Agomelatine, Ketamine and Vortioxetine Attenuate Energy Cell Metabolism—In Vitro Study
Abstract
1. Introduction
2. Results
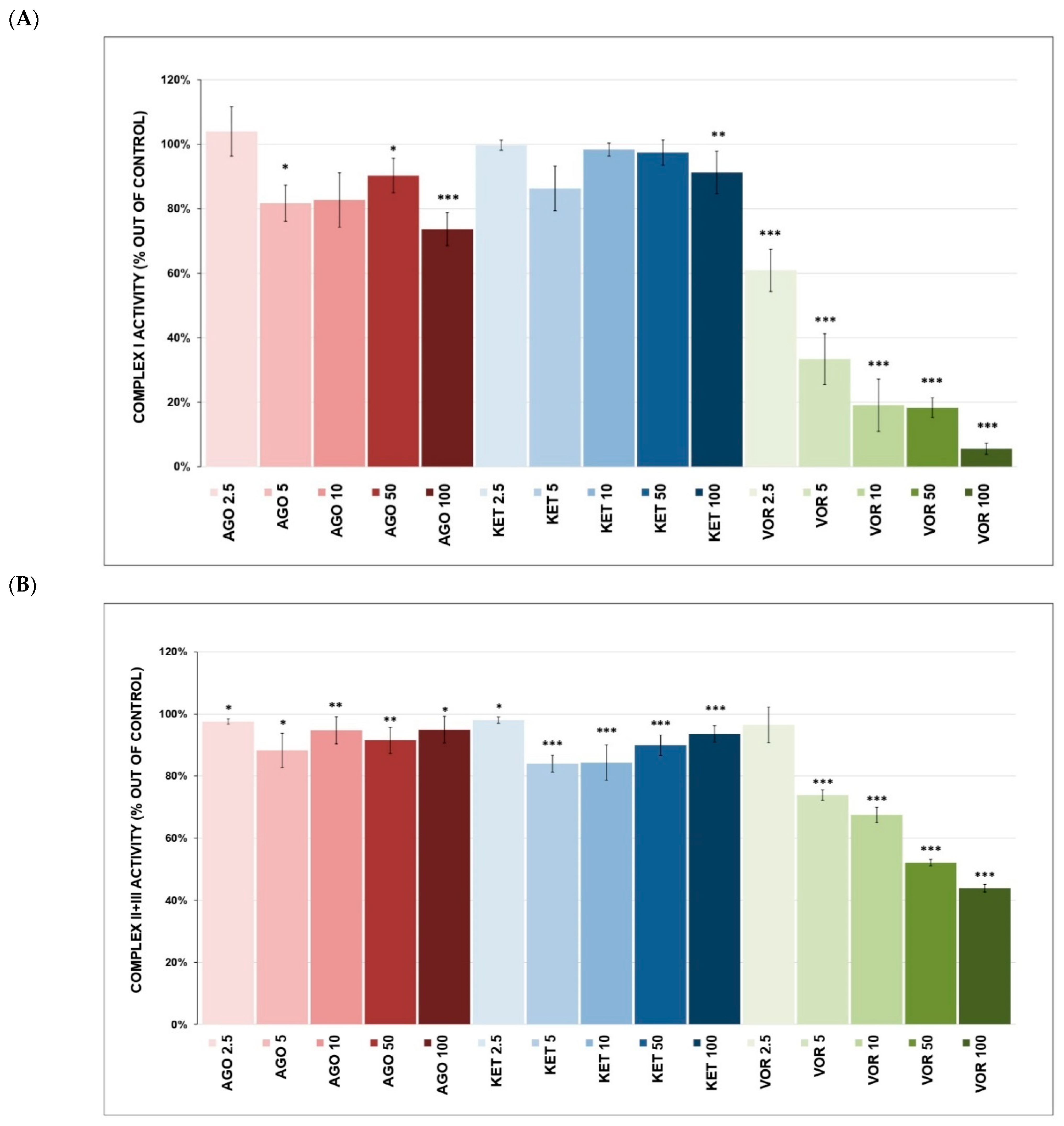
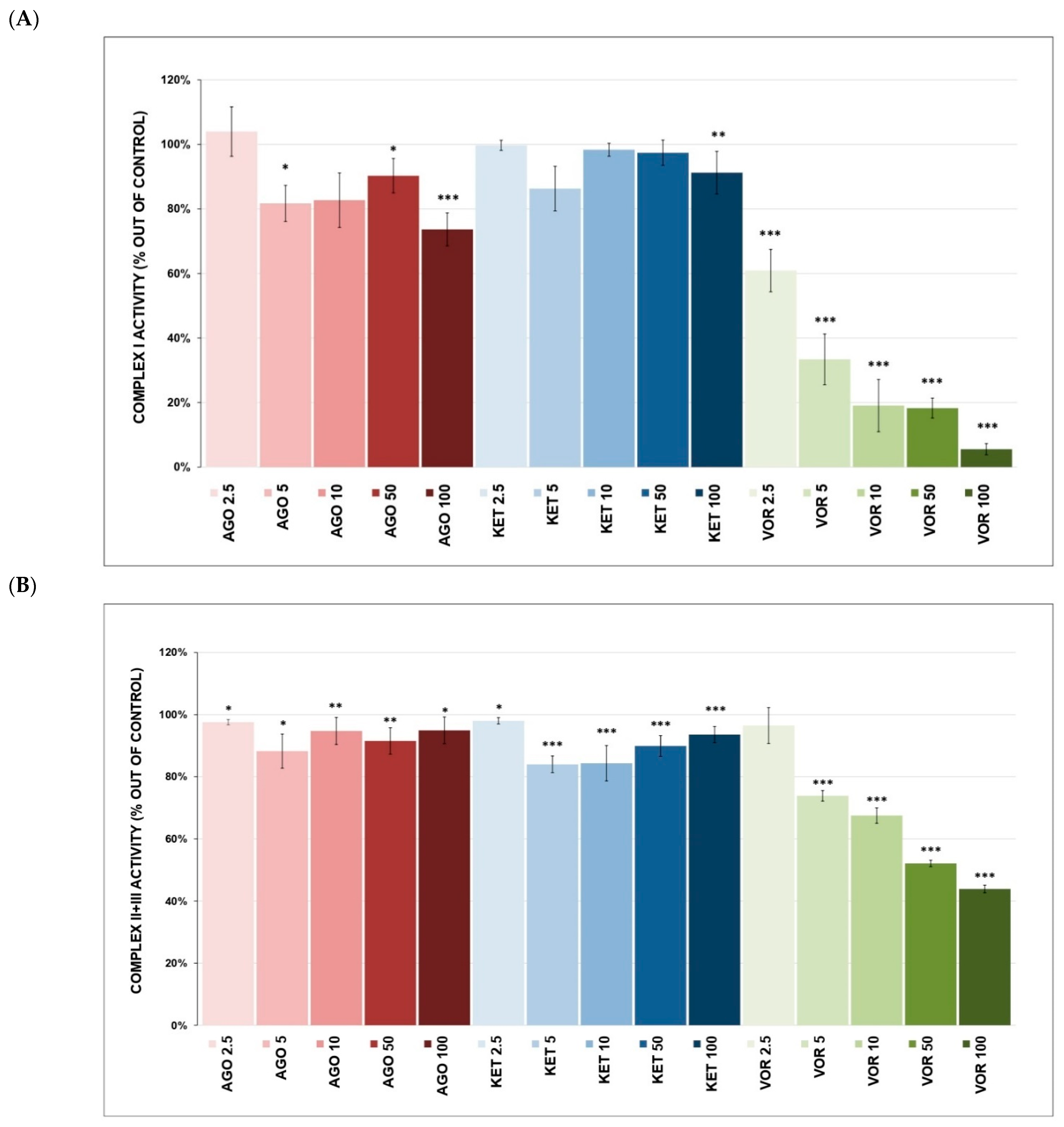
2.1. Activity of Mitochondrial Enzymes
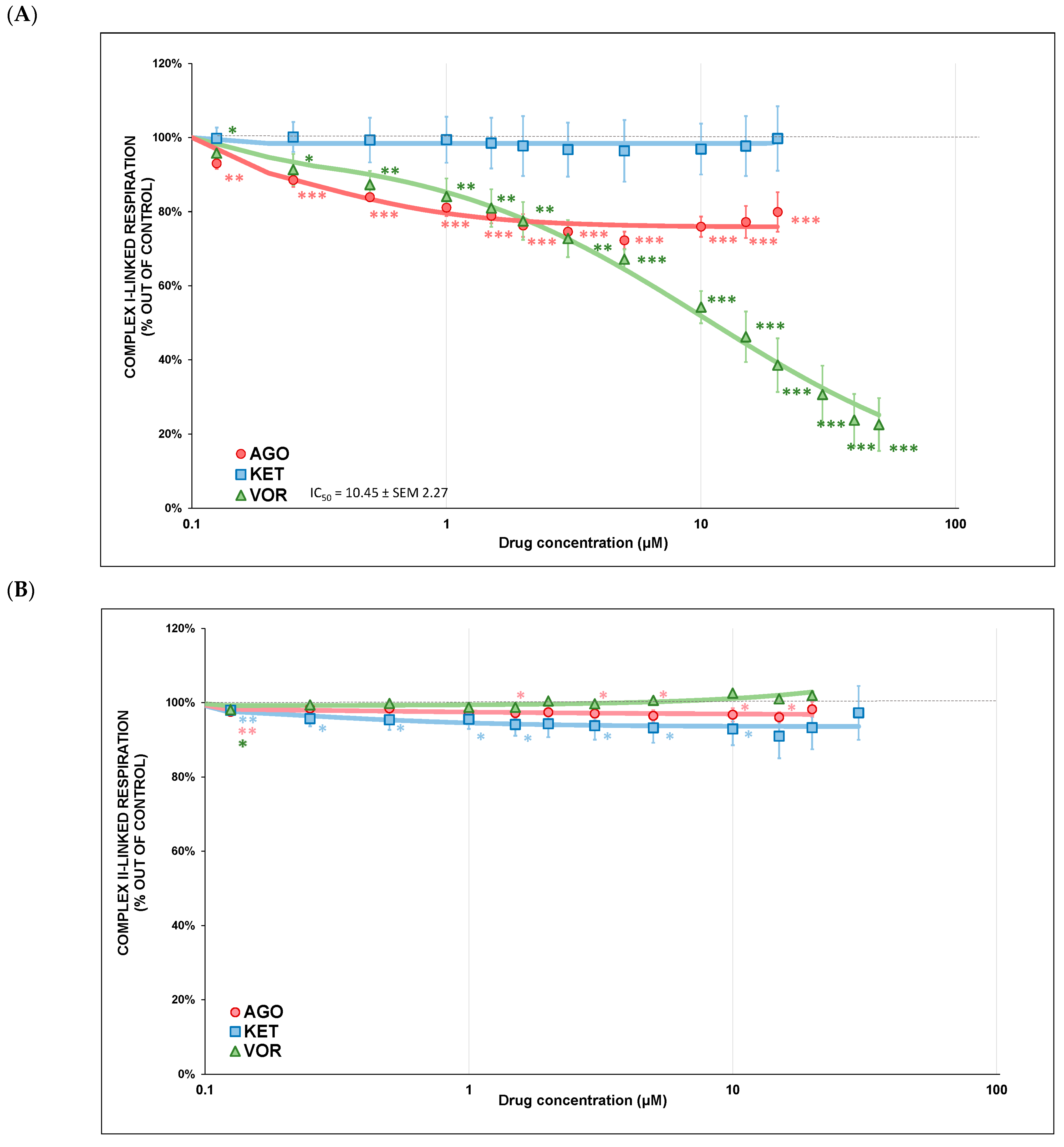
2.2. Mitochondrial Respiration
2.3. ATP Content and Kinetics
2.4. Hydrogen Peroxide Production
2.5. MAO Activity
2.6. Correlations
3. Discussion
3.1. Mitochondrial Enzyme Activity and Respiration
3.2. ATP Production
3.3. Hydrogen Peroxide Production
3.4. MAO Inhibition
3.5. Correlations
3.6. Study Limitations
3.7. Possible Clinical Impact
4. Materials and Methods
4.1. Media and Chemicals
4.2. Isolation of Pig Brain Mitochondria
4.3. Activities of Mitochondrial Enzymes
4.4. Citrate Synthase Activity
4.5. Malate Dehydrogenase Activity
4.6. Complex I (NADH Dehydrogenase) Activity
4.7. Complex II+III (Succinate Cytochrome c Oxidoreductase) Activity
4.8. Complex IV (Cytochrome c Oxidase) Activity
4.9. ATP Content and Kinetics
4.10. Total Complex I- and Complex II+III-Linked ATP Content
4.11. Complex I- and Complex II+III-Linked ATP Kinetics
4.12. Hydrogen Peroxide Production
4.13. Mitochondrial Respiration
4.14. Monoamine Oxidase Activity
4.15. Data Analysis and Statistics
5. Conclusions
Author Contributions
Funding
Institutional Review Board Statement
Informed Consent Statement
Data Availability Statement
Acknowledgments
Conflicts of Interest
Abbreviations
| 5-HT | serotonin |
| AGO | agomelatine |
| AMPA | α-amino-3-hydroxy-5-methyl-4-isoxazolepropionic acid |
| ATP | adenosine triphosphate |
| BDNF | brain-derived neurotrophic factor |
| CS | citrate synthase |
| cyt c | cytochrome c |
| ETC | electron transport chain |
| FDA | Food and Drug Administration |
| H2O2 | hydrogen peroxide |
| KET | ketamine |
| MDD | major depressive disorder |
| MDH | malate dehydrogenase |
| MPTP | 1-methyl-4-phenyl-1,2,3,6-tetrahydropyridine |
| NADH | nicotinamide adenine dinucleotide |
| NMDA | N-methyl-d-aspartate |
| OXPHOS | oxidative phosphorylation |
| PFC | prefrontal cortex |
| ROS | reactive oxygen species |
| SSRIs | selective serotonin reuptake inhibitors |
| TrkB | tropomyosin receptor kinase B |
| VOR | vortioxetine |
| WHO | World Health Organization |
References
- Bansal, Y.; Kuhad, A. Mitochondrial Dysfunction in Depression. Curr. Neuropharmacol. 2016, 14, 610–618. [Google Scholar] [CrossRef]
- Czarny, P.; Wigner, P.; Galecki, P.; Sliwinski, T. The interplay between inflammation, oxidative stress, DNA damage, DNA repair and mitochondrial dysfunction in depression. Prog. Neuropsychopharmacol. Biol. Psychiatry 2018, 80, 309–321. [Google Scholar] [CrossRef]
