Sustainable and Safe N-alkylation of N-heterocycles by Propylene Carbonate under Neat Reaction Conditions
Abstract
1. Introduction
2. Results
2.1. Phthalimide (1)
2.2. Isatin (2)
2.3. Phthalazin-1(2H)-One (3)
2.4. Pyrimidin-4(3H)-One (4)
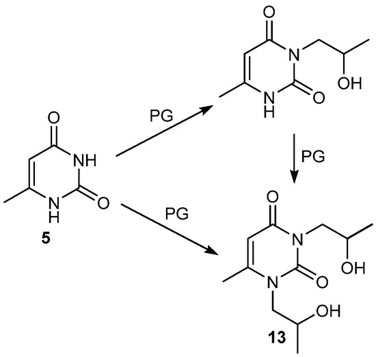
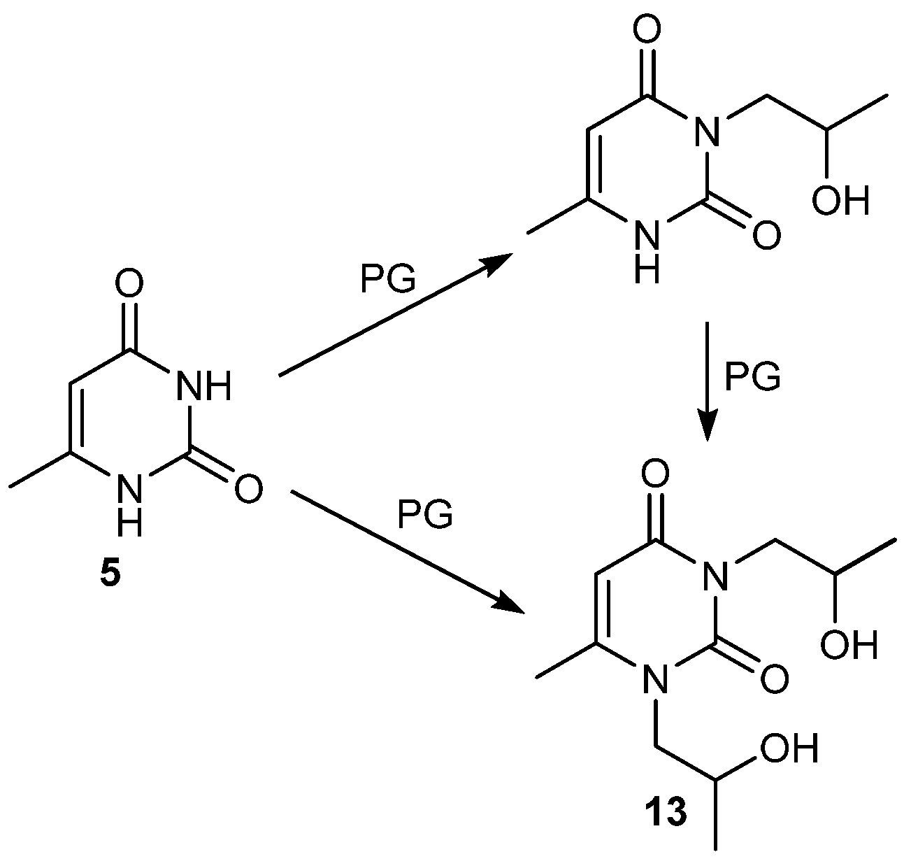
2.5. 6-Methylpyrimidine-2,4(1H,3H)-Dione (5)
2.6. 1H-Benzotriazole (6)
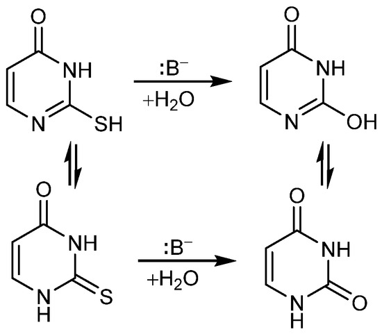
2.7. 2-Thiouracil (7)
2.8. Theoretical Calculations
3. Materials and Methods
4. Conclusions
Supplementary Materials
Author Contributions
Funding
Data Availability Statement
Acknowledgments
Conflicts of Interest
References
- Alder, C.M.; Hayler, J.D.; Henderson, R.K.; Redman, A.M.; Shukla, L.; Shuster, L.E.; Sneddon, H.F. Updating and further expanding GSK’s solvent sustainability guide. Green Chem. 2016, 18, 3879–3890. [Google Scholar] [CrossRef]
- Agatemor, C.; Quintana, A.A.; Sztapka, L.M.; Ebinuma, V.C.S. Enabling sustainable chemistry with ionic liquids and deep eutectic solvents: A fad or the future? Chem. Int. Ed. 2022, 37, e202205609. [Google Scholar]
- Tabanelli, T.; Giliberti, C.; Mazzoni, R.; Cucciniello, R.; Cavani, F. An innovative synthesis pathway to benzodioxanes: The peculiar reactivity of glycerol carbonate and catechol. Green Chem. 2019, 21, 329–338. [Google Scholar] [CrossRef]
- Czompa, A.; Pasztor, B.L.; Sahar, J.A.; Mucsi, Z.; Bogdan, D.; Ludanyi, K.; Varga, Z.; Mandity, I.M. Scope and limitation of propylene carbonate as a sustainable solvent in the Suzuki-Miyaura reaction. RSC Adv. 2019, 9, 37818–37824. [Google Scholar] [CrossRef]
- Chavakula, R.; Mutyala, N.; Chennupati, S. Synthesis of (E)-9-(Propen-1-yl)-9H-adenine, a Mutagenic Impurity in Tenofovir Disoproxil Fumarate. Org. Prep. Proced. Int. 2013, 45, 336–340. [Google Scholar] [CrossRef]
- Du, X.X.; Zi, Q.X.; Wu, Y.M.; Jin, Y.; Lin, J.; Yan, S.J. An environmentally benign multi-component reaction: Regioselective synthesis of fluorinated 2-aminopyridines using diverse properties of the nitro group. Green Chem. 2019, 21, 1505–1516. [Google Scholar] [CrossRef]
