Benzenesulfonamides Incorporating Hydantoin Moieties Effectively Inhibit Eukaryoticand Human Carbonic Anhydrases
Abstract
1. Introduction
2. Results and Discussion
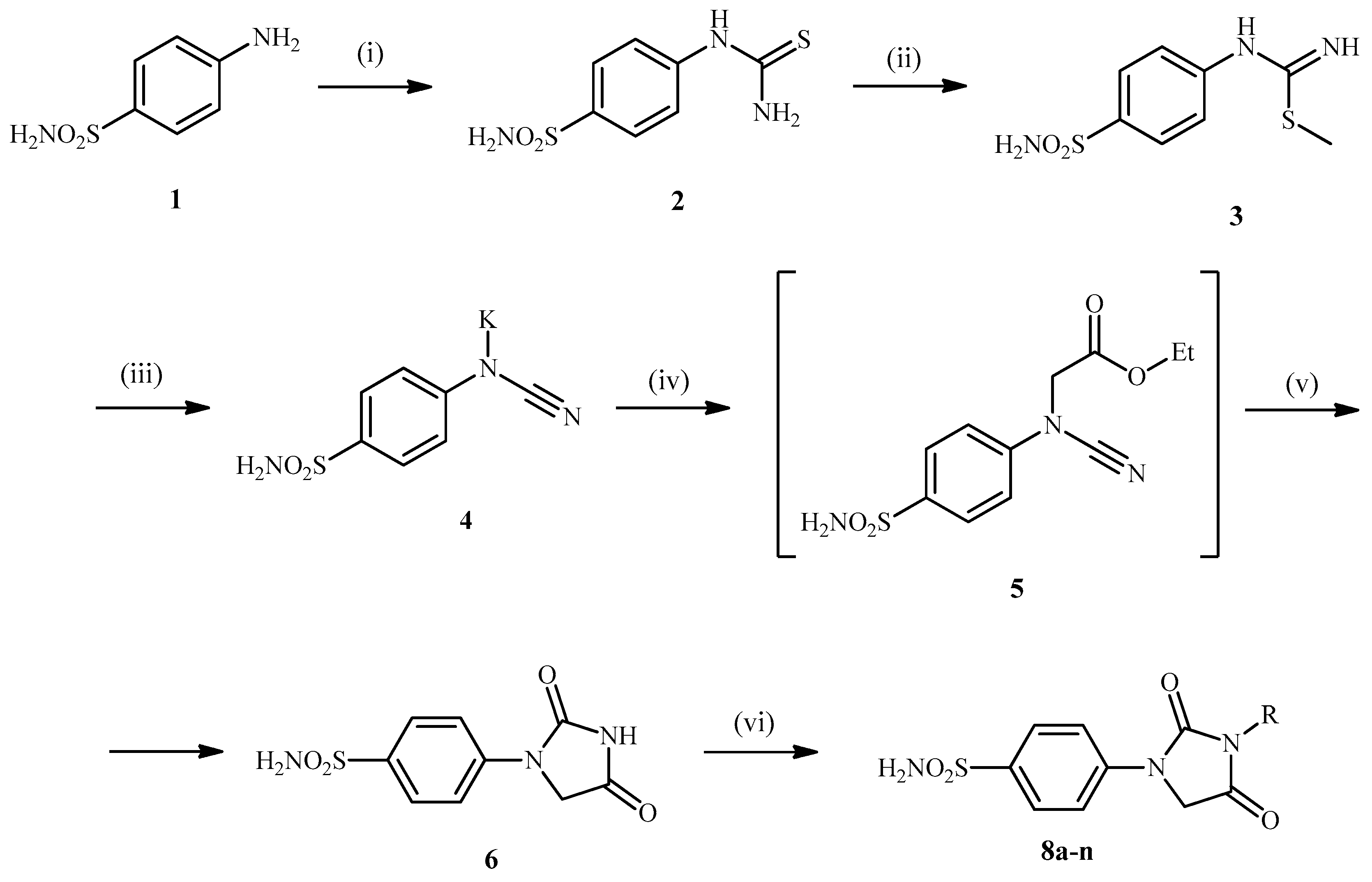
2.1. Compounds Design and Synthesis
2.2. Carbonic Anhydrase Inhibition
- (i)
- (ii)
- hCA II; the dominant cytosolic isoform [4,5,6,7,8,9] was, on the other hand, potently inhibited by most new sulfonamides reported here, with KI ranging between 1.2 and 91.2 nM. The best inhibitor 8l incorporates the 2-fluorobenzyl moiety in position 3 of the hydantoin ring, whereas the unsubstituted benzyl derivative 8d was also a highly effective inhibitor (KI of 8.7 nM). The alkyl or alkenyl substituted derivatives 8a–8c were slightly less effective (but still potent CAIs), whereas the position and nature of the substituent eventually present on the benzyl fragment in the remaining derivatives seemed to be the factor that strongly influenced the inhibition potency. Indeed, 4-CN, 4-nitro and 2-fluorobenzyl fragments were those associated with the best inhibitory action, whereas 3-methyl, pentafluoro, 4-CF3 and 4-Cl led to less effective inhibitors.
- (iii)
- The SAR is rather different for the inhibition of CA VII. The unsubstituted hydantoin 6 and the alky-substituted ones, 8a and 8b, were moderately active (KI of 30.8–187.2 nM). The alkeyl and benzylsubstituted hydantoins (except 8m) were, on the other hand, effective hCA VII inhibitors, with KI ranging between 3.0–19.5 nM. The best hCA VII inhibitors were the unsubstituted benzyl and the 4-Me-benzyl derivatives 8d and 8e, with KI of 3.0–5.3 nM, in the same range as AAZ.
- (iv)
- MgCA was poorly inhibited by these sulfonamides, which had some activity in the high micromolar range, similarly to AAZ (Table 1).
- (v)
- CgNce103 was, on the other hand, effectively inhibited by hydantoin-substituted benzene-sulfonamides, with KI ranging between 5.9 and 83.7 nM. The SAR is again diverse from what observed for other isoforms/enzymes. The unsubstituted hydantoin 6 and the alkyl-substituted derivatives 8a–8c showed KI of 29.5–83.7 nM, whereas most benzyl-substituted derivatives (except 8l and 8m) were active in the low nanomolar range.
3. Materials and Methods
3.1. Chemistry
3.2. Synthesis
3.2.1. 4-Thioureidobenzenesulfonamide (2)

