Betula alba Bark Extract and Empetrum nigrum Fruit Juice, a Natural Alternative to Niacinamide for Skin Barrier Benefits
Abstract
1. Introduction
2. Results
2.1. The Extracts
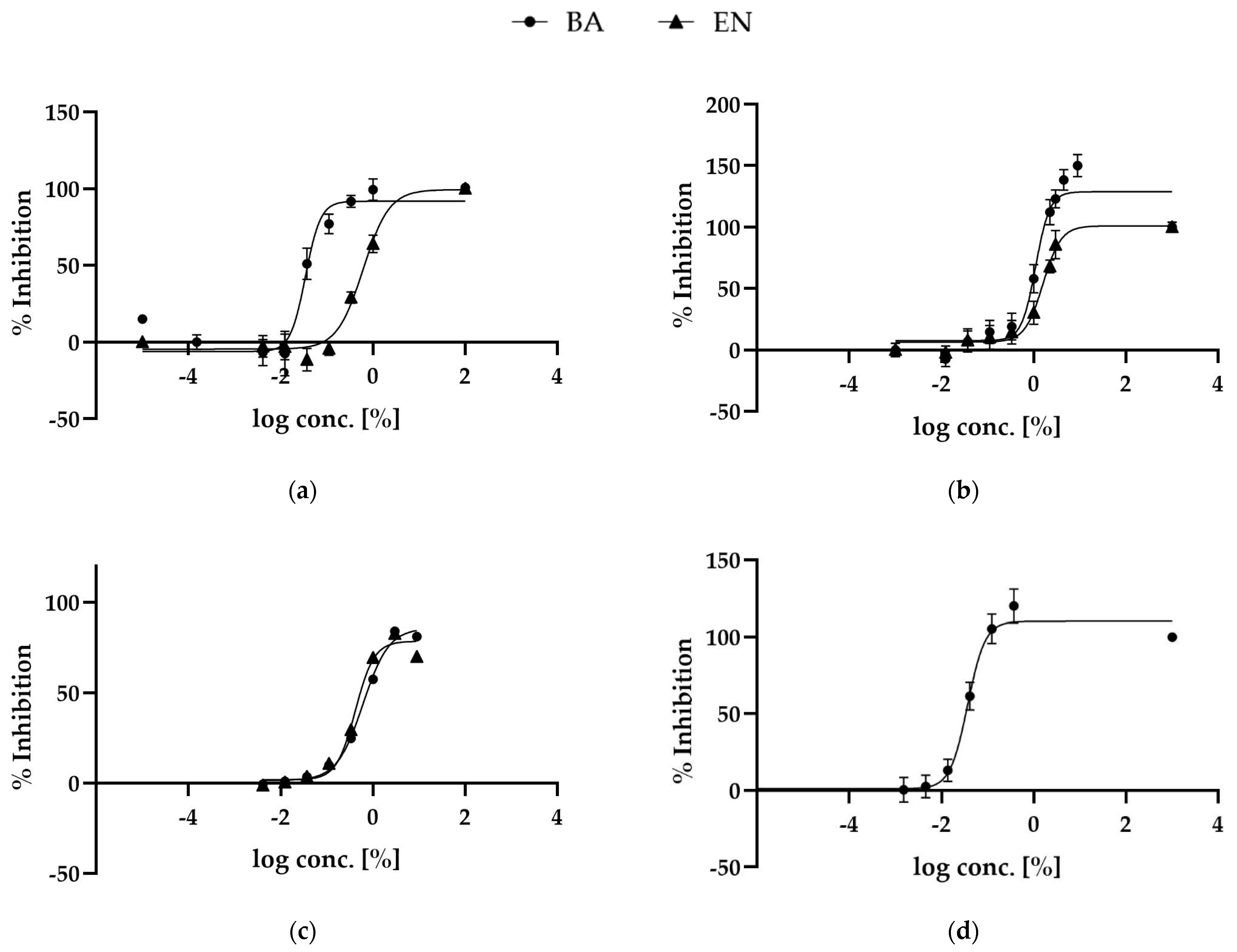
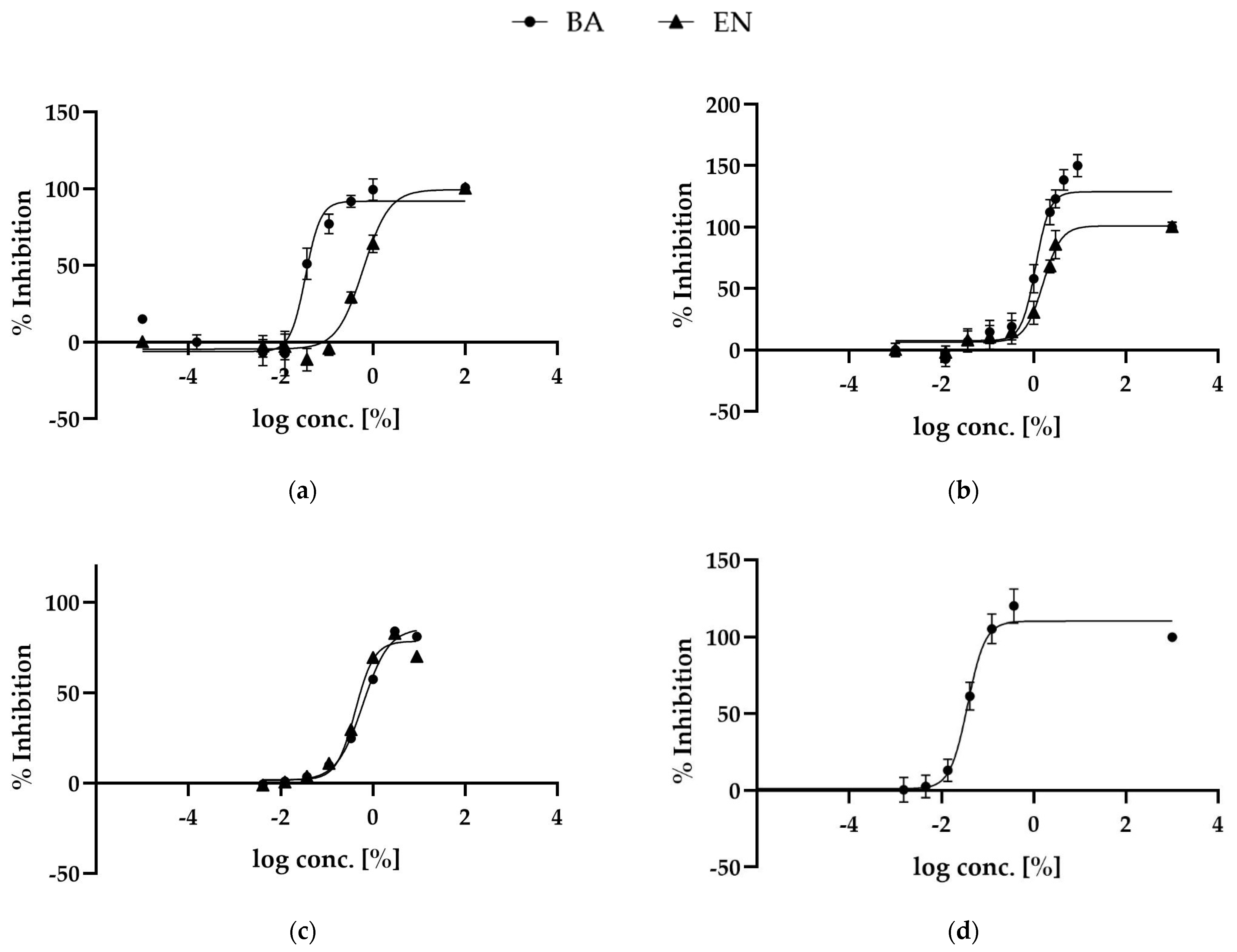
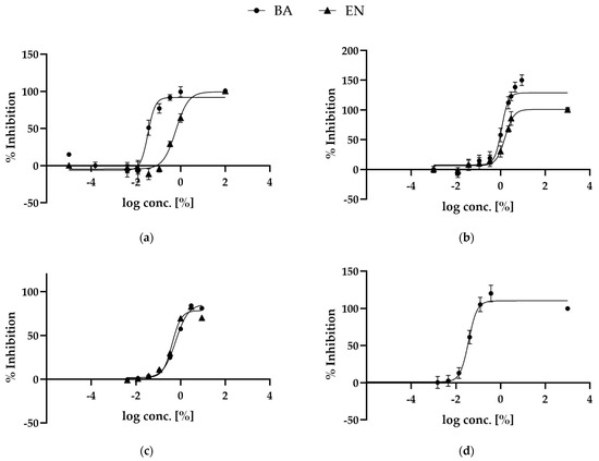
2.2. Biochemical Screening Results
2.3. In Vitro Testing
2.3.1. Skin Barrier Gene Expression Analysis
2.3.2. Skin Barrier Protein Expression
2.4. Composition of the Extracts
2.5. Antioxidant and Anti-Inflammatory Effect
2.6. Clinical Testing
