregnane X Receptor by Carnosic Acid, Carnosol, Ursolic Acid, and Rosmarinic Acid. Pharmacol. Res. 2017, 120, 23–33. [Google Scholar] [CrossRef]
- Staudinger, J.L.; Ding, X.; Lichti, K. Pregnane X Receptor and Natural Products: Beyond Drug–Drug Interactions. Expert. Opin. Drug Metab. Toxicol. 2006, 2, 847–857. [Google Scholar] [CrossRef] [PubMed]
- Fidler, A.E.; Holland, P.T.; Reschly, E.J.; Ekins, S.; Krasowski, M.D. Activation of a Tunicate (Ciona intestinalis) Xenobiotic Receptor Orthologue by Both Natural Toxins and Synthetic Toxicants. Toxicon 2012, 59, 365–372. [Google Scholar] [CrossRef] [PubMed]
- Ihunnah, C.A.; Jiang, M.; Xie, W. Nuclear Receptor PXR, Transcriptional Circuits and Metabolic Relevance. Biochim. Biophys. Acta 2011, 1812, 956–963. [Google Scholar] [CrossRef] [PubMed]
- Puerto, M.; Campos, A.; Prieto, A.; Cameán, A.; Martinho De Almeida, A.; Varela Coelho, A.; Vasconcelos, V. Differential Protein Expression in Two Bivalve Species; Mytilus galloprovincialis and Corbicula fluminea; Exposed to Cylindrospermopsis raciborskii Cells. Aquat. Toxicol. 2011, 101, 109–116. [Google Scholar] [CrossRef] [PubMed]
- Martins, J.C.; Leão, P.N.; Vasconcelos, V. Differential Protein Expression in Corbicula fluminea upon Exposure to a Microcystis aeruginosa Toxic Strain. Toxicon 2009, 53, 409–416. [Google Scholar] [CrossRef] [PubMed]
- Oliveira, F.; Diez-Quijada, L.; Turkina, M.V.; Morais, J.; Felpeto, A.B.; Azevedo, J.; Jos, A.; Camean, A.M.; Vasconcelos, V.; Martins, J.C.; et al. Physiological and Metabolic Responses of Marine Mussels Exposed to Toxic Cyanobacteria Microcystis aeruginosa and Chrysosporum ovalisporum. Toxins 2020, 12, 196. [Google Scholar] [CrossRef] [PubMed]
- Diez-Quijada, L.; de Oliveira, F.L.; Jos, Á.; Cameán, A.M.; Aparicio-Ruiz, R.; Vasconcelos, V.; Campos, A.; González-Vila, F.J.; González-Pérez, J.A. Alterations in Mediterranean Mussel (Mytilus galloprovincialis) Composition Exposed to Cyanotoxins as Revealed by Analytical Pyrolysis. J. Anal. Appl. Pyrolysis 2020, 152, 104970. [Google Scholar] [CrossRef]
- Li, W.; He, J.; Chen, J.; Xie, P. Excretion Pattern and Dynamics of Glutathione Detoxification of Microcystins in Sprague Dawley Rat. Chemosphere 2018, 191, 357–364. [Google Scholar] [CrossRef] [PubMed]
- Chen, J.; Xie, P. Seasonal Dynamics of the Hepatotoxic Microcystins in Various Organs of Four Freshwater Bivalves from the Large Eutrophic Lake Taihu of Subtropical China and the Risk to Human Consumption. Environ. Toxicol. 2005, 20, 572–584. [Google Scholar] [CrossRef]
- Takenaka, S. Covalent Glutathione Conjugation to Cyanobacterial Hepatotoxin Microcystin LR by F344 Rat Cytosolic and Microsomal Glutathione S-Transferases. Environ. Toxicol. Pharmacol. 2001, 9, 135–139. [Google Scholar] [CrossRef]
