Pre-Incisional and Multiple Intradermal Injection of N-Acetylcysteine Slightly Improves Incisional Wound Healing in an Animal Model
Abstract
1. Introduction
2. Results
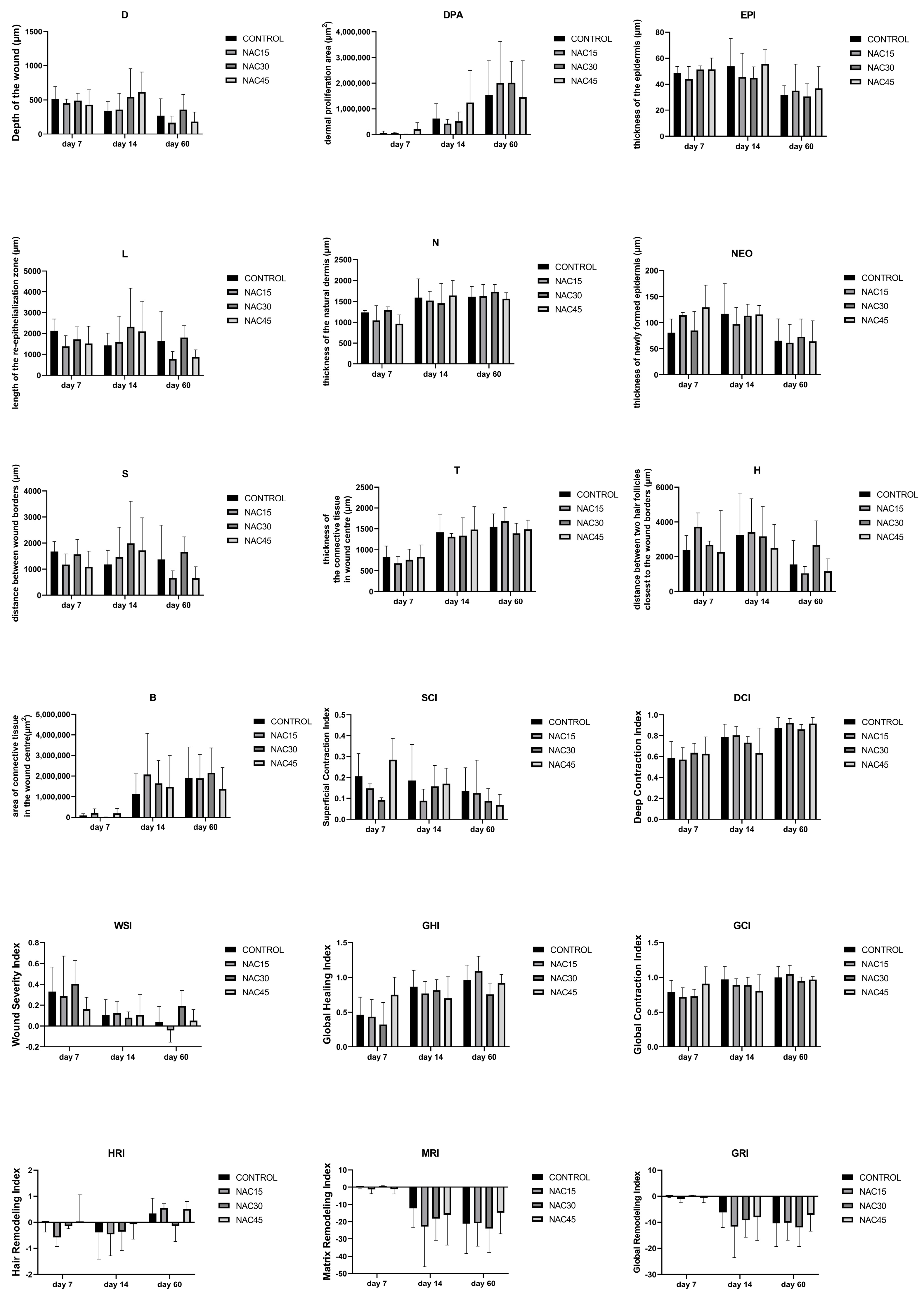
2.1. Histomorphometry
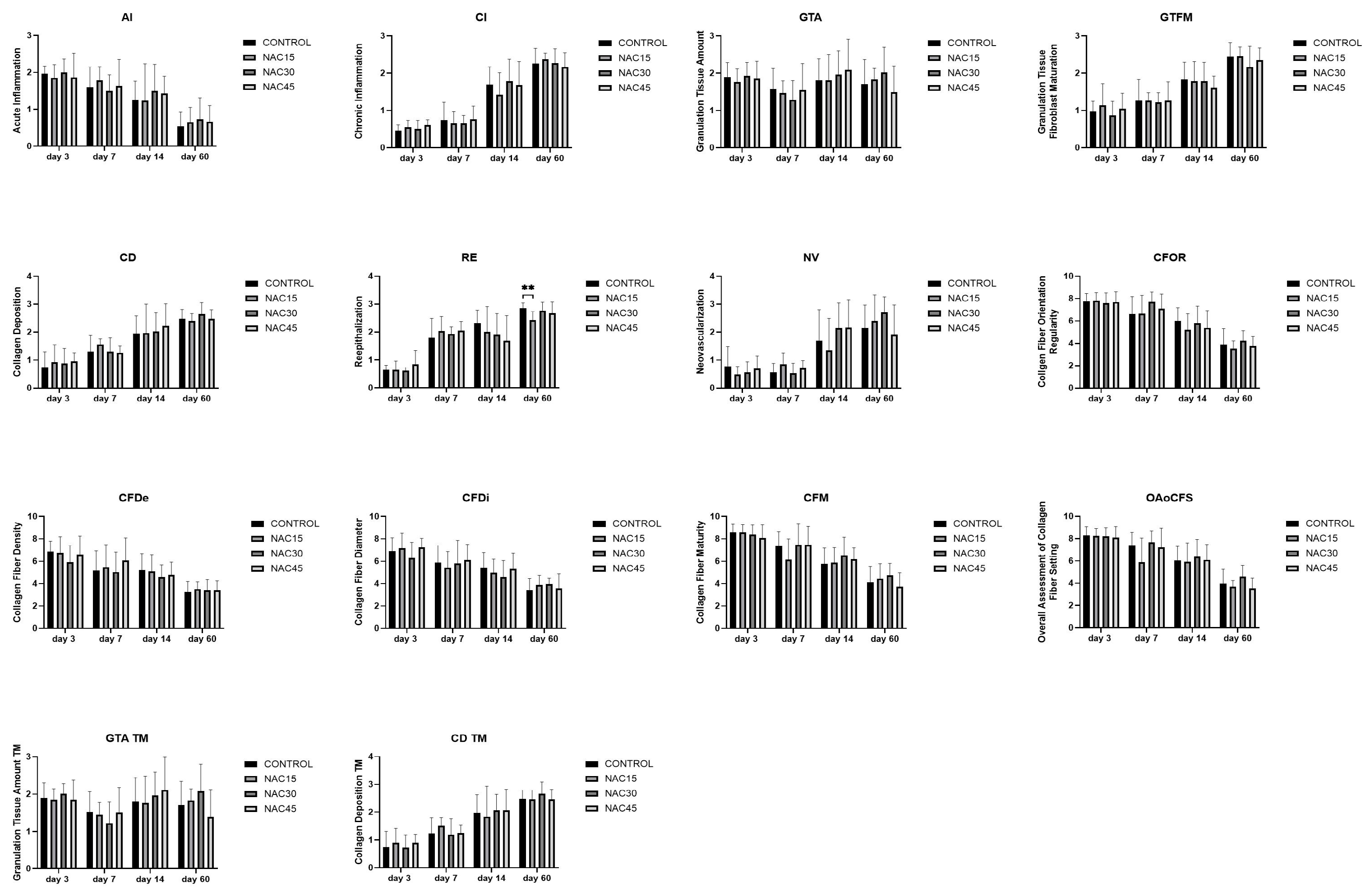
2.2. Collagen Fiber Organization
2.3. Immunohistochemical Staining
2.4. Histological Assessment of Scars
2.5. Wound and Scar Planimetric Analysis Based on Photographic Documentation
3. Discussion
4. Materials and Methods
4.1. Animals
4.2. Surgical Procedures
4.3. Evaluation of Macroscopic Wound Healing in Time—Photographic Documentation and Scar Area Quantification
4.4. Scar Tissue Collection, Staining and Analysis
4.5. Scar Histology Analysis
4.6. Histomorphometry
4.7. Collagen Fiber Arrangement Analysis
4.8. Statistical Analysis
5. Conclusions
- NAC doses administered via multiple injections in the early phase of surgical wound healing showed no significant improvement in the investigated parameters of immunohistochemistry and the histological assessment of overall wound healing processes.