- Gardner, A.; Boles, R.G. Beyond the serotonin hypothesis: Mitochondria, inflammation and neurodegeneration in major depression and affective spectrum disorders. Prog. Neuropsychopharmacol. Biol. Psychiatry 2011, 35, 730–743. [Google Scholar] [CrossRef]
- Cai, S.; Huang, S.; Hao, W. New hypothesis and treatment targets of depression: An integrated view of key findings. Neurosci. Bull. 2015, 31, 61–74. [Google Scholar] [CrossRef]
- Karrouri, R.; Hammani, Z.; Benjelloun, R.; Otheman, Y. Major depressive disorder: Validated treatments and future challenges. World J. Clin. Cases 2021, 9, 9350–9367. [Google Scholar] [CrossRef]
- Rubinow, D.R. Treatment strategies after SSRI failure—Good news and bad news. N. Engl. J. Med. 2006, 354, 1305–1307. [Google Scholar] [CrossRef]
- Ferguson, J.M. SSRI Antidepressant Medications: Adverse Effects and Tolerability. Prim. Care Companion J. Clin. Psychiatry 2001, 3, 22–27. [Google Scholar] [CrossRef]
- Trindade, E.; Menon, D.; Topfer, L.A.; Coloma, C. Adverse effects associated with selective serotonin reuptake inhibitors and tricyclic antidepressants: A meta-analysis. CMAJ 1998, 159, 1245–1252. [Google Scholar]
- Norman, T.R.; Olver, J.S. Agomelatine for depression: Expanding the horizons? Expert Opin. Pharmacother. 2019, 20, 647–656. [Google Scholar] [CrossRef]
- Bielecka-Wajdman, A.M.; Ludyga, T.; Machnik, G.; Gołyszny, M.; Obuchowicz, E. Tricyclic Antidepressants Modulate Stressed Mitochondria in Glioblastoma Multiforme Cells. Cancer Control 2018, 25, 1073274818798594. [Google Scholar] [CrossRef]
- Cecon, E.; Oishi, A.; Jockers, R. Melatonin receptors: Molecular pharmacology and signalling in the context of system bias. Br. J. Pharmacol. 2018, 175, 3263–3280. [Google Scholar] [CrossRef] [PubMed]
- Vines, L.; Sotelo, D.; Johnson, A.; Dennis, E.; Manza, P.; Volkow, N.D.; Wang, G.J. Ketamine use disorder: Preclinical, clinical, and neuroimaging evidence to support proposed mechanisms of actions. Intell. Med. 2022, 2, 61–68. [Google Scholar] [CrossRef] [PubMed]
- Weckmann, K.; Deery, M.J.; Howard, J.A.; Feret, R.; Asara, J.M.; Dethloff, F.; Filiou, M.D.; Iannace, J.; Labermaier, C.; Maccarrone, G.; et al. Ketamine’s antidepressant effect is mediated by energy metabolism and antioxidant defense system. Sci. Rep. 2017, 7, 15788. [Google Scholar] [CrossRef]
- Molero, P.; Ramos-Quiroga, J.A.; Martin-Santos, R.; Calvo-Sánchez, E.; Gutiérrez-Rojas, L.; Meana, J.J. Antidepressant Efficacy and Tolerability of Ketamine and Esketamine: A Critical Review. CNS Drugs 2018, 32, 411–420. [Google Scholar] [CrossRef] [PubMed]