- Marr, J.C.; Hu, T.; Pleasance, S.; Quilliam, M.A.; Wright, J.L.C. Detection of New 7-O-Acyl Derivatives of Diarrhetic Shellfish Poisoning Toxins by Liquid Chromatography-Mass Spectrometry. Toxicon 1992, 30, 1621–1630. [Google Scholar] [CrossRef] [PubMed]
- Gerssen, A.; Mulder, P.P.J.; de Boer, J. Screening of Lipophilic Marine Toxins in Shellfish and Algae: Development of a Library Using Liquid Chromatography Coupled to Orbitrap Mass Spectrometry. Anal. Chim. Acta 2011, 685, 176–185. [Google Scholar] [CrossRef] [PubMed]
- Yasumoto, T.; Murata, M.; Oshima, Y.; Sano, M.; Matsumoto, G.K.; Clardy, J. Diarrhetic Shellfish Toxins. Tetrahedron 1985, 41, 1019–1025. [Google Scholar] [CrossRef]
- Konoki, K.; Onoda, T.; Watanabe, R.; Cho, Y.; Kaga, S.; Suzuki, T.; Yotsu-Yamashita, M. In Vitro Acylation of Okadaic Acid in the Presence of Various Bivalves’ Extracts. Mar. Drugs 2013, 11, 300–315. [Google Scholar] [CrossRef] [PubMed]
- Festa, C.; De Marino, S.; Dauria, M.V.; Bifulco, G.; Renga, B.; Fiorucci, S.; Petek, S.; Zampella, A. Solomonsterols A and B from Theonella swinhoei the First Example of C-24 and C-23 Sulfated Sterols from a Marine Source Endowed with a PXR Agonistic Activity. J. Med. Chem. 2011, 54, 401–405. [Google Scholar] [CrossRef]
- Mencarelli, A.; D’Amore, C.; Renga, B.; Cipriani, S.; Carino, A.; Sepe, V.; Perissutti, E.; D’Auria, M.V.; Zampella, A.; Distrutti, E.; et al. Solomonsterol A, a Marine Pregnane-X-Receptor Agonist, Attenuates Inflammation and Immune Dysfunction in a Mouse Model of Arthritis. Mar. Drugs 2014, 12, 36. [Google Scholar] [CrossRef]
- Bikle, D.D. Pregnane X Receptor Expression in Skin: The Good and the Bad. Exp. Dermatol. 2015, 24, 829–830. [Google Scholar] [CrossRef] [PubMed]
- Singh, L.N.; Hannenhalli, S. Functional Diversification of Paralogous Transcription Factors via Divergence in DNA Binding Site Motif and in Expression. PLoS ONE 2008, 3, e2345. [Google Scholar] [CrossRef]
- Li, X.; Ma, J.; Fang, Q.; Li, Y. Transcription Alterations of MicroRNAs, Cytochrome P4501A1 and 3A65, and AhR and PXR in the Liver of Zebrafish Exposed to Crude Microcystins. Toxicon 2013, 73, 17–22. [Google Scholar] [CrossRef]
- Chernoff, N.; Hill, D.; Lang, J.; Schmid, J.; Le, T.; Farthing, A.; Huang, H. The Comparative Toxicity of 10 Microcystin Congeners Administered Orally to Mice: Clinical Effects and Organ Toxicity. Toxins 2020, 12, 403. [Google Scholar] [CrossRef]
- Greeson, J.M.; Sanford, B.; Monti, D.A. St. John’s Wort (Hypericum perforatum): A Review of the Current Pharmacological, Toxicological, and Clinical Literature. Psychopharmacology 2001, 153, 402–414. [Google Scholar] [CrossRef] [PubMed]
- Sarrou, E.; Giassafaki, L.-P.; Masuero, D.; Perenzoni, D.; Vizirianakis, I.S.; Irakli, M.; Chatzopoulou, P.; Martens, S. Metabolomics Assisted Fingerprint of Hypericum perforatum Chemotypes and Assessment of Their Cytotoxic Activity. Food Chem. Toxicol. 2018, 114, 325–333. [Google Scholar] [CrossRef] [PubMed]