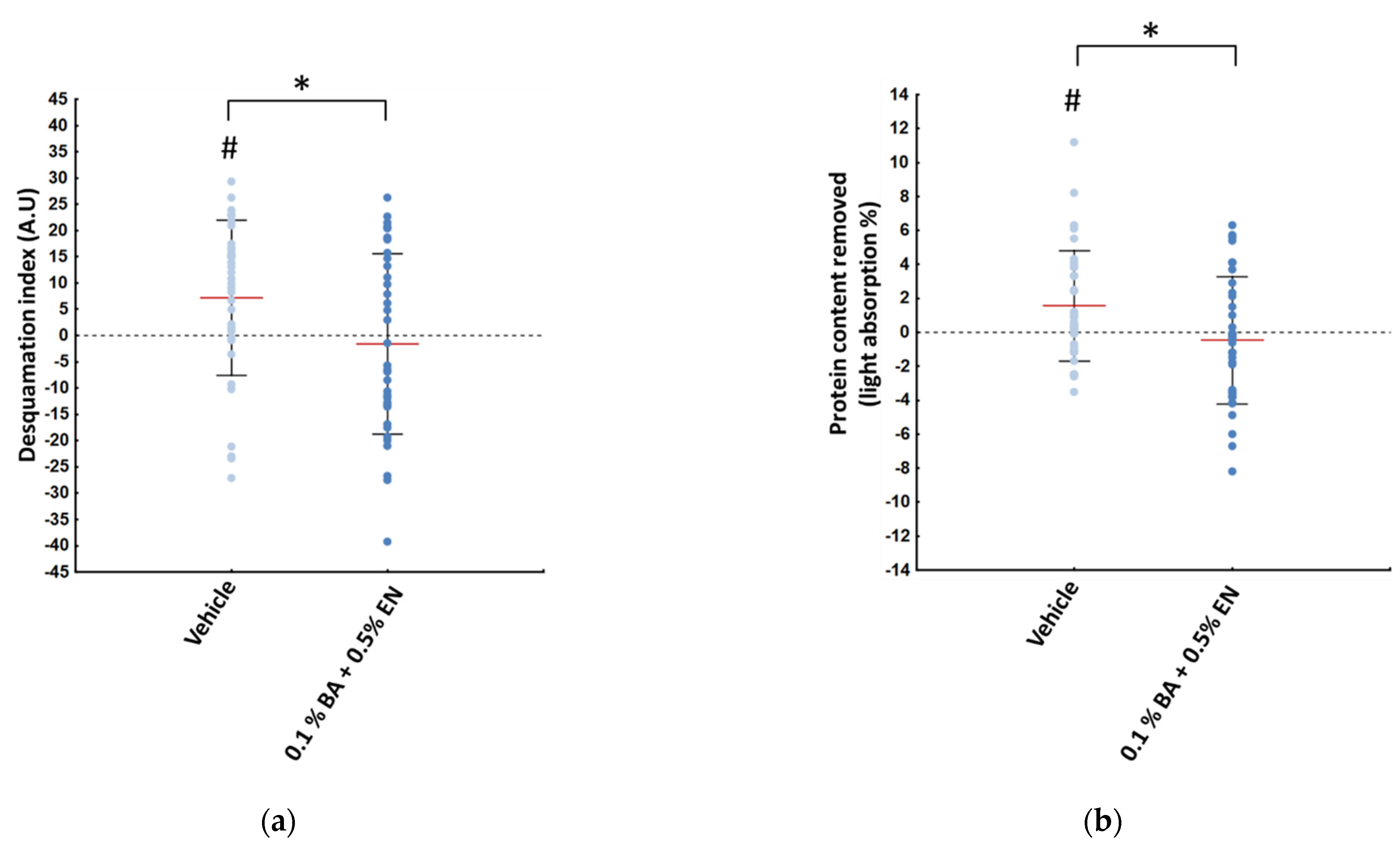
2.6.1. Betula alba and Empetrum nigrum Extracts versus Vehicle
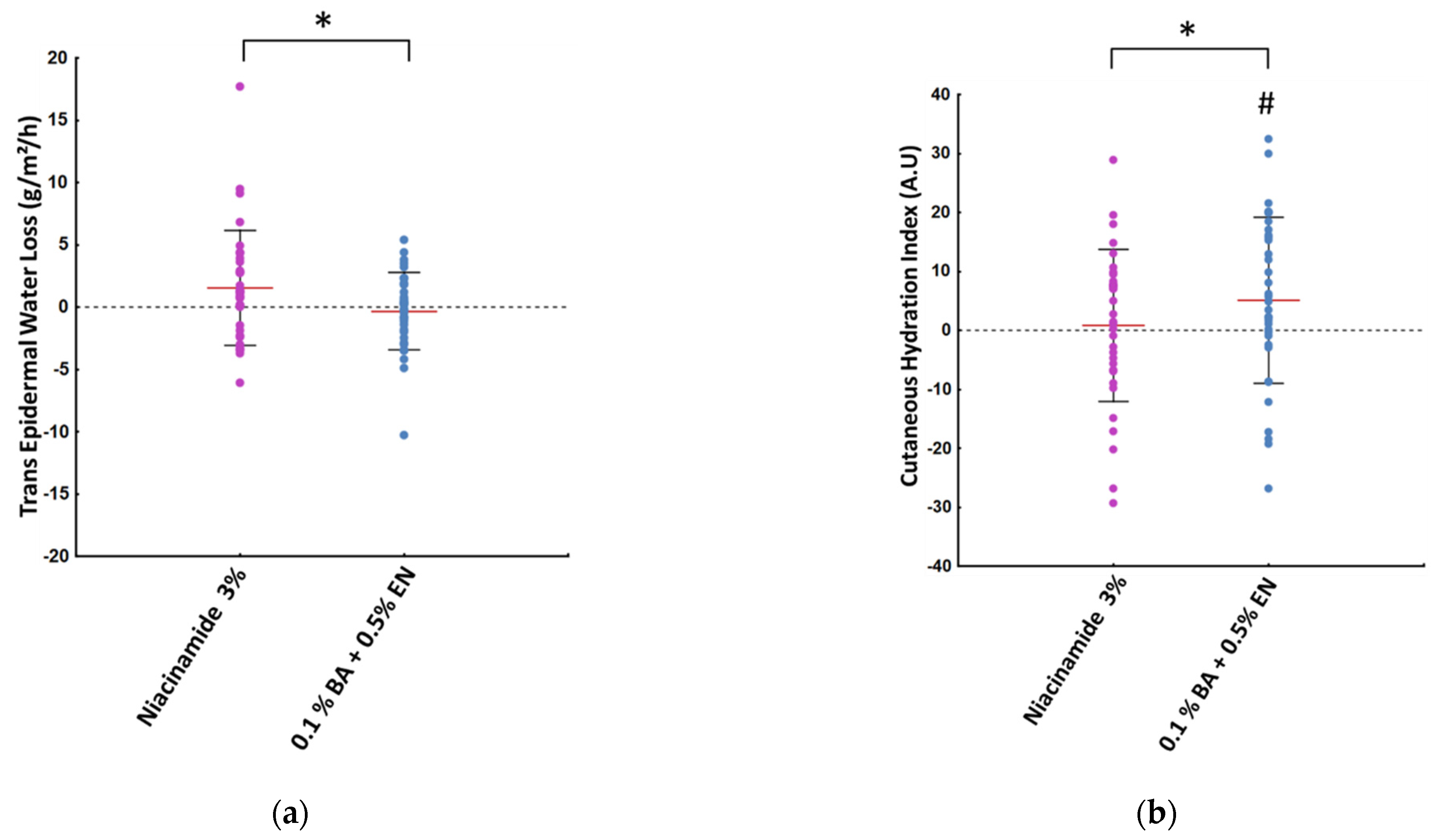
2.6.2. Betula alba and Empetrum nigrum Extracts versus Niacinamide
3. Discussion
4. Materials and Methods
4.1. Extracts
- The Empetrum nigrum fruit juice was obtained by cold pressing of the berries, in non-denaturing conditions, stabilized by organic vegetal glycerine.
- The Betula alba bark extract was obtained from an aqueous extraction process and stabilized by organic vegetal glycerine.
4.2. Biochemical Assays
4.2.1. Kallikrein 5 Inhibition Assay
4.2.2. Hyaluronidase Inhibition Assay
4.2.3. DPPH Free Scavenging Activity
4.2.4. COX2 Inhibition Assay
4.3. In Vitro Screening
4.3.1. Cell Culture
4.3.2. Viability Assay
4.3.3. Gene Expression Analysis of Barrier Genes in Keratinocytes
4.3.4. Detection of Proteins Using Flow Cytometry
4.4. Extract Identification
UHPLC/Q-ToF Analysis
4.5. In Vivo Testing
4.5.1. Study 1: Vehicle Controlled Study
Panel
Measurements
- Restructuring effect using the SquameScan® 850A (Heiland Electronic). It measures the stratum corneum protein content on D-Squame® tape strips, which is achieved by measuring the optical absorption of the strip at 850 nm (infrared light). The value is displayed in %.
- Corneocyte cohesion using Skin Image Analyser® (S.I.A®) with the QuantiSquam® software. The surface of stripping is lightened in a standardized way (35°) and observed with a digital camera linked to a computer. The digitized image obtained is analysed in grey levels to determine the desquamation index (ratio between the occupied surface and the thickness of the cellular layer).