- Multiple doses of 0.045% NAC significantly decreased mean scar width at the late stage of the wound healing process (day 60) and improved collagen fiber organization in the early and remodeling phases.
- It is recommended for future studies to combine the pre-incisional NAC intradermal injections with further doses administered topically to minimize injury to the dermal layer.
- It is proposed that NAC therapy may be administered in different phases of wound healing as an adjunctive therapy, as it significantly lowers the mean width of the surgical scar.
Supplementary Materials
Author Contributions
Funding
Institutional Review Board Statement
Informed Consent Statement
Data Availability Statement
Conflicts of Interest
References
- Hong, Y.K.; Chang, Y.H.; Lin, Y.C.; Chen, B.; Guevara, B.E.K.; Hsu, C.K. Inflammation in Wound Healing and Pathological Scarring. Adv. Wound Care 2023, 12, 288–300. [Google Scholar] [CrossRef]
- Wilson, S.H.; Sirianni, J.M.; Bridges, K.H.; Wolf, B.J.; Valente, I.E.; Scofield, M.D. The impact of intraoperative N-acetylcysteine on opioid consumption following spine surgery: A randomized pilot trial. Pain Manag. 2023, 13, 593–602. [Google Scholar] [CrossRef] [PubMed]
- Pérez-Torres, I.; Aisa-Álvarez, A.; Casarez-Alvarado, S.; Borrayo, G.; Márquez-Velasco, R.; Guarner-Lans, V.; Manzano-Pech, L.; Cruz-Soto, R.; Gonzalez-Marcos, O.; Fuentevilla-Álvarez, G.; et al. Impact of Treatment with Antioxidants as an Adjuvant to Standard Therapy in Patients with Septic Shock: Analysis of the Correlation between Cytokine Storm and Oxidative Stress and Therapeutic Effects. Int. J. Mol. Sci. 2023, 24, 16610. [Google Scholar] [CrossRef] [PubMed]
- AbdelRazek, M.; Mohamed, O.; Ashour, R.; Alemam, M.; El-Gelany, M.; Abdel-Kader, M.S. Effect of co-trimoxazole and N-acetylcysteine alone and in combination on bacterial adherence on ureteral stent surface. Urolithiasis 2023, 52, 11. [Google Scholar] [CrossRef] [PubMed]
- Komakula, S.; Bhatia, R.; Sahib, A.; Upadhyay, A.; S, L.J.; Garg, A.; Y, V.V.; Pandit, A.K.; Vibha, D.; Singh, M.B.; et al. Safety and efficacy of N-acetylcysteine (NAC) as an adjunct to standard treatment in patients with acute ischemic stroke: A randomized controlled pilot trial (NACTLYS). Sci. Rep. 2024, 14, 1103. [Google Scholar] [CrossRef] [PubMed]
- Tsai, M.L.; Huang, H.P.; Hsu, J.D.; Lai, Y.R.; Hsiao, Y.P.; Lu, F.J.; Chang, H.R. Topical N-acetylcysteine accelerates wound healing in vitro and in vivo via the PKC/Stat3 pathway. Int. J. Mol. Sci. 2014, 15, 7563–7578. [Google Scholar] [CrossRef] [PubMed]
- Yilmaz, B.; Türkçü, G.; Şengül, E.; Gül, A.; Özkurt, F.E.; Akdağ, M. Efficacy of N-Acetylcysteine on Wound Healing of Nasal Mucosa. J. Craniofacial Surg. 2015, 26, e422–e426. [Google Scholar] [CrossRef] [PubMed]
- Muhammad, Z. Clinical and Histological Effects of N-acetyl Cysteine Intraperitoneal Injection on Primary Wound Healing in Rabbits. Al-Rafidain Dent. J. 2021, 21, 165–176. [Google Scholar] [CrossRef]
