AGEomics Biomarkers and Machine Learning—Realizing the Potential of Protein Glycation in Clinical Diagnostics
Abstract
1. Introduction
2. Focused Proteomics and Metabolomics of Protein Damage—“AGEomics” and Its Utility
2.1. Protein Glycation
2.2. Protein Oxidation
2.3. Protein Nitration
2.4. Other Common Modifications
3. Machine Learning in Protein Damage Biomarker Related Diagnostic Applications
4. Examples of Application of Machine Learning in Protein Damage Biomarker Related Diagnostic Using the AGEomics Platform
5. Future Perspectives
Funding
Acknowledgments
Conflicts of Interest
References
- Jenkinson, C.P.; Göring, H.H.H.; Arya, R.; Blangero, J.; Duggirala, R.; DeFronzo, R.A. Transcriptomics in type 2 diabetes: Bridging the gap between genotype and phenotype. Genom. Data 2016, 8, 25–36. [Google Scholar] [CrossRef] [PubMed]
- Peters, T. 5-Metabolism: Albumin in the Body. In All about Albumin; Peters, T., Ed.; Academic Press: San Diego, CA, USA, 1995; pp. 188–250. [Google Scholar]
- Kameyama, M.; Okumiya, T.; Tokuhiro, S.; Matsumura, Y.; Matsui, H.; Ono, Y.; Iwasaka, T.; Hiratani, K.; Koga, M. Estimation of the hemoglobin glycation rate constant. Sci. Rep. 2021, 11, 986. [Google Scholar] [CrossRef] [PubMed]
- Verzijl, N.; DeGroot, J.; Thorpe, S.R.; Bank, R.A.; Shaw, J.N.; Lyons, T.J.; Bijlsma, J.W.J.; Lafeberi, F.P.J.G.; Baynes, J.W.; TeKoppele, J.M. Effect of collagen turnover on the accumulation of advanced glycation endproducts. J. Biol. Chem. 2000, 275, 39027–39031. [Google Scholar] [CrossRef] [PubMed]
- Rabbani, N.; Thornalley, P.J. Protein glycation—Biomarkers of metabolic dysfunction and early-stage decline in health in the era of precision medicine. Redox Biol. 2021, 42, 101920. [Google Scholar] [CrossRef]
- Rabbani, N.; Thornalley, P.J. Measurement of methylglyoxal by stable isotopic dilution analysis LC-MS/MS with corroborative prediction in physiological samples. Nat. Protoc. 2014, 9, 1969–1979. [Google Scholar] [CrossRef] [PubMed]
- Wang, S.; Wang, Y. Peptidylarginine deiminases in citrullination, gene regulation, health and pathogenesis. Biochim. Biophys. Acta 2013, 1829, 1126–1135. [Google Scholar] [CrossRef]
- Esposito, C.; Caputo, I. Mammalian transglutaminases. Identification of substrates as a key to physiological function and physiopathological relevance. FEBS J. 2005, 272, 615–631. [Google Scholar] [CrossRef]
- Edens, W.A.; Sharling, L.; Cheng, G.J.; Shapira, R.; Kinkade, J.M.; Lee, T.; Edens, H.A.; Tang, X.X.; Sullards, C.; Flaherty, D.B.; et al. Tyrosine cross-linking of extracellular matrix is catalyzed by Duox, a multidomain oxidase/peroxidase with homology to the phagocyte oxidase subunit gp91 phox. J. Cell Biol. 2001, 154, 879–891. [Google Scholar] [CrossRef]
- Anwar, A.; Abruzzo, P.M.; Pasha, S.; Rajpoot, K.; Bolotta, A.; Ghezzo, A.; Marini, M.; Posar, A.; Visconti, P.; Thornalley, P.J.; et al. Advanced glycation endproducts, dityrosine and arginine transporter dysfunction in autism—A source of biomarkers for clinical diagnosis. Mol. Autism 2018, 9, 3. [Google Scholar] [CrossRef]
- Ahmed, U.; Anwar, A.; Savage, R.S.; Costa, M.L.; Mackay, N.; Filer, A.; Raza, K.; Watts, R.A.; Winyard, P.G.; Tarr, J.; et al. Biomarkers of early stage osteoarthritis, rheumatoid arthritis and musculoskeletal health. Sci. Rep. 2015, 5, 9259. [Google Scholar] [CrossRef]
- Ahmed, U.; Anwar, A.; Savage, R.S.; Thornalley, P.J.; Rabbani, N. Protein oxidation, nitration and glycation biomarkers for early-stage diagnosis of osteoarthritis of the knee and typing and progression of arthritic disease. Arthritis Res. Ther. 2016, 18, 250. [Google Scholar] [CrossRef] [PubMed]
- Rabbani, N.; Sebekova, K.; Sebekova, K., Jr.; Heidland, A.; Thornalley, P.J. Protein glycation, oxidation and nitration free adduct accumulation after bilateral nephrectomy and ureteral ligation. Kidney Internat. 2007, 72, 1113–1121. [Google Scholar] [CrossRef] [PubMed]
