Comparative Evaluation of Adipokine Metrics for the Diagnosis of Gestational Diabetes Mellitus
Abstract
:1. Introduction
2. Results
2.1. Characteristics and Comparison of the Study Group (GDM) and the Control Group
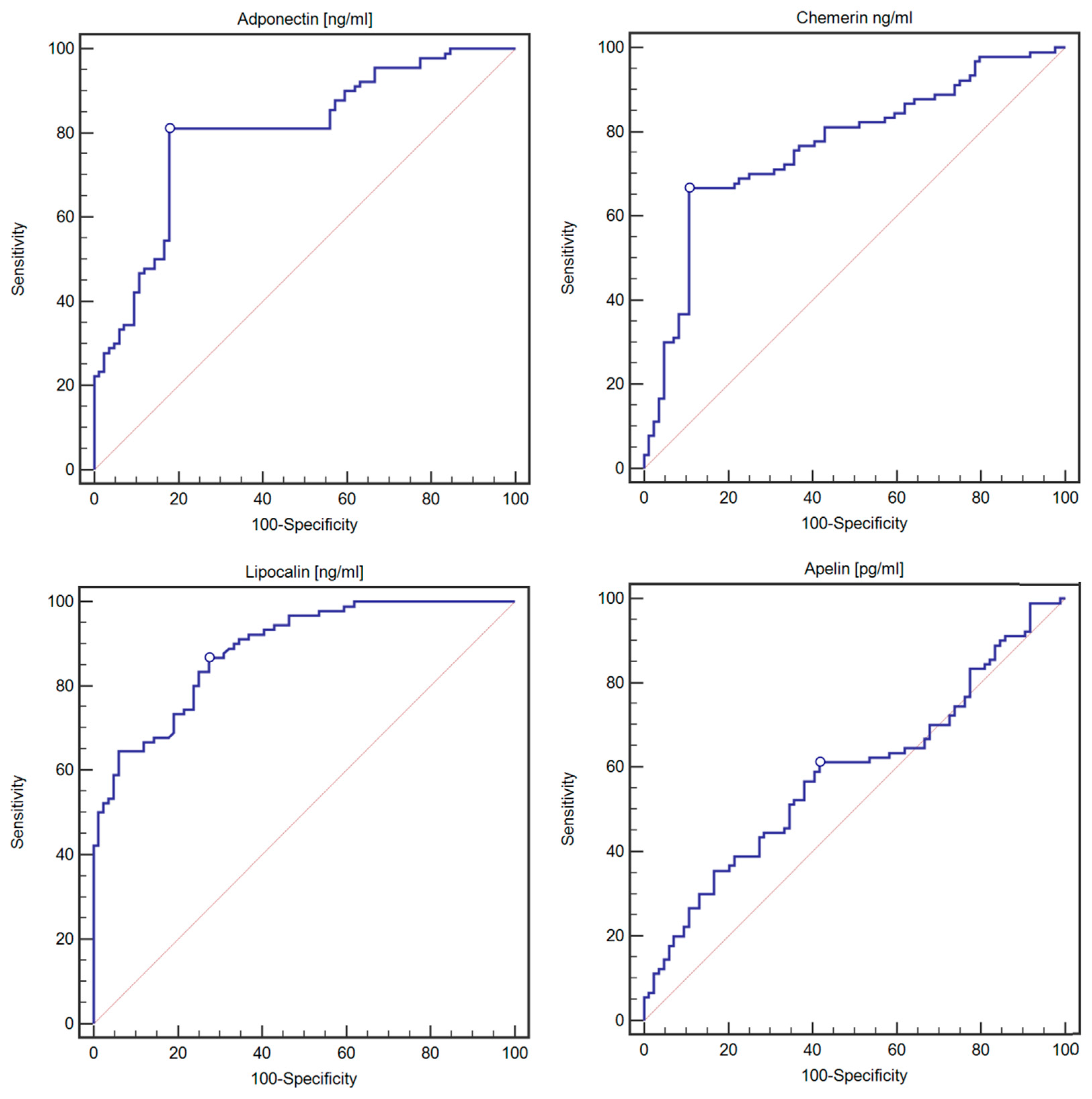
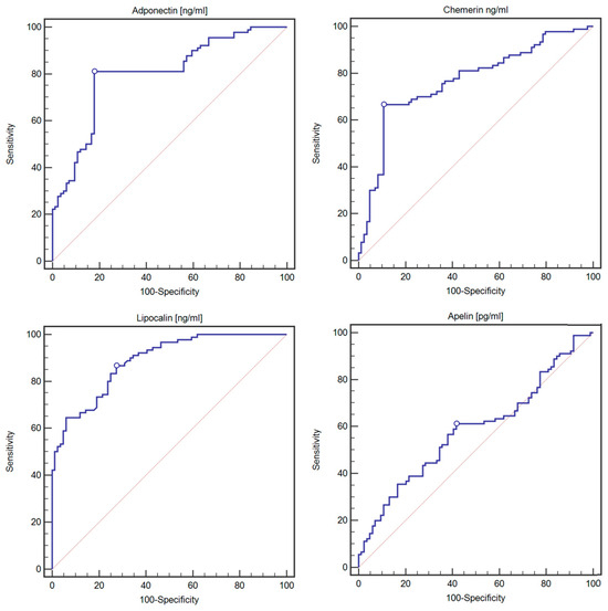
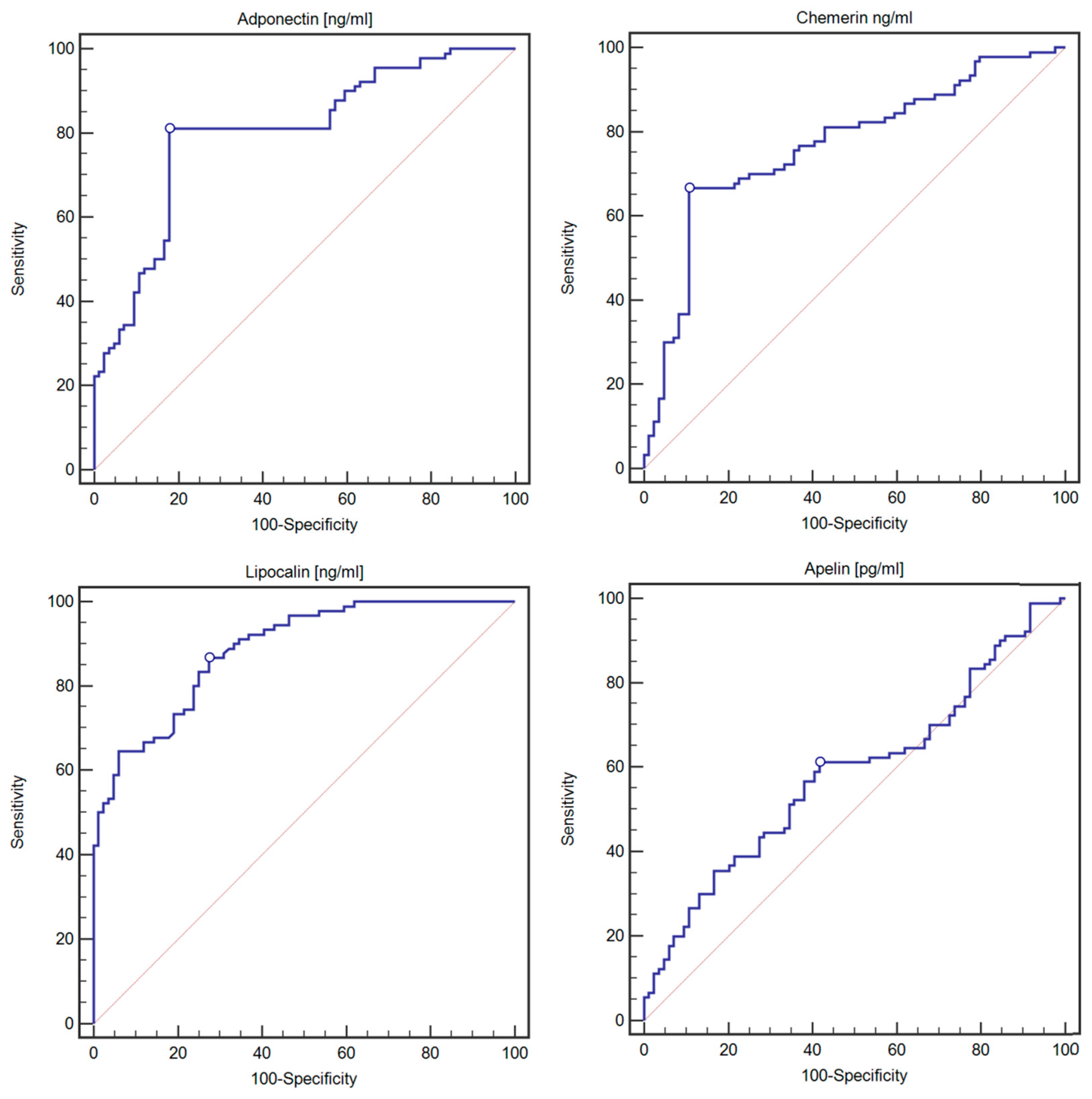
2.2. Evaluation of the Diagnostic Usefulness of the Tested Adipokines in Detecting GDM Diabetes Using ROC Curves
3. Discussion
4. Materials and Methods
5. Conclusions
Author Contributions
Funding
Institutional Review Board Statement
Informed Consent Statement
Data Availability Statement
Conflicts of Interest
References
- Plows, J.; Stanley, J.; Baker, P.; Reynolds, C.; Vickers, M. The Pathophysiology of Gestational Diabetes Mellitus. Int. J. Mol. Sci. 2018, 19, 3342. [Google Scholar] [CrossRef] [PubMed]
- Yuen, L.; Wong, V.W.; Simmons, D. Ethnic Disparities in Gestational Diabetes. Curr. Diab. Rep. 2018, 18, 68. [Google Scholar] [CrossRef] [PubMed]
- Quintanilla Rodriguez, B.S.; Mahdy, H. Gestational Diabetes; StatPearls Publishing: Treasure Island, FL, USA, 2022. [Google Scholar]
- Chiefari, E.; Arcidiacono, B.; Foti, D.; Brunetti, A. Gestational Diabetes Mellitus: An Updated Overview. J. Endocrinol. Invest. 2017, 40, 899–909. [Google Scholar] [CrossRef] [PubMed]
- Weir, G.C.; Laybutt, D.R.; Kaneto, H.; Bonner-Weir, S.; Sharma, A. Beta-Cell Adaptation and Decompensation during the Progression of Diabetes. Diabetes 2001, 50, S154–S159. [Google Scholar] [CrossRef] [PubMed]
- Prentki, M. Islet Cell Failure in Type 2 Diabetes. J. Clin. Investig. 2006, 116, 1802–1812. [Google Scholar] [CrossRef] [PubMed]
- Nguyen-Ngo, C.; Jayabalan, N.; Salomon, C.; Lappas, M. Molecular Pathways Disrupted by Gestational Diabetes Mellitus. J. Mol. Endocrinol. 2019, 63, R51–R72. [Google Scholar] [CrossRef]
- Zhao, C.; Zhao, C.; Zhao, H. Defective Insulin Receptor Signaling in Patients with Gestational Diabetes Is Related to Dysregulated miR-140 Which Can Be Improved by Naringenin. Int. J. Biochem. Cell Biol. 2020, 128, 105824. [Google Scholar] [CrossRef]
- Di Cianni, G.; Miccoli, R.; Volpe, L.; Lencioni, C.; Del Prato, S. Intermediate Metabolism in Normal Pregnancy and in Gestational Diabetes. Diabetes Metab. Res. Rev. 2003, 19, 259–270. [Google Scholar] [CrossRef]
- Cypryk, K. Cukrzyca ciążowa—Rozpoznawanie i leczenie. Ginekol. Perinatol. Prakt. 2016, 1, 41–44. [Google Scholar]
- McIntyre, H.D.; Catalano, P.; Zhang, C.; Desoye, G.; Mathiesen, E.R.; Damm, P. Gestational Diabetes Mellitus. Nat. Rev. Dis. Primers 2019, 5, 47. [Google Scholar] [CrossRef]
- Luo, L.; Liu, M. Adipose Tissue in Control of Metabolism. J. Endocrinol. 2016, 231, R77–R99. [Google Scholar] [CrossRef] [PubMed]
- Al-Badri, M.R.; Zantout, M.S.; Azar, S.T. The Role of Adipokines in Gestational Diabetes Mellitus. Ther. Adv. Endocrinol. 2015, 6, 103–108. [Google Scholar] [CrossRef] [PubMed]
- Fang, H.; Judd, R.L. Adiponectin Regulation and Function. In Comprehensive Physiology; Pollock, D.M., Ed.; John Wiley & Sons, Inc.: Hoboken, NJ, USA, 2018; pp. 1031–1063. ISBN 978-0-470-65071-4. [Google Scholar]
- Fasshauer, M.; Blüher, M.; Stumvoll, M. Adipokines in Gestational Diabetes. Lancet Diabetes Endocrinol. 2014, 2, 488–499. [Google Scholar] [CrossRef] [PubMed]
- Blüher, M. Clinical Relevance of Adipokines. Diabetes Metab. J. 2012, 36, 317. [Google Scholar] [CrossRef] [PubMed]
- Achari, A.E.; Jain, S.K. Adiponectin, a Therapeutic Target for Obesity, Diabetes, and Endothelial Dysfunction. Int. J. Mol. Sci. 2017, 18, 1321. [Google Scholar] [CrossRef] [PubMed]
- Gustafson, B.; Jack, M.M.; Cushman, S.W.; Smith, U. Adiponectin Gene Activation by Thiazolidinediones Requires PPARγ2, but Not C/EBPα—Evidence for Differential Regulation of the aP2 and Adiponectin Genes. Biochem. Biophys. Res. Commun. 2003, 308, 933–939. [Google Scholar] [CrossRef] [PubMed]