- Paskal, W.; Kopka, M.; Stachura, A.; Paskal, A.M.; Pietruski, P.; Pełka, K.; Woessner, A.E.; Quinn, K.P.; Galus, R.; Wejman, J.; et al. Single Dose of N-Acetylcysteine in Local Anesthesia Increases Expression of HIF1α, MAPK1, TGFβ1 and Growth Factors in Rat Wound Healing. Int. J. Mol. Sci. 2021, 22, 8659. [Google Scholar] [CrossRef]
- Paskal, W.; Paskal, A.M.; Pietruski, P.; Stachura, A.; Pełka, K.; Woessner, A.E.; Quinn, K.P.; Kopka, M.; Galus, R.; Wejman, J.; et al. N-Acetylcysteine Added to Local Anesthesia Reduces Scar Area and Width in Early Wound Healing-An Animal Model Study. Int. J. Mol. Sci. 2021, 22, 7549. [Google Scholar] [CrossRef]
- Hong, W.X.; Hu, M.S.; Esquivel, M.; Liang, G.Y.; Rennert, R.C.; McArdle, A.; Paik, K.J.; Duscher, D.; Gurtner, G.C.; Lorenz, H.P.; et al. The Role of Hypoxia-Inducible Factor in Wound Healing. Adv. Wound Care 2014, 3, 390–399. [Google Scholar] [CrossRef] [PubMed]
- Wang, G.; Yang, F.; Zhou, W.; Xiao, N.; Luo, M.; Tang, Z. The initiation of oxidative stress and therapeutic strategies in wound healing. Biomed. Pharmacother. 2023, 157, 114004. [Google Scholar] [CrossRef] [PubMed]
- Zhou, J.; Xu, J.; Sun, S.; Guo, M.; Li, P.; Cheng, A. N-Acetylcysteine Slows Down Cardiac Pathological Remodeling by Inhibiting Cardiac Fibroblast Proliferation and Collagen Synthesis. Dis. Markers 2021, 2021, 3625662. [Google Scholar] [CrossRef] [PubMed]
- Krzyszczyk, P.; Schloss, R.; Palmer, A.; Berthiaume, F. The Role of Macrophages in Acute and Chronic Wound Healing and Interventions to Promote Pro-wound Healing Phenotypes. Front. Physiol. 2018, 9, 419. [Google Scholar] [CrossRef] [PubMed]
- Wilgus, T.A.; Roy, S.; McDaniel, J.C. Neutrophils and Wound Repair: Positive Actions and Negative Reactions. Adv. Wound Care 2013, 2, 379–388. [Google Scholar] [CrossRef] [PubMed]
- Woodfin, A.; Voisin, M.B.; Nourshargh, S. PECAM-1: A multi-functional molecule in inflammation and vascular biology. Arter. Thromb. Vasc. Biol. 2007, 27, 2514–2523. [Google Scholar] [CrossRef] [PubMed]
- DeLisser, H.M.; Christofidou-Solomidou, M.; Strieter, R.M.; Burdick, M.D.; Robinson, C.S.; Wexler, R.S.; Kerr, J.S.; Garlanda, C.; Merwin, J.R.; Madri, J.A.; et al. Involvement of endothelial PECAM-1/CD31 in angiogenesis. Am. J. Pathol. 1997, 151, 671–677. [Google Scholar] [PubMed]
- Turner, P.V.; Brabb, T.; Pekow, C.; Vasbinder, M.A. Administration of substances to laboratory animals: Routes of administration and factors to consider. J. Am. Assoc. Lab. Anim. Sci. 2011, 50, 600–613. [Google Scholar] [PubMed]
- Pranantyo, D.; Yeo, C.K.; Wu, Y.; Fan, C.; Xu, X.; Yip, Y.S.; Vos, M.I.G.; Mahadevegowda, S.H.; Lim, P.L.K.; Yang, L.; et al. Hydrogel dressings with intrinsic antibiofilm and antioxidative dual functionalities accelerate infected diabetic wound healing. Nat. Commun. 2024, 15, 954. [Google Scholar] [CrossRef]