- Agalou, S.; Ahmed, N.; Babaei-Jadidi, R.; Dawnay, A.; Thornalley, P.J. Profound mishandling of protein glycation degradation products in uremia and dialysis. J. Amer. Soc. Nephrol. 2005, 16, 1471–1485. [Google Scholar] [CrossRef] [PubMed]
- Perkins, B.A.; Rabbani, N.; Weston, A.; Adaikalakoteswari, A.; Lee, J.A.; Lovblom, L.E.; Cardinez, N.; Thornalley, P.J. High fractional excretion of glycation adducts is associated with subsequent early decline in renal function in type 1 diabetes. Sci. Rep. 2020, 10, 12709. [Google Scholar] [CrossRef] [PubMed]
- Masania, J.; Faustmann, G.; Anwar, A.; Hafner-Giessauf, H.; Rajpoot, R.; Grabher, J.; Rajpoot, K.; Tiran, B.; Obermayer-Pietsch, B.; Winklhofer-Roob, B.M.; et al. Urinary metabolomic markers of protein glycation, oxidation and nitration in early-stage decline in metabolic, vascular and renal health. Oxidative Med. Cell. Longev. 2019, 2019, 4851323. [Google Scholar] [CrossRef] [PubMed]
- Foerster, A.; Henle, T. Glycation in food and metabolic transit of dietary AGEs (advanced glycation end-products): Studies on the urinary excretion of pyrraline. Biochem. Soc. Trans. 2003, 31, 1383–1385. [Google Scholar] [CrossRef] [PubMed]
- Xue, M.; Weickert, M.O.; Qureshi, S.; Ngianga-Bakwin, K.; Anwar, A.; Waldron, M.; Shafie, A.; Messenger, D.; Fowler, M.; Jenkins, G.; et al. Improved glycemic control and vascular function in overweight and obese subjects by glyoxalase 1 inducer formulation. Diabetes 2016, 65, 2282–2294. [Google Scholar] [CrossRef]
- Thornalley, P.J.; Battah, S.; Ahmed, N.; Karachalias, N.; Agalou, S.; Babaei-Jadidi, R.; Dawnay, A. Quantitative screening of advanced glycation endproducts in cellular and extracellular proteins by tandem mass spectrometry. Biochem. J. 2003, 375, 581–592. [Google Scholar] [CrossRef]
- Rabbani, N.; Shaheen, F.; Anwar, A.; Masania, J.; Thornalley, P.J. Assay of methylglyoxal-derived protein and nucleotide AGEs. Biochem. Soc. Trans. 2014, 42, 511–517. [Google Scholar] [CrossRef]
- Rabbani, N.; Thornalley, P.J. Reading patterns of proteome damage by glycation, oxidation and nitration: Quantitation by stable isotopic dilution analysis LC-MS/MS. Essays Biochem. 2020, 64, 169–183. [Google Scholar] [CrossRef]
- Waris, S.; Winklhofer-Roob, B.M.; Roob, J.M.; Fuchs, S.; Sourij, H.; Rabbani, N.; Thornalley, P.J. Increased DNA Dicarbonyl Glycation and Oxidation Markers in Patients with Type 2 Diabetes and Link to Diabetic Nephropathy. J. Diabetes Res. 2015, 2015, 10. [Google Scholar] [CrossRef]
- Thornalley, P.J.; Rabbani, N. Detection of oxidized and glycated proteins in clinical samples using mass spectrometry—A user’s perspective. Biochim. Biophys. Acta 2014, 1840, 818–829. [Google Scholar] [CrossRef] [PubMed]
- Delpierre, G.; Vertommen, D.; Communi, D.; Rider, M.H.; Van Schaftingen, E. Identification of fructosamine residues deglycated by fructosamine-3-kinase in human hemoglobin. J. Biol. Chem. 2004, 279, 27613–27620. [Google Scholar] [CrossRef] [PubMed]
- Erbersdobler, H.F.; Faist, V. Metabolic transit of Amadori products. Nahrung-Food 2001, 45, 177–181. [Google Scholar] [CrossRef]
- Ahmed, N.; Babaei-Jadidi, R.; Howell, S.K.; Beisswenger, P.J.; Thornalley, P.J. Degradation products of proteins damaged by glycation, oxidation and nitration in clinical type 1 diabetes. Diabetologia 2005, 48, 1590–1603. [Google Scholar] [CrossRef] [PubMed]
- Ahmed, N.; Babaei-Jadidi, R.; Howell, S.K.; Thornalley, P.J.; Beisswenger, P.J. Glycated and oxidized protein degradation products are indicators of fasting and postprandial hyperglycemia in diabetes. Diabetes Care 2005, 28, 2465–2471. [Google Scholar] [CrossRef] [PubMed]
- Kilhovd, B.K.; Juutilainen, A.; Lehto, S.; Ronnemaa, T.; Torjesen, P.A.; Hanssen, K.F.; Laakso, M. Increased serum levels of methylglyoxal-derived hydroimidazolone-AGE are associated with increased cardiovascular disease mortality in nondiabetic women. Atherosclerosis 2009, 205, 590–594. [Google Scholar] [CrossRef] [PubMed]
- Knecht, K.J.; Dunn, J.A.; McFarland, K.F.; McCance, D.R.; Lyons, T.J.; Thorpe, S.R.; Baynes, J.W. Effect of diabetes and aging on carboxymethyllysine levels in human urine. Diabetes 1991, 40, 190–196. [Google Scholar] [CrossRef]