- Ott, R.; Stupin, J.H.; Melchior, K.; Schellong, K.; Ziska, T.; Dudenhausen, J.W.; Henrich, W.; Rancourt, R.C.; Plagemann, A. Alterations of Adiponectin Gene Expression and DNA Methylation in Adipose Tissues and Blood Cells Are Associated with Gestational Diabetes and Neonatal Outcome. Clin. Epigenetics 2018, 10, 131. [Google Scholar] [CrossRef] [PubMed]
- da Silva Rosa, S.C.; Liu, M.; Sweeney, G. Adiponectin Synthesis, Secretion and Extravasation from Circulation to Interstitial Space. Physiology 2021, 36, 134–149. [Google Scholar] [CrossRef]
- Bozkurt, L.; Göbl, C.S.; Baumgartner-Parzer, S.; Luger, A.; Pacini, G.; Kautzky-Willer, A. Adiponectin and Leptin at Early Pregnancy: Association to Actual Glucose Disposal and Risk for GDM—A Prospective Cohort Study. Int. J. Endocrinol. 2018, 2018, 5463762. [Google Scholar] [CrossRef]
- Jara, A.; Dreher, M.; Porter, K.; Christian, L.M. The Association of Maternal Obesity and Race with Serum Adipokines in Pregnancy and Postpartum: Implications for Gestational Weight Gain and Infant Birth Weight. Brain Behav. Immun. Health 2020, 3, 100053. [Google Scholar] [CrossRef]
- Hedderson, M.M.; Darbinian, J.; Havel, P.J.; Quesenberry, C.P.; Sridhar, S.; Ehrlich, S.; Ferrara, A. Low Prepregnancy Adiponectin Concentrations Are Associated with a Marked Increase in Risk for Development of Gestational Diabetes Mellitus. Diabetes Care 2013, 36, 3930–3937. [Google Scholar] [CrossRef]
- Kjeldsen, L.; Bainton, D.; Sengelov, H.; Borregaard, N. Identification of Neutrophil Gelatinase-Associated Lipocalin as a Novel Matrix Protein of Specific Granules in Human Neutrophils. Blood 1994, 83, 799–807. [Google Scholar] [CrossRef]
- Auguet, T.; Quintero, Y.; Terra, X.; Martínez, S.; Lucas, A.; Pellitero, S.; Aguilar, C.; Hernández, M.; del Castillo, D.; Richart, C. Upregulation of Lipocalin 2 in Adipose Tissues of Severely Obese Women: Positive Relationship with Proinflammatory Cytokines. Obesity 2011, 19, 2295–2300. [Google Scholar] [CrossRef]
- Hvidberg, V.; Jacobsen, C.; Strong, R.K.; Cowland, J.B.; Moestrup, S.K.; Borregaard, N. The Endocytic Receptor Megalin Binds the Iron Transporting Neutrophil-Gelatinase-Associated Lipocalin with High Affinity and Mediates Its Cellular Uptake. FEBS Lett. 2005, 579, 773–777. [Google Scholar] [CrossRef]
- Wang, Y.; Lam, K.S.L.; Kraegen, E.W.; Sweeney, G.; Zhang, J.; Tso, A.W.; Chow, W.-S.; Wat, N.M.; Xu, J.Y.; Hoo, R.L.; et al. Lipocalin-2 Is an Inflammatory Marker Closely Associated with Obesity, Insulin Resistance, and Hyperglycemia in Humans. Clin. Chem. 2007, 53, 34–41. [Google Scholar] [CrossRef]
- Elkhidir, A.E.; Eltaher, H.B.; Mohamed, A.O. Association of Lipocalin-2 Level, Glycemic Status and Obesity in Type 2 Diabetes Mellitus. BMC Res. Notes 2017, 10, 285. [Google Scholar] [CrossRef]
- Mosialou, I.; Shikhel, S.; Liu, J.-M.; Maurizi, A.; Luo, N.; He, Z.; Huang, Y.; Zong, H.; Friedman, R.A.; Barasch, J.; et al. MC4R-Dependent Suppression of Appetite by Bone-Derived Lipocalin 2. Nature 2017, 543, 385–390. [Google Scholar] [CrossRef]
- Bhusal, A.; Rahman, M.H.; Lee, W.-H.; Bae, Y.C.; Lee, I.-K.; Suk, K. Paradoxical Role of Lipocalin-2 in Metabolic Disorders and Neurological Complications. Biochem. Pharmacol. 2019, 169, 113626. [Google Scholar] [CrossRef]
- Kobara, H.; Miyamoto, T.; Suzuki, A.; Asaka, R.; Yamada, Y.; Ishikawa, K.; Kikuchi, N.; Ohira, S.; Shiozawa, T. Lipocalin2 Enhances the Matrix Metalloproteinase-9 Activity and Invasion of Extravillous Trophoblasts under Hypoxia. Placenta 2013, 34, 1036–1043. [Google Scholar] [CrossRef]
- Roman, A.; Parlee, S.; Sinal, C. Chemerin: A Potential Endocrine Link between Obesity and Type 2 Diabetes. Endocrine 2012, 42, 243–251. [Google Scholar] [CrossRef]
- Fatima, S.S.; Rehman, R.; Baig, M.; Khan, T.A. New Roles of the Multidimensional Adipokine: Chemerin. Peptides 2014, 62, 15–20. [Google Scholar] [CrossRef] [PubMed]