- Di Vincenzo, J.D.; Siegel, A.; Lipsitz, O.; Ho, R.; Teopiz, K.M.; Ng, J.; Lui, L.M.W.; Lin, K.; Cao, B.; Rodrigues, N.B.; et al. The effectiveness, safety and tolerability of ketamine for depression in adolescents and older adults: A systematic review. J. Psychiatr. Res. 2021, 137, 232–241. [Google Scholar] [CrossRef]
- Belujon, P.; Grace, A.A. Dopamine System Dysregulation in Major Depressive Disorders. Int. J. Neuropsychopharmacol. 2017, 20, 1036–1046. [Google Scholar] [CrossRef] [PubMed]
- Corriger, A.; Pickering, G. Ketamine and depression: A narrative review. Drug Des. Dev. Ther. 2019, 13, 3051–3067. [Google Scholar] [CrossRef]
- Morava, E.; Gardeitchik, T.; Kozicz, T.; de Boer, L.; Koene, S.; de Vries, M.C.; McFarland, R.; Roobol, T.; Rodenburg, R.J.; Verhaak, C.M. Depressive behaviour in children diagnosed with a mitochondrial disorder. Mitochondrion 2010, 10, 528–533. [Google Scholar] [CrossRef]
- Gardner, A.; Johansson, A.; Wibom, R.; Nennesmo, I.; von Döbeln, U.; Hagenfeldt, L.; Hällström, T. Alterations of mitochondrial function and correlations with personality traits in selected major depressive disorder patients. J. Affect. Disord. 2003, 76, 55–68. [Google Scholar] [CrossRef]
- Fernström, J.; Mellon, S.H.; McGill, M.A.; Picard, M.; Reus, V.I.; Hough, C.M.; Lin, J.; Epel, E.S.; Wolkowitz, O.M.; Lindqvist, D. Blood-based mitochondrial respiratory chain function in major depression. Transl. Psychiatry 2021, 11, 593. [Google Scholar] [CrossRef]
- Holper, L.; Ben-Shachar, D.; Mann, J.J. Multivariate meta-analyses of mitochondrial complex I and IV in major depressive disorder, bipolar disorder, schizophrenia, Alzheimer disease, and Parkinson disease. Neuropsychopharmacology 2019, 44, 837–849. [Google Scholar] [CrossRef] [PubMed]
- Karabatsiakis, A.; Böck, C.; Salinas-Manrique, J.; Kolassa, S.; Calzia, E.; Dietrich, D.E.; Kolassa, I.T. Mitochondrial respiration in peripheral blood mononuclear cells correlates with depressive subsymptoms and severity of major depression. Transl. Psychiatry 2014, 4, e397. [Google Scholar] [CrossRef] [PubMed]
- Hroudová, J.; Fišar, Z.; Kitzlerová, E.; Zvěřová, M.; Raboch, J. Mitochondrial respiration in blood platelets of depressive patients. Mitochondrion 2013, 13, 795–800. [Google Scholar] [CrossRef] [PubMed]
- Rappeneau, V.; Wilmes, L.; Touma, C. Molecular correlates of mitochondrial dysfunctions in major depression: Evidence from clinical and rodent studies. Mol. Cell. Neurosci. 2020, 109, 103555. [Google Scholar] [CrossRef]
