Sensitive Determination of Trace 4-Nitrophenol in Ambient Environment Using a Glassy Carbon Electrode Modified with Formamide-Converted Nitrogen-Doped Carbon Materials
Abstract
1. Introduction
2. Results and Discussion
2.1. Morphological and Structure Characterisation
2.2. Electrochemical Characterisation
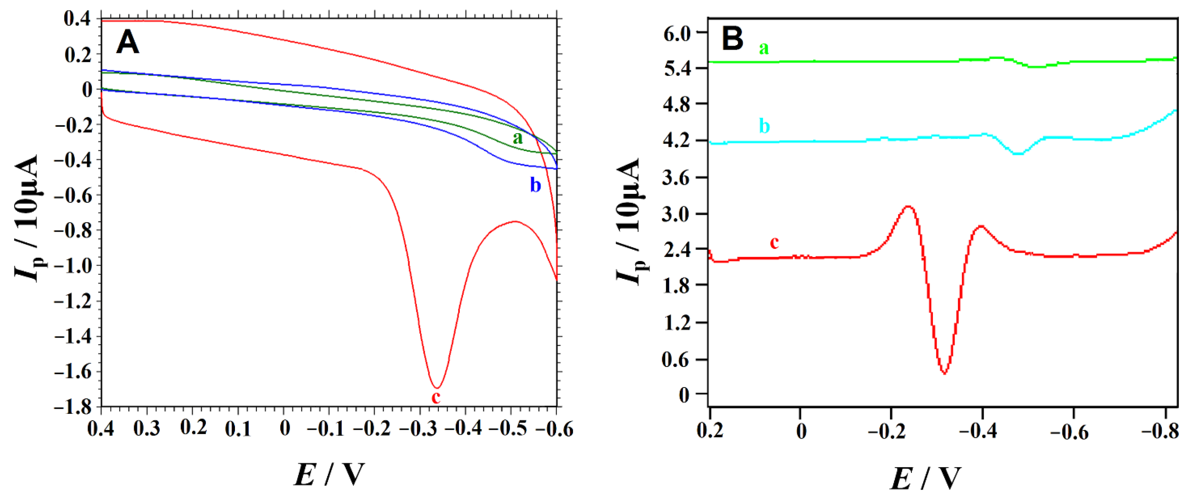
2.3. Voltammetric Behaviour of 4-NP at Different Electrodes
2.4. Optimisation of Determination Conditions
2.4.1. Influences of Supporting Electrolyte and Solution pH
2.4.2. Effect of Accumulation Conditions
2.5. Effect of Scan Rate
2.6. Chronocoulometric Curve
2.7. Evaluation of Electrode Performance
2.7.1. Selectivity
2.7.2. Reproducibility, Stability and Repeatability
2.7.3. Linear Range and Detection Limit
2.7.4. Sample Analysis
3. Materials and Methods
3.1. Reagents
3.2. Apparatus
3.3. Synthesis of f-NC Material
3.4. Electrode Preparation and Modification
3.5. Procedure of Voltammetric Measurements
4. Conclusions
Author Contributions
Funding
Institutional Review Board Statement
Informed Consent Statement
Data Availability Statement
Acknowledgments
Conflicts of Interest
References
- Yin, H.; Zhou, Y.; Ai, S.; Liu, X.; Zhu, L.; Lu, L. Electrochemical oxidative determination of 4-nitrophenol based on a glassy carbon electrode modified with a hydroxyapatite nanopowder. Mikrochim. Acta 2010, 169, 87–92. [Google Scholar] [CrossRef]
- Li, J.; Kuang, D.; Feng, Y.; Zhang, F.; Xu, Z.; Liu, M. A graphene oxide-based electrochemical sensor for sensitive determination of 4-nitrophenol. J. Hazard. Mater. 2012, 201–202, 250–259. [Google Scholar] [CrossRef] [PubMed]
- Cacho, J.; Campillo, N.; Viñas, P.; Hernández-Córdoba, M. Dispersive liquid-liquid microextraction for the determination of nitrophenols in soils by microvial insert large volume injection-gas chromatography–mass spectrometry. J. Chromatogr. A 2016, 1456, 27–33. [Google Scholar] [CrossRef] [PubMed]
- Almási, A.; Fischer, E.; Perjési, P. A simple and rapid ion-pair HPLC method for simultaneous quantitation of 4-nitrophenol and its glucuronide and sulfate conjugates. J. Biochem. Biophys. Methods 2006, 69, 43–50. [Google Scholar] [CrossRef] [PubMed]
- Delnavaz, E.; Amjadi, M. An ultrasensitive chemiluminescence assay for 4-nitrophenol by using luminol–NaIO4 reaction catalyzed by copper, nitrogen co-doped carbon dots. Spectrochim. Acta Part A Mol. Biomol. Spectrosc. 2020, 241, 118608. [Google Scholar] [CrossRef]
- Guo, X.; Wang, Z.; Zhou, S. The separation and determination of nitrophenol isomers by high-performance capillary zone electrophoresis. Talanta 2004, 64, 135–139. [Google Scholar] [CrossRef]
