Rapid Removal of Toxic Remazol Brilliant Blue-R Dye from Aqueous Solutions Using Juglans nigra Shell Biomass Activated Carbon as Potential Adsorbent: Optimization, Isotherm, Kinetic, and Thermodynamic Investigation
Abstract
1. Introduction
2. Results and Discussions
2.1. Selection of Suitable Biomass Carbon
2.2. Selection of Suitable Reagent for Activation of Walnut Shell Biomass Carbon
2.3. Characterization of the HNO3 Treated Walnut Shell Biomaa Activated Carbon (WSBAC)
2.4. Analysis of Batch Adsorption Studies for the Removal of RBBR Dye from Wastewater
2.4.1. Effect of Initial pH
2.4.2. Effect of WSBAC Adsorbent Dosage
2.4.3. Effect of ESBAC Adsorbent Particle Size
2.4.4. Effect of Agitation Speed
2.4.5. Effect of Ionic Strength
2.5. Design of Experiments for Optimization of Process Parameters
2.5.1. Analysis of Design of Experiments and Optimization of Process Parameters
2.5.2. Contour and Response Surface Plots
2.5.3. Validity of the Process Model
2.6. Adsorption Isotherm Studies
Inference from Adsorption Isotherm Models
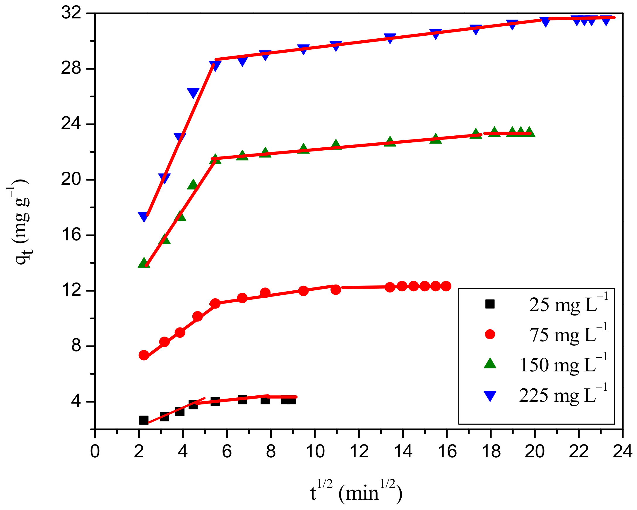
2.7. Adsorption Kinetic Models
2.7.1. Analysis of Adsorption Kinetic Models
2.7.2. Inference from Adsorption Rate Mechanism
2.8. Thermodynamic Studies
Inference from Thermodynamic Analysis for the Removal of RBBR
2.9. Possible Interactions between the RBBR Dye and the WSBAC Adsorbent
2.10. Desorption and Reusability Studies
Inference from Desorption and Reusability Studies of WSBAC Adsorbent
3. Materials and Methods
3.1. Reagents and Materials Required
3.2. Preparation of Char from Walnut Shell Biomass and Its Chemical Activation
3.3. Preparation of Adsorbate Stock Solution
3.4. Analytical Measurements
3.5. Characterization of Walnut Shell Biomass Activated Carbon
3.6. Batch Adsorption Studies
4. Conclusions
Supplementary Materials
Author Contributions
Funding
Institutional Review Board Statement
Informed Consent Statement
Data Availability Statement
Acknowledgments
Conflicts of Interest
References
- Liang, D.; Tian, X.; Zhang, Y.; Zhu, G.; Gao, Q.; Liu, J.; Yu, X. A weed-derived hierarchical porous carbon with a large specific surface area for efficient dye and antibiotic removal. Int. J. Mol. Sci. 2022, 23, 6146. [Google Scholar] [CrossRef]
- Ahmed, M.; Mashkoor, F.; Nasar, A. Development, characterization, and utilization of magnetized orange peel waste as a novel adsorbent for the confiscation of crystal violet dye from aqueous solution. Groundw. Sustain. Dev. 2020, 10, 100322. [Google Scholar] [CrossRef]
- Patra, C.; Gupta, R.; Bedadeep, D.; Narayanasamy, S. Surface treated acid-activated carbon for adsorption of anionic azo dyes from single and binary adsorptive systems: A detail insight. Environ. Pollut. 2020, 266, 115102. [Google Scholar] [CrossRef]
- Meghana, C.; Juhi, B.; Rampal, N.; Vairavel, P. Isotherm, kinetics, process optimization and thermodynamics studies for removal of Congo red dye from aqueous solutions using Nelumbo nucifera (lotus) leaf adsorbent. Desal. Water Treat. 2020, 207, 373–397. [Google Scholar] [CrossRef]
- Li, Z.; Hanafy, H.; Zhang, L.; Sellaoui, L.; Netto, M.S.; Oliveira, M.L.S.; Seliem, M.K.; Dotto, G.L.; Bonilla-Petriciolet, A.; Li, Q. Adsorption of Congo red and Methylene blue dyes on an ashitaba waste and a walnut shell-based activated carbon from aqueous solutions: Experiments, characterization and physical interpretations. Chem. Eng. J. 2020, 388, 124263. [Google Scholar] [CrossRef]