3.2.2. Methyl (4-Sulfamoylphenyl)carbamimidothioate (3)

3.2.3. Potassium Cyano(4-sulfamoylphenyl)amide (4)

3.2.4. 4-(2,4-Dioxoimidazolidin-1-yl)benzenesulfonamide (6)

3.2.5. 4-(3-Ethyl-2,4-dioxoimidazolidin-1-yl)benzenesulfonamide (8a)

3.2.6. 4-(3-Heptyl-2,4-dioxoimidazolidin-1-yl)benzenesulfonamide (8b)

3.2.7. 4-(3-Allyl-2,4-dioxoimidazolidin-1-yl)benzenesulfonamide (8c)

3.2.8. 4-(3-Benzyl-2,4-dioxoimidazolidin-1-yl)benzenesulfonamide (8d)

3.2.9. 4-(3-(4-Methylbenzyl)-2,4-dioxoimidazolidin-1-yl)benzenesulfonamide (8e)

3.2.10. 4-(3-(4-Chlorobenzyl)-2,4-dioxoimidazolidin-1-yl)benzenesulfonamide (8f)

3.2.11. 4-(3-(4-Cyanobenzyl)-2,4-dioxoimidazolidin-1-yl)benzenesulfonamide (8g)

3.2.12. 4-(3-(4-Nitrobenzyl)-2,4-dioxoimidazolidin-1-yl)benzenesulfonamide (8h)

3.2.13. 4-(2,4-Dioxo-3-(4-(trifluoromethyl)benzyl)imidazolidin-1-yl)benzenesulfonamide (8i)

3.2.14. 4-(2,4-Dioxo-3-(4-(trifluoromethoxy)benzyl)imidazolidin-1-yl)benzenesulfonamide (8j)

3.2.15. 4-(3-(3-Methylbenzyl)-2,4-dioxoimidazolidin-1-yl)benzenesulfonamide (8k)

3.2.16. 4-(3-(2-Fluorobenzyl)-2,4-dioxoimidazolidin-1-yl)benzenesulfonamide (8l)

3.2.17. 4-(3-(3,4-Dichlorobenzyl)-2,4-dioxoimidazolidin-1-yl)benzenesulfonamide (8m)

3.2.18. 4-(2,4-Dioxo-3-((perfluorophenyl)methyl)imidazolidin-1-yl)benzenesulfonamide (8n)