- Liardon, R.; de Weck-Gaudard, D.; Philipossian, G.; Finot, P.A. Identification of Nε-carboxymethyllysine: A new Maillard reaction product, in rat urine. J. Agric. Food Chem. 1987, 35, 427–431. [Google Scholar] [CrossRef]
- Biemel, K.M.; Friedl, D.A.; Lederer, M.O. Identification and quantification of major Maillard cross-links in human serum albumin and lens protein—Evidence for glucosepane as the dominant compound. J. Biol. Chem. 2002, 277, 24907–24915. [Google Scholar] [CrossRef]
- Legrand, O.; Perrot, J.Y.; Tang, R.P.; Simonin, G.; Gurbuxani, S.; Zittouin, R.; Marie, J.P. Expression of the multidrug resistance-associated protein (MRP) mRNA and protein in normal peripheral blood and bone marrow haemopoitic cells. Brit. J. Haematol. 1996, 94, 23–33. [Google Scholar] [CrossRef] [PubMed]
- Wang, F.; Zhao, Y.; Niu, Y.; Wang, C.; Wang, M.; Li, Y.; Sun, C. Activated glucose-6-phosphate dehydrogenase is associated with insulin resistance by upregulating pentose and pentosidine in diet-induced obesity of rats. Horm. Metab. Res. 2012, 44, 938–942. [Google Scholar] [CrossRef] [PubMed]
- Hohmann, C.; Liehr, K.; Henning, C.; Fiedler, R.; Girndt, M.; Gebert, M.; Hulko, M.; Storr, M.; Glomb, M.A. Detection of Free Advanced Glycation End Products in Vivo during Hemodialysis. J. Agric. Food Chem. 2017, 65, 930–937. [Google Scholar] [CrossRef] [PubMed]
- Lee, B.C.; Gladyshev, V.N. The biological significance of methionine sulfoxide stereochemistry. Free. Radic. Biol. Med. 2011, 50, 221–227. [Google Scholar] [CrossRef]
- Requena, J.R.; Chao, C.C.; Levine, R.L.; Stadtman, E.R. Glutamic and aminoadipic semialdehydes are the main carbonyl products of metal-catalyzed oxidation of proteins. Proc. Natl. Acad. Sci. USA 2001, 98, 68–74. [Google Scholar] [CrossRef] [PubMed]
- Simat, T.J.; Steinhart, H. Oxidation of free tryptophan and tryptophan residues in peptides and proteins. J. Agric. Food Chem. 1998, 46, 490–498. [Google Scholar] [CrossRef]
- Yeung, A.W.S.; Terentis, A.C.; King, N.J.C.; Thomas, S.R. Role of indoleamine 2,3-dioxygenase in health and disease. Clin. Sci. 2015, 129, 601–672. [Google Scholar] [CrossRef]
- Tsikas, D. Analytical methods for 3-nitrotyrosine quantification in biological samples: The unique role of tandem mass spectrometry. Amino Acids 2012, 42, 45–63. [Google Scholar] [CrossRef]
- Rabbani, N.; Thornalley, P.J. Assay of 3-Nitrotyrosine in Tissues and Body Fluids by Liquid Chromatography with Tandem Mass Spectrometric Detection. Methods Enzymol. 2008, 440, 337–359. [Google Scholar]
- Witalison, E.E.; Thompson, P.R.; Hofseth, L.J. Protein Arginine Deiminases and Associated Citrullination: Physiological Functions and Diseases Associated with Dysregulation. Curr. Drug Targets 2015, 16, 700–710. [Google Scholar] [CrossRef]
- Lorand, L.; Graham, R.M. Transglutaminases: Crosslinking enzymes with pleiotropic functions. Nat. Rev. Mol. Cell Biol. 2003, 4, 140–156. [Google Scholar] [CrossRef] [PubMed]
- Rabbani, N.; Thornalley, P.J. Glycation research in Amino Acids: A place to call home. Amino Acids 2012, 42, 1087–1096. [Google Scholar] [CrossRef] [PubMed]
- Ahmed, M.U.; Thorpe, S.R.; Baynes, J.W. Identification of Nε-carboxymethyl-lysine as a degradation product of fructoselysine in glycated protein. J. Biol. Chem. 1986, 261, 4889–4894. [Google Scholar] [CrossRef]
- Scheijen, J.L.J.M.; Clevers, E.; Engelen, L.; Dagnelie, P.C.; Brouns, F.; Stehouwer, C.D.A.; Schalkwijk, C.G. Analysis of advanced glycation endproducts in selected food items by ultra-performance liquid chromatography tandem mass spectrometry: Presentation of a dietary AGE database. Food Chem. 2016, 190, 1145–1150. [Google Scholar] [CrossRef] [PubMed]
- Rabbani, N.; Xue, M.; Thornalley, P.J. Methylglyoxal-induced dicarbonyl stress in aging and disease: First steps towards glyoxalase 1-based treatments. Clin. Sci. 2016, 130, 1677–1696. [Google Scholar] [CrossRef]