- Sait, H.H.; Hussain, A.; Bassyouni, M.; Ali, I.; Kanthasamy, R.; Ayodele, B.V.; Elhenawy, Y. Anionic dye removal using a date palm seed-derived activated carbon/chitosan polymer microbead biocomposite. Polymers 2022, 14, 2503. [Google Scholar] [CrossRef]
- Gokulan, R.; Ganesh Prabhu, G.; Jegan, J. Remediation of complex Remazol effluent using biochar derived from green seaweed biomass. Int. J. Phytoremediation 2019, 21, 1179–1189. [Google Scholar] [CrossRef]
- Arya, M.C.; Bafila, P.S.; Mishra, D.; Negi, K.; Kumar, R.; Bughani, A. Adsorptive removal of Remazol Brilliant Blue R dye from its aqueous solution by activated charcoal of Thuja orientalis leaves: An eco-friendly approach. SN Appl. Sci. 2020, 2, 265–274. [Google Scholar] [CrossRef]
- Raj, A.; Yadav, A.; Rawat, A.P.; Singh, A.K.; Kumar, S.; Pandey, A.K.; Sirohi, R.; Pandey, A. Kinetic and thermodynamic investigations of sewage sludge biochar in removal of Remazol Brilliant Blue R dye from aqueous solution and evaluation of residual dyes cytotoxicity. Environ. Technol. Innov. 2021, 23, 101556. [Google Scholar] [CrossRef]
- Divya, J.M.; Palak, K.; Vairavel, P. Optimization, kinetics, equilibrium isotherms, and thermodynamics studies of Coomassie violet dye adsorption using Azadirachta indica (neem) leaf adsorbent. Desal. Water Treat. 2020, 190, 353–382. [Google Scholar] [CrossRef]
- Zhang, H.; Xing, L.; Liang, H.; Ren, J.; Ding, W.; Wang, Q.; Geng, Z.; Xu, C. Efficient removal of Remazol Brilliant Blue R from water by a cellulose-based activated carbon. Int. J. Biol. Macromol. 2022, 207, 254–262. [Google Scholar] [CrossRef] [PubMed]
- Pourhakkak, P.; Taghizadeh, M.; Taghizadeh, A.; Ghaedi, M. Adsorption: Fundamental processes and applications. Interface Sci. Technol. 2021, 33, 71–210. [Google Scholar] [CrossRef]
- Luna, M.S.; Greco, F.; Pastore, R.; Mensitieri, G.; Filippone, G.; Aprea, P.; Mallamace, D.; Mallamace, F.; Chen, S. Tailoring chitosan/LTA zeolite hybrid aerogels for anionic and cationic dye adsorption. Int. J. Mol. Sci. 2021, 22, 5535. [Google Scholar] [CrossRef] [PubMed]
- Dutta, S.; Gupta, B.; Srivastava, S.K.; Gupta, A.K. Recent advances on the removal of dyes from wastewater using various adsorbents: A critical review. Mater. Adv. 2021, 2, 4497–4531. [Google Scholar] [CrossRef]
- Chai, W.S.; Cheun, J.Y.; Senthil Kumar, P.; Mubashir, M.; Majeed, Z.; Banat, F.; Ho, S.; Show, P.L. A review on conventional and novel materials towards heavy metal adsorption in wastewater treatment application. J. Clean. Prod. 2021, 296, 126589. [Google Scholar] [CrossRef]
- Bushra, R.; Mohamad, S.; Alias, Y.; Jin, Y.; Ahmad, M. Current approaches and methodologies to explore the perceptive adsorption mechanism of dyes on low-cost agricultural waste: A review. Microporous Mesoporous Mater. 2021, 319, 111040. [Google Scholar] [CrossRef]
- Jjagwe, J.; Olupot, P.W.; Menya, E.; Kalibbala, H.M. Synthesis and Application of Granular Activated Carbon from Biomass Waste Materials for Water Treatment: A Review. J. Bioresour. Bioprod. 2021, 6, 292–322. [Google Scholar] [CrossRef]
- Mariana, M.; Abdul Khalil, H.P.S.; Mistar, E.M.; Yahya, E.B.; Alfatah, T.; Danish, M.; Amayreh, M. Recent advances in activated carbon modification techniques for enhanced heavy metal adsorption. J. Water Process Eng. 2021, 43, 102221. [Google Scholar] [CrossRef]
- Siipola, V.; Tamminen, T.; Kalli, A.; Lahti, R.; Romar, H.; Rasa, K.; Keskinen, R.; Hyvaluoma, J.; Hannula, M.; Wikberg, H. Effects of biomass type, carbonization process, and activation method on the properties of bio-based activated carbons. Bioresources 2018, 13, 5976–6002. [Google Scholar] [CrossRef]