- Ozkaya, H.; Omma, T.; Bag, Y.M.; Uzunoglu, K.; Isildak, M.; Duymus, M.E.; Kismet, K.; Senes, M.; Fidanci, V.; Celepli, P.; et al. Topical and Systemic Effects of N-acetyl Cysteine on Wound Healing in a Diabetic Rat Model. Wounds 2019, 31, 91–96. [Google Scholar]
- Hou, J.; Chen, L.; Zhou, M.; Li, J.; Liu, J.; Fang, H.; Zeng, Y.; Sun, J.; Wang, Z. Multi-Layered Polyamide/Collagen Scaffolds with Topical Sustained Release of N-Acetylcysteine for Promoting Wound Healing. Int. J. Nanomed. 2020, 15, 1349–1361. [Google Scholar] [CrossRef]
- Wejman, J.; Pyzlak, M.; Szukiewicz, D.; Jarosz, D.; Tarnowski, W.; Szewczyk, G. Thrombospondin and VEGF-R: Is there a correlation in inflammatory bowel disease? Mediat. Inflamm. 2013, 2013, 908259. [Google Scholar] [CrossRef] [PubMed]
- Bankhead, P.; Loughrey, M.B.; Fernández, J.A.; Dombrowski, Y.; McArt, D.G.; Dunne, P.D.; McQuaid, S.; Gray, R.T.; Murray, L.J.; Coleman, H.G.; et al. QuPath: Open source software for digital pathology image analysis. Sci. Rep. 2017, 7, 16878. [Google Scholar] [CrossRef] [PubMed]
- Abramov, Y.; Golden, B.; Sullivan, M.; Botros, S.M.; Miller, J.J.; Alshahrour, A.; Goldberg, R.P.; Sand, P.K. Histologic characterization of vaginal vs. abdominal surgical wound healing in a rabbit model. Wound Repair Regen. 2007, 15, 80–86. [Google Scholar] [CrossRef] [PubMed]
- Lemo, N.; Marignac, G.; Reyes-Gomez, E.; Lilin, T.; Crosaz, O.; Ehrenfest, D.D. Cutaneous reepithelialization and wound contraction after skin biopsies in rabbits: A mathematical model for healing and remodelling index. Vet. Arh. 2010, 80, 637–652. [Google Scholar]
- Gouma, E.; Simos, Y.; Verginadis, I.; Lykoudis, E.; Evangelou, A.; Karkabounas, S. A simple procedure for estimation of total body surface area and determination of a new value of Meeh’s constant in rats. Lab. Anim. 2012, 46, 40–45. [Google Scholar] [CrossRef] [PubMed]
- Quinn, K.P.; Georgakoudi, I. Rapid quantification of pixel-wise fiber orientation data in micrographs. J. Biomed. Opt. 2013, 18, 046003. [Google Scholar] [CrossRef]
- Quinn, K.P.; Golberg, A.; Broelsch, G.F.; Khan, S.; Villiger, M.; Bouma, B.; Austen, W.G., Jr.; Sheridan, R.L.; Mihm, M.C., Jr.; Yarmush, M.L.; et al. An automated image processing method to quantify collagen fibre organization within cutaneous scar tissue. Exp. Dermatol. 2015, 24, 78–80. [Google Scholar] [CrossRef]








| Day 3 | Day 7 | Day 14 | Day 60 | |||||||||
|---|---|---|---|---|---|---|---|---|---|---|---|---|
| Control | gNAC | p | Control | gNAC | p | Control | gNAC | p | Control | gNAC | p | |
| Mean ± SD | Mean ± SD | Mean ± SD | Mean ± SD | Mean ± SD | Mean ± SD | Mean ± SD | Mean ± SD | |||||
| CD31% of positive cells | 13.61 ± 4.95 | 14.83 ± 5.84 | 0.50 | 4.07 ± 3.60 | 4.06 ± 2.38 | 0.99 | 4.69 ± 3.35 | 3.72 ± 2.31 | 0.32 | 2.32 ± 1.10 | 2.08 ± 0.99 | 0.48 |
| CD31 n of positive cells/mm2 | 284.79 ± 116.89 | 261.83 ± 118.359 | 0.56 | 92.14 ± 95.45 | 95.57 ± 69.35 | 0.90 | 104.18 ± 88.28 | 98.43 ± 80.88 | 0.84 | 49.58 ± 26.73 | 42.87 ± 26.91 | 0.46 |