- Czarny, P.; Wigner, P.; Strycharz, J.; Swiderska, E.; Synowiec, E.; Szatkowska, M.; Sliwinska, A.; Talarowska, M.; Szemraj, J.; Su, K.P.; et al. Mitochondrial DNA copy number, damage, repair and degradation in depressive disorder. World J. Biol. Psychiatry 2020, 21, 91–101. [Google Scholar] [CrossRef]
- Scatena, R.; Bottoni, P.; Botta, G.; Martorana, G.E.; Giardina, B. The role of mitochondria in pharmacotoxicology: A reevaluation of an old, newly emerging topic. Am. J. Physiol. Cell. Physiol. 2007, 293, C12–C21. [Google Scholar] [CrossRef]
- Dykens, J.A.; Will, Y. The significance of mitochondrial toxicity testing in drug development. Drug Discov. Today 2007, 12, 777–785. [Google Scholar] [CrossRef]
- Hynes, J.; Marroquin, L.; Ogurtsov, V.; Christiansen, K.; Stevens, G.; Papkovsky, D.; Will, Y. Investigation of Drug-Induced Mitochondrial Toxicity Using Fluorescence-Based Oxygen-Sensitive Probes. Toxicol. Sci. Off. J. Soc. Toxicol. 2006, 92, 186–200. [Google Scholar] [CrossRef]
- Begriche, K.; Massart, J.; Robin, M.-A.; Borgne-Sanchez, A.; Fromenty, B. Drug-induced toxicity on mitochondria and lipid metabolism: Mechanistic diversity and deleterious consequences for the liver. J. Hepatol. 2011, 54, 773–794. [Google Scholar] [CrossRef]
- Hroudová, J.; Fišar, Z. In vitro inhibition of mitochondrial respiratory rate by antidepressants. Toxicol. Lett. 2012, 213, 345–352. [Google Scholar] [CrossRef]
- Borhannejad, F.; Shariati, B.; Naderi, S.; Shalbafan, M.; Mortezaei, A.; Sahebolzamani, E.; Saeb, A.; Hosein Mortazavi, S.; Kamalzadeh, L.; Aqamolaei, A.; et al. Comparison of vortioxetine and sertraline for treatment of major depressive disorder in elderly patients: A double-blind randomized trial. J. Clin. Pharm. Ther. 2020, 45, 804–811. [Google Scholar] [CrossRef]
- Lee, S.H.; Jeon, S.W.; Shin, C.; Pae, C.U.; Patkar, A.A.; Masand, P.S.; An, H.; Han, C. Acute Efficacy and Safety of Escitalopram Versus Desvenlafaxine and Vortioxetine in the Treatment of Depression With Cognitive Complaint: A Rater-Blinded Randomized Comparative Study. Psychiatry Investig. 2022, 19, 268–280. [Google Scholar] [CrossRef]
- He, H.; Wang, W.; Lyu, J.; Zheng, J.; Guo, L.; An, X.; Fan, Y.; Ma, X. Efficacy and tolerability of different doses of three new antidepressants for treating major depressive disorder: A PRISMA-compliant meta-analysis. J. Psychiatr. Res. 2018, 96, 247–259. [Google Scholar] [CrossRef]
- Gonda, X.; Sharma, S.R.; Tarazi, F.I. Vortioxetine: A novel antidepressant for the treatment of major depressive disorder. Expert Opin. Drug Discov. 2019, 14, 81–89. [Google Scholar] [CrossRef]
- Kelliny, M.; Croarkin, P.E.; Moore, K.M.; Bobo, W.V. Profile of vortioxetine in the treatment of major depressive disorder: An overview of the primary and secondary literature. Ther. Clin. Risk Manag. 2015, 11, 1193–1212. [Google Scholar] [CrossRef]