3.3. CA Inhibition Assay
4. Conclusions
Supplementary Materials
Author Contributions
Funding
Institutional Review Board Statement
Informed Consent Statement
Data Availability Statement
Conflicts of Interest
References
- Copeland, R.A.; Harpel, M.R.; Tummino, P.J. Targeting enzyme inhibitors in drug discovery. Expert Opin. Ther. Targets 2007, 11, 967–978. [Google Scholar] [CrossRef] [PubMed]
- Geronikaki, A. Recent trends in enzyme inhibition and activation in drug design. Molecules 2021, 26, 17. [Google Scholar] [CrossRef]
- Holdgate, G.A.; Meek, T.D.; Grimley, R.L. Mechanistic enzymology in drug discovery: A fresh perspective. Nat. Rev. Drug Discov. 2018, 17, 115–132. [Google Scholar] [CrossRef] [PubMed]
- Supuran, C.T. Carbonic anhydrases: Novel therapeutic applications for inhibitors and activators. Nat. Rev. Drug. Discov. 2008, 7, 168–181. [Google Scholar] [CrossRef] [PubMed]
- Supuran, C.T. Carbon-versus sulphur-based zinc binding groups for carbonic anhydrase inhibitors? J. Enzym. Inhib. Med. Chem. 2018, 33, 485–495. [Google Scholar] [CrossRef] [PubMed]
- Supuran, C.T. Emerging role of carbonic anhydrase inhibitors. Clin. Sci. 2021, 135, 1233–1249. [Google Scholar] [CrossRef]
- Supuran, C.T.; Scozzafava, A. Carbonic anhydrases as targets for medicinal chemistry. Bioorg. Med. Chem. 2007, 15, 4336–4350. [Google Scholar] [CrossRef]
- Supuran, C.T. Carbonic anhydrase inhibitors and their potential in a range of therapeutic areas. Expert Opin. Ther. Pat. 2018, 28, 709–712. [Google Scholar] [CrossRef]
- Supuran, C.T. Novel carbonic anhydrase inhibitors. Future Med. Chem. 2021, 13, 1935–1937. [Google Scholar] [CrossRef]
- Truppo, E.; Supuran, C.T.; Sandomenico, A.; Vullo, D.; Innocenti, A.; Di Fiore, A.; Alterio, V.; De Simone, G.; Monti, S.M. Carbonic anhydrase VII is S-glutathionylated without loss of catalytic activity and affinity for sulfonamide inhibitors. Bioorganic. Med. Chem. Lett. 2012, 22, 1560–1564. [Google Scholar] [CrossRef]
- Lemon, N.; Canepa, E.; Ilies, M.A.; Fossati, S. Carbonic anhydrases as potential targets against neurovascular unit dysfunction in Alzheimer’s disease and stroke. Front. Aging Neurosci. 2021, 13, 772278. [Google Scholar] [CrossRef] [PubMed]
- De Luca, L.; Ferro, S.; Damiano, F.M.; Supuran, C.T.; Vullo, D.; Chimirri, A.; Gitto, R. Structure-based screening for the discovery of new carbonic anhydrase VII inhibitors. Eur. J. Med. Chem. 2014, 71, 105–111. [Google Scholar] [CrossRef]
- Supuran, C.T. Carbonic anhydrase inhibition and the management of neuropathic pain. Expert Rev. Neurother. 2016, 16, 961–968. [Google Scholar] [CrossRef] [PubMed]
- Supuran, C.T. Anti-obesity carbonic anhydrase inhibitors: Challenges and opportunities. J. Enzym. Inhib. Med. Chem. 2022, 37, 2478–2488. [Google Scholar] [CrossRef] [PubMed]
- McDonald, P.C.; Chafe, S.C.; Supuran, C.T.; Dedhar, S. Cancer Therapeutic Targeting of Hypoxia Induced Carbonic Anhydrase IX: From Bench to Bedside. Cancers 2022, 14, 3297. [Google Scholar] [CrossRef]
- Carta, F.; Scozzafava, A.; Supuran, C.T. Sulfonamides: A patent review (2008–2012). Expert Opin. Ther. Pat. 2012, 22, 747–758. [Google Scholar] [CrossRef]
- Mishra, C.B.; Tiwari, M.; Supuran, C.T. Progress in the development of human carbonic anhydrase inhibitors and their pharmacological applications: Where are we today? Med. Res. Rev. 2020, 40, 2485–2565. [Google Scholar] [CrossRef] [PubMed]
- Liguori, F.; Carradori, S.; Ronca, R.; Rezzola, S.; Filiberti, S.; Carta, F.; Turati, M.; Supuran, C.T. Benzenesulfonamides with different rigidity-conferring linkers as carbonic anhydrase inhibitors: An insight into the antiproliferative effect on glioblastoma, pancreatic, and breast cancer cells. J. Enzym. Inhib. Med. Chem. 2022, 37, 1857–1869. [Google Scholar] [CrossRef]
- Tars, K.; Vullo, D.; Kazaks, A.; Leitans, J.; Lends, A.; Grandane, A.; Žalubovskis, R.; Scozzafava, A.; Supuran, C.T. Sulfocoumarins (1, 2-benzoxathiine-2, 2-dioxides): A class of potent and isoform-selective inhibitors of tumor-associated carbonic anhydrases. J. Med. Chem. 2013, 56, 293–300. [Google Scholar] [CrossRef]