4.5.2. Study 2: Comparison of BA + EN Extracts Versus Niacinamide
Panel & Products
Measurements
4.6. Statistics
Supplementary Materials
Author Contributions
Funding
Institutional Review Board Statement
Informed Consent Statement
Data Availability Statement
Acknowledgments
Conflicts of Interest
References
- del Rosso, J.; Zeichner, J.; Alexis, A.; Cohen, D.; Berson, D. Understanding the Epidermal Barrier in Healthy and Compromised Skin: Clinically Relevant Information for the Dermatology Practitioner. J. Clin. Aesthetic Dermatol. 2011, 9, 2–8. [Google Scholar]
- Proksch, E.; Brandner, J.M.; Jensen, J.-M. The Skin: An Indispensable Barrier. Exp. Dermatol. 2008, 17, 1063–1072. [Google Scholar] [CrossRef]
- Brandner, J.M. Pores in the Epidermis: Aquaporins and Tight Junctions. Int. J. Cosmet. Sci. 2007, 29, 413–422. [Google Scholar] [CrossRef]
- Verdier-Sévrain, S.; Bonté, F. Skin Hydration: A Review on Its Molecular Mechanisms. J. Cosmet. Dermatol. 2007, 6, 75–82. [Google Scholar] [CrossRef]
- Qin, H.; Zheng, X.; Zhong, X.; Shetty, A.K.; Elias, P.M.; Bollag, W.B. Aquaporin-3 in Keratinocytes and Skin: Its Role and Interaction with Phospholipase D2. Arch. Biochem. Biophys. 2011, 508, 138–143. [Google Scholar] [CrossRef] [PubMed]
- Verbavatz, J.M.; Boury-Jamot, M.; Daraspe, J.; Bonté, F.; Perrier, E.; Schnebert, S.; Dumas, M. Skin Aquaporins: Function in Hydration, Wound Healing, and Skin Epidermis Homeostasis. Handb. Exp. Pharm. 2009, 190, 205–217. [Google Scholar] [CrossRef]
- Promote a Holistic Approach to Ageing Well in Skincare; Consumer Insight Report; Mintel: London, UK, 2021.
- Matts, P.J.; Oblong, J.E.; Bissett, D.L. A Review of the Range of Effects of Niacinamide. Int. Fed. Soc. Cosmet. Chem. Mag. 2002, 5, 231–238. [Google Scholar]
- Tanno, O.; Ota, Y.; Kitamura, N.; Katsube, T.; Inoue, S. Nicotinamide Increases Biosynthesis of Ceramides as Well as Other Stratum Corneum Lipids to Improve the Epidermal Permeability Barrier. Br. J. Dermatol. 2000, 143, 524–531. [Google Scholar] [CrossRef] [PubMed]
- Gehring W Nicotinic Acid/Niacinamide and the Skin. J. Cosmet. Dermatol. 2004, 3, 88–93. [CrossRef] [PubMed]
- Rocha, S.; Huang, N.; Bappal, A.; Du, Z.; Du, Y.P.; Dadd, T.; Mi, T.Y.; Potterf, B. Niacinamide Reduces Inflammatory Response Due to Skin Barrier Disruption. J. Am. Acad. Dermatol. 2019, 81, AB245. [Google Scholar] [CrossRef]
- Focus on Barrier Support to Improve Skin Health; Consumer Insight Report; Mintel: London, UK, 2022.
- Bom, S.; Fitas, M.; Martins, A.M.; Pinto, P.; Ribeiro, H.M.; Marto, J. Replacing Synthetic Ingredients by Sustainable Natural Alternatives: A Case Study Using Topical O/W Emulsions. Molecules 2020, 25, 4887. [Google Scholar] [CrossRef] [PubMed]
- Kovalikova, Z.; Lnenicka, J.; Andrys, R. The Influence of Locality on Phenolic Profile and Antioxidant Capacity of Bud Extracts. Foods 2021, 10, 1608. [Google Scholar] [CrossRef]
- Jurikova, T.; Mlcek, J.; Skrovankova, S.; Balla, S.; Sochor, J.; Baron, M.; Sumczynski, D. Black Crowberry (Empetrum nigrum L.) Flavonoids and Their Health Promoting Activity. Molecules 2016, 21, 1685. [Google Scholar] [CrossRef]
- Kowalska, K. Lingonberry (Vaccinium Vitis-idaea L.) Fruit as a Source of Bioactive Compounds with Health-promoting Effects—A Review. Int. J. Mol. Sci. 2021, 22, 5126. [Google Scholar] [CrossRef] [PubMed]
- Booth, N.L.; Piersen, C.E.; Banuvar, S.; Geller, S.E.; Shulman, L.P.; Farnsworth, N.R. Clinical Studies of Red Clover (Trifolium Pratense) Dietary Supplements in Menopause: A Literature Review. Menopause 2006, 13, 251–264. [Google Scholar] [CrossRef]
- Gupta, R.; Flora, S.J.S. Protective Effects of Fruit Extracts of Hippophae Rhamnoides L. against Arsenic Toxicity in Swiss Albino Mice. Hum. Exp. Toxicol. 2006, 25, 285–295. [Google Scholar] [CrossRef] [PubMed]