- Ahmed, N.; Dobler, D.; Dean, M.; Thornalley, P.J. Peptide mapping identifies hotspot site of modification in human serum albumin by methylglyoxal involved in ligand binding and esterase activity. J. Biol. Chem. 2005, 280, 5724–5732. [Google Scholar] [CrossRef]
- Lederer, M.O.; Buhler, H.P. Cross-linking of proteins by Maillard processes—Characterization and detection of a lysine-arginine cross-link derived from D-glucose. Bioorg. Med. Chem. 1999, 7, 1081–1088. [Google Scholar] [CrossRef]
- Sell, D.R.; Biemel, K.M.; Reihl, O.; Lederer, M.O.; Strauch, C.M.; Monnier, V.M. Glucosepane Is a Major Protein Cross-link of the Senescent Human Extracellular Matrix: Relationship with Diabetes. J. Biol. Chem. 2005, 280, 12310–12315. [Google Scholar] [CrossRef]
- Legrand, C.; Ahmed, U.; Anwar, A.; Rajpoot, K.; Pasha, S.; Lambert, C.; Davidson, R.K.; Clark, I.M.; Thornalley, P.J.; Henrotin, Y.; et al. Glycation marker glucosepane increases with the progression of osteoarthritis and correlates with morphological and functional changes of cartilage in vivo. Arthritis Res. Ther. 2018, 20, 131. [Google Scholar] [CrossRef]
- Sell, D.R.; Monnier, V.M. Structure elucidation of a senescence crosslink from human extracellular matrix. Implication of pentoses in the aging process. J. Biol. Chem. 1989, 264, 21597–21602. [Google Scholar] [CrossRef]
- Estévez, M.; Ollilainen, V.; Heinonen, M. Analysis of protein oxidation markers alpha-aminoadipic and gamma-glutamic semialdehydes in food proteins using liquid chromatography (LC)-electrospray ionization (ESI)-multistage tandem mass spectrometry (MS). J. Agric. Food Chem. 2009, 57, 3901–3910. [Google Scholar] [CrossRef] [PubMed]
- Ahmed, N.; Babaei-Jadidi, R.; Karachalias, N.; Thornalley, P.J. Degradation products of proteins damaged by glycation and oxidation increase markedly in experimental diabetes and are suppressed by high dose therapy with thiamine and Benfotiamine. Diabetologia 2005, 48 (Suppl. S1), A417. [Google Scholar] [CrossRef] [PubMed]
- Ohshima, H.; Friesen, M.; Brouet, I.; Bartsch, H. Nitrotyrosine as a new marker for endogenous nitrosation and nitration of proteins. Food Chem. Toxicol. 1990, 28, 647–652. [Google Scholar] [CrossRef]
- Tabrizi-Fard, M.A.; Maurer, T.S.; Fung, H.L. In Vivo Disposition of 3-Nitro-L-Tyrosine in Rats: Implications on Tracking Systemic Peroxynitrite Exposure. Drug Metab. Dispos. 1999, 27, 429–431. [Google Scholar] [PubMed]
- Pannala, A.S.; Mani, A.R.; Rice-Evans, C.A.; Moore, K.P. pH-dependent nitration of para-hydroxyphenylacetic acid in the stomach. Free. Radic. Biol. Med. 2006, 41, 896–901. [Google Scholar] [CrossRef]
- Tarcsa, E.; Marekov, L.N.; Mei, G.; Melino, G.; Lee, S.C.; Steinert, P.M. Protein unfolding by peptidylarginine deiminase. Substrate specificity and structural relationships of the natural substrates trichohyalin and filaggrin. J. Biol. Chem. 1996, 271, 30709–30716. [Google Scholar] [CrossRef] [PubMed]
- Van Venrooij, W.J.; van Beers, J.J.B.C.; Pruijn, G.J.M. Anti-CCP antibodies: The past, the present and the future. Nat. Rev. Rheumatol. 2011, 7, 391–398. [Google Scholar] [CrossRef]
- Hariton, F.; Xue, M.; Rabbani, N.; Fowler, M.; Thornalley, P.J. Sulforaphane Delays Fibroblast Senescence by Curbing Cellular Glucose Uptake, Increased Glycolysis, and Oxidative Damage. Oxidative Med. Cell. Longev. 2018, 2018, 5642148. [Google Scholar] [CrossRef]
- Sidey-Gibbons, J.A.M.; Sidey-Gibbons, C.J. Machine learning in medicine: A practical introduction. BMC Med. Res. Methodol. 2019, 19, 64. [Google Scholar] [CrossRef]
- Xia, J.; Broadhurst, D.L.; Wilson, M.; Wishart, D.S. Translational biomarker discovery in clinical metabolomics: An introductory tutorial. Metabolomics 2013, 9, 280–299. [Google Scholar] [CrossRef]
- Jaeschke, R.; Guyatt, G.H.; Sackett, D.L.; Guyatt, G.; Bass, E.; Brill-Edwards, P.; Browman, G.; Cook, D.; Farkouh, M.; Gerstein, H.; et al. Users’ Guides to the Medical Literature: III. How to Use an Article About a Diagnostic Test B. What Are the Results and Will They Help Me in Caring for My Patients? JAMA 1994, 271, 703–707. [Google Scholar] [CrossRef] [PubMed]