- Leitans, J.; Kazaks, A.; Balode, A.; Ivanova, J.; Žalubovskis, R.; Supuran, C.T.; Tars, K. Efficient expression and crystallization system of cancer-associated carbonic anhydrase isoform IX. J. Med. Chem. 2015, 58, 9004–9009. [Google Scholar] [CrossRef]
- Grandane, A.; Tanc, M.; Di Cesare Mannelli, L.; Carta, F.; Ghelardini, C.; Žalubovskis, R.; Supuran, C.T. 6-Substituted sulfocoumarins are selective carbonic anhdydrase IX and XII inhibitors with significant cytotoxicity against colorectal cancer cells. J. Med. Chem. 2015, 58, 3975–3983. [Google Scholar] [CrossRef] [PubMed]
- Angeli, A.; Carta, F.; Nocentini, A.; Winum, J.Y.; Žalubovskis, R.; Akdemir, A.; Onnis, V.; Eldehna, W.M.; Capasso, C.; Simone, G.D.; et al. Carbonic anhydrase inhibitors targeting metabolism and tumor microenvironment. Metabolites 2020, 10, 412. [Google Scholar] [CrossRef] [PubMed]
- Grandāne, A.; Nocentini, A.; Domračeva, I.; Žalubovskis, R.; Supuran, C.T. Development of oxathiino [6, 5-b] pyridine 2, 2-dioxide derivatives as selective inhibitors of tumor-related carbonic anhydrases IX and XII. Eur. J. Med. Chem. 2020, 200, 112300. [Google Scholar] [CrossRef]
- Nocentini, A.; Angeli, A.; Carta, F.; Winum, J.Y.; Žalubovskis, R.; Carradori, S.; Capasso, C.; Donald, W.A.; Supuran, C.T. Reconsidering anion inhibitors in the general context of drug design studies of modulators of activity of the classical enzyme carbonic anhydrase. J. Enzym. Inhib. Med. Chem. 2021, 36, 561–580. [Google Scholar] [CrossRef] [PubMed]
- Abdoli, M.; Angeli, A.; Bozdag, M.; Carta, F.; Kakanejadifard, A.; Saeidian, H.; Supuran, C.T. Synthesis and carbonic anhydrase I, II, VII, and IX inhibition studies with a series of benzo [d] thiazole-5-and 6-sulfonamides. J. Enzym. Inhib. Med. Chem. 2017, 32, 1071–1078. [Google Scholar] [CrossRef]
- Abdoli, M.; Bozdag, M.; Angeli, A.; Supuran, C.T. Benzamide-4-sulfonamides are effective human carbonic anhydrase i, ii, vii, and ix inhibitors. Metabolites 2018, 8, 37. [Google Scholar] [CrossRef] [PubMed]
- Bozdag, M.; Poli, G.; Angeli, A.; Lucarini, E.; Tuccinardi, T.; Mannelli, L.D.; Selleri, S.; Ghelardini, C.; Winum, J.Y.; Carta, F.; et al. N-aryl-N’-ureido-O-sulfamates: Potent and selective inhibitors of the human Carbonic Anhydrase VII isoform with neuropathic pain relieving properties. Bioorg. Chem. 2019, 89, 103033. [Google Scholar] [CrossRef] [PubMed]
- Vali, Y.K.; Gundla, R.; Singh, O.V.; Tamboli, Y.; Manelli, L.D.; Ghelardini, C.; Al-Tamimi, A.M.; Carta, F.; Angeli, A.; Supuran, C.T. Spirocyclic sulfonamides with carbonic anhydrase inhibitory and anti-neuropathic pain activity. Bioorg. Chem. 2019, 92, 103210. [Google Scholar] [CrossRef]
- Gitto, R.; Agnello, S.; Ferro, S.; Vullo, D.; Supuran, C.T.; Chimirri, A. Identification of potent and selective human carbonic anhydrase VII (hCA VII) inhibitors. ChemMedChem 2010, 5, 823–826. [Google Scholar] [CrossRef]
- Pustenko, A.; Nocentini, A.; Gratteri, P.; Bonardi, A.; Vozny, I.; Žalubovskis, R.; Supuran, C.T. The antibiotic furagin and its derivatives are isoform-selective human carbonic anhydrase inhibitors. J. Enzym. Inhib. Med. Chem. 2020, 35, 1011–1020. [Google Scholar] [CrossRef]
- Grandane, A.; Nocentini, A.; Werner, T.; Zalubovskis, R.; Supuran, C.T. Benzoxepinones: A new isoform-selective class of tumor associated carbonic anhydrase inhibitors. Bioorg. Med. Chem. 2020, 28, 115496. [Google Scholar] [CrossRef]
- Pustenko, A.; Nocentini, A.; Balašova, A.; Krasavin, M.; Žalubovskis, R.; Supuran, C.T. 7-Acylamino-3H-1,2-benzoxathiepine 2,2-dioxides as new isoform-selective carbonic anhydrase IX and XII inhibitors. J. Enzyme Inhib. Med. Chem. 2020, 35, 650–656. [Google Scholar] [CrossRef]
- Abdoli, M.; Giovannuzzi, S.; Supuran, C.T.; Žalubovskis, R. 4-(3-Alkyl/benzyl-guanidino)benzenesulfonamides as selective carbonic anhydrase VII inhibitors. J. Enzym. Inhib. Med. Chem. 2022, 37, 1568–1576. [Google Scholar] [CrossRef]