- Monnier, J.; Lewén, S.; O’Hara, E.; Huang, K.; Tu, H.; Butcher, E.C.; Zabel, B.A. Expression, Regulation, and Function of Atypical Chemerin Receptor CCRL2 on Endothelial Cells. J. Immunol. 2012, 189, 956–967. [Google Scholar] [CrossRef] [PubMed]
- Estienne, A.; Bongrani, A.; Reverchon, M.; Ramé, C.; Ducluzeau, P.-H.; Froment, P.; Dupont, J. Involvement of Novel Adipokines, Chemerin, Visfatin, Resistin and Apelin in Reproductive Functions in Normal and Pathological Conditions in Humans and Animal Models. Int. J. Mol. Sci. 2019, 20, 4431. [Google Scholar] [CrossRef] [PubMed]
- Wittamer, V.; Franssen, J.-D.; Vulcano, M.; Mirjolet, J.-F.; Le Poul, E.; Migeotte, I.; Brézillon, S.; Tyldesley, R.; Blanpain, C.; Detheux, M.; et al. Specific Recruitment of Antigen-Presenting Cells by Chemerin, a Novel Processed Ligand from Human Inflammatory Fluids. J. Exp. Med. 2003, 198, 977–985. [Google Scholar] [CrossRef]
- Yang, M.; Zhou, X.; Xu, J.; Yang, B.; Yu, J.; Gong, Q.; Zhang, X.; Sun, X.; Zhang, Q.; Xia, J.; et al. Association of Serum Chemerin and Inflammatory Factors with Type 2 Diabetes Macroangiopathy and Waist-to-Stature Ratio. Bosn. J. Basic Med. Sci. 2019, 19, 328. [Google Scholar] [CrossRef]
- Singh, A.; Choubey, M.; Bora, P.; Krishna, A. Adiponectin and Chemerin: Contrary Adipokines in Regulating Reproduction and Metabolic Disorders. Reprod. Sci. 2018, 25, 1462–1473. [Google Scholar] [CrossRef]
- Chu, S.H.; Lee, M.K.; Ahn, K.Y.; Im, J.-A.; Park, M.S.; Lee, D.-C.; Jeon, J.Y.; Lee, J.W. Chemerin and adiponectin contribute reciprocally to metabolic syndrome. PLoS ONE 2012, 7, e34710. [Google Scholar] [CrossRef]
- Begum, M.; Choubey, M.; Tirumalasetty, M.B.; Arbee, S.; Mohib, M.M.; Wahiduzzaman, M.; Mamun, M.M.; Uddin, M.B.; Mohiuddin, M.S. Adiponectin: A Promising Target for the Treatment of Diabetes and Its Complications. Life 2023, 13, 2213. [Google Scholar] [CrossRef]
- Hashimoto, T.; Kihara, M.; Imai, N.; Yoshida, S.; Shimoyamada, H.; Yasuzaki, H.; Ishida, J.; Toya, Y.; Kiuchi, Y.; Hirawa, N.; et al. Requirement of Apelin-Apelin Receptor System for Oxidative Stress-Linked Atherosclerosis. Am. J. Pathol. 2007, 171, 1705–1712. [Google Scholar] [CrossRef]
- Mesmin, C.; Fenaille, F.; Becher, F.; Tabet, J.-C.; Ezan, E. Identification and Characterization of Apelin Peptides in Bovine Colostrum and Milk by Liquid Chromatography–Mass Spectrometry. J. Proteome Res. 2011, 10, 5222–5231. [Google Scholar] [CrossRef]
- Mierzyński, R.; Poniedziałek-Czajkowska, E.; Dłuski, D.; Kamiński, M.; Mierzyńska, A.; Leszczyńska-Gorzelak, B. The Potential Role of Chemerin, Lipocalin 2, and Apelin in the Diagnosis and Pathophysiology of Gestational Diabetes Mellitus. J. Diabetes Res. 2021, 2021, e5547228. [Google Scholar] [CrossRef]
- Dawid, M.; Mlyczyńska, E.; Jurek, M.; Respekta, N.; Pich, K.; Kurowska, P.; Gieras, W.; Milewicz, T.; Kotula-Balak, M.; Rak, A. Apelin, APJ, and ELABELA: Role in Placental Function, Pregnancy, and Foetal Development—An Overview. Cells 2021, 11, 99. [Google Scholar] [CrossRef]
- Telejko, B.; Kuzmicki, M.; Wawrusiewicz-Kurylonek, N.; Szamatowicz, J.; Nikolajuk, A.; Zonenberg, A.; Zwierz-Gugala, D.; Jelski, W.; Laudański, P.; Wilczynski, J.; et al. Plasma Apelin Levels and Apelin/APJ mRNA Expression in Patients with Gestational Diabetes Mellitus. Diabetes Res. Clin. Pract. 2010, 87, 176–183. [Google Scholar] [CrossRef]
- Wang, G.; Kundu, R.; Han, S.; Qi, X.; Englander, E.W.; Quertermous, T.; Greeley, G.H. Ontogeny of apelin and its receptor in the rodent gastrointestinal tract. Regul. Pept. 2009, 158, 32–39. [Google Scholar] [CrossRef]
- Habata, Y.; Fujii, R.; Hosoya, M.; Fukusumi, S.; Kawamata, Y.; Hinuma, S.; Kitada, C.; Nishizawa, N.; Murosaki, S.; Kurokawa, T.; et al. Apelin, the Natural Ligand of the Orphan Receptor APJ, Is Abundantly Secreted in the Colostrum. Biochim. Biophys. Acta 1999, 1452, 25–35. [Google Scholar] [CrossRef]