- Selva, M.; Fabris, M. The reaction of glycerol carbonate with primary aromatic amines in the presence of Y-and X-faujastites: The synthesis of N-(2,3-dihydroxy)propyl anilines and the reaction mechanism. Green Chem. 2009, 11, 1161–1172. [Google Scholar] [CrossRef]
- Nohra, B.; Candy, L.; Blanco, J.-F.; Raoul, Y.; Mouloungui, Z. Aza-Michael versus aminolysis reaction of glycerol carbonate acrylate. Green Chem. 2013, 15, 1900–1909. [Google Scholar]
- Dressler, H. CA 2043455C.
- Kinage, A.K.; Gupte, S.P.; Chaturvedi, R.K.; Chaudhari, R.V. Highly selective synthesis of mono-ethylene glycol phenyl ethers via hydroxyalkoxylation of phenols by cyclic carbonates using large pore zeolites. Catal. Commun. 2008, 9, 1649–1655. [Google Scholar] [CrossRef]
- Osterman-Golkar, S.; Bailey, E.; Farmer, P.B.; Gorf, S.M.; Lamb, J.H. Scand, Monitoring exposure to propylene oxide through the determination of hemoglobin alkylation. J. Work Environ. Health 1984, 10, 99–102. [Google Scholar] [CrossRef]
- Sobol, Z.; Engel, M.E.; Rubitski, E.; Ku, W.W.; Aubrecht, J.; Schiestl, R.H. Genotoxicity profiles of common alkyl halides ad esters with alkylating activity. Mutat. Res. 2007, 633, 80–94. [Google Scholar] [CrossRef] [PubMed]
- Sorribes, I.; Cabrero-Antonino, J.R.; Vicent, C.; Junge, K.; Beller, M. Catalytic N-alkylation of amines using carboxylic acids and molecular hydrogen. J. Am. Chem. Soc. 2015, 137, 13580–13587. [Google Scholar] [CrossRef] [PubMed]
- Wahba, A.E.; Hamann, M.T. Reductive N-alkylation of nitroarenes: A green approach for the N-alkylation of Natural Products. J. Org. Chem. 2012, 77, 4578–4585. [Google Scholar] [CrossRef] [PubMed]
- Wie, D.; Yang, P.; Yu, C.; Zhao, F.; Wang, Y.; Peng, Z. N-alkylation of amines with alcohols catalyzed by manganese(II) chloride or bromopentacarbonylmanganese(I). J. Org. Chem. 2021, 86, 2254–2263. [Google Scholar]
- Elangovan, S.; Neumann, J.; Sortais, J.B.; Junge, K.; Darcel, C.; Beller, M. Efficient and selective N-alkylation of amines with alcohols catalysed by manganese pincer complexes. Nat. Commun. 2016, 7, 12641. [Google Scholar] [CrossRef] [PubMed]