| CD68% of positive cells | 13.22 ± 4.66 | 12.89 ± 4.83 | 0.85 | 4.57 ± 2.84 | 6.51 ± 6.31 | 0.24 | 8.54 ± 10.14 | 7.37 ± 12.05 | 0.76 | 1.31 ± 1.24 | 1.01 ± 0.58 | 0.36 |
| CD68 n of positive cells/mm2 | 485.88 ± 155.56 | 487.91 ± 189.11 | 0.97 | 165.24 ± 125.13 | 232.01 ± 215.72 | 0.26 | 369.41 ± 459.21 | 310.91 ± 517.73 | 0.72 | 46.01 ± 46.19 | 34.39 ± 21.52 | 0.34 |
| MPO% of positive cells | 31.20 ± 5.59 | 22.96 ± 4.79 | 0.65 | 4.41 ± 5.03 | 4.41 ± 3.73 | 0.99 | 3.96 ± 3.07 | 3.85 ± 4.88 | 0.93 | 1.44 ± 0.91 | 2.06 ± 2.46 | 0.32 |
| MPO n of positive cells/mm2 | 461.19 ± 194.93 | 456.33 ± 206.25 | 0.94 | 157.43 ± 189.01 | 166.50 ± 156.83 | 0.88 | 163.42 ± 139.78 | 170.23 ± 231.46 | 0.92 | 48.61 ± 30.86 | 71.20 ± 80.63 | 0.27 |
Disclaimer/Publisher’s Note: The statements, opinions and data contained in all publications are solely those of the individual author(s) and contributor(s) and not of MDPI and/or the editor(s). MDPI and/or the editor(s) disclaim responsibility for any injury to people or property resulting from any ideas, methods, instructions or products referred to in the content. |
© 2024 by the authors. Licensee MDPI, Basel, Switzerland. This article is an open access article distributed under the terms and conditions of the Creative Commons Attribution (CC BY) license (https://creativecommons.org/licenses/by/4.0/).
Share and Cite
Pascal, W.; Smoliński, A.; Gotowiec, M.; Wojtkiewicz, M.; Stachura, A.; Pełka, K.; Kopka, M.; Quinn, K.P.; Woessner, A.E.; Grzelecki, D.; et al. Pre-Incisional and Multiple Intradermal Injection of N-Acetylcysteine Slightly Improves Incisional Wound Healing in an Animal Model. Int. J. Mol. Sci. 2024, 25, 5200. https://doi.org/10.3390/ijms25105200
Pascal W, Smoliński A, Gotowiec M, Wojtkiewicz M, Stachura A, Pełka K, Kopka M, Quinn KP, Woessner AE, Grzelecki D, et al. Pre-Incisional and Multiple Intradermal Injection of N-Acetylcysteine Slightly Improves Incisional Wound Healing in an Animal Model. International Journal of Molecular Sciences. 2024; 25(10):5200. https://doi.org/10.3390/ijms25105200
Chicago/Turabian StylePascal, Wiktor, Antoni Smoliński, Mateusz Gotowiec, Marta Wojtkiewicz, Albert Stachura, Kacper Pełka, Michał Kopka, Kyle P. Quinn, Alan E. Woessner, Dariusz Grzelecki, and et al. 2024. "Pre-Incisional and Multiple Intradermal Injection of N-Acetylcysteine Slightly Improves Incisional Wound Healing in an Animal Model" International Journal of Molecular Sciences 25, no. 10: 5200. https://doi.org/10.3390/ijms25105200
APA StylePascal, W., Smoliński, A., Gotowiec, M., Wojtkiewicz, M., Stachura, A., Pełka, K., Kopka, M., Quinn, K. P., Woessner, A. E., Grzelecki, D., & Włodarski, P. (2024). Pre-Incisional and Multiple Intradermal Injection of N-Acetylcysteine Slightly Improves Incisional Wound Healing in an Animal Model. International Journal of Molecular Sciences, 25(10), 5200. https://doi.org/10.3390/ijms25105200