- Thornalley, P.J.; de la Fuente, A.; Rabbani, N. Risk Prediction of Early Decline in Renal Function in Diabetic Kidney Disease with Algorithm Including Fractional Excretion of Glycated Amino Acids. Diabetes 2021, 70 (Suppl. S1), 186. [Google Scholar] [CrossRef]
- Hira, Z.M.; Gillies, D.F. A Review of Feature Selection and Feature Extraction Methods Applied on Microarray Data. Adv. Bioinform. 2015, 2015, 198363. [Google Scholar] [CrossRef] [PubMed]
- Mort, J.S.; Billington, C.J. Articular cartilage and changes in Arthritis: Matrix degradation. Arthritis Res. Ther. 2001, 3, 337. [Google Scholar] [CrossRef]
- Chapple, C.M.; Nicholson, H.; Baxter, G.D.; Abbott, J.H. Patient characteristics that predict progression of knee osteoarthritis: A systematic review of prognostic studies. Arthritis Care Res. 2011, 63, 1115–1125. [Google Scholar] [CrossRef]
- Elsabbagh, M.; Divan, G.; Koh, Y.-J.; Kim, Y.S.; Kauchali, S.; Marcín, C.; Montiel-Nava, C.; Patel, V.; Paula, C.S.; Wang, C.; et al. Global prevalence of autism and other pervasive developmental disorders. Autism Res. 2012, 5, 160–179. [Google Scholar] [CrossRef]
- Xu, G.; Strathearn, L.; Liu, B.; Bao, W. Prevalence of Autism Spectrum Disorder Among US Children and Adolescents, 2014–2016. JAMA 2018, 319, 81–82. [Google Scholar] [CrossRef]
- Narzisi, A.; Posada, M.; Barbieri, F.; Chericoni, N.; Ciuffolini, D.; Pinzino, M.; Romano, R.; Scattoni, M.L.; Tancredi, R.; Calderoni, S.; et al. Prevalence of Autism Spectrum Disorder in a large Italian catchment area: A school-based population study within the ASDEU project. Epidemiol. Psychiatr. Sci. 2018, 29, e5. [Google Scholar] [CrossRef]
- Zwaigenbaum, L.; Penner, M. Autism spectrum disorder: Advances in diagnosis and evaluation. BMJ 2018, 361, k1674. [Google Scholar] [CrossRef]
- McCarty, P.; Frye, R.E. Early Detection and Diagnosis of Autism Spectrum Disorder: Why Is It So Difficult? Semin. Pediatr. Neurol. 2020, 35, 100831. [Google Scholar] [CrossRef]
- Pugliese, G.; Penno, G.; Natali, A.; Barutta, F.; Di Paolo, S.; Reboldi, G.; Gesualdo, L.; De Nicola, L. Diabetic kidney disease: New clinical and therapeutic issues. Joint position statement of the Italian Diabetes Society and the Italian Society of Nephrology on “The natural history of diabetic kidney disease and treatment of hyperglycemia in patients with type 2 diabetes and impaired renal function”. Nutr. Metab. Cardiovasc. Dis. 2019, 29, 1127–1150. [Google Scholar] [PubMed]
- Krolewski, A.S.; Skupien, J.; Rossing, P.; Warram, J.H. Fast renal decline to end-stage renal disease: An unrecognized feature of nephropathy in diabetes. Kidney Int. 2017, 91, 1300–1311. [Google Scholar] [CrossRef] [PubMed]
- Perkins, B.; Rabbani, N.; Weston, A.; Ficociello, L.; Adaikalakoteswari, A.; Niewczas, M.; Warram, J.; Krowlewski, A.; Thornalley, P. Serum Levels of Advanced Glycation Endproducts and Other Markers of Protein Damage in Early Diabetic Nephropathy in Type 1 Diabetes. Public Libr. Sci. 2012, 7, e35655. [Google Scholar] [CrossRef] [PubMed]
- Chambers, J.C.; Zhang, W.; Lord, G.M.; van der Harst, P.; Lawlor, D.A.; Sehmi, J.S.; Gale, D.P.; Wass, M.N.; Ahmadi, K.R.; Bakker, S.J.L.; et al. Genetic loci influencing kidney function and chronic kidney disease. Nat. Genet. 2010, 42, 373–375. [Google Scholar] [CrossRef] [PubMed]
- Chasman, D.I.; Fuchsberger, C.; Pattaro, C.; Teumer, A.; Böger, C.A.; Endlich, K.; Olden, M.; Chen, M.-H.; Tin, A.; Taliun, D.; et al. Integration of genome-wide association studies with biological knowledge identifies six novel genes related to kidney function. Hum. Mol. Genet. 2012, 21, 5329–5343. [Google Scholar] [CrossRef] [PubMed]
- Hanssen, N.M.J.; Beulens, J.W.J.; van Dieren, S.; Scheijen, J.L.J.M.; van der A, D.L.; Spijkerman, A.M.W.; van der Schouw, Y.T.; Stehouwer, C.D.A.; Schalkwijk, C.G. Plasma Advanced Glycation End Products Are Associated with Incident Cardiovascular Events in Individuals with Type 2 Diabetes: A Case-Cohort Study with a Median Follow-up of 10 Years (EPIC-NL). Diabetes 2015, 64, 257–265. [Google Scholar] [CrossRef] [PubMed]