- Krasavin, M.; Sharonova, T.; Sharoyko, V.; Zhukovsky, D.; Kalinin, S.; Žalubovskis, R.; Tennikova, T.; Supuran, C.T. Combining carbonic anhydrase and thioredoxin reductase inhibitory motifs within a single molecule dramatically increases its cytotoxicity. J. Enzym. Inhib. Med. Chem. 2020, 35, 665–671. [Google Scholar] [CrossRef]
- Krasavin, M.; Žalubovskis, R.; Grandāne, A.; Domračeva, I.; Zhmurov, P.; Supuran, C.T. Sulfocoumarins as dual inhibitors of human carbonic anhydrase isoforms IX/XII and of human thioredoxin reductase. J. Enzym. Inhib. Med. Chem. 2020, 35, 506–510. [Google Scholar] [CrossRef] [PubMed]
- Pustenko, A.; Nocentini, A.; Balašova, A.; Alafeefy, A.; Krasavin, M.; Žalubovskis, R.; Supuran, C.T. Aryl derivatives of 3H-1,2-benzoxathiepine 2,2-dioxide as carbonic anhydrase inhibitors. J. Enzym. Inhib. Med. Chem. 2020, 35, 245–254. [Google Scholar] [CrossRef] [PubMed]
- Podolski-Renić, A.; Dinić, J.; Stanković, T.; Jovanović, M.; Ramović, A.; Pustenko, A.; Žalubovskis, R.; Pešić, M. Sulfocoumarins, specific carbonic anhydrase IX and XII inhibitors, interact with cancer multidrug resistant phenotype through pH regulation and reverse P-glycoprotein mediated resistance. Eur. J. Pharm. Sci. 2019, 138, 105012. [Google Scholar] [CrossRef] [PubMed]
- Pustenko, A.; Stepanovs, D.; Žalubovskis, R.; Vullo, D.; Kazaks, A.; Leitans, J.; Tars, K.; Supuran, C.T. 3H-1,2-benzoxathiepine 2,2-dioxides: A new class of isoform-selective carbonic anhydrase inhibitors. J. Enzym. Inhib. Med. Chem. 2017, 32, 767–775. [Google Scholar] [CrossRef]
- Ivanova, J.; Balode, A.; Žalubovskis, R.; Leitans, J.; Kazaks, A.; Vullo, D.; Tars, K.; Supuran, C.T. 5-Substituted-benzylsulfanyl-thiophene-2-sulfonamides with effective carbonic anhydrase inhibitory activity: Solution and crystallographic investigations. Bioorg. Med. Chem. 2017, 25, 857–863. [Google Scholar] [CrossRef]
- Alterio, V.; Tanc, M.; Ivanova, J.; Zalubovskis, R.; Vozny, I.; Monti, S.M.; Di Fiore, A.; De Simone, G.; Supuran, C.T. X-ray crystallographic and kinetic investigations of 6-sulfamoyl-saccharin as a carbonic anhydrase inhibitor. Org. Biomol. Chem. 2015, 13, 4064–4069. [Google Scholar] [CrossRef]
- Amedei, A.; Capasso, C.; Nannini, G.; Supuran, C.T. Microbiota, Bacterial Carbonic Anhydrases, and Modulators of Their Activity: Links to Human Diseases? Mediat. Inflamm. 2021, 2021, 6926082. [Google Scholar] [CrossRef]
- Nocentini, A.; Supuran, C.T.; Capasso, C. An overview on the recently discovered iota-carbonic anhydrases. J. Enzym. Inhib. Med. Chem. 2021, 36, 1988–1995. [Google Scholar] [CrossRef]
- Campestre, C.; De Luca, V.; Carradori, S.; Grande, R.; Carginale, V.; Scaloni, A.; Supuran, C.T.; Capasso, C. Carbonic Anhydrases: New Perspectives on Protein Functional Role and Inhibition in Helicobacter pylori. Front. Microbiol. 2021, 12, 629163. [Google Scholar] [CrossRef]
- Del Prete, S.; Nocentini, A.; Supuran, C.T.; Capasso, C. Bacterial ι-carbonic anhydrase: A new active class of carbonic anhydrase identified in the genome of the Gram-negative bacterium Burkholderia territorii. J. Enzym. Inhib. Med. Chem. 2020, 35, 1060–1068. [Google Scholar] [CrossRef]
- De Luca, V.; Carginale, V.; Supuran, C.T.; Capasso, C. The gram-negative bacterium Escherichia coli as a model for testing the effect of carbonic anhydrase inhibition on bacterial growth. J. Enzym. Inhib. Med. Chem. 2022, 37, 2092–2098. [Google Scholar] [CrossRef]
- Supuran, C.T.; Capasso, C. Antibacterial carbonic anhydrase inhibitors: An update on the recent literature. Expert Opin. Ther. Pat. 2020, 30, 963–982. [Google Scholar] [CrossRef]
- Giovannuzzi, S.; Hewitt, C.S.; Nocentini, A.; Capasso, C.; Costantino, G.; Flaherty, D.P.; Supuran, C.T. Inhibition studies of bacterial α-carbonic anhydrases with phenols. J. Enzym. Inhib. Med. Chem. 2022, 37, 666–671. [Google Scholar] [CrossRef]
- Angeli, A.; Velluzzi, A.; Selleri, S.; Capasso, C.; Spadini, C.; Iannarelli, M.; Cabassi, C.S.; Carta, F.; Supuran, C.T. Seleno Containing Compounds as Potent and Selective Antifungal Agents. ACS Infect. Dis. 2022, 8, 1905–1919. [Google Scholar] [CrossRef]