- Cavallo, M.G.; Sentinelli, F.; Barchetta, I.; Costantino, C.; Incani, M.; Perra, L.; Capoccia, D.; Romeo, S.; Cossu, E.; Leonetti, F.; et al. Altered Glucose Homeostasis Is Associated with Increased Serum Apelin Levels in Type 2 Diabetes Mellitus. PLoS ONE 2012, 7, e51236. [Google Scholar] [CrossRef]
- Vince, K.; Perković, P.; Matijević, R. What Is Known and What Remains Unresolved Regarding Gestational Diabetes Mellitus (GDM). J. Perinat. Med. 2020, 48, 757–763. [Google Scholar] [CrossRef]
- Najafi, F.; Hasani, J.; Izadi, N.; Hashemi-Nazari, S.; Namvar, Z.; Mohammadi, S.; Sadeghi, M. The Effect of Prepregnancy Body Mass Index on the Risk of Gestational Diabetes Mellitus: A Systematic Review and Dose-response Meta-analysis. Obes. Rev. 2019, 20, 472–486. [Google Scholar] [CrossRef]
- Hakanen, T.; Saha, M.; Salo, M.; Nummi, T.; Harjunmaa, U.; Lipiäinen, L.; Vuorela, N. Mothers with Gestational Diabetes Are More Likely to Give Birth to Children Who Experience Early Weight Problems. Acta Paediatr. 2016, 105, 1166–1172. [Google Scholar] [CrossRef]
- Nehring, I.; Chmitorz, A.; Reulen, H.; Von Kries, R.; Ensenauer, R. Gestational Diabetes Predicts the Risk of Childhood Overweight and Abdominal Circumference Independent of Maternal Obesity. Diabet. Med. 2013, 30, 1449–1456. [Google Scholar] [CrossRef]
- HAPO Study Cooperative Research Group. The Hyperglycemia and Adverse Pregnancy Outcome (HAPO) Study. Int. J. Gynecol. Obstet. 2002, 78, 69–77. [Google Scholar] [CrossRef]
- Metzger, B.E.; Lowe, L.P.; Dyer, A.R.; Trimble, E.R.; Chaovarindr, U.; Coustan, D.R.; Hadden, D.R.; McCance, D.R.; Hod, M.; McIntyre, H.D.; et al. Hyperglycemia and Adverse Pregnancy Outcomes. N. Engl. J. Med. 2008, 358, 1991–2002. [Google Scholar] [CrossRef]
- Szmuilowicz, E.D.; Josefson, J.L.; Metzger, B.E. Gestational Diabetes Mellitus. Endocrinol. Metab. Clin. N. Am. 2019, 48, 479–493. [Google Scholar] [CrossRef]
- Akash, M.S.H.; Rehman, K.; Liaqat, A. Tumor Necrosis Factor-Alpha: Role in Development of Insulin Resistance and Pathogenesis of Type 2 Diabetes Mellitus. J. Cell. Biochem. 2018, 119, 105–110. [Google Scholar] [CrossRef]
- Gao, L.; Gu, Y.; Yin, X. High Serum Tumor Necrosis Factor-Alpha Levels in Women with Polycystic Ovary Syndrome: A Meta-Analysis. PLoS ONE 2016, 11, e0164021. [Google Scholar] [CrossRef]
- Fischer, R.; Maier, O. Interrelation of Oxidative Stress and Inflammation in Neurodegenerative Disease: Role of TNF. Oxid. Med. Cell. Longev. 2015, 2015, 610813. [Google Scholar] [CrossRef]
- Atarod, Z.; Ebrahemian, M.; Jafarpour, H.; Moraghebi, M.; Sharafkhani, E. Association between Serum Adiponectin Levels with Gestational Diabetes Mellitus and Postpartum Metabolic Syndrome:A Case Control Study. Endocr. Regul. 2020, 54, 119–125. [Google Scholar] [CrossRef]
- Mierzyński, R.; Dłuski, D.; Nowakowski, Ł.; Poniedziałek-Czajkowska, E.; Leszczyńska-Gorzelak, B. Adiponectin and Omentin Levels as Predictive Biomarkers of Preterm Birth in Patients with Gestational Diabetes Mellitus. BioMed Res. Int. 2018, 2018, 7154216. [Google Scholar] [CrossRef]
- Saini, V.; Kataria, M.; Yadav, A.; Jain, A. Role of Leptin and Adiponectin in Gestational Diabetes Mellitus: A Study in a North Indian Tertiary Care Hospital. Internet J. Med. Update-EJOURNAL 2015, 10, 11. [Google Scholar] [CrossRef]
- Xu, J.; Zhao, Y.H.; Chen, Y.P.; Yuan, X.L.; Wang, J.; Zhu, H.; Lu, C.M. Maternal Circulating Concentrations of Tumor Necrosis Factor-Alpha, Leptin, and Adiponectin in Gestational Diabetes Mellitus: A Systematic Review and Meta-Analysis. Sci. World J. 2014, 2014, 926932. [Google Scholar] [CrossRef]