- Selva, M.; Fabris, M.; Lucchini, V.; Perosa, A.; Noé, M. The raction of primary aromatic amines with alkylene carbonates fort he selective synthesis of bis-N-(2-hydroxy)alkylanilines: The catalytic effect of phosphonium-based ionic liquids. Org. Biomol. Chem. 2010, 8, 5187–5198. [Google Scholar] [CrossRef]
- Lacy, M.Q.; Hayman, S.R.; Gertz, M.A.; Dispenzieri, A.; Buadi, F.; Kumar, S.; Greipp, P.R.; Lust, J.A.; Russell, S.J.; Dingli, D.; et al. Pomalidomide (CC4047) plus low-dose dexamethasone as therapy for relapsed multiple myeloma. J. Clin. Oncol. 2009, 27, 5008–5014. [Google Scholar] [CrossRef]
- Lu, J.; Qian, Y.; Altieri, M.; Dong, H.; Wang, J.; Raina, K.; Hines, J.; Winkler, J.D.; Crew, A.P.; Coleman, K.; et al. Hijacking the E3 ubiquitin ligase cereblon to efficiently target BRD4. Chem. Biol. 2015, 22, 755–763. [Google Scholar] [CrossRef]
- Neklesa, T.K.; Winkler, J.D.; Crews, C.M. Targeted protein degeneration by PROTACs. Pharmacol. Ther. 2017, 174, 138–144. [Google Scholar] [CrossRef]
- Varun, C.; Sonam; Kakkar, R. Isatin and its derivatives: A survey of recent syntheses, reactions, and application. Med. Chem. Commun. 2019, 10, 351–368. [Google Scholar] [CrossRef]
- Kemp, J.P.; Meltter, E.O.; Orgel, H.A.; Welch, M.J.; Bucholtz, G.A.; Middleton, E., Jr.; Spector, S.L.; Newton, J.J.; Perhach, J.L., Jr. A dose-response study of the bronchodilator action of azelastine in asthma. J. Allergy Clin. Immunol. 1987, 79, 893–899. [Google Scholar] [CrossRef] [PubMed]
- Grant, S.; Fitton, A. Risperidone: A review of its pharmacology and therapeutic potential in the treatment of schizophrenia. Drugs 1994, 48, 253–273. [Google Scholar] [CrossRef] [PubMed]
- Brogden, R.N.; Sorkin, E.M. Ketanserin: A review of its pharmacodynamic and pharmacokinetic properties, and therapeutic potential in hypertension and peripheral vascular disease. Drugs 1990, 40, 903–949. [Google Scholar] [CrossRef] [PubMed]
- Beshore, D.C.; Dudkin, V.; Garbaccio, R.M.; Johnson, A.W.; Kuduk, S.D.; Skudlarek, J.W.; Wang, C.; Fraley, M.E. US 2012/0135977A1.