- Yang, J.-M.; Hu, X.-W.; Liu, Y.-X.; Zhang, W. Fabrication of a carbon quantum dots-immobilized zirconium-based metal-organic framework composite fluorescence sensor for highly sensitive detection of 4-nitrophenol. Microporous Mesoporous Mater. 2019, 274, 149–154. [Google Scholar] [CrossRef]
- Deng, P.; Feng, J.; Xiao, J.; Liu, J.; Nie, X.; Li, J.; He, Q. Highly Sensitive Voltammetric Sensor for Nanomolar Dopamine Detection Based on Facile Electrochemical Reduction of Graphene Oxide and Ceria Nanocomposite. J. Electrochem. Soc. 2020, 167, 146511. [Google Scholar] [CrossRef]
- Deng, P.; Nie, X.; Wu, Y.; Tian, Y.; Li, J.; He, Q. A cost-saving preparation of nickel nanoparticles/nitrogen-carbon nanohybrid as effective advanced electrode materials for highly sensitive tryptophan sensor. Microchem. J. 2020, 160, 105744. [Google Scholar] [CrossRef]
- Li, G.; Zhong, P.; Ye, Y.; Wan, X.; Cai, Z.; Yang, S.; Xia, Y.; Li, Q.; Liu, J.; He, Q. A Highly Sensitive and Stable Dopamine Sensor Using Shuttle-Like α-Fe2O3 Nanoparticles/Electro-Reduced Graphene Oxide Composites. J. Electrochem. Soc. 2019, 166, B1552–B1561. [Google Scholar] [CrossRef]
- Wu, Y.; Deng, P.; Tian, Y.; Magesa, F.; Liu, J.; Li, G.; He, Q. Construction of effective electrochemical sensor for the determination of quinoline yellow based on different morphologies of manganese dioxide functionalized graphene. J. Food Compos. Anal. 2019, 84, 103280. [Google Scholar] [CrossRef]
- Wu, Y.; Deng, P.; Tian, Y.; Feng, J.; Xiao, J.; Li, J.; Liu, J.; Li, G.; He, Q. Simultaneous and sensitive determination of ascorbic acid, dopamine and uric acid via an electrochemical sensor based on PVP-graphene composite. J. Nanobiotechnol. 2020, 18, 112. [Google Scholar] [CrossRef] [PubMed]
- He, Q.; Tian, Y.; Wu, Y.; Liu, J.; Li, G.; Deng, P.; Chen, D. Facile and Ultrasensitive Determination of 4-Nitrophenol Based on Acetylene Black Paste and Graphene Hybrid Electrode. Nanomaterials 2019, 9, 429. [Google Scholar] [CrossRef]
- Saadati, F.; Ghahramani, F.; Shayani-Jam, H.; Piri, F.; Yaftian, M.R. Synthesis and characterization of nanostructure molecularly imprinted polyaniline/graphene oxide composite as highly selective electrochemical sensor for detection of p-nitrophenol. J. Taiwan Inst. Chem. Eng. 2018, 86, 213–221. [Google Scholar] [CrossRef]
- Zhang, Y.; Wu, L.; Lei, W.; Xia, X.; Xia, M.; Hao, Q. Electrochemical determination of 4-nitrophenol at polycarbazole/N-doped graphene modified glassy carbon electrode. Electrochim. Acta 2014, 146, 568–576. [Google Scholar] [CrossRef]
- Mulaba-Bafubiandi, A.F.; Karimi-Maleh, H.; Karimi, F.; Rezapour, M. A voltammetric carbon paste sensor modified with NiO nanoparticle and ionic liquid for fast analysis of p-nitrophenol in water samples. J. Mol. Liq. 2019, 285, 430–435. [Google Scholar] [CrossRef]