- Lacroix, M.; Battista, M.-C.; Doyon, M.; Menard, J.; Ardilouze, J.-L.; Perron, P.; Hivert, M.-F. Lower Adiponectin Levels at First Trimester of Pregnancy Are Associated with Increased Insulin Resistance and Higher Risk of Developing Gestational Diabetes Mellitus. Diabetes Care 2013, 36, 1577–1583. [Google Scholar] [CrossRef]
- Sweeting, A.N.; Wong, J.; Appelblom, H.; Ross, G.P.; Kouru, H.; Williams, P.F.; Sairanen, M.; Hyett, J.A. A Novel Early Pregnancy Risk Prediction Model for Gestational Diabetes Mellitus. Fetal Diagn. Ther. 2019, 45, 76–84. [Google Scholar] [CrossRef]
- Kim, A.Y.; Park, Y.J.; Pan, X.; Shin, K.C.; Kwak, S.-H.; Bassas, A.F.; Sallam, R.M.; Park, K.S.; Alfadda, A.A.; Xu, A.; et al. Obesity-Induced DNA Hypermethylation of the Adiponectin Gene Mediates Insulin Resistance. Nat. Commun. 2015, 6, 7585. [Google Scholar] [CrossRef]
- Straub, L.G.; Scherer, P.E. Metabolic Messengers: Adiponectin. Nat. Metab. 2019, 1, 334–339. [Google Scholar] [CrossRef]
- Choi, H.M.; Doss, H.M.; Kim, K.S. Multifaceted Physiological Roles of Adiponectin in Inflammation and Diseases. Int. J. Mol. Sci. 2020, 21, 1219. [Google Scholar] [CrossRef]
- Christian, L.M.; Porter, K. Longitudinal Changes in Serum Proinflammatory Markers across Pregnancy and Postpartum: Effects of Maternal Body Mass Index. Cytokine 2014, 70, 134–140. [Google Scholar] [CrossRef]
- Ye, R.; Holland, W.L.; Gordillo, R.; Wang, M.; Wang, Q.A.; Shao, M.; Morley, T.S.; Gupta, R.K.; Stahl, A.; Scherer, P.E. Adiponectin Is Essential for Lipid Homeostasis and Survival under Insulin Deficiency and Promotes β-Cell Regeneration. elife 2014, 3, e03851. [Google Scholar] [CrossRef]
- Retnakaran, R. Adiponectin and β-Cell Adaptation in Pregnancy. Diabetes 2017, 66, 1121–1122. [Google Scholar] [CrossRef]
- Qiao, L.; Saget, S.; Lu, C.; Hay, W.W.; Karsenty, G.; Shao, J. Adiponectin Promotes Maternal β-Cell Expansion Through Placental Lactogen Expression. Diabetes 2021, 70, 132–142. [Google Scholar] [CrossRef]
- Cemgil Arikan, D.; Ozkaya, M.; Adali, E.; Kilinc, M.; Coskun, A.; Ozer, A.; Bilge, F. Plasma Lipocalin-2 Levels in Pregnant Women with Pre-Eclampsia, and Their Relation with Severity of Disease. J. Matern. Fetal Neonatal Med. 2011, 24, 291–296. [Google Scholar] [CrossRef]
- Iliodromiti, S.; Sassarini, J.; Kelsey, T.W.; Lindsay, R.S.; Sattar, N.; Nelson, S.M. Accuracy of Circulating Adiponectin for Predicting Gestational Diabetes: A Systematic Review and Meta-Analysis. Diabetologia 2016, 59, 692–699. [Google Scholar] [CrossRef]
- Yin, X.; Huo, Y.; Liu, L.; Pan, Y.; Liu, S.; Wang, R. Serum Levels and Placental Expression of NGAL in Gestational Diabetes Mellitus. Int. J. Endocrinol. 2020, 2020, 8760563. [Google Scholar] [CrossRef]
- Lou, Y.; Wu, C.; Wu, M.; Xie, C.; Ren, L. The Changes of Neutrophil Gelatinase-Associated Lipocalin in Plasma and Its Expression in Adipose Tissue in Pregnant Women with Gestational Diabetes. Diabetes Res. Clin. Pract. 2014, 104, 136–142. [Google Scholar] [CrossRef]
- Kisa Karakaya, B.; Caglar, G.S.; Candar, T.; Kansu-Celik, H.; Tasci, Y.; Erkaya, S. Second-Trimester Urinary Neutrophil Gelatinase-Associated Lipocalin Levels in Gestational Diabetes: Preliminary Results. J. Matern.-Fetal Neonatal Med. 2018, 31, 3039–3042. [Google Scholar] [CrossRef]
- Liu, J.T.; Song, E.; Xu, A.; Berger, T.; Mak, T.W.; Tse, H.-F.; Law, I.K.; Huang, B.; Liang, Y.; Vanhoutte, P.M.; et al. Lipocalin-2 Deficiency Prevents Endothelial Dysfunction Associated with Dietary Obesity: Role of Cytochrome P450 2C Inhibition. Br. J. Pharmacol. 2012, 165, 520–531. [Google Scholar] [CrossRef]
- Ruszała, M.; Niebrzydowska, M.; Pilszyk, A.; Kimber-Trojnar, Ż.; Trojnar, M.; Leszczyńska-Gorzelak, B. Novel Biomolecules in the Pathogenesis of Gestational Diabetes Mellitus. Int. J. Mol. Sci. 2021, 22, 11578. [Google Scholar] [CrossRef]
- Šimják, P.; Cinkajzlová, A.; Anderlová, K.; Pařízek, A.; Mráz, M.; Kršek, M.; Haluzík, M. The Role of Obesity and Adipose Tissue Dysfunction in Gestational Diabetes Mellitus. J. Endocrinol. 2018, 238, R63–R77. [Google Scholar] [CrossRef]