- Rabbani, N.; Thornalley, P.J. Hidden Complexities in the Measurement of Fructosyl-Lysine and Advanced Glycation End Products for Risk Prediction of Vascular Complications of Diabetes. Diabetes 2015, 64, 9–11. [Google Scholar] [CrossRef][Green Version]
- Koska, J.; Gerstein, H.C.; Beisswenger, P.J.; Reaven, P.D. Advanced Glycation End Products Predict Loss of Renal Function and High-Risk Chronic Kidney Disease in Type 2 Diabetes. Diabetes Care 2022, 45, 684–691. [Google Scholar] [CrossRef]
- Saulnier, P.J.; Wheelock, K.M.; Howell, S.; Weil, E.J.; Tanamas, S.K.; Knowler, W.C.; Lemley, K.V.; Mauer, M.; Yee, B.; Nelson, R.G.; et al. Advanced Glycation End Products Predict Loss of Renal Function and Correlate with Lesions of Diabetic Kidney Disease in American Indians With Type 2 Diabetes. Diabetes 2016, 65, 3744–3753. [Google Scholar] [CrossRef]
- Rajpurkar, P.; Chen, E.; Banerjee, O.; Topol, E.J. AI in health and medicine. Nat. Med. 2022, 28, 31–38. [Google Scholar] [CrossRef]
- Ikezaki, H.; Lim, E.; Cupples, L.A.; Liu, C.T.; Asztalos, B.F.; Schaefer, E.J. Small Dense Low-Density Lipoprotein Cholesterol Is the Most Atherogenic Lipoprotein Parameter in the Prospective Framingham Offspring Study. J. Am. Heart Assoc. 2021, 10, e019140. [Google Scholar] [CrossRef] [PubMed]
- Van der Steeg, W.A.; Holme, I.; Boekholdt, S.M.; Larsen, M.L.; Lindahl, C.; Stroes, E.S.G.; Tikkanen, M.J.; Wareham, N.J.; Faergeman, O.; Olsson, A.G.; et al. High-Density Lipoprotein Cholesterol, High-Density Lipoprotein Particle Size, and Apolipoprotein A-I: Significance for Cardiovascular Risk: The IDEAL and EPIC-Norfolk Studies. J. Am. Coll. Cardiol. 2008, 51, 634–642. [Google Scholar] [CrossRef] [PubMed]
- Rabbani, N.; Godfrey, L.; Xue, M.; Shaheen, F.; Geoffrion, M.; Milne, R.; Thornalley, P.J. Conversion of low density lipoprotein to the pro-atherogenic form by methylglyoxal with increased arterial proteoglycan binding and aortal retention. Diabetes 2011, 60, 1973–1980. [Google Scholar] [CrossRef] [PubMed]
- Godfrey, L.; Yamada-Fowler, N.; Smith, J.A.; Thornalley, P.J.; Rabbani, N. Arginine-directed glycation and decreased HDL plasma concentration and functionality. Nutr. Diabetes 2014, 4, e134. [Google Scholar] [CrossRef] [PubMed]
- Feigin, V.L.; Nichols, E.; Alam, T.; Bannick, M.S.; Beghi, E.; Blake, N.; Culpepper, W.J.; Dorsey, E.R.; Elbaz, A.; Ellenbogen, R.G.; et al. Global, regional, and national burden of neurological disorders, 1990–2016: A systematic analysis for the Global Burden of Disease Study 2016. Lancet Neurol. 2019, 18, 459–480. [Google Scholar] [CrossRef]
- Clarke, C.E. Parkinson’s disease. BMJ 2007, 335, 441–445. [Google Scholar] [CrossRef]
- Dorsey, E.R.; Bloem, B.R. The Parkinson Pandemic-A Call to Action. JAMA Neurol. 2018, 75, 9–10. [Google Scholar] [CrossRef]
- Ahmed, N.; Ahmed, U.; Thornalley, P.J.; Hager, K.; Fleischer, G.A.; Munch, G. Protein glycation, oxidation and nitration marker residues and free adducts of cerebrospinal fluid in Alzheimer’s disease and link to cognitive impairment. J. Neurochem. 2004, 92, 255–263. [Google Scholar] [CrossRef]
- Li, X.H.; Du, L.L.; Cheng, X.S.; Jiang, X.; Zhang, Y.; Lv, B.L.; Liu, R.; Wang, J.Z.; Zhou, X.W. Glycation exacerbates the neuronal toxicity of β-amyloid. Cell Death Dis. 2013, 4, e673. [Google Scholar] [CrossRef]
- Vlassenko, A.G.; Vaishnavi, S.N.; Couture, L.; Sacco, D.; Shannon, B.J.; Mach, R.H.; Morris, J.C.; Raichle, M.E.; Mintun, M.A. Spatial correlation between brain aerobic glycolysis and amyloid-β (Aβ) deposition. Proc. Natl. Acad. Sci. USA 2010, 107, 17763–17767. [Google Scholar] [CrossRef]
- Zierler, K. Whole body glucose metabolism. Am. J. Physiol. Endocrinol. Metab. 1999, 276, E409–E426. [Google Scholar] [CrossRef] [PubMed]
- Edison, P.; Ahmed, I.; Fan, Z.; Hinz, R.; Gelosa, G.; Ray Chaudhuri, K.; Walker, Z.; Turkheimer, F.E.; Brooks, D.J. Microglia, Amyloid, and Glucose Metabolism in Parkinson’s Disease with and without Dementia. Neuropsychopharmacology 2013, 38, 938–949. [Google Scholar] [CrossRef] [PubMed]