- Anbumannan, V.; Dinesh, M.; Kumar, R.R.; Suresh, K. Hierarchical α-MnO2 wrapped MWCNTs sensor for low level detection of p-nitrophenol in water. Ceram. Int. 2019, 45, 23097–23103. [Google Scholar] [CrossRef]
- Hira, S.A.; Nallal, M.; Park, K.H. Fabrication of PdAg nanoparticle infused metal-organic framework for electrochemical and solution-chemical reduction and detection of toxic 4-nitrophenol. Sens. Actuators B Chem. 2019, 298, 126861. [Google Scholar] [CrossRef]
- Chen, T.-W.; Rajaji, U.; Chen, S.-M.; Ramalingam, R.J.; Liu, X. Developing green sonochemical approaches towards the synthesis of highly integrated and interconnected carbon nanofiber decorated with Sm2O3 nanoparticles and their use in the electrochemical detection of toxic 4-nitrophenol. Ultrason. Sonochem. 2019, 58, 104595. [Google Scholar] [CrossRef]
- Liang, Y.; Lu, Y.; Xiao, G.; Zhang, J.; Chi, H.; Dong, Y. Hierarchical porous nitrogen-doped carbon microspheres after thermal rearrangement as high performance electrode materials for supercapacitors. Appl. Surf. Sci. 2020, 529, 147141. [Google Scholar] [CrossRef]
- Zhang, W.; Bao, Y.; Bao, A. Preparation of nitrogen-doped hierarchical porous carbon materials by a template-free method and application to CO2 capture. J. Environ. Chem. Eng. 2020, 8, 103732. [Google Scholar] [CrossRef]
- Zhang, H.; Ling, Y.; Peng, Y.; Zhang, J.; Guan, S. Nitrogen-doped porous carbon materials derived from ionic liquids as electrode for supercapacitor. Inorg. Chem. Commun. 2020, 115, 107856. [Google Scholar] [CrossRef]
- Hussain, I.; Qi, J.; Sun, X.; Wang, L.; Li, J. Melamine derived nitrogen-doped carbon sheet for the efficient removal of chromium (VI). J. Mol. Liq. 2020, 318, 114052. [Google Scholar] [CrossRef]
- Lei, W.; Han, L.; Xuan, C.; Lin, R.; Liu, H.; Xin, H.L.; Wang, D. Nitrogen-doped carbon nanofibers derived from polypyrrole coated bacterial cellulose as high-performance electrode materials for supercapacitors and Li-ion batteries. Electrochim. Acta 2016, 210, 130–137. [Google Scholar] [CrossRef]
- Zhao, H.; Li, L.; Liu, Y.; Geng, X.; Yang, H.; Sun, C.; An, B. Synthesis and ORR performance of nitrogen-doped ordered microporous carbon by CVD of acetonitrile vapor using silanized zeolite as template. Appl. Surf. Sci. 2019, 504, 144438. [Google Scholar] [CrossRef]
- Zhu, Y.; Yan, L.; Xu, M.; Li, Y.; Song, X.; Yin, L. Difference between ammonia and urea on nitrogen doping of graphene quantum dots. Colloids Surf. A Physicochem. Eng. Asp. 2021, 610, 125703. [Google Scholar] [CrossRef]
- Zhang, D.; Wang, J.; Wang, Q.; Huang, S.; Feng, H.; Luo, H. Nitrogen self-doped porous carbon material derived from metal-organic framework for high-performance super-capacitors. J. Energy Storage 2019, 25, 100904. [Google Scholar] [CrossRef]