- Saleem, J.; Shahid, U.B.; Hijab, M.; Mackey, H.; McKay, G. Production and applications of activated carbons as adsorbents from olive stones. Biomass Convers. Biorefinery 2019, 9, 775–802. [Google Scholar] [CrossRef]
- Norouzi, S.; Heidari, M.; Alipour, V.; Rahmanian, O.; Fazlzadeh, M.; Moghadam, F.M.; Nourmoradi, H.; Goudarzi, B.; Dindarloo, K. Preparation, characterization and Cr(VI) adsorption evaluation of NaOH-activated carbon produced from date press cake; an agro-industrial waste. Bioresour. Technol. 2018, 258, 48–56. [Google Scholar] [CrossRef]
- Bergna, D.; Varila, T.; Romar, H.; Lassi, U. Comparison of the properties of activated carbons produced in one-stage and two-stage processes. Carbon 2018, 4, 41. [Google Scholar] [CrossRef]
- Gecgel, U.; Kolancilar, H. Adsorption of Remazol brilliant blue R on activated carbon prepared from a pine cone. Nat. Prod. Res. 2012, 26, 659–664. [Google Scholar] [CrossRef]
- Dagdelen, S.; Acemioglu, B.; Baran, E.; Kocer, O. Removal of Remazol brilliant blue-R from aqueous solution by pirina pretreated with nitric acid and commercial activated carbon. Water Air Soil Pollut. 2014, 225, 1899. [Google Scholar] [CrossRef]
- Albatrni, H.; Qiblawey, H.; Al-Marri, M.J. Walnut shell based adsorbents: A review study on preparation, mechanism, and application. J. Water Process Eng. 2022, 45, 102527. [Google Scholar] [CrossRef]
- Asadi-Sangachini, Z.; Galangash, M.M.; Younesi, H.; Nowrouzi, M. The feasibility of cost-effective manufacturing activated carbon derived from walnut shells for large-scale CO2 capture. Environ. Sci. Pollut. Res. 2019, 26, 26542–26552. [Google Scholar] [CrossRef]
- Esfahlan, A.J.; Ostadrahimi, A.; Tabibiazar, M.; Amarowicz, R. A comprehensive review on the chemical constituents and functional uses of walnut (Juglans spp.) husk. Int. J. Mol. Sci. 2019, 20, 3920. [Google Scholar] [CrossRef]
- Nethaji, S.; Sivasamy, A. Removal of hexavalent chromium from aqueous solution using activated carbon prepared from walnut shell biomass through alkali impregnation processes. Clean Technol. Environ. Policy 2014, 16, 361–368. [Google Scholar] [CrossRef]
- Malhotra, S.P.; McNeil, D.L. Economics of walnut production in India. Acta Hortic. 2010, 861, 229–236. [Google Scholar] [CrossRef]
- Iacovidou, E.; Hahladakis, J.; Deans, I.; Velis, C.; Purnell, P. Technical properties of biomass and solid recovered fuel (SRF) co-fired with coal: Impact of on multi-dimensional resource recovery value. Waste Manag. 2018, 73, 535–545. [Google Scholar] [CrossRef]
- Li, S.; Zeng, Z.; Xue, W. Kinetic and equilibrium study of the removal of reactive dye using modified walnut shell. Water Sci. Technol. 2019, 80, 874–883. [Google Scholar] [CrossRef]
- Zhang, W.; Cheng, H.; Niu, Q.; Fu, M.; Huang, H.; Ye, D. Microbial targeted degradation pretreatment: A novel approach to preparation of activated carbon with specific hierarchical porous structures, high surface areas, and satisfactory toluene adsorption performance. Environ. Sci. Technol. 2019, 53, 7632–7640. [Google Scholar] [CrossRef]
- Stuart, B.H. Infrared Spectroscopy: Fundamentals and Applications; John Wiley & Sons Ltd.: New York, NY, USA, 2004. [Google Scholar] [CrossRef]
- Moharm, A.E.; Naeem, G.A.; Soliman, H.M.A.; Abdelhamid, A.I.; Elbardan, A.A.; Kassem, T.S.; Nayl, A.A.; Brase, S. Fabrication and characterization of effective biochar biosorbent derived from agricultural waste to remove cationic dyes from wastewater. Polymers 2022, 14, 2587. [Google Scholar] [CrossRef]