- Okten, S.B.; Bildacı, T.B. Salivary Leptin and Chemerin; a Novel Way of Gestational Diabetes Screening. Gynecol. Endocrinol. 2020, 36, 1116–1118. [Google Scholar] [CrossRef]
- Liang, Z.; Zhou, M.; Xu, X.-K.; Qu, F.; Chen, D. Is Chemerin Associated with Gestational Diabetes Mellitus? An Evidence-Based Clinical Research from Chinese Women. J. Obstet. Gynaecol. 2018, 38, 482–487. [Google Scholar] [CrossRef]
- Gutaj, P.; Sibiak, R.; Jankowski, M.; Awdi, K.; Bryl, R.; Mozdziak, P.; Kempisty, B.; Wender-Ozegowska, E. The Role of the Adipokines in the Most Common Gestational Complications. Int. J. Mol. Sci. 2020, 21, 9408. [Google Scholar] [CrossRef]
- van Poppel, M.N.M.; Zeck, W.; Ulrich, D.; Schest, E.-C.; Hirschmugl, B.; Lang, U.; Wadsack, C.; Desoye, G. Cord Blood Chemerin: Differential Effects of Gestational Diabetes Mellitus and Maternal Obesity. Clin. Endocrinol. 2014, 80, 65–72. [Google Scholar] [CrossRef] [PubMed]
- Wang, D.; Wang, H.; Li, M.; Zhao, R. Chemerin Levels and Its Genetic Variants Are Associated with Gestational Diabetes Mellitus: A Hospital-Based Study in a Chinese Cohort. Gene 2022, 807, 145888. [Google Scholar] [CrossRef] [PubMed]
- Bellos, I.; Fitrou, G.; Pergialiotis, V.; Perrea, D.N.; Daskalakis, G. Serum Levels of Adipokines in Gestational Diabetes: A Systematic Review. J. Endocrinol. Investig. 2019, 42, 621–631. [Google Scholar] [CrossRef] [PubMed]
- Fatima, S.S.; Alam, F.; Chaudhry, B.; Khan, T.A. Elevated Levels of Chemerin, Leptin, and Interleukin-18 in Gestational Diabetes Mellitus. J. Matern.-Fetal Neonatal Med. 2017, 30, 1023–1028. [Google Scholar] [CrossRef] [PubMed]
- Wang, X.; Liu, J.; Wang, D.; Zhu, H.; Kang, L.; Jiang, J. Expression and Correlation of Chemerin and FABP4 in Peripheral Blood of Gestational Diabetes Mellitus Patients. Exp. Ther. Med. 2020, 19, 710–716. [Google Scholar] [CrossRef]
- Li, X.-M.; Ji, H.; Li, C.-J.; Wang, P.-H.; Yu, P.; Yu, D.-M. Chemerin Expression in Chinese Pregnant Women with and without Gestational Diabetes Mellitus. Ann. Endocrinol. 2015, 76, 19–24. [Google Scholar] [CrossRef]
- Pfau, D.; Stepan, H.; Kratzsch, J.; Verlohren, M.; Verlohren, H.-J.; Drynda, K.; Lössner, U.; Blüher, M.; Stumvoll, M.; Fasshauer, M. Circulating Levels of the Adipokine Chemerin in Gestational Diabetes Mellitus. Horm. Res. Paediatr. 2010, 74, 56–61. [Google Scholar] [CrossRef]
- Chapman, N.A.; Dupré, D.J.; Rainey, J.K. The Apelin Receptor: Physiology, Pathology, Cell Signalling, and Ligand Modulation of a Peptide-Activated Class A GPCR. Biochem. Cell Biol. 2014, 92, 431–440. [Google Scholar] [CrossRef]
- Hu, H.; He, L.; Li, L.; Chen, L. Apelin/APJ System as a Therapeutic Target in Diabetes and Its Complications. Mol. Genet. Metab. 2016, 119, 20–27. [Google Scholar] [CrossRef]
- Alizadeh Pahlavani, H. Possible Roles of Exercise and Apelin against Pregnancy Complications. Front. Endocrinol. 2022, 13, 965167. [Google Scholar] [CrossRef]
- Eberlé, D.; Marousez, L.; Hanssens, S.; Knauf, C.; Breton, C.; Deruelle, P.; Lesage, J. Elabela and Apelin Actions in Healthy and Pathological Pregnancies. Cytokine Growth Factor Rev. 2019, 46, 45–53. [Google Scholar] [CrossRef] [PubMed]
- Wang, C.; Liu, X.; Kong, D.; Qin, X.; Li, Y.; Teng, X.; Huang, X. Apelin as a Novel Drug for Treating Preeclampsia. Exp. Ther. Med. 2017, 14, 5917–5923. [Google Scholar] [CrossRef] [PubMed]
- Boucher, J.; Masri, B.; Daviaud, D.; Gesta, S.; Guigné, C.; Mazzucotelli, A.; Castan-Laurell, I.; Tack, I.; Knibiehler, B.; Carpéné, C.; et al. Apelin, a Newly Identified Adipokine Up-Regulated by Insulin and Obesity. Endocrinology 2005, 146, 1764–1771. [Google Scholar] [CrossRef] [PubMed]