- D’Agostino, I.; Mathew, G.E.; Angelini, P.; Venanzoni, R.; Angeles Flores, G.; Angeli, A.; Carradori, S.; Marinacci, B.; Menghini, L.; Abdelgawad, M.A.; et al. Biological investigation of N-methyl thiosemicarbazones as antimicrobial agents and bacterial carbonic anhydrases inhibitors. J. Enzym. Inhib. Med. Chem. 2022, 37, 986–993. [Google Scholar] [CrossRef]
- De Luca, V.; Angeli, A.; Mazzone, V.; Adelfio, C.; Carginale, V.; Scaloni, A.; Carta, F.; Selleri, S.; Supuran, C.T.; Capasso, C. Heterologous expression and biochemical characterisation of the recombinant β-carbonic anhydrase (MpaCA) from the warm-blooded vertebrate pathogen malassezia pachydermatis. J. Enzym. Inhib. Med. Chem. 2022, 37, 62–68. [Google Scholar] [CrossRef]
- De Luca, V.; Angeli, A.; Mazzone, V.; Adelfio, C.; Carta, F.; Selleri, S.; Carginale, V.; Scaloni, A.; Supuran, C.T.; Capasso, C. Inhibitory Effects of Sulfonamide Derivatives on the β-Carbonic Anhydrase (MpaCA) from Malassezia pachydermatis, a Commensal, Pathogenic Fungus Present in Domestic Animals. Int. J. Mol. Sci. 2021, 22, 12601. [Google Scholar] [CrossRef]
- Supuran, C.T.; Capasso, C. A Highlight on the Inhibition of Fungal Carbonic Anhydrases as Drug Targets for the Antifungal Armamentarium. Int. J. Mol. Sci. 2021, 22, 4324. [Google Scholar] [CrossRef]
- Supuran, C.T.; Capasso, C. Biomedical applications of prokaryotic carbonic anhydrases. Expert Opin. Ther. Pat. 2018, 28, 745–754. [Google Scholar] [CrossRef]
- Flaherty, D.P.; Seleem, M.N.; Supuran, C.T. Bacterial carbonic anhydrases: Underexploited antibacterial therapeutic targets. Future Med. Chem. 2021, 13, 1619–1622. [Google Scholar] [CrossRef]
- Hewitt, C.S.; Abutaleb, N.S.; Elhassanny, A.E.M.; Nocentini, A.; Cao, X.; Amos, D.P.; Youse, M.S.; Holly, K.J.; Marapaka, A.K.; An, W.; et al. Structure-Activity Relationship Studies of Acetazolamide-Based Carbonic Anhydrase Inhibitors with Activity against Neisseria gonorrhoeae. ACS Infect. Dis. 2021, 7, 1969–1984. [Google Scholar]
- Abutaleb, N.S.; Elhassanny, A.E.M.; Nocentini, A.; Hewitt, C.S.; Elkashif, A.; Cooper, B.R.; Supuran, C.T.; Seleem, M.N.; Flaherty, D.P. Repurposing FDA-approved sulphonamide carbonic anhydrase inhibitors for treatment of Neisseria gonorrhoeae. J. Enzym. Inhib. Med. Chem. 2022, 37, 51–61. [Google Scholar] [CrossRef]
- An, W.; Holly, K.J.; Nocentini, A.; Imhoff, R.D.; Hewitt, C.S.; Abutaleb, N.S.; Cao, X.; Seleem, M.N.; Supuran, C.T.; Flaherty, D.P. Structure-activity relationship studies for inhibitors for vancomycin-resistant Enterococcus and human carbonic anhydrases. J. Enzym. Inhib. Med. Chem. 2022, 37, 1838–1844. [Google Scholar]
- Nocentini, A.; Bua, S.; Del Prete, S.; Heravi, Y.E.; Saboury, A.A.; Karioti, A.; Bilia, A.R.; Capasso, C.; Gratteri, P.; Supuran, C.T. Natural Polyphenols Selectively Inhibit β-Carbonic Anhydrase from the Dandruff-Producing Fungus Malassezia globosa: Activity and Modeling Studies. ChemMedChem 2018, 13, 816–823. [Google Scholar]
- Nocentini, A.; Cadoni, R.; Del Prete, S.; Capasso, C.; Dumy, P.; Gratteri, P.; Supuran, C.T.; Winum, J.Y. Benzoxaboroles as Efficient Inhibitors of the β-Carbonic Anhydrases from Pathogenic Fungi: Activity and Modeling Study. ACS Med. Chem. Lett. 2017, 8, 1194–1198. [Google Scholar]
- Supuran, C.T. Bortezomib inhibits bacterial and fungal β-carbonic anhydrases. Bioorg. Med. Chem. 2016, 24, 4406–4409. [Google Scholar]
- Hewitson, K.S.; Vullo, D.; Scozzafava, A.; Mastrolorenzo, A.; Supuran, C.T. Molecular cloning, characterization, and inhibition studies of a β-carbonic anhydrase from Malassezia globosa, a potential antidandruff target. J. Med. Chem. 2012, 55, 3513–3520. [Google Scholar] [CrossRef] [PubMed]
- Bua, S.; Osman, S.M.; AlOthman, Z.; Supuran, C.T.; Nocentini, A. Benzenesulfonamides incorporating nitrogenous bases show effective inhibition of β-carbonic anhydrases from the pathogenic fungi Cryptococcus neoformans, Candida glabrata and Malassezia globosa. Bioorg. Chem. 2019, 86, 39–43. [Google Scholar] [CrossRef] [PubMed]