- Vairavel, P.; Murty, V.R. Optimization, kinetics, equilibrium isotherms and thermodynamics studies for Congo red dye adsorption using calcium alginate beads immobilized with dual adsorbent (Neurospora crassa dead fungal biomass and wheat bran). Desal. Water Treat. 2017, 97, 338–362. [Google Scholar] [CrossRef]
- Mahmoodi, N.; Taghizadeh, M.; Taghizadeh, A. Mesoporous activated carbons of low-cost agricultural bio-wastes with high adsorption capacity: Preparation and artificial neural network modeling of dye removal from single and multicomponent (binary and ternary) systems. J. Mol. Liq. 2018, 269, 217–228. [Google Scholar] [CrossRef]
- Ali, R.M.; Hamad, H.A.; Hussein, M.M.; Malash, G.F. Potential of using green adsorbent of heavy metal removal from aqueous solutions: Adsorption kinetics, isotherm, thermodynamic, mechanism and economic analysis. Ecol. Eng. 2016, 91, 317–332. [Google Scholar] [CrossRef]
- Debamita, C.; Nakul, R.; Gautham, J.P.; Vairavel, P. Process optimization, isotherm, kinetics, and thermodynamics studies for removal of Remazol Brilliant Blue—R dye from contaminated water using adsorption on guava leaf powder. Desal. Water Treat. 2020, 185, 318–343. [Google Scholar] [CrossRef]
- Vairavel, P.; Rampal, N.; Jeppu, G. Adsorption of toxic Congo red dye from aqueous solution using untreated coffee husks: Kinetics, equilibrium, thermodynamics and desorption study. Int. J. Environ. Anal. Chem 2021, in press. [Google Scholar] [CrossRef]
- Sridhar, A.; Ponnuchamy, M.; Kapoor, A.; Prabhakar, S. Valorization of food waste as adsorbents for toxic dye removal from contaminated waters: A review. J. Hazard. Mater. 2022, 424, 127432. [Google Scholar] [CrossRef]
- Patra, T.; Mohanty, A.; Singh, L.; Muduli, S.; Parhi, P.K.; Sahoo, T.R. Effect of calcination temperature on morphology and phase transformation of MnO2 nanoparticles: A step towards green synthesis for reactive dye adsorption. Chemosphere 2022, 288, 132472. [Google Scholar] [CrossRef]
- Guo, T.; Bulin, C. Facile preparation of MgO/graphene oxide nanocomposite for efficient removal of aqueous Congo red: Adsorption performance and interaction mechanism. Res. Chem. Intermed. 2021, 47, 945–971. [Google Scholar] [CrossRef]
- Vairavel, P.; Murty, V.R. Optimization of batch process parameters for Congo red color removal by Neurospora crassa live fungal biomass with wheat bran dual adsorbent using response surface methodology. Desal. Water Treat. 2018, 103, 84–101. [Google Scholar] [CrossRef]
- Yang, Y.; Ali, N.; Khan, A.; Khan, S.; Khan, H.; Xiaoqi, S.; Ahmad, W.; Uddin, A.; Ali, N.; Bilal, M. Chitosan-capped ternary metal selenide nanocatalysts for efficient degradation of Congo red dye in sunlight irradiation. Int. J. Biol. Macromol. 2021, 167, 169–181. [Google Scholar] [CrossRef]
- Messaoudi, N.E.; Khomri, M.E.; Fernine, Y.; Bouich, A.; Lacherai, A.; Jada, A.; Sher, F.; Lima, E.C. Hydrothermally engineered Eriobotrya japonica leaves/MgO nanocomposites with potential applications in wastewater treatment. Groundw. Sustain. Dev. 2022, 16, 100728. [Google Scholar] [CrossRef]
- Nwagbara, V.U.; Chigayo, K.; Iyama, W.A.; Kwaambwa, H.M. Removal of lead, cadmium, and copper from water using Moringa oleifera seed biomass. J. Water Clim. Change 2022, 13, 2747–2760. [Google Scholar] [CrossRef]