- Borghammer, P.; Chakravarty, M.; Jonsdottir, K.Y.; Sato, N.; Matsuda, H.; Ito, K.; Arahata, Y.; Kato, T.; Gjedde, A. Cortical hypometabolism and hypoperfusion in Parkinson’s disease is extensive: Probably even at early disease stages. Brain Struct. Funct. 2010, 214, 303–317. [Google Scholar] [CrossRef] [PubMed]

| Modification Process | Modified Amino Acid | Reporting Characteristic | Example of Analysis and Levels 1 |
|---|---|---|---|
| Early-stage glycation (formation of fructosamine adducts) 2 | ![]() Nε-Fructosyl-lysine (FL) | Early-stage glycation adduct formed from glucose, reporting on exposure to increased glucose concentration [23]. Repaired intracellularly by fructosamine 3-phosphokinase [24]. FL free adduct is absorbed after digestion of food proteins [25]. | Hb, 0.84 ± 0.30 mmol/mol lys; and Plasma protein, 1.35 ± 0.16 nmol/mol lys [26]. Used as markers of glycemic control in Hb (with N-terminal valine adducts) and albumin (with N-terminal aspartate adducts [5]. Urinary excretion: 26.5 (17.3–39.4) nmol/mg creatinine [16] |
| Advanced-stage glycation (formation of AGEs) | ![]() Methylglyoxal-derived hydroimidazolone (MG-H1) | A major quantitative arginine-derived AGE formed from methylglyoxal. Linked to increased fasting and postprandial glucose exposure, insulin resistance and cardiovascular disease [18,26,27,28]. MG-H1 free adduct is absorbed after digestion of food proteins [18]. | Hb, 2.62 ± 0.60 mmol/mol arg; and Plasma protein, 0.31 ± 0.20 nmol/mol arg [26]. Urinary excretion: 20.1 (16.3–30.6) nmol/mg creatinine; endogenous formation 13.4 ± 2.1 nmol/mg creatinine [18] |
![]() Nε-Carboxymethyl-lysine (CML) | Major lysine-derived AGE. Formed by the oxidative degradation of FL and other sources. CML/FL ratio is an indicator of oxidative stress [29]. CML free adduct is absorbed after digestion of food proteins [30]. | Hb, 0.075 ± 0.023 mmol/mol lys; and Plasma protein, 0.038 ± 0.010 mmol/mol lys [26]. | |
![]() Glucosepane | Major quantitative crosslink formed in protein glycation by the degradation of FL residues [31]. | Urinary excretion: 2.84 (2.41–3.36) nmol/mg creatinine [16]. Plasma free adduct increased in early-stage osteoarthritis [32]. | |
![]() | Low-level pentose sugar-derived glycation crosslink and intense fluorophore. Considered to reflect pentosephosphate pathway activity [33]. | Urinary excretion: 0.258 (0.207–0.287) nmol/mg creatinine [16]. Urinary excretion is risk predictor of diabetic kidney disease [15]. | |
![]() Pyrraline | Glucose-derived AGE formed at high temperatures of culinary processing; originating only from food [17,34]. | Urinary excretion: 9.11 (5.69–13.67) nmol/mg creatinine in second void urine after overnight fasting [16]. | |
| Oxidation | ![]() Methionine sulfoxide (MetSO; methionine-S-sulfoxide and methionine-R-sulfoxide) | Formed by the oxidation of Met and Met residues of proteins by ROS and RNS as a mixture of S- and R- diastereomers. Protein and free adduct forms are reduced to Met by methionine sulfoxide reductases, with the exception of the R-MetSO free adduct [35]. | Hb, 2.97 ± 0.55 mmol/mol met; and Plasma protein, 0.98 ± 0.13 nmol/mol met [26]. |
![]() α-Aminoadipic semialdehyde (AASA) | “Protein carbonyl” formed by the oxidative deamination of lysine [36] | Plasma protein: 0.15 ± 0.05 mmol/mol lys [10] | |
![]() Glutamic semialdehyde (GSA) | Major “protein carbonyl” formed by the oxidative deguanidylation of arginine and oxidative ring-opening of proline [36] | Plasma protein: 0.64 ± 0.33 mmol/mol arg [10] | |
![]() Dityrosine (DT) | Oxidative crosslink formed spontaneously in oxidative stress and enzymatically by DUOX [9,23]. | Plasma protein: 0.025 (0.019–0.031) mmol/mol tyr [10]. Increased in autism | |