- Li, Y.; Pham, V.; Bui, M.; Song, L.; Wu, C.; Walia, A.; Uchio, E.; Smith-Liu, F.; Zi, X. Rhodiola Rosea L.: An Herb with Anti-Stress, Anti-Aging, and Immunostimulating Properties for Cancer Chemoprevention HHS Public Access. Curr. Pharm. Rep. 2017, 3, 384–395. [Google Scholar] [CrossRef] [PubMed]
- di Paolo, C.T.; Diamandis, E.P.; Prassas, I. The Role of Kallikreins in Inflammatory Skin Disorders and Their Potential as Therapeutic Targets. Crit. Rev. Clin. Lab. Sci. 2021, 58, 1–16. [Google Scholar] [CrossRef]
- Zhu, Y.; Underwood, J.; Macmillan, D.; Shariff, L.; O’Shaughnessy, R.; Harper, J.I.; Pickard, C.; Friedmann, P.S.; Healy, E.; Di, W.L. Persistent Kallikrein 5 Activation Induces Atopic Dermatitis-like Skin Architecture Independent of PAR2 Activity. J. Allergy Clin. Immunol. 2017, 140, 1310–1322. [Google Scholar] [CrossRef]
- Papakonstantinou, E.; Roth, M.; Karakiulakis, G. Hyaluronic Acid: A Key Molecule in Skin Aging. Dermatoendocrinology 2012, 4, 253–258. [Google Scholar] [CrossRef]
- Abu-Reidah, I.M.; Arráez-Román, D.; Segura-Carretero, A.; Fernández-Gutiérrez, A. Profiling of Phenolic and Other Polar Constituents from Hydro-Methanolic Extract of Watermelon (Citrullus lanatus) by Means of Accurate-Mass Spectrometry (HPLC-ESI-QTOF-MS). Food Res. Int. 2013, 51, 354–362. [Google Scholar] [CrossRef]
- Lee, M.; Park, J.H.; Min, D.S.; Yoo, H.; Park, J.H.; Kim, Y.C.; Sung, S.H. Antifibrotic Activity of Diarylheptanoids from Betula Platyphylla toward HSC-T6 Cells. Biosci. Biotechnol. Biochem. 2012, 76, 1616–1620. [Google Scholar] [CrossRef]
- Liimatainen, J.; Karonen, M.; Sinkkonen, J.; Helander, M.; Salminen, J.P. Characterization of Phenolic Compounds from Inner Bark of Betula Pendula. Holzforschung 2012, 66, 171–181. [Google Scholar] [CrossRef]
- Ogawa, K.; Sakakibara, H.; Iwata, R.; Ishii, T.; Sato, T.; Goda, T.; Shimoi, K.; Kumazawa, S. Anthocyanin Composition and Antioxidant Activity of the Crowberry (Empetrum nigrum) and Other Berries. J. Agric. Food Chem. 2008, 56, 4457–4462. [Google Scholar] [CrossRef]
- Ambriz-Pérez, D.L.; Leyva-López, N.; Gutierrez-Grijalva, E.P.; Heredia, J.B. Phenolic Compounds: Natural Alternative in Inflammation Treatment. A Review. Cogent Food Agric. 2016, 2, 1131412. [Google Scholar]
- Rastogi, S.; Pandey, M.M.; Rawat, A.K.S. Medicinal Plants of the Genus Betula-Traditional Uses and a Phytochemical-Pharmacological Review. J. Ethnopharmacol. 2015, 159, 62–83. [Google Scholar] [CrossRef]
- Woelfle, U.; Laszczyk, M.N.; Kraus, M.; Leuner, K.; Kersten, A.; Simon-Haarhaus, B.; Scheffler, A.; Martin, S.F.; Müller, W.E.; Nashan, D.; et al. Triterpenes Promote Keratinocyte Differentiation in Vitro, Ex Vivo and in Vivo: A Role for the Transient Receptor Potential Canonical (Subtype) 6. J. Investig. Dermatol. 2010, 130, 113–123. [Google Scholar] [CrossRef]
- Toulza, E.; Mattiuzzo, N.R.; Galliano, M.F.; Jonca, N.; Dossat, C.; Jacob, D.; de Daruvar, A.; Wincker, P.; Serre, G.; Guerrin, M. Large-Scale Identification of Human Genes Implicated in Epidermal Barrier Function. Genome Biol. 2007, 8, R107. [Google Scholar] [CrossRef]
- Kim, K.C.; Kim, D.; Kim, S.C.; Jung, E.; Park, D.; Hyun, J.W. Empetrum nigrum Var. Japonicum Extract Suppresses Ultraviolet B-Induced Cell Damage via Absorption of Radiation and Inhibition of Oxidative Stress. Evid. -Based Complement. Altern. Med. 2013, 2013, 983609. [Google Scholar] [CrossRef]
- Hyun, T.K.; Kim, H.C.; Ko, Y.J.; Kim, J.S. Antioxidant, α-Glucosidase Inhibitory and Anti-Inflammatory Effects of Aerial Parts Extract from Korean Crowberry (Empetrum nigrum Var. Japonicum). Saudi J. Biol. Sci. 2016, 23, 181–188. [Google Scholar] [CrossRef]