- Moore, L.B.; Goodwin, B.; Jones, S.A.; Wisely, G.B.; Serabjit-Singh, C.J.; Willson, T.M.; Collins, J.L.; Kliewer, S.A. St. John’s Wort Induces Hepatic Drug Metabolism through Activation of the Pregnane X Receptor. Proc. Natl. Acad. Sci. USA 2000, 97, 7500–7502. [Google Scholar] [CrossRef] [PubMed]
- Wentworth, J.M.; Agostini, M.; Love, J.; Schwabe, J.W.; Chatterjee, V.K.K. St John’s Wort, a Herbal Antidepressant, Activates the Steroid X Receptor. J. Endocrinol. 2000, 166, R11–R16. [Google Scholar] [CrossRef] [PubMed]
- Watkins, R.E.; Maglich, J.M.; Moore, L.B.; Wisely, G.B.; Noble, S.M.; Davis-Searles, P.R.; Lambert, M.H.; Kliewer, S.A.; Redinbo, M.R. Crystal Structure of Human PXR in Complex with the St. John’s Wort Compound Hyperforin. Biochemistry 2003, 42, 1430–1438. [Google Scholar] [CrossRef] [PubMed]
- Yan, T.; Luo, Y.; Xia, Y.; Hamada, K.; Wang, Q.; Yan, N.; Krausz, K.W.; Ward, J.M.; Hao, H.; Wang, P.; et al. St. John’s Wort alleviates dextran sodium sulfate-induced colitis through pregnane X receptor-dependent NFκB antagonism. FASEB J. Off. Publ. Fed. Am. Soc. Exp. Biol. 2021, 35, e21968. [Google Scholar] [CrossRef] [PubMed]
- Mancha-Ramirez, A.M.; Slaga, T.J. Ursolic Acid and Chronic Disease: An Overview of UA’s Effects on Prevention and Treatment of Obesity and Cancer. Adv. Exp. Med. Biol. 2016, 928, 75–96. [Google Scholar] [CrossRef] [PubMed]
- Shanmugam, M.K.; Nguyen, A.H.; Kumar, A.P.; Tan, B.K.H.; Sethi, G. Targeted Inhibition of Tumor Proliferation, Survival, and Metastasis by Pentacyclic Triterpenoids: Potential Role in Prevention and Therapy of Cancer. Cancer Lett. 2012, 320, 158–170. [Google Scholar] [CrossRef] [PubMed]
- Shanmugam, M.K.; Dai, X.; Kumar, A.P.; Tan, B.K.H.; Sethi, G.; Bishayee, A. Ursolic Acid in Cancer Prevention and Treatment: Molecular Targets, Pharmacokinetics and Clinical Studies. Biochem. Pharmacol. 2013, 85, 1579–1587. [Google Scholar] [CrossRef]
- Chang, H.Y.; Chen, C.J.; Ma, W.C.; Cheng, W.K.; Lin, Y.N.; Lee, Y.R.; Chen, J.J.; Lim, Y.P. Modulation of pregnane X receptor (PXR) and constitutive androstane receptor (CAR) activation by ursolic acid (UA) attenuates rifampin-isoniazid cytotoxicity. Phytomedicine 2017, 36, 37–49. [Google Scholar] [CrossRef]
- Máñez, S. A Fresh Insight into the Interaction of Natural Products with Pregnane X Receptor. Nat. Prod. Commun. 2008, 3, 2123–2128. [Google Scholar] [CrossRef]
- Yang, J.; Yan, B. Photochemotherapeutic Agent 8-Methoxypsoralen Induces Cytochrome P450 3A4 and Carboxylesterase HCE2: Evidence on an Involvement of the Pregnane X Receptor. Toxicol. Sci. 2007, 95, 13–22. [Google Scholar] [CrossRef] [PubMed]
- Duffy, J.B. GAL4 System in Drosophila: A Fly Geneticist’s Swiss Army Knife. Genesis 2002, 34, 1–15. [Google Scholar] [CrossRef] [PubMed]