- Sun, J.; Feng, Y.; Huang, Y.; Zhang, S.-Q.; Xin, M. Research advances on selective phosphatidylinositol 3 kinase δ (PI3Kδ) inhibitors. Bioorg. Med. Chem. Lett. 2020, 30, 127457. [Google Scholar] [CrossRef] [PubMed]
- Ranise, A.; Spallarossa, A.; Cesarini, S.; Bondavalli, F.; Schenone, S.; Bruno, O.; Menozzi, G.; Fossa, P.; Mosti, L.; La Colla, M.; et al. Structure-based design, parallel synthesis, structure−activity relationship, and molecular modeling studies of thiocarbamates, new potent non-nucleoside HIV-1 reverse transcriptase inhibitor isosteres of phenethylthiazolylthiourea derivatives. Med. Chem. 2005, 48, 3858–3873. [Google Scholar] [CrossRef] [PubMed]
- Fry, F.S., Jr.; Maienthal, M.; Benson, W.R. Synthesis of isopromethazine hydrochloride. J. Pharm. Sci. 1983, 72, 568–569. [Google Scholar] [CrossRef] [PubMed]
- Sikoraiová, J.; Marchalın, S.; Daıch, A.; Decroix, B. Acid-mediated intramolecular cationic cyclization using an oxygen atom as internal nucleophile: Synthesis of substituted oxazolo-, oxazino-and oxazepinoisoindolinones. Tetrahedron Lett. 2002, 43, 4747–4751. [Google Scholar] [CrossRef]
- Thibadeau, S.; Martin-Mingot, A.; Jouannetaud, M.-P.; Karam, O.; Zunino, F. A novel, facile route to β-fluoroamines by hydrofluorination using superacid HF–SbF5. Chem. Comm. 2007, 30, 3198–3200. [Google Scholar] [CrossRef]
- Gupta, P.; Rouf, A.; Shah, B.A.; Mukherjee, D.; Taneja, S.C. Efficient Preparation of Biologically Important 1, 2-Amino Alcohols. Synth. Commun. 2013, 43, 505–519. [Google Scholar] [CrossRef]
- Faldi, A.; Saunier, J.P.; Metais, E. FR 2915887A1.
- Moeller, H.; Oberkobusch, D.; Hoeffkes, H. EP 1300132A2.
- Shmidt, M.S.; Reverdito, A.M.; Kremenchuzky, L.; Perillo, I.A.; Blanco, M.M. Simple and efficient microwave assisted N-alkylation of isatin. Blanco Mol. 2008, 13, 831–840. [Google Scholar] [CrossRef]
- Casey, L.A.; Galt, R.; Page, M.I. The mechanism of hydrolysis of the γ-lactam isatin and its derivatives. J. Chem. Soc. Perkin Trans. 1993, 2, 23–28. [Google Scholar] [CrossRef]
- Chmiel-Szukiewicz, E. PL 228504B1.
- Molnar, I. In 1-und in 2-Stellung dialkylaminoalkylierte Benztriazole. Helv. Chimica Acta 1963, 46, 1473–1479. [Google Scholar] [CrossRef]
- Pchelka, B.K.; Loupy, A.; Petit, A. Preparation of various enantiomerically pure (benzotriazol-1-yl)-and (benzotriazol-2-yl)-alkan-2-ols. Tetrahedron Asymmetry 2006, 17, 2516–2530. [Google Scholar] [CrossRef]
- Moriarty, R.M.; Prakash, I.; Clarisse, D.E.; Penmasta, R.; Awasthi, A.K. Conversion of Thiocarbonyl into Carbonyl in Uracil, Uridine, and Escherichia coli Transfer RNA using Hypervalent iodine oxidation. J. Chem. Soc. Chem. Commun. 1987, 16, 1209–1210. [Google Scholar] [CrossRef]
- Matsui, M.; Kamiya, K.; Kawamura, S. Ozonization of thio-and azauracils. Bull. Chem. Soc. Jpn. 1989, 62, 2939–2941. [Google Scholar] [CrossRef]
- Novakov, I.A.; Orlinson, B.S.; Navrotskii, M.B. Desulfurization of 2-thioxo-1,2,3,4-tetrahydropyrimidin-4-ones with oxiranes and 2-haloacetonitriles. Russ. J. Org. Chem. 2005, 41, 607–609. [Google Scholar] [CrossRef]
- Atanu, R.; Conlee, C.R.; Defougerolles, A.; Fraley, A.W. WO 2015/089511A2.