- Liu, J.; Sun, L.; Li, G.; Hu, J.; He, Q. Ultrasensitive detection of dopamine via electrochemical route on spindle-like α-Fe2O3 Mesocrystals/rGO modified GCE. Mater. Res. Bull. 2021, 133, 111050. [Google Scholar] [CrossRef]
- Liu, J.; Ma, N.; Wu, W.; He, Q. Recent progress on photocatalytic heterostructures with full solar spectral responses. Chem. Eng. J. 2020, 393, 124719. [Google Scholar] [CrossRef]
- Li, J.; Xu, Z.; Liu, M.; Deng, P.; Tang, S.; Jiang, J.; Feng, H.; Qian, D.; He, L. Ag/N-doped reduced graphene oxide incorporated with molecularly imprinted polymer: An advanced electrochemical sensing platform for salbutamol determination. Biosens. Bioelectron. 2017, 90, 210–216. [Google Scholar] [CrossRef]
- Li, J.; Jiang, J.; Zhao, D.; Xu, Z.; Liu, M.; Deng, P.; Liu, X.; Yang, C.; Qian, D.; Xie, H. Facile synthesis of Pd/N-doped reduced graphene oxide via a moderate wet-chemical route for non-enzymatic electrochemical detection of estradiol. J. Alloys Compd. 2018, 769, 566–575. [Google Scholar] [CrossRef]
- Mostazo-López, M.J.; Ruiz-Rosas, R.; Morallón, E.; Cazorla-Amorós, D. Nitrogen doped superporous carbon prepared by a mild method. Enhancement of supercapacitor performance. Int. J. Hydrogen Energy 2016, 41, 19691–19701. [Google Scholar] [CrossRef]
- Yamada, Y.; Kim, J.; Matsuo, S.; Sato, S. Nitrogen-containing graphene analyzed by X-ray photoelectron spectroscopy. Carbon 2014, 70, 59–74. [Google Scholar] [CrossRef]
- Deng, P.; Feng, J.; Xiao, J.; Wei, Y.; Liu, X.; Li, J.; He, Q. Application of a Simple and Sensitive Electrochemical Sensor in Simultaneous Determination of Paracetamol and Ascorbic Acid. J. Electrochem. Soc. 2021, 168, 096501. [Google Scholar] [CrossRef]
- Wu, Y.; Deng, P.; Tian, Y.; Ding, Z.; Li, G.; Liu, J.; Zuberi, Z.; He, Q. Rapid recognition and determination of tryptophan by carbon nanotubes and molecularly imprinted polymer-modified glassy carbon electrode. Bioelectrochemistry 2020, 131, 107393. [Google Scholar] [CrossRef] [PubMed]
- Peng, D.; Zhang, J.; Qin, D.; Chen, J.; Shan, D.; Lu, X. An electrochemical sensor based on polyelectrolyte-functionalized graphene for detection of 4-nitrophenol. J. Electroanal. Chem. 2014, 734, 1–6. [Google Scholar] [CrossRef]
- Deng, P.; Feng, J.; Wei, Y.; Xiao, J.; Li, J.; He, Q. Fast and ultrasensitive trace malachite green detection in aquaculture and fisheries by using hexadecylpyridinium bromide modified electrochemical sensor. J. Food Compos. Anal. 2021, 102, 104003. [Google Scholar] [CrossRef]
- Laviron, E. Adsorption, autoinhibition and autocatalysis in polarography and in linear potential sweep voltammetry. J. Electroanal. Chem. Interfacial Electrochem. 1974, 52, 355–393. [Google Scholar] [CrossRef]
- Tian, Y.; Deng, P.; Wu, Y.; Liu, J.; Li, J.; Li, G.; He, Q. High sensitive voltammetric sensor for nanomolarity vanillin detection in food samples via manganese dioxide nanowires hybridized electrode. Microchem. J. 2020, 157, 104885. [Google Scholar] [CrossRef]