- Brahma, D.; Saikia, H. Synthesis of ZrO2/MgAl-LDH composites and evaluation of its isotherm, kinetics and thermodynamic properties in the adsorption of Congo red dye. Chem. Thermodyn. Therm. Anal. 2022, 7, 100067. [Google Scholar] [CrossRef]
- Hu, Q.; Zhang, Z. Application of Dubinin—Radushkevich isotherm model at the solid/solution interface: A theoretical analysis. J. Mol. Liq. 2019, 277, 646–648. [Google Scholar] [CrossRef]
- Saini, K.; Sahoo, A.; Biswas, B.; Kumar, A.; Bhaskar, T. Preparation and characterization of lignin-derived hard templated carbon (s): Statistical optimization and Methyl orange adsorption isotherm studies. Bioresour. Technol. 2021, 342, 125924. [Google Scholar] [CrossRef]
- Markadeh, A.A.; Rezaee, A.; Rastegar, S.O.; Hossini, H.; Ahmadi, S.; Hoseinzadeh, E. Optimization of Remazol brilliant blue adsorption process from aqueous solutions using multi-walled carbon nanotube. Desalin. Water Treat. 2016, 57, 13357–13365. [Google Scholar] [CrossRef]
- Bilir, M.H.; Sakalar, N.; Acemioglu, B.; Baran, E.; Alma, M.H. Sorption of Remazol brilliant blue R onto polyurethane-type foam prepared from peanut shell. J. Appl. Polym. Sci. 2013, 127, 4340–4351. [Google Scholar] [CrossRef]
- Mafra, M.R.; Igarashi-Mafra, L.; Zuim, D.R.; Vasques, E.C.; Ferreira, M.A. Adsorption of Remazol brilliant blue on an orange peel adsorbent. Braz. J. Chem. Eng. 2013, 30, 657–665. [Google Scholar] [CrossRef]
- Lazim, Z.M.; Mazuin, E.; Hadibarata, T.; Yusop, Z. The removal of Methylene blue and Remazol brilliant blue R dyes by using orange peel and spent tea leaves. J. Teknol. 2015, 74, 129–135. [Google Scholar] [CrossRef][Green Version]
- Ahmad, M.A.; Yun, E.T.C.; Abustan, I.; Ahmad, N.; Sulaiman, S.K. Optimization of preparation conditions for corn cob based activated carbons for the removal of Remazol brilliant blue R dye. Int. J. Eng. Technol. 2011, 11, 283–287. [Google Scholar]
- Kuleyin, A.; Aydin, F. Removal of reactive textile dyes (Remazol brilliant blue-R and Remazol yellow) by surfactant-modified natural zeolite. Environ. Progr. Sustain. Energy 2011, 30, 141–151. [Google Scholar] [CrossRef]
- Bedin, K.C.; Azevedo, S.P.D.; Leandro, P.K.T.; Cazetta, A.L.; Almeida, V.C. Bone char prepared by CO2 atmosphere: Preparation optimization and adsorption studies of Remazol brilliant blue-R. J. Cleaner Prod. 2017, 161, 288–298. [Google Scholar] [CrossRef]
- Ratnamala, G.M.; Shetty, K.V.; Srinikethan, G. Removal of Remazol brilliant blue dye from dye-contaminated water by adsorption using red mud: Equilibrium, kinetic, and thermodynamic studies. Water Air Soil Pollut. 2012, 223, 6187–6199. [Google Scholar] [CrossRef]
- Silva, T.L.; Ronix, A.; Pezoti, O.; Souza, L.S.; Leandro, P.K.T.; Bedin, K.C.; Beltrame, K.K.; Cazetta, A.L.; Almeida, V.C. Mesoporous activated carbon from industrial laundry sewage sludge: Adsorption studies of reactive dye Remazol brilliant blue R. Chem. Eng. J. 2016, 303, 467–476. [Google Scholar] [CrossRef]
- Hii, H.T. Adsorption isotherm and kinetic models for removal of Methyl orange and Remazol brilliant blue R by coconut shell activated carbon. Trop. Aqua. Soil Pollut. 2021, 1, 1–10. [Google Scholar] [CrossRef]
- Ada, K.; Ergene, A.; Tan, S.; Yalcin, E. Adsorption of Remazol brilliant blue-R using ZnO fine powder: Equilibrium, kinetic and thermodynamic modeling studies. J. Hazard. Mater. 2009, 165, 637–644. [Google Scholar] [CrossRef]
- Rahmat, N.A.; Ali, A.A.; Hussain, N.; Muhamad, M.S.; Kristanti, R.A.; Hadibarata, T. Removal of Remazol brilliant blue-R from aqueous solution by adsorption using pineapple leaf powder and lime peel powder. Water Air Soil Pollut. 2016, 227, 105–115. [Google Scholar] [CrossRef]