- Agami, C.; Dechoux, L.; Melaimi, M. An Efficient Synthesis of Pyrimidines from β-Amino Alcohols. Org. Lett. 2000, 2, 633–634. [Google Scholar] [CrossRef] [PubMed]
- Agami, C.; Dechoux, L.; Hamon, L.; Melaimi, M.J. An efficient synthesis of a new series of acyclonucleosides starting from β-amino alcohols. Org. Chem. 2000, 65, 6666–6669. [Google Scholar] [CrossRef]
- Bochevarov, A.D.; Watson, M.A.; Greenwood, J.R.; Philipp, D.M. Multiconformation, density functional theory-based pKa prediction in application to large, flexible organic molecules with diverse functional groups. J. Chem. Theory Comput. 2016, 12, 6001–6019. [Google Scholar] [CrossRef]
- Yu, H.S.; Watson, M.A.; Bochevarov, A.D. Weighted averaging scheme and local atomic descriptor for pKa prediction based on density functional theory. J. Chem. Inf. Mod. 2018, 58, 271–286. [Google Scholar] [CrossRef]
- Klicić, J.J.; Friesner, R.A.; Liu, S.Y.; Guida, W.C. Accurate prediction of acidity constans in aqueous solution via density functional theory and self-consistent reaction field methods. J. Phys. Chem. A 2002, 106, 1327–1335. [Google Scholar] [CrossRef]

















| Entry | Heating | PC (mmol/%) | Base | T (°C) | Time (h) | Drying Agent | Yield (%) 8 |
|---|---|---|---|---|---|---|---|
| 1 | MW | 6/99% | 1 mmol 1M Na2CO3 | 130 | 2 | none | - |
| 2 | MW | 9/99% | 1 mmol 1M Na2CO3 | 130 | 2 | 100 mg MS (3 Å) | 49 |
| 3 | MW | 9/99% | 1 mmol Na2CO3 a | 150 | 1 | 1 mmol CaCl2 | 63 |
| 4 | MW | 9/99.7% | 1 mmol Na2CO3 a | 150 | 1 | none | 70 |
| 5 | oil bath | 9/99% | 1 mmol Na2CO3 a | 170 | 4 | 1 mmol CaCl2 | 66 |
| Entry | Heating | PC (mmol/%) | Na2CO3 | T (°C) | Time (h) | CaCl2 | Yield (%) 9 |
|---|---|---|---|---|---|---|---|
| 1 | MW | 9/99% | 1 mmol | 160 | 1 | 1 mmol | - |
| 2 | MW | 9/99.7% | 1 mmol | 150 | 1 | none | 77 |
| Entry | Heating | PC (mmol/%) | Na2CO3 | T (°C) | Time (h) | CaCl2 | Yield (%) 10 |
|---|---|---|---|---|---|---|---|
| 1 | oil bath | 12/99% | 1 mmol | 170 | 4 | 1 mmol | 28 |
| 2 | MW | 12/99% | 1 mmol | 150 | 4 | 1 mmol | 50 |
| 3 | MW | 12/99.7% | 1 mmol | 150 | 2 | none | 55 |
| Entry | Heating | PC (mmol/%) | Na2CO3 | T (°C) | Time (h) | CaCl2 | Yield (%) 11,12 |
|---|---|---|---|---|---|---|---|
| 1 | oil bath | 9/99% | 1 mmol | 170 | 3 | 1 mmol | 28, 54 |
| 2 | MW | 9/99.7% | 1 mmol | 150 | 1 | none | 42, 57 |
| Entry | Heating | PC (mmol/%) | Na2CO3 | T (°C) | Time (h) | CaCl2 | Yield (%) 13 |
|---|---|---|---|---|---|---|---|
| 1 | MW | 9/99% | 1 mmol | 150 | 6 | 1 mmol | 12 |
| 2 | MW | 9/99.7% | 1 mmol | 150 | 2 | none | 22 |
| 3 | MW | 9/99.7% | 1 mmol | 150 | 6 | none | 49 |
| 4 | oil bath | 12/99% | 1 mmol | 170 | 9 | 1 mmol | 6 |