![]() N-Formylkynurenine (NFK) | Formed by the oxidation of tryptophan by hydrogen peroxide, peroxynitrite and hypochlorite [37]. Formed enzymatically by IDO involved in immunoregulation, inflammation and host defense against infectious disease [38]. | Plasma protein: 15.6 ± 1.7 mmol/mol trp [10]. | |
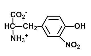
| Nitration | ![]() 3-Nitrotyrosine (3-NT) | Protein nitration marker. Major proteolysis product of proteins endogenously nitrated by peroxynitrite and nitryl chloride [23,39]. May reflect oxidative stress and/or nitric oxide availability | Plasma protein: 0.0006 ± 0.0004 mmol/mol tyr; increased in diabetes [40]. |
| Citrullination | ![]() Citrulline residue | Citrullinated protein (CP). Formed enzymatically from arginine residues by PADs [41] | Plasma CP: 0.053 (0.043–0.091) mmol/mol arg; increased in early-stage arthritis [11] |
| Transglutamination | ![]() Nε(γ-Glutamyl)lysine (GEEK) | Major protein crosslink formed enzymatically by transglutaminases from glutamine and lysine residues [42] | Urinary excretion: 0.42 (0.20–0.93) nmol/mg creatinine [16] |
| Disorder or Disease (Algorithm Development Method) | Analytes (Adduct) | Diagnostic Indication 1 | Reference |
|---|---|---|---|
| Early-stage arthritis (GLMNET) | Plasma CP, hyp and anti-CCP anti-body status | Diagnostic algorithm for classification of good skeletal health or early-stage arthritis type (OA, RA or non-RA): for Good skeletal health, OA, RA and non-RA, LR+ = 1.6, 5.6, 6.3 and 1.0 and LR− = 0.79, 0.31, 0.47 and 0.99, respectively. | [11] |
| Early-stage arthritis (Random forests) | Plasma free adducts (FL, CML, CEL, G-H1, MG-H1, 3DG-H, CEL, CMA, GSP, pentosidine; and MetSO, DT, NFK, 3-NT; and hyp and anti-CCP antibody status | Diagnostic algorithm for early-stage arthritis (any type) vs. good skeletal health: LR+ = 8.3 and LR− = 0.11. Diagnostic algorithm for classification of early-stage arthritis type (OA, RA or non-RA): for OA, RA and non-RA, LR+ = 16.1, 7.7 and 5.0 and LR− = 0.06, 0.34 and 0.36, respectively. | [50] |
| Autism spectrum disorder (Support vector machines) | Glycated plasma protein (CML, CMA, 3DG-H and DT) | Combined in a diagnostic algorithm, gave moderate evidence for presence and borderline moderate/conclusive evidence for absence of ASD; LR+ = 5.7, LR− = 0.095. | [10] |
| Early-stage decline in metabolic, vascular and renal health (Support vector machines) | Urinary free adduct (FL; and val, age and BMI) | Diagnostic algorithm classifying good health vs. early-stage health decline. LR+, 8.0. 2.8 and 13.2, and LR− 0.24, 0.43 and 0.13 for metabolic, vascular and renal health respectively. | [16] |
| Diabetic kidney disease risk prediction (X-Gradient boost) | A1C, logACR, FECMA, FEG-H1 and [CML]plasma | Accuracy 87 ± 4%, sensitivity 74 ± 9%, specificity 91 ± 4%, AUROC 0.90, LR+ 11.0, | [63] |
Publisher’s Note: MDPI stays neutral with regard to jurisdictional claims in published maps and institutional affiliations. |
© 2022 by the author. Licensee MDPI, Basel, Switzerland. This article is an open access article distributed under the terms and conditions of the Creative Commons Attribution (CC BY) license (https://creativecommons.org/licenses/by/4.0/).
Share and Cite
Rabbani, N. AGEomics Biomarkers and Machine Learning—Realizing the Potential of Protein Glycation in Clinical Diagnostics. Int. J. Mol. Sci. 2022, 23, 4584. https://doi.org/10.3390/ijms23094584
Rabbani N. AGEomics Biomarkers and Machine Learning—Realizing the Potential of Protein Glycation in Clinical Diagnostics. International Journal of Molecular Sciences. 2022; 23(9):4584. https://doi.org/10.3390/ijms23094584
Chicago/Turabian StyleRabbani, Naila. 2022. "AGEomics Biomarkers and Machine Learning—Realizing the Potential of Protein Glycation in Clinical Diagnostics" International Journal of Molecular Sciences 23, no. 9: 4584. https://doi.org/10.3390/ijms23094584
APA StyleRabbani, N. (2022). AGEomics Biomarkers and Machine Learning—Realizing the Potential of Protein Glycation in Clinical Diagnostics. International Journal of Molecular Sciences, 23(9), 4584. https://doi.org/10.3390/ijms23094584