- Ergene, A.; Ada, K.; Tan, S.; Katircioglu, H. Removal of Remazol brilliant blue R dye from aqueous solutions by adsorption onto immobilized Scenedesmus quadricauda: Equilibrium and kinetic modeling studies. Desalination 2009, 249, 1308–1314. [Google Scholar] [CrossRef]
- Igbal, M.; Saeed, A. Biosorption of reactive dye by loofa sponge-immobilized fungal biomass of Phanerochaete chrysosporium. Process Biochem. 2007, 42, 1160–1164. [Google Scholar] [CrossRef]
- Karimi, H.; Ranjbari, S.; Tanhaei, B.; Ayati, A.; Orooji, Y.; Alizadeh, M.; Karimi, F.; Salmanpour, S.; Rouhi, J.; Sillanpaa, M.; et al. Novel 1-butyl-3-methylimidazolium bromide impregnated chitosan hydrogel beads nanostructure as an efficient nanobio-adsorbent for cationic dye removal: Kinetic study. Environ. Res. 2021, 195, 110809. [Google Scholar] [CrossRef] [PubMed]
- Benjelloun, M.; Miyah, Y.; Evrendilek, G.A.; Zerrouq, F.; Lairini, S. Recent advances in adsorption kinetic models: Their application to dye types. Arab. J. Chem. 2021, 14, 103031. [Google Scholar] [CrossRef]
- Rathee, G.; Awasthi, A.; Sood, D.; Tomar, R.; Tomar, V.; Chandra, R. A new biocompatible ternary layered double hydroxide adsorbent for ultrafast removal of anionic organic dyes. Sci. Rep. 2019, 9, 16225. [Google Scholar] [CrossRef]
- Aniagorb, C.O.; Menkitia, M.C. Kinetics and mechanistic description of adsorptive uptake of Crystal violet dye by lignified elephant grass complexed isolate. J. Environ. Chem. Eng. 2018, 6, 2105–2118. [Google Scholar] [CrossRef]
- Gemici, B.T.; Ozel, H.U.; Ozel, H.B. Removal of Methylene blue onto forest wastes: Adsorption isotherms, kinetics and thermodynamic analysis. Environ. Technol. Innov. 2021, 22, 101501. [Google Scholar] [CrossRef]
- Mahmood, U.B.; Eisa, M.Y.; Hammed, A.K. Adsorption of the Eosin yellow dye by nickel oxide nanoparticles catalyzes via oxalate co-precipitation method: Isotherm, kinetic and thermodynamic studies. Phys. Scr. 2021, 96, 124056. [Google Scholar] [CrossRef]
- Noori, M.; Tahmasebpoor, M.; Foroutan, R. Enhanced adsorption capacity of low-cost magnetic clinoptilolite powders/beads for the effective removal of Methylene blue: Adsorption and desorption studies. Mater. Chem. Phys. 2022, 278, 125655. [Google Scholar] [CrossRef]

















| Parameters | Walnut Shell Biomass Carbon | CaCl2 Treated WSBAC (1:3 Ratio) | KOH Treated WSBAC (1:3 Ratio) | HNO3 Treated WSBAC (1:3 Ratio) |
|---|---|---|---|---|
| BET surface area (m2 g−1) | 14.38 | 16.64 | 18.56 | 22.79 |
| Pore volume (mm3 g−1) | 12.25 | 13.42 | 14.78 | 16.10 |
| Adsorption efficiency (%) | 72.24 | 77.38 | 79.86 | 87.92 |
| Independent Variables | Range and Level | ||
|---|---|---|---|
| −1 | 0 | 1 | |
| Initial pH (X1) | 1.5 | 2.0 | 2.5 |
| WSBAC adsorbent dosage, g L−1 (X2) | 5.0 | 6.0 | 7.0 |
| WSBAC adsorbent particle size, µm (X3) | 65 | 124 | 183 |
| Run No. | X1 | X2 (g L−1) | X3 (µm) | % RBBR Color Removal | |
|---|---|---|---|---|---|
| Experiment | Predicted | ||||
| 1 | 1 | −1 | 1 | 83.92 | 84.77 |
| 2 | 1 | 1 | −1 | 86.22 | 87.78 |
| 3 | –1 | 1 | 1 | 89.34 | 90.78 |
| 4 | 0 | 1 | 0 | 93.50 | 93.11 |
| 5 | 0 | 0 | 0 | 92.84 | 92.74 |
| 6 | 0 | 0 | 0 | 92.90 | 92.74 |
| 7 | 1 | 0 | 0 | 90.38 | 91.16 |
| 8 | 1 | 1 | 1 | 89.45 | 87.74 |
| 9 | 0 | −1 | 0 | 85.62 | 86.19 |
| 10 | 0 | 0 | 0 | 92.76 | 92.74 |
| 11 | 1 | −1 | −1 | 87.95 | 86.47 |
| 12 | −1 | −1 | −1 | 84.78 | 86.45 |
| 13 | 0 | 0 | 0 | 92.88 | 92.74 |