| Entry | Heating | PC (mmol/%) | Na2CO3 | T (°C) | Time (h) | CaCl2 | Yield (%) 14, 15 |
|---|---|---|---|---|---|---|---|
| 1 | oil bath | 9/99% | 1 mmol | 170 | 3 | 1 mmol | 22, 47 |
| 2 | MW | 9/99% | 1 mmol | 150 | 3 | 1 mmol | 25, 53 |
| 3 | MW | 9/99.7% | 1 mmol | 150 | 4 | none | 35, 55 |
| Entry | Heating | PC (mmol/%) | Na2CO3 | T (°C) | Time (h) | CaCl2 | Yield (%) 16, 17, 18, 19 |
|---|---|---|---|---|---|---|---|
| 1 | oil bath | 9/99% | 1 mmol | 170 | 3 | 1 mmol | 11, 5, n.i., n.i. |
| 2 | MW | 9/99.7% | 1 mmol | 150 | 2 | none | n.i., 7, 34, 17 |
| 3 | MW | 9/99.7% | 1 mmol | 150 | 4 | none | n.i., 30, 20, 14 |
| Reactant | Product(s) Yield (%) |
|---|---|
| 1 | ![]() 8: 70% |
| 2 | ![]() 9: 77% |
| 3 [a] | ![]() 10: 55% |
| 4 | ![]() 11: 42% 12: 57% |
| 5 [b] | ![]() 13: 49% |
| 6 [c] | ![]() 14: 35% 15: 55% |
| 7 [c] | ![]() 17: 30% 18: 20% 19: 14% |
Disclaimer/Publisher’s Note: The statements, opinions and data contained in all publications are solely those of the individual author(s) and contributor(s) and not of MDPI and/or the editor(s). MDPI and/or the editor(s) disclaim responsibility for any injury to people or property resulting from any ideas, methods, instructions or products referred to in the content. |
© 2024 by the authors. Licensee MDPI, Basel, Switzerland. This article is an open access article distributed under the terms and conditions of the Creative Commons Attribution (CC BY) license (https://creativecommons.org/licenses/by/4.0/).
Share and Cite
Czompa, A.; Bogdán, D.; Balogh, B.; Erdei, E.; Selymes, P.; Csomos, A.; Mándity, I.M. Sustainable and Safe N-alkylation of N-heterocycles by Propylene Carbonate under Neat Reaction Conditions. Int. J. Mol. Sci. 2024, 25, 5523. https://doi.org/10.3390/ijms25105523
Czompa A, Bogdán D, Balogh B, Erdei E, Selymes P, Csomos A, Mándity IM. Sustainable and Safe N-alkylation of N-heterocycles by Propylene Carbonate under Neat Reaction Conditions. International Journal of Molecular Sciences. 2024; 25(10):5523. https://doi.org/10.3390/ijms25105523
Chicago/Turabian StyleCzompa, Andrea, Dóra Bogdán, Balázs Balogh, Eszter Erdei, Patrik Selymes, Attila Csomos, and István M. Mándity. 2024. "Sustainable and Safe N-alkylation of N-heterocycles by Propylene Carbonate under Neat Reaction Conditions" International Journal of Molecular Sciences 25, no. 10: 5523. https://doi.org/10.3390/ijms25105523
APA StyleCzompa, A., Bogdán, D., Balogh, B., Erdei, E., Selymes, P., Csomos, A., & Mándity, I. M. (2024). Sustainable and Safe N-alkylation of N-heterocycles by Propylene Carbonate under Neat Reaction Conditions. International Journal of Molecular Sciences, 25(10), 5523. https://doi.org/10.3390/ijms25105523