| Technique | Sensor | Linear Range (μM) | Detection Limit (μM) | Fabrication Reproducibility/RSD% | Stability Keep | Reference |
|---|---|---|---|---|---|---|
| a SDLSV | f GR/ABPE | 0.02–8.0; 8.0–100 | 0.008 | 4.2 | 87% (30 days) | [11] |
| b LSV | g GO/GCE | 0.1–120 | 0.02 | 3.25 | 83% (30 days) | [12] |
| LSV | h PDDA-G/GCE | 0.06–110 | 0.02 | 3.43 | 95.4% (14 days) | [13] |
| c CV | i MIP-PANI/GO/CPE | 60–1400 | 20 | - | - | [14] |
| CV | j PCZ@N-GE/GCE | 0.8–20 | 0.062 | 3.5 | 90.0% (5 days) | [15] |
| d SWV | k NiONPs-NH3MPF6/CPE | 0.01–280 | 0.007 | 3.7 | 92.5% (20 days) | [16] |
| Amperometry | l MWCNTs-MnO2/GCE | 30–475 | 0.64 | 3.17 | 96.2% (1500 s) | [17] |
| e DPV | m AgPd@UiO-66-NH2/GCE | 100–370 | 0.032 | - | - | [18] |
| DPV | n Sm2O3 NPs@f-CNFs/SPCE | 0.02–387.2 | 0.00261 | - | - | [19] |
| SDLSV | o f-NC2/GCE | 0.2–100 | 0.02 | 4.17 | 86.64% (30 days) | This work |
Publisher’s Note: MDPI stays neutral with regard to jurisdictional claims in published maps and institutional affiliations. |
© 2022 by the authors. Licensee MDPI, Basel, Switzerland. This article is an open access article distributed under the terms and conditions of the Creative Commons Attribution (CC BY) license (https://creativecommons.org/licenses/by/4.0/).
Share and Cite
Wang, B.; He, Q.; Li, G.; Long, Y.; Zhang, G.; Liu, H.; Liu, J. Sensitive Determination of Trace 4-Nitrophenol in Ambient Environment Using a Glassy Carbon Electrode Modified with Formamide-Converted Nitrogen-Doped Carbon Materials. Int. J. Mol. Sci. 2022, 23, 12182. https://doi.org/10.3390/ijms232012182
Wang B, He Q, Li G, Long Y, Zhang G, Liu H, Liu J. Sensitive Determination of Trace 4-Nitrophenol in Ambient Environment Using a Glassy Carbon Electrode Modified with Formamide-Converted Nitrogen-Doped Carbon Materials. International Journal of Molecular Sciences. 2022; 23(20):12182. https://doi.org/10.3390/ijms232012182
Chicago/Turabian StyleWang, Bing, Quanguo He, Guangli Li, Yaohang Long, Gongyou Zhang, Hongmei Liu, and Jun Liu. 2022. "Sensitive Determination of Trace 4-Nitrophenol in Ambient Environment Using a Glassy Carbon Electrode Modified with Formamide-Converted Nitrogen-Doped Carbon Materials" International Journal of Molecular Sciences 23, no. 20: 12182. https://doi.org/10.3390/ijms232012182
APA StyleWang, B., He, Q., Li, G., Long, Y., Zhang, G., Liu, H., & Liu, J. (2022). Sensitive Determination of Trace 4-Nitrophenol in Ambient Environment Using a Glassy Carbon Electrode Modified with Formamide-Converted Nitrogen-Doped Carbon Materials. International Journal of Molecular Sciences, 23(20), 12182. https://doi.org/10.3390/ijms232012182