- Innocenti, A.; Leewattanapasuk, W.; Mühlschlegel, F.A.; Mastrolorenzo, A.; Supuran, C.T. Carbonic anhydrase inhibitors. Inhibition of the beta-class enzyme from the pathogenic yeast Candida glabrata with anions. Bioorg. Med. Chem. Lett. 2009, 19, 4802–4805. [Google Scholar] [CrossRef] [PubMed]
- Monti, S.M.; Maresca, A.; Viparelli, F.; Carta, F.; De Simone, G.; Mühlschlegel, F.A.; Scozzafava, A.; Supuran, C.T. Dithiocarbamates are strong inhibitors of the beta-class fungal carbonic anhydrases from Cryptococcus neoformans, Candida albicans and Candida glabrata. Bioorg. Med. Chem. Lett. 2012, 22, 859–862. [Google Scholar] [CrossRef]
- Cottier, F.; Leewattanapasuk, W.; Kemp, L.R.; Murphy, M.; Supuran, C.T.; Kurzai, O.; Mühlschlegel, F.A. Carbonic anhydrase regulation and CO(2) sensing in the fungal pathogen Candida glabrata involves a novel Rca1p ortholog. Bioorg. Med. Chem. 2013, 21, 1549–1554. [Google Scholar] [CrossRef]
- Vullo., D.; Leewattanapasuk, W.; Mühlschlegel, F.A.; Mastrolorenzo, A.; Capasso, C.; Supuran, C.T. Carbonic anhydrase inhibitors: Inhibition of the β-class enzyme from the pathogenic yeast Candida glabrata with sulfonamides, sulfamates and sulfamides. Bioorg. Med. Chem. Lett. 2013, 23, 2647–2652. [Google Scholar] [CrossRef]
- Khalifah, R.G. The carbon dioxide hydration activity of carbonic anhydrase. I. Stop-flow kinetic studies on the native human isoenzymes B and C. J. Biol. Chem. 1971, 246, 2561–2573. [Google Scholar] [CrossRef]
- Pastorekova, S.; Casini, A.; Scozzafava, A.; Vullo, D.; Pastorek, J.; Supuran, C.T. Carbonic anhydrase inhibitors: The first selective, membrane-impermeant inhibitors targeting the tumor-associated isozyme IX. Bioorg. Med. Chem. Lett. 2004, 14, 869–873. [Google Scholar] [CrossRef]
- Vullo, D.; Voipio, J.; Innocenti, A.; Rivera, C.; Ranki, H.; Scozzafava, A.; Kaila, K.; Supuran, C.T. Carbonic anhydrase inhibitors. Inhibition of the human cytosolic isozyme VII with aromatic and heterocyclic sulfonamides. Bioorg. Med. Chem. Lett. 2005, 15, 971–976. [Google Scholar] [CrossRef]
- Gieling, R.G.; Babur, M.; Mamnani, L.; Burrows, N.; Telfer, B.A.; Carta, F.; Winum, J.Y.; Scozzafava, A.; Supuran, C.T.; Williams, K.J. Antimetastatic effect of sulfamate carbonic anhydrase IX inhibitors in breast carcinoma xenografts. J. Med. Chem. 2012, 55, 5591–5600. [Google Scholar] [CrossRef]
- Zimmerman, S.A.; Ferry, J.G.; Supuran, C.T. Inhibition of the archaeal beta-class (Cab) and gamma-class (Cam) carbonic anhydrases. Curr. Top. Med. Chem. 2007, 7, 901–908. [Google Scholar] [CrossRef] [PubMed]
- Supuran, C.T.; Clare, B.W. Carbonic anhydrase inhibitors. Part Quantum chemical QSAR of a group of 1,3,4-thiadiazole and 1,3,4-thiadiazoline disulfonamides with carbonic anhydrase inhibitory properties. Eur. J. Med. Chem. 1999, 34, 41–50. [Google Scholar] [CrossRef]
- Supuran, C.T.; Barboiu, M.; Luca, C.; Pop, E.; Brewster, M.E.; Dinculescu, A. Carbonic anhydrase activators. Part Synthesis of mono- and bis- pyridinium salt derivatives of 2-amino-5-(2-aminoethyl)- and 2-amino-5-(3-aminopropyl)-1,3,4-thiadiazole, and their interaction with isozyme II. Eur. J. Med. Chem. 1996, 31, 597–606. [Google Scholar] [CrossRef]
- Aspatwar, A.; Barker, H.; Aisala, H.; Zueva, K.; Kuuslahti, M.; Tolvanen, M.; Primmer, C.R.; Lumme, J.; Bonardi, A.; Tripathi, A.; et al. Cloning, purification, kinetic and anion inhibition studies of a recombinant β-carbonic anhydrase from the Atlantic salmon parasite platyhelminth Gyrodactylus salaris. J. Enzym. Inhib. Med. Chem. 2022, 37, 1577–1586. [Google Scholar] [CrossRef] [PubMed]
- Del Prete, S.; De Luca, V.; Vullo, D.; Osman, S.M.; AlOthman, Z.; Carginale, V.; Supuran, C.T.; Capasso, C. A new procedure for the cloning, expression and purification of the beta-carbonic anhydrase from the pathogenic yeast Malassezia globosa, an anti-dandruff drug target. J. Enzym. Inhib. Med. Chem. 2016, 31, 1156–1161. [Google Scholar] [CrossRef]