| 14 | 0 | 0 | −1 | 94.26 | 93.41 |
| 15 | 0 | 0 | 1 | 88.26 | 89.29 |
| 16 | −1 | −1 | 1 | 79.85 | 78.24 |
| 17 | −1 | 0 | 0 | 93.28 | 92.68 |
| 18 | 0 | 0 | 0 | 92.76 | 92.74 |
| 19 | 0 | 0 | 0 | 92.65 | 92.74 |
| 20 | −1 | 1 | −1 | 98.24 | 97.34 |
| Term | Coefficient | SE of Coefficient | Tstatistics | DF | Seq SS | Adj SS | Adj MS | Fstatistics | Probability |
|---|---|---|---|---|---|---|---|---|---|
| Constant | 92.7379 | 0.4843 | 191.483 | 0.000 | |||||
| Regression | 9 | 344.887 | 344.887 | 38.321 | 19.31 | 0.000 | |||
| Linear | 3 | 168.214 | 168.214 | 56.071 | 28.25 | 0.000 | |||
| X1 | −0.7570 | 0.4455 | –1.699 | 1 | 5.730 | 5.730 | 5.730 | 2.89 | 0.120 |
| X2 (g L−1) | 3.4630 | 0.4455 | 7.773 | 1 | 119.924 | 119.924 | 119.924 | 60.42 | 0.000 |
| X3 (µm) | −2.0630 | 0.4455 | −4.631 | 1 | 42.560 | 42.560 | 42.560 | 21.44 | 0.001 |
| Square | 3 | 108.257 | 108.257 | 36.086 | 18.18 | 0.000 | |||
| X1 × X1 | −0.8173 | 0.8495 | −0.962 | 1 | 61.320 | 1.837 | 1.837 | 0.93 | 0.359 |
| X2 (g L−1) × X2 (g L−1) | −3.0873 | 0.8495 | −3.634 | 1 | 41.645 | 26.211 | 26.211 | 13.21 | 0.004 |
| X3 (µm) × X3 (µm) | −1.3873 | 0.8495 | −1.633 | 1 | 5.292 | 5.292 | 5.292 | 2.67 | 0.134 |
| Interaction | 3 | 68.416 | 68.416 | 22.805 | 11.49 | 0.001 | |||
| X1 × X2 (g L−1) | −2.3938 | 0.4981 | −4.806 | 1 | 45.840 | 45.840 | 45.840 | 23.10 | 0.001 |
| X1 × X3 (µm) | 1.6288 | 0.4981 | 3.270 | 1 | 21.223 | 21.223 | 21.223 | 10.69 | 0.008 |
| X2 (g L−1) × X3 (µm) | 0.4113 | 0.4981 | 0.826 | 1 | 1.353 | 1.353 | 1.353 | 0.68 | 0.428 |
| Residual error | 10 | 19.847 | 19.847 | 1.985 | |||||
| Lack-of-fit | 5 | 19.804 | 19.804 | 3.961 | 453.35 | 0.000 | |||
| Pure error | 5 | 0.044 | 0.044 | 0.009 | |||||
| Total | 19 | 364.735 |
| Expt. | Process Parameters with Operating Conditions | RBBR Color Removal (%) | |||
|---|---|---|---|---|---|
| X1 | X2 (g L−1) | X3 (µm) | Actual Value | Predicted Value | |
| 1 | 2.5 | 7.0 | 183 | 89.45 | 87.38 |
| 2 | 1.5 | 7.0 | 65 | 98.16 | 99.34 |
| 3 | 1.5 | 5.0 | 183 | 79.94 | 82.09 |
| Process Parameters | Optimum Value | RBBR Color Removal (%) |
|---|---|---|
| Initial pH (X1) | 1.5 | 98.24 |
| WSBAC adsorbent dosage, g L−1 (X2) | 7.0 | |
| WSBAC adsorbent particle size, µm (X3) | 65 |
| Isotherm | Model Parameters | Values | Model Equation |
|---|---|---|---|
| Langmuir | qmax (mg g−1) | 54.38 | |
| KL (L mg−1) | 0.2382 | ||
| R2 | 0.9997 | ||
| 1.0877 | |||
| Freundlich | n | 1.7535 | |
| KF (L g−1) | 8.2014 | ||
| R2 | 0.9759 | ||
| 5.3457 | |||
| Temkin | KT (L g−1) | 4.6205 | |
| bT (kJ mole−1) | 0.2619 | ||
| R2 | 0.9864 | ||
| 2.3749 | |||
| Dubinin-Radushkevich | KDR (mole2 kJ−2) | 0.1416 | |
| qs (mg g−1) | 32.3722 | ||
| E (kJ mole−1) | 1.8791 | ||
| R2 | 0.9338 | ||
| 8.2164 |
| Adsorbent | Maximum Adsorption Capacity, qmax (mg g−1) | References |
|---|---|---|
| Multi-walled carbon nanotubes | 6.89 | [50] |
| Polyurethane foam | 9.34 | [51] |
| Orange peel powder | 10.70 | [52] |
| Spent tea leaves | 11.39 | [53] |
| Corncob activated carbon | 12.59 | [54] |
| Surfactant-modified zeolite | 13.90 | [55] |
| Bone char prepared by CO2 atmosphere | 20.60 | [56] |
| Pirina pre-treated with HNO3 | 23.63 | [24] |
| Red mud | 27.80 | [57] |
| Industrial laundry sewage sludge activated carbon | 33.47 | [58] |
| Coconut shell-activated carbon | 35.09 | [59] |
| Zinc oxide | 38.90 | [60] |
| Lime leaf powder | 39.37 | [61] |
| Pineapple leaf powder | 42.02 | [61] |
| Immobilized Scenedesmus quadricauda | 47.90 | [62] |