- Hroudova, J.; Fisar, Z. Activities of respiratory chain complexes and citrate synthase influenced by pharmacologically different antidepressants and mood stabilizers. Neuro Endocrinol. Lett. 2010, 31, 336–342. [Google Scholar]
- Holper, L.; Ben-Shachar, D.; Mann, J.J. Psychotropic and neurological medication effects on mitochondrial complex I and IV in rodent models. Eur. Neuropsychopharmacol. 2019, 29, 986–1002. [Google Scholar] [CrossRef]
- Emmerzaal, T.L.; Jacobs, L.; Geenen, B.; Verweij, V.; Morava, E.; Rodenburg, R.J.; Kozicz, T. Chronic fluoxetine or ketamine treatment differentially affects brain energy homeostasis which is not exacerbated in mice with trait suboptimal mitochondrial function. Eur. J. Neurosci. 2021, 53, 2986–3001. [Google Scholar] [CrossRef]
- Chang, Y.; Chen, T.L.; Sheu, J.R.; Chen, R.M. Suppressive effects of ketamine on macrophage functions. Toxicol. Appl. Pharmacol. 2005, 204, 27–35. [Google Scholar] [CrossRef]
- Matrov, D.; Imbeault, S.; Kanarik, M.; Shkolnaya, M.; Schikorra, P.; Miljan, E.; Shimmo, R.; Harro, J. Comprehensive mapping of cytochrome c oxidase activity in the rat brain after sub-chronic ketamine administration. Acta Histochem. 2020, 122, 151531. [Google Scholar] [CrossRef]
- de Mello, A.H.; Souza Lda, R.; Cereja, A.C.; Schraiber Rde, B.; Florentino, D.; Martins, M.M.; Petronilho, F.; Quevedo, J.; Rezin, G.T. Effect of subchronic administration of agomelatine on brain energy metabolism and oxidative stress parameters in rats. Psychiatry Clin. Neurosci. 2016, 70, 159–166. [Google Scholar] [CrossRef] [PubMed]
- Kumar, H.; Sharma, B.M.; Sharma, B. Benefits of agomelatine in behavioral, neurochemical and blood brain barrier alterations in prenatal valproic acid induced autism spectrum disorder. Neurochem. Int. 2015, 91, 34–45. [Google Scholar] [CrossRef] [PubMed]
- Chanmanee, T.; Wongpun, J.; Tocharus, C.; Govitrapong, P.; Tocharus, J. The effects of agomelatine on endoplasmic reticulum stress related to mitochondrial dysfunction in hippocampus of aging rat model. Chem. Biol. Interact. 2022, 351, 109703. [Google Scholar] [CrossRef] [PubMed]
- Ito, H.; Uchida, T.; Makita, K. Ketamine causes mitochondrial dysfunction in human induced pluripotent stem cell-derived neurons. PLoS ONE 2015, 10, e0128445. [Google Scholar] [CrossRef]
- Akpinar, A.; Uğuz, A.C.; Nazıroğlu, M. Agomelatine and duloxetine synergistically modulates apoptotic pathway by inhibiting oxidative stress triggered intracellular calcium entry in neuronal PC12 cells: Role of TRPM2 and voltage-gated calcium channels. J. Membr. Biol. 2014, 247, 451–459. [Google Scholar] [CrossRef]