![]() | ||||||
|---|---|---|---|---|---|---|
| Compound | R | KI (nM) a | ||||
| hCA I (α-CA) | hCA II (α-CA) | hCA VII (α-CA) | MgCA (β-CA) | CgNce103 (β-CA) | ||
| 6 | -H | 503.9 | 18.1 | 61.4 | 37,170 | 29.5 |
| 8a | -CH2CH3 | 261.7 | 25.8 | 30.8 | 68,090 | 46.0 |
| 8b | -(CH2)6CH3 | 747.3 | 56.4 | 187.2 | 95,700 | 83.7 |
| 8c | -CH2CH=CH2 | 233.8 | 32.6 | 19.5 | 66,580 | 54.2 |
| 8d | -CH2C6H5 | 837.3 | 8.7 | 5.3 | 64,570 | 20.9 |
| 8e | -CH2(4-CH3-C6H4) | 2926 | 32.7 | 3.0 | 38,930 | 18.3 |
| 8f | -CH2(4-Cl-C6H4) | 8789 | 62.2 | 15.3 | 41,460 | 44.9 |
| 8g | -CH2(4-CN-C6H4) | 570.5 | 7.2 | 12.0 | >100,000 | 38.4 |
| 8h | -CH2(4-NO2-C6H4) | 656.6 | 6.1 | 30.3 | >100,000 | 6.6 |
| 8i | -CH2(4-CF3-C6H4) | 601.1 | 43.3 | 14.3 | 59,580 | 13.1 |
| 8j | -CH2(4-OCF3-C6H4) | 424.9 | 16.4 | 22.4 | >100,000 | 5.9 |
| 8k | -CH2(3-CH3-C6H4) | 1081 | 58.3 | 18.8 | >100,000 | 8.4 |
| 8l | -CH2(2-F-C6H4) | 446.8 | 1.2 | 12.7 | 81,130 | 48.8 |
| 8m | -CH2(3,4-diCl-C6H3) | 687.9 | 85.6 | 132.9 | >100,000 | 67.9 |
| 8n | -CH2(C6F5) | 414.6 | 91.2 | 16.9 | 34,940 | 35.7 |
| AAZ | - | 250 | 12.5 | 2.5 | 74,000 | 11 |
Publisher’s Note: MDPI stays neutral with regard to jurisdictional claims in published maps and institutional affiliations. |
© 2022 by the authors. Licensee MDPI, Basel, Switzerland. This article is an open access article distributed under the terms and conditions of the Creative Commons Attribution (CC BY) license (https://creativecommons.org/licenses/by/4.0/).
Share and Cite
Abdoli, M.; De Luca, V.; Capasso, C.; Supuran, C.T.; Žalubovskis, R. Benzenesulfonamides Incorporating Hydantoin Moieties Effectively Inhibit Eukaryoticand Human Carbonic Anhydrases. Int. J. Mol. Sci. 2022, 23, 14115. https://doi.org/10.3390/ijms232214115
Abdoli M, De Luca V, Capasso C, Supuran CT, Žalubovskis R. Benzenesulfonamides Incorporating Hydantoin Moieties Effectively Inhibit Eukaryoticand Human Carbonic Anhydrases. International Journal of Molecular Sciences. 2022; 23(22):14115. https://doi.org/10.3390/ijms232214115
Chicago/Turabian StyleAbdoli, Morteza, Viviana De Luca, Clemente Capasso, Claudiu T. Supuran, and Raivis Žalubovskis. 2022. "Benzenesulfonamides Incorporating Hydantoin Moieties Effectively Inhibit Eukaryoticand Human Carbonic Anhydrases" International Journal of Molecular Sciences 23, no. 22: 14115. https://doi.org/10.3390/ijms232214115
APA StyleAbdoli, M., De Luca, V., Capasso, C., Supuran, C. T., & Žalubovskis, R. (2022). Benzenesulfonamides Incorporating Hydantoin Moieties Effectively Inhibit Eukaryoticand Human Carbonic Anhydrases. International Journal of Molecular Sciences, 23(22), 14115. https://doi.org/10.3390/ijms232214115