- Daviaud, D.; Boucher, J.; Gesta, S.; Dray, C.; Guigne, C.; Quilliot, D.; Ayav, A.; Ziegler, O.; Carpene, C.; Saulnier-Blache, J.-S.; et al. TNFα Up-regulates Apelin Expression in Human and Mouse Adipose Tissue. FASEB J. 2006, 20, 1528–1530. [Google Scholar] [CrossRef] [PubMed]
- Alipour, F.G.; Ashoori, M.R.; Pilehvar-Soltanahmadi, Y.; Zarghami, N. An Overview on Biological Functions and Emerging Therapeutic Roles of Apelin in Diabetes Mellitus. Diabetes Metab. Syndr. 2017, 11 (Suppl. S2), S919–S923. [Google Scholar] [CrossRef]
- Lu, L.; Wu, D.; Li, L.; Chen, L. Apelin/APJ System: A Bifunctional Target for Cardiac Hypertrophy. Int. J. Cardiol. 2017, 230, 164–170. [Google Scholar] [CrossRef]
- Guo, Y.-Y.; Li, T.; Liu, H.; Tang, L.; Li, Y.-C.; Hu, H.-T.; Su, Y.-F.; Lin, Y.; Wang, Y.-Y.; Li, C.; et al. Circulating Levels of Elabela and Apelin in the Second and Third Trimesters of Pregnancies with Gestational Diabetes Mellitus. Gynecol. Endocrinol. 2020, 36, 890–894. [Google Scholar] [CrossRef]
- Aslan, M.; Celik, O.; Celik, N.; Turkcuoglu, I.; Yilmaz, E.; Karaer, A.; Simsek, Y.; Celik, E.; Aydin, S. Cord Blood Nesfatin-1 and Apelin-36 Levels in Gestational Diabetes Mellitus. Endocrine 2012, 41, 424–429. [Google Scholar] [CrossRef]
- Boyadzhieva, M.; Atanasova, I.; Zacharieva, S.; Kedikova, S. Adipocytokines during Pregnancy and Postpartum in Women with Gestational Diabetes and Healthy Controls. J. Endocrinol. Investig. 2013, 36, 944–949. [Google Scholar] [CrossRef]
- Sun, J.; Ren, J.; Zuo, C.; Deng, D.; Pan, F.; Chen, R.; Zhu, J.; Chen, C.; Ye, S. Circulating Apelin, Chemerin and Omentin Levels in Patients with Gestational Diabetes Mellitus: A Systematic Review and Meta-Analysis. Lipids Health Dis. 2020, 19, 26. [Google Scholar] [CrossRef]
- Kourtis, A.; Gkiomisi, A.; Mouzaki, M.; Makedou, K.; Anastasilakis, A.D.; Toulis, K.A.; Gerou, S.; Gavana, E.; Agorastos, T. Apelin Levels in Normal Pregnancy: Apelin in Pregnancy. Clin. Endocrinol. 2011, 75, 367–371. [Google Scholar] [CrossRef] [PubMed]


| Variable | Study Group—GDM (n = 90) Median (Interquartile Range) | Control Group (n = 84) Median (Interquartile Range) | p | 
|---|---|---|---|
| Age | 26.0 (23.0–31.0) | 27.0 (24.0–31.0) | 0.9278 | 
| BMI (first prenatal visit) | 23.0 (22.2–26.5) | 22.5 (21.2–23.5) | 0.0356 | 
| BMI (24–28 weeks) | 26.5 (25.5–28.3) | 26.0 (25.1–27.0) | 0.0337 | 
| Pregnancy | 0.7201 | ||
| 1 | 36 (40%) | 33 (39.3%) | |
| 2 | 34 (37.8%) | 30 (35.7%) | |
| 3 | 14 (15.6%) | 17 (20.2%) | |
| 4 | 5 (5.6%) | 2 (2.4%) | |
| 5 | 1 (1.1%) | 2 (2.4%) | |
| Gestational age (weeks) | 26.5 (25.3–27.5) | 26.6 (25.8–27.8) | 0.3371 | 
| Foetal weight (g) | 909.0 (735.0–1093.0) | 956.0 (859.0–1106.0) | 0.1429 | 
| TTG 0 (mg/dL) | 94.0 (89.0–98.0) | 81.0 (75.5–87.0) | <0.0001 | 
| TTG 1 (mg/dL) | 185.0 (176.0–197.0) | 138.0 (120.5–157.0) | <0.0001 | 
| TTG 2 (mg/dL) | 155.0 (142.0–169.0) | 127.5 (105.5–135.5) | <0.0001 | 
| Variable | Study Group—GDM (n = 90) Median (Interquartile Range) | Control Group (n = 84) Median (Interquartile Range) | p | 
|---|---|---|---|
| Adiponectin [ng/mL] | 7234.6 (5432.2–8393.2) | 9837.5 (8694.7–14,752.9) | <0.0001 | 
| Chemerin [ng/mL] | 264.0 (220.7–297.2) | 206.7 (181.9–237.6) | <0.0001 | 
| Lipocalin [ng/mL] | 39.5 (25.9–50.9) | 19.4 (14.7–24.8) | <0.0001 | 
| Apelin [pg/mL] | 11392.0 (7398.5–16,412.6) | 9364.0 (7467.3–13,272.5) | 0.0554 | 
| Variable | n | Adiponectin [ng/mL] | |
|---|---|---|---|
| rho | p | ||
| BMI (first prenatal visit) | 90 | −0.917 | <0.0001 | 
| BMI (24–28 weeks) | 90 | −0.836 | <0.0001 | 
| Pregnancy number | 90 | −0.297 | 0.0045 | 
| Gestational age | 90 | −0.092 | 0.3903 | 
| Foetal weight | 90 | −0.050 | 0.6402 | 
| TTG 0 | 90 | −0.387 | 0.0002 | 
| TTG1 | 90 | −0.616 | <0.0001 | 
| TTG2 | 90 | −0.655 | <0.0001 | 
| Chemerin [ng/mL] | 90 | −0.805 | <0.0001 | 
| Lipocalin [ng/mL] | 90 | −0.472 | <0.0001 | 
| Apelin [pg/mL] | 90 | 0.073 | 0.4958 | 
| Variable | n | Chemerin [ng/mL] | |