- Kim, K.C.; Kang, K.A.; Zhang, R.; Piao, M.J.; Heo, Y.J.; Chae, S.; Kim, G.Y.; Moon, J.Y.; Yoo, B.S.; Hyun, J.W. Risk Reduction of Ethyl Acetate Fraction of Empetrum nigrum Var. Japonicum via Antioxidant Properties against Hydrogen Peroxide-Induced Cell Damage. J. Toxicol. Environ. Health-Part A Curr. Issues 2009, 72, 1499–1508. [Google Scholar] [CrossRef]
- Bissett, D.L.; Oblong, J.E.; Berge, C.A. Niacinamide: A B Vitamin That Improves Aging Facial Skin Appearance. Dermatol. Surg. 2005, 31, 860–866. [Google Scholar] [CrossRef] [PubMed]
- Bierman, J.; Altemeier, A.; Mack, C.; Oblong, J.; Heminger, K.; Bentz, S. Laughlin T Ability of Topical 5% Niacinamide to Reduce Ultraviolet Light–Induced Erythema, Barrier Disruption, and Inflammation. J. Am. Acad. Dermatol. 2013, 68, AB27. [Google Scholar] [CrossRef]
- World Medical Association Declaration of Helsinki: Ethical Principles for Medical Research Involving Human Subjects. JAMA 2013, 310, 2191–2194. [CrossRef] [PubMed]
- Viana, A.; Oliveira, G.; Salvador, J.; Eberlin, S.; Vattimo, A. Evaluation of a Preparation Containing 3% Niacinamide, 3% Helianthus Seed Oil and 3% Butyrospermum Parkii Butter in Skin Hydration and Barrier Function Markers in Human Ex Vivo Model. In Proceedings of the 24th World Congress of Dermatology (Milan), Milan, Italy, 10–15 June 2019. [Google Scholar]







| Binomial Name | Common Name | Plant Part Used | Abbreviation |
|---|---|---|---|
| Betula alba | Birch | Bark | BA |
| Empetrum nigrum | Crowberry | Fruit | EN |
| Hippophae rhamnoides | Sea-buckthorn | Seed | HR |
| Rhodiola rosea | Roseroot | Stem cell | RR |
| Trifolium pratense | Red clover | Flower | TP |
| Vaccinium vitis-idaea | Lingonberry | Stem cell | VVI |
| Gene | Name | Protein Function |
|---|---|---|
| AQP3 | Aquaporin 3 | A membrane transporter of water and glycerol expressed in the basal layer of epidermis in normal skin. It is important for maintaining water content and elasticity of the skin. |
| OCLN | Occludin | Together with CLDN1 and TJP1, the main component of the tight junctions. |
| TJP1 | Tight junction protein 1 | Together with CLDN1 and OCLN, the main component of the tight junctions. |
| CLDN1 | Claudin 1 | Together with TJP1 and OCLN, the main component of the tight junctions. |
| FLG | Filaggrin | Essential for the regulation of epidermal homeostasis. Filaggrin monomers can incorporate into the lipid envelope, which is responsible for the skin barrier function. |
| CASP14 | Caspase 14 | Required for the degradation of FLG into natural moisturizing factors (NMFs) in the skin. Blocking the FLG processing done by Caspase-14, results in defects in water retention. |
| KRT1 | Keratin 1 | Differentiation of keratinocytes from the basal to the spinous layer is characterized by a shift to KRT1 and KRT10. The primary function of the keratin intermediate filament cytoskeleton is to provide cells with structural resilience against mechanical trauma. |
| KRT10 | Keratin 10 | Differentiation of keratinocytes from the basal to the spinous layer is characterized by a shift to KRT1 and KRT10. The primary function of the keratin intermediate filament cytoskeleton is to provide cells with structural resilience against mechanical trauma. |
| IVL | Involucrine | A cornified envelope protein. Together with keratins, it is responsible for the mechanical stability of the corneocytes. Involucrine binds covalently to ceramides, forming a backbone for the subsequent attachment of free ceramides. |
| PNPLA1 | Patatin-like phospholipase domain-containing 1 | An enzyme expressed in differentiated keratinocytes, which plays a crucial role in the biosynthesis of ω-O-acylceramide, a lipid component essential for skin barrier integrity. |
| Empirical Formula | Calculated m/z | Retention Time (min) | |
|---|---|---|---|
| BA | −ESI | ||
| Catechin 7-xyloside | C20H22O10 | 421.1140 | 18.3 |