- Fonseca, E.S.S.; Ruivo, R.; Machado, A.M.; Conrado, F.; Tay, B.H.; Venkatesh, B.; Santos, M.M.; Castro, L.F.C. Evolutionary Plasticity in Detoxification Gene Modules: The Preservation and Loss of the Pregnane X Receptor in Chondrichthyes Lineages. Int. J. Mol. Sci. 2019, 20, 2331. [Google Scholar] [CrossRef] [PubMed]
- Schagat, T.; Paguio, A.; Kopish, K. Normalizing Genetic Reporter Assays: Approaches and Considerations for Increasing Consistency and Statistical Significance; Promega: Madison, WI, USA, 2007. [Google Scholar]





| Nuclear Receptor | Oligonucleotide Sequence 5′→ 3′ | Tm (°C) |
|---|---|---|
| MgaNR1J1α | F: aaaGGATCCaaATGCGTAAAGACTGGATCT | 55 |
| R: aaaGGTACCTTACTTCTGTAAATTGAATACTTC | ||
| MgaNR1J1β | F: aaaGGATCCccATGAGAAAAGAGTACATATTA | |
| R: aaaGGTACCTCAAGATTTTTGTGGCAACTC | ||
| MgaNR1J1γ | F: aaaGGATCCacATGAGAAAAGATATGATATTAAAT | |
| R: aaaGGTACCTTAACTTGGCAAGTCAAATATCT | ||
| MgaNR1J1δ | F: aaaGGATCCaaATGAGAAAAGAAATGATTCTTG | |
| R: aaaGGTACCTCAAGATAGGTTCAAAATTTCCA |
Disclaimer/Publisher’s Note: The statements, opinions and data contained in all publications are solely those of the individual author(s) and contributor(s) and not of MDPI and/or the editor(s). MDPI and/or the editor(s) disclaim responsibility for any injury to people or property resulting from any ideas, methods, instructions or products referred to in the content. |
© 2024 by the authors. Licensee MDPI, Basel, Switzerland. This article is an open access article distributed under the terms and conditions of the Creative Commons Attribution (CC BY) license (https://creativecommons.org/licenses/by/4.0/).
Share and Cite
Casas-Rodríguez, A.; Medrano-Padial, C.; Jos, A.; Cameán, A.M.; Campos, A.; Fonseca, E. Characterization of NR1J1 Paralog Responses of Marine Mussels: Insights from Toxins and Natural Activators. Int. J. Mol. Sci. 2024, 25, 6287. https://doi.org/10.3390/ijms25126287
Casas-Rodríguez A, Medrano-Padial C, Jos A, Cameán AM, Campos A, Fonseca E. Characterization of NR1J1 Paralog Responses of Marine Mussels: Insights from Toxins and Natural Activators. International Journal of Molecular Sciences. 2024; 25(12):6287. https://doi.org/10.3390/ijms25126287
Chicago/Turabian StyleCasas-Rodríguez, Antonio, Concepción Medrano-Padial, Angeles Jos, Ana M. Cameán, Alexandre Campos, and Elza Fonseca. 2024. "Characterization of NR1J1 Paralog Responses of Marine Mussels: Insights from Toxins and Natural Activators" International Journal of Molecular Sciences 25, no. 12: 6287. https://doi.org/10.3390/ijms25126287
APA StyleCasas-Rodríguez, A., Medrano-Padial, C., Jos, A., Cameán, A. M., Campos, A., & Fonseca, E. (2024). Characterization of NR1J1 Paralog Responses of Marine Mussels: Insights from Toxins and Natural Activators. International Journal of Molecular Sciences, 25(12), 6287. https://doi.org/10.3390/ijms25126287