|---|---|---|---|
| rho | p | ||
| BMI (first prenatal visit) | 90 | 0.749 | <0.0001 | 
| BMI (24–28 weeks) | 90 | 0.662 | <0.0001 | 
| Pregnancy number | 90 | 0.182 | 0.0856 | 
| Gestational age | 90 | 0.010 | 0.9227 | 
| Foetal weight | 90 | −0.008 | 0.9378 | 
| TTG 0 | 90 | 0.461 | <0.0001 | 
| TTG1 | 90 | 0.762 | <0.0001 | 
| TTG2 | 90 | 0.746 | <0.0001 | 
| Chemerin [ng/mL] | 90 | N/a | N/a | 
| Lipocalin [ng/mL] | 90 | 0.621 | <0.0001 | 
| Apelin [pg/mL] | 90 | 0.073 | 0.4958 | 
| Variable | n | Lipocalin [ng/mL] | |
|---|---|---|---|
| rho | p | ||
| BMI (first prenatal visit) | 90 | 0.390 | 0.0001 | 
| BMI (24–28 weeks) | 90 | 0.304 | 0.0035 | 
| Pregnancy number | 90 | 0.184 | 0.0826 | 
| Gestational age | 90 | 0.018 | 0.8685 | 
| Foetal weight | 90 | 0.053 | 0.6175 | 
| TTG 0 | 90 | 0.212 | 0.0449 | 
| TTG1 | 90 | 0.428 | <0.0001 | 
| TTG2 | 90 | 0.565 | <0.0001 | 
| Chemerin [ng/mL] | 90 | N/a | N/a | 
| Lipocalin [ng/mL] | 90 | N/a | N/a | 
| Apelin [pg/mL] | 90 | −0.058 | 0.5888 | 
| Variable | n | Apelin [pg/mL] | |
|---|---|---|---|
| rho | p | ||
| BMI (first prenatal visit) | 90 | −0.166 | 0.1169 | 
| BMI (24–28 weeks) | 90 | −0.193 | 0.0684 | 
| Pregnancy number | 90 | −0.006 | 0.9578 | 
| Gestational age | 90 | −0.100 | 0.3485 | 
| Foetal weight | 90 | −0.118 | 0.2697 | 
| TTG 0 | 90 | 0.084 | 0.4329 | 
| TTG1 | 90 | 0.025 | 0.8138 | 
| TTG2 | 90 | −0.095 | 0.3709 | 
| Chemerin [ng/mL] | 90 | N/a | N/a | 
| Lipocalin [ng/mL] | 90 | N/a | N/a | 
| Apelin [pg/mL] | 90 | N/a | N/a | 
| Adipokine | AUC [95% CI] | Sensitivity (%) | Specificity (%) | Cut-Off Point | p | 
|---|---|---|---|---|---|
| Adiponectin [ng/mL] | 0.801 [0.733–0.857] | 81.11 | 82.14 | ≤8482.06 | <0.0001 | 
| Chemerin [ng/mL] | 0.767 [0.697–0.827] | 66.67 | 89.29 | >249.99 | <0.0001 | 
| Lipocalin [ng/mL] | 0.887 [0.830–0.930] | 86.67 | 71.62 | >23.69 | <0.0001 | 
| Apelin [pg/mL] | 0.584 [0.507–0.658] | 61.11 | 58.33 | >9888.2 | 0.0529 | 
| Disclaimer/Publisher’s Note: The statements, opinions and data contained in all publications are solely those of the individual author(s) and contributor(s) and not of MDPI and/or the editor(s). MDPI and/or the editor(s) disclaim responsibility for any injury to people or property resulting from any ideas, methods, instructions or products referred to in the content. | 
© 2023 by the authors. Licensee MDPI, Basel, Switzerland. This article is an open access article distributed under the terms and conditions of the Creative Commons Attribution (CC BY) license (https://creativecommons.org/licenses/by/4.0/).
Share and Cite
Kamiński, M.; Mierzyński, R.; Poniedziałek-Czajkowska, E.; Sadowska, A.; Sotowski, M.; Leszczyńska-Gorzelak, B. Comparative Evaluation of Adipokine Metrics for the Diagnosis of Gestational Diabetes Mellitus. Int. J. Mol. Sci. 2024, 25, 175. https://doi.org/10.3390/ijms25010175
Kamiński M, Mierzyński R, Poniedziałek-Czajkowska E, Sadowska A, Sotowski M, Leszczyńska-Gorzelak B. Comparative Evaluation of Adipokine Metrics for the Diagnosis of Gestational Diabetes Mellitus. International Journal of Molecular Sciences. 2024; 25(1):175. https://doi.org/10.3390/ijms25010175
Chicago/Turabian StyleKamiński, Maciej, Radzisław Mierzyński, Elżbieta Poniedziałek-Czajkowska, Agata Sadowska, Maciej Sotowski, and Bożena Leszczyńska-Gorzelak. 2024. "Comparative Evaluation of Adipokine Metrics for the Diagnosis of Gestational Diabetes Mellitus" International Journal of Molecular Sciences 25, no. 1: 175. https://doi.org/10.3390/ijms25010175
APA StyleKamiński, M., Mierzyński, R., Poniedziałek-Czajkowska, E., Sadowska, A., Sotowski, M., & Leszczyńska-Gorzelak, B. (2024). Comparative Evaluation of Adipokine Metrics for the Diagnosis of Gestational Diabetes Mellitus. International Journal of Molecular Sciences, 25(1), 175. https://doi.org/10.3390/ijms25010175
 
        

 
       