- Abdel-Razaq, W.; Kendall, D.A.; Bates, T.E. The effects of antidepressants on mitochondrial function in a model cell system and isolated mitochondria. Neurochem. Res. 2011, 36, 327–338. [Google Scholar] [CrossRef]
- Stahl, S.M.; Felker, A. Monoamine oxidase inhibitors: A modern guide to an unrequited class of antidepressants. CNS Spectr. 2008, 13, 855–870. [Google Scholar] [CrossRef]
- Thomas, T. Monoamine oxidase-B inhibitors in the treatment of Alzheimer's disease. Neurobiol. Aging 2000, 21, 343–348. [Google Scholar] [CrossRef]
- Frampton, J.E. Vortioxetine: A Review in Cognitive Dysfunction in Depression. Drugs 2016, 76, 1675–1682. [Google Scholar] [CrossRef]
- Pei, Q.; Wang, Y.; Hu, Z.Y.; Liu, S.K.; Tan, H.Y.; Guo, C.X.; Zhang, R.R.; Xiang, Y.X.; Huang, J.; Huang, L.; et al. Evaluation of the highly variable agomelatine pharmacokinetics in Chinese healthy subjects to support bioequivalence study. PLoS ONE 2014, 9, e109300. [Google Scholar] [CrossRef]
- Zanos, P.; Moaddel, R.; Morris, P.J.; Riggs, L.M.; Highland, J.N.; Georgiou, P.; Pereira, E.F.R.; Albuquerque, E.X.; Thomas, C.J.; Zarate, C.A., Jr.; et al. Ketamine and Ketamine Metabolite Pharmacology: Insights into Therapeutic Mechanisms. Pharmacol. Rev. 2018, 70, 621–660. [Google Scholar] [CrossRef]
- Chen, G.; Højer, A.M.; Areberg, J.; Nomikos, G. Vortioxetine: Clinical Pharmacokinetics and Drug Interactions. Clin. Pharmacokinet. 2018, 57, 673–686. [Google Scholar] [CrossRef]
- Zorumski, C.F.; Izumi, Y.; Mennerick, S. Ketamine: NMDA Receptors and Beyond. J. Neurosci. 2016, 36, 11158–11164. [Google Scholar] [CrossRef]
- Millan, M.J. Agomelatine for the treatment of generalized anxiety disorder: Focus on its distinctive mechanism of action. Ther. Adv. Psychopharmacol. 2022, 12, 20451253221105128. [Google Scholar] [CrossRef]
- Katona, C.L.; Katona, C.P. New generation multi-modal antidepressants: Focus on vortioxetine for major depressive disorder. Neuropsychiatr. Dis. Treat. 2014, 10, 349–354. [Google Scholar] [CrossRef][Green Version]
- Horobin, R.W.; Trapp, S.; Weissig, V. Mitochondriotropics: A review of their mode of action, and their applications for drug and DNA delivery to mammalian mitochondria. J. Control. Release 2007, 121, 125–136. [Google Scholar] [CrossRef]
- Fišar, Z.; Hroudová, J. Pig Brain Mitochondria as a Biological Model for Study of Mitochondrial Respiration. Folia Biol. 2016, 62, 15–25. [Google Scholar]
- Adzic, M.; Brkic, Z.; Bulajic, S.; Mitic, M.; Radojcic, M.B. Antidepressant Action on Mitochondrial Dysfunction in Psychiatric Disorders. Drug Dev. Res. 2016, 77, 400–406. [Google Scholar] [CrossRef]