| Catechin | C15H14O6 | 289.0718 | 18.8 |
| Apiosylepirhododendrin | C21H32O11 | 459.1872 | 23.8–24.6 |
| Rhododendrin | C16H24O7 | 327.1449 | 24.1 |
| Platyphylloside | C25H32O9 | 475.1974 | 27.4–32.6 |
| 5-Hydroxy-1,7-bis-(4-hydroxyphenyl)-3-heptanone 5-O-β-D-apiofuranosyl-β-D-glucopyranoside | C30H40O13 | 607.2396 | 32.0 |
| 1,7-Bis-(4-hydroxyphenyl)-3-heptanol-3-O-[2,6-bis-O-(β-D-apiofuranosyl)-β-D-glucopyranoside | C35H50O16 | 725.3026 | 36.2 |
| Aceroside VIII | C30H42O12 | 593.2603 | 36.8–37.4 |
| 5-Hydroxy-3-platyphyllone | C19H22O4 | 313.1445 | 38.0 |
| Aceroside VIII | C30H42O12 | 593.2603 | 36.8–37.4 |
| Centrolobol | C19H24O3 | 299.1653 | 46.5 |
| Acerogenin E | C19H20O3 | 295.1340 | 47.5 |
| EN | +ESI | ||
| Cyanidin 3-galactoside | C21H21O11+ | 449.1089 | 19.7 |
| Petunidin 3-galactoside | C22H23O12+ | 479.1195 | 20.5 |
| Peonidin 3-galactoside | C22H23O11+ | 463.1246 | 21.8 |
| Malvidin 3-galactoside | C23H25O12+ | 493.1351 | 22.3 |
| Delphinidin 3-arabinoside | C20H19O11+ | 435.0933 | 30.0 |
| Plant | INCI Name |
|---|---|
| Betula alba | Glycerin, water, Betula alba bark extract |
| Empetrum nigrum | Glycerin, Empetrum nigrum fruit juice |
| Hippophae rhamnoides | Maltodextrin, Hippophae rhamnoides kernel extract |
| Rhodiola rosea | Glycerin, water, Rhodiola rosea callus extract |
| Trifolium pratense | Isopentyldiol, Trifolium pratense flower extract |
| Vaccinium vitis-idaea | Water, glycerin, Vaccinium vitis-idaea fruit extract, xanthan gum, sodium benzoate, citric acid, gluconolactone, calcium gluconate |
| Vehicle Formulation Ingredient List |
|---|
| Water Caprylic/capric triglyceride |
| Butylene glycol |
| C12-15 alkyl benzoate |
| Cyclopentasiloxane |
| PPG-3 benzyl ether myristate |
| Polyacrylate crosspolymer-6 |
| Glyceryl caprylate |
| Ethylhexylglycerin |
| Cetyl alcohol |
| Glyceryl stearate |
| PEG-100 stearate |
| Stearyl alcohol |
| Xanthan gum |
| Glycerin |
| Disodium EDTA |
| Caprylhydroxamic acid |
| Sodium hydroxide |
| Pentaerythrityl tetra-di-t-butyl hydroxyhydrocinnamate |
Publisher’s Note: MDPI stays neutral with regard to jurisdictional claims in published maps and institutional affiliations. |
© 2022 by the authors. Licensee MDPI, Basel, Switzerland. This article is an open access article distributed under the terms and conditions of the Creative Commons Attribution (CC BY) license (https://creativecommons.org/licenses/by/4.0/).
Share and Cite
Smiljanic, S.; Messaraa, C.; Lafon-Kolb, V.; Hrapovic, N.; Amini, N.; Osterlund, C.; Visdal-Johnsen, L. Betula alba Bark Extract and Empetrum nigrum Fruit Juice, a Natural Alternative to Niacinamide for Skin Barrier Benefits. Int. J. Mol. Sci. 2022, 23, 12507. https://doi.org/10.3390/ijms232012507
Smiljanic S, Messaraa C, Lafon-Kolb V, Hrapovic N, Amini N, Osterlund C, Visdal-Johnsen L. Betula alba Bark Extract and Empetrum nigrum Fruit Juice, a Natural Alternative to Niacinamide for Skin Barrier Benefits. International Journal of Molecular Sciences. 2022; 23(20):12507. https://doi.org/10.3390/ijms232012507
Chicago/Turabian StyleSmiljanic, Sandra, Cyril Messaraa, Virginie Lafon-Kolb, Nina Hrapovic, Nahid Amini, Christina Osterlund, and Lene Visdal-Johnsen. 2022. "Betula alba Bark Extract and Empetrum nigrum Fruit Juice, a Natural Alternative to Niacinamide for Skin Barrier Benefits" International Journal of Molecular Sciences 23, no. 20: 12507. https://doi.org/10.3390/ijms232012507
APA StyleSmiljanic, S., Messaraa, C., Lafon-Kolb, V., Hrapovic, N., Amini, N., Osterlund, C., & Visdal-Johnsen, L. (2022). Betula alba Bark Extract and Empetrum nigrum Fruit Juice, a Natural Alternative to Niacinamide for Skin Barrier Benefits. International Journal of Molecular Sciences, 23(20), 12507. https://doi.org/10.3390/ijms232012507