| Activated pine cone | 49.35 | [23] |
| Phanerochaete chrysosporium | 53.46 | [63] |
| Walnut shell biomass activated carbon | 54.38 | Present study |
| Kinetic Model Parameters | Initial Dye Concentration, Co (mg L−1) | |||
|---|---|---|---|---|
| 25 | 75 | 150 | 225 | |
| qe,experimental (mg g−1) | 2.7509 | 11.4396 | 38.2729 | 48.6369 |
| Pseudo-first-order model | ||||
| qe,predicted (mg g−1) | 1.9843 | 4.3589 | 16.9528 | 21.0325 |
| K1 (min−1) | 0.1349 | 0.0225 | 0.0120 | 0.0093 |
| Normalized Standard deviation (%), NSD | 15.1069 | 18.9018 | 15.1338 | 12.4576 |
| Regression coefficient, R2 | 0.9843 | 0.9578 | 0.9316 | 0.9542 |
| Pseudo-second-order model | ||||
| qe,predicted (mg g−1) | 2.9783 | 11.5691 | 37.9862 | 49.0572 |
| K2 (g mg−1 min−1) | 0.1026 | 0.02105 | 0.0059 | 0.0046 |
| Initial adsorption rate, h (mg g−1 min−1) | 0.7764 | 2.7546 | 8.6424 | 10.8815 |
| Normalized standard deviation (%), NSD | 1.3534 | 0.7458 | 0.6295 | 0.5054 |
| Regression coefficient, R2 | 0.9994 | 0.9999 | 0.9999 | 0.9999 |
| Intra-particle diffusion model | ||||
| Ki (mg g−1 min−1/2) | 0.4563 | 1.2255 | 1.7469 | 2.4038 |
| C (mg g−1) | 1.5664 | 4.5324 | 8.3213 | 15.2995 |
| Regression coefficient, R2 | 0.9804 | 0.9785 | 0.9929 | 0.9456 |
| Temperature (K) | Maximum Adsorption Capacity, qmax (mg g−1) | Thermodynamic Parameters | ||
|---|---|---|---|---|
| ΔG (kJ Mole−1) | ΔH (kJ Mole−1) | ΔS (kJ Mole−1 K−1) | ||
| 301 | 54.377 | −23.696 | 40.2438 | 0.2114 |
| 313 | 59.634 | −26.422 | ||
| 323 | 66.278 | −28.447 | ||
Publisher’s Note: MDPI stays neutral with regard to jurisdictional claims in published maps and institutional affiliations. |
© 2022 by the authors. Licensee MDPI, Basel, Switzerland. This article is an open access article distributed under the terms and conditions of the Creative Commons Attribution (CC BY) license (https://creativecommons.org/licenses/by/4.0/).
Share and Cite
Parimelazhagan, V.; Yashwath, P.; Arukkani Pushparajan, D.; Carpenter, J. Rapid Removal of Toxic Remazol Brilliant Blue-R Dye from Aqueous Solutions Using Juglans nigra Shell Biomass Activated Carbon as Potential Adsorbent: Optimization, Isotherm, Kinetic, and Thermodynamic Investigation. Int. J. Mol. Sci. 2022, 23, 12484. https://doi.org/10.3390/ijms232012484
Parimelazhagan V, Yashwath P, Arukkani Pushparajan D, Carpenter J. Rapid Removal of Toxic Remazol Brilliant Blue-R Dye from Aqueous Solutions Using Juglans nigra Shell Biomass Activated Carbon as Potential Adsorbent: Optimization, Isotherm, Kinetic, and Thermodynamic Investigation. International Journal of Molecular Sciences. 2022; 23(20):12484. https://doi.org/10.3390/ijms232012484
Chicago/Turabian StyleParimelazhagan, Vairavel, Pranesh Yashwath, Dharun Arukkani Pushparajan, and Jitendra Carpenter. 2022. "Rapid Removal of Toxic Remazol Brilliant Blue-R Dye from Aqueous Solutions Using Juglans nigra Shell Biomass Activated Carbon as Potential Adsorbent: Optimization, Isotherm, Kinetic, and Thermodynamic Investigation" International Journal of Molecular Sciences 23, no. 20: 12484. https://doi.org/10.3390/ijms232012484
APA StyleParimelazhagan, V., Yashwath, P., Arukkani Pushparajan, D., & Carpenter, J. (2022). Rapid Removal of Toxic Remazol Brilliant Blue-R Dye from Aqueous Solutions Using Juglans nigra Shell Biomass Activated Carbon as Potential Adsorbent: Optimization, Isotherm, Kinetic, and Thermodynamic Investigation. International Journal of Molecular Sciences, 23(20), 12484. https://doi.org/10.3390/ijms232012484