- Ľupták, M.; Fišar, Z.; Hroudová, J. Effect of Novel Antipsychotics on Energy Metabolism—In Vitro Study in Pig Brain Mitochondria. Mol. Neurobiol. 2021, 58, 5548–5563. [Google Scholar] [CrossRef]
- Emmerzaal, T.L.; Nijkamp, G.; Veldic, M.; Rahman, S.; Andreazza, A.C.; Morava, E.; Rodenburg, R.J.; Kozicz, T. Effect of neuropsychiatric medications on mitochondrial function: For better or for worse. Neurosci. Biobehav. Rev. 2021, 127, 555–571. [Google Scholar] [CrossRef]
- Lanza, I.R.; Nair, K.S. Functional assessment of isolated mitochondria in vitro. Methods Enzymol. 2009, 457, 349–372. [Google Scholar] [CrossRef] [PubMed]
- Schneider, A.; Bouzaidi-Tiali, N.; Chanez, A.L.; Bulliard, L. ATP production in isolated mitochondria of procyclic Trypanosoma brucei. Methods Mol. Biol. 2007, 372, 379–387. [Google Scholar] [CrossRef] [PubMed]
- Tonkonogi, M.; Sahlin, K. Rate of oxidative phosphorylation in isolated mitochondria from human skeletal muscle: Effect of training status. Acta Physiol. Scand. 1997, 161, 345–353. [Google Scholar] [CrossRef]
- Drew, B.; Leeuwenburgh, C. Method for measuring ATP production in isolated mitochondria: ATP production in brain and liver mitochondria of Fischer-344 rats with age and caloric restriction. Am. J. Physiol. Regul. Integr. Comp. Physiol. 2003, 285, R1259–R1267. [Google Scholar] [CrossRef]
- Fisar, Z. Inhibition of monoamine oxidase activity by cannabinoids. Naunyn-Schmiedeberg’s Arch. Pharmacol. 2010, 381, 563–572. [Google Scholar] [CrossRef] [PubMed]










| Drug | Concentration (μM) | CS (% of Control) | N | MDH (% of Control) | N | ||||
|---|---|---|---|---|---|---|---|---|---|
| agomelatine | 10 100 | ** 108.8 ** 95.7 | ± ± | 1.06 0.55 | 3 3 | 101.7 101.0 | ± ± | 1.99 2.31 | 3 3 |
| ketamine | 10 | 107.3 | ± | 3.91 | 3 | 97.4 | ± | 2.98 | 3 |
| 100 | 97.4 | ± | 1.08 | 3 | 101.7 | ± | 2.61 | 3 | |
| vortioxetine | 10 | 109.3 | ± | 6.11 | 3 | 106.9 | ± | 6.80 | 3 |
| 100 | * 96.9 | ± | 1.08 | 3 | 100.2 | ± | 1.82 | 3 | |
| MAO-A | ||||||||||
| Drug | IC50 (µM) | Hillslope | Residual Activity (rel.u.) | Inhibition | ||||||
| agomelatine | 8.20 | ± | 1.41 | 3.40 | ± | 1.72 | 0.190 | ± | 0.070 | partial |
| ketamine | 10.36 | ± | 8.28 | 1.50 | ± | 1.83 | 0.259 | ± | 0.214 | partial |
| vortioxetine | 7.33 | ± | 1.10 | 1.76 | ± | 0.61 | 0.109 | ± | 0.050 | partial |
| MAO-B | ||||||||||
| agomelatine | - | - | - | none | ||||||
| ketamine | 51.16 | ± | 25.54 | 2.12 | ± | 2.04 | 0.707 | ± | 0.161 | weak |
| vortioxetine | 18.24 | ± | 3.50 | 2.58 | ± | 0.68 | 0.229 | ± | 0.041 | partial |
| Agomelatine | Complex I Activity | Complex IV Activity | Complex I-Linked ATP Kinetics | Complex II-Linked ATP Kinetics | ||||
|---|---|---|---|---|---|---|---|---|
| r | N | r | N | r | N | r | N | |
| complex IV activity | 0.01 | 11 | - | - | - | - | - | - |
| complex I-linked ATP kinetics | −0.12 | 7 | * 0.87 | 7 | - | - | - | - |
| complex II-linked ATP kinetics | −0.76 | 6 | −0.47 | 6 | * 0.81 | 6 | - | - |
| total H2O2 content | 0.12 | 8 | 0.48 | 8 | −0.77 | 6 | - | - |
| complex I-linked respiration | −0.12 | 13 | 0.17 | 4 | 0.86 | 3 | −0.59 | 6 |
| Vortioxetine | Complex I Activity | Complex II+III Activity | Complex IV Activity | Complex I-Linked ATP Content | Complex II-Linked ATP Kinetics | |||||
|---|---|---|---|---|---|---|---|---|---|---|
| r | N | r | N | R | N | r | N | r | N | |
| complex II+III activity | *** 0.91 | 19 | - | - | - | - | - | - | - | - |
| complex IV activity | 0.41 | 10 | *** 0.91 | 11 | - | - | - | - | - | - |
| complex I-linked ATP content | * 0.69 | 11 | ** −0.78 | 11 | −0.55 | 10 | - | - | - | - |
| complex II-linked ATP kinetics | 0.11 | 8 | −0.48 | 8 | −0.55 | 8 | 0.03 | 8 | - | - |
| total ROS content | 0.73 | 7 | * 0.86 | 7 | 0.74 | 7 | −0.42 | 7 | −0.39 | 6 |
| complex I-linked respiration | 0.46 | 11 | *** 0.86 | 12 | * 0.67 | 9 | −0.27 | 8 | * 0.83 | 8 |
Publisher’s Note: MDPI stays neutral with regard to jurisdictional claims in published maps and institutional affiliations. |
© 2022 by the authors. Licensee MDPI, Basel, Switzerland. This article is an open access article distributed under the terms and conditions of the Creative Commons Attribution (CC BY) license (https://creativecommons.org/licenses/by/4.0/).
Share and Cite
Ľupták, M.; Fišar, Z.; Hroudová, J. Agomelatine, Ketamine and Vortioxetine Attenuate Energy Cell Metabolism—In Vitro Study. Int. J. Mol. Sci. 2022, 23, 13824. https://doi.org/10.3390/ijms232213824
Ľupták M, Fišar Z, Hroudová J. Agomelatine, Ketamine and Vortioxetine Attenuate Energy Cell Metabolism—In Vitro Study. International Journal of Molecular Sciences. 2022; 23(22):13824. https://doi.org/10.3390/ijms232213824
Chicago/Turabian StyleĽupták, Matej, Zdeněk Fišar, and Jana Hroudová. 2022. "Agomelatine, Ketamine and Vortioxetine Attenuate Energy Cell Metabolism—In Vitro Study" International Journal of Molecular Sciences 23, no. 22: 13824. https://doi.org/10.3390/ijms232213824
APA StyleĽupták, M., Fišar, Z., & Hroudová, J. (2022). Agomelatine, Ketamine and Vortioxetine Attenuate Energy Cell Metabolism—In Vitro Study. International Journal of Molecular Sciences, 23(22), 13824. https://doi.org/10.3390/ijms232213824

