Dominant and Priming Role of Waterlogging in Tomato at e[CO2] by Multivariate Analysis
Abstract
1. Introduction
2. Results
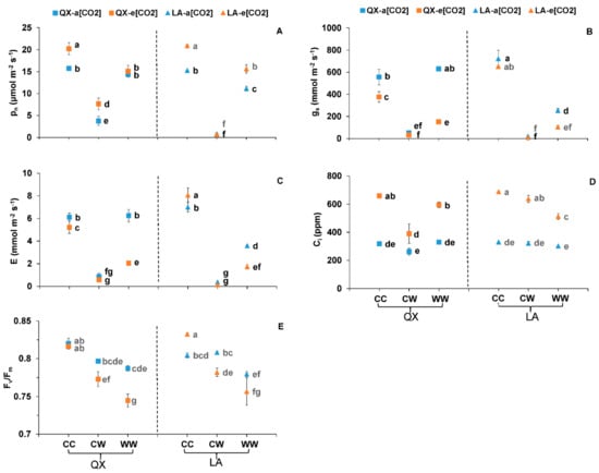
2.1. The Effects of Waterlogging and e[CO2] on Tomato in the First-Round Treatment
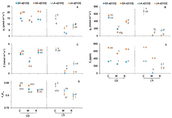
2.2. The Effects of Waterlogging Priming and Memory on Tomato in the Second-Round Treatment
2.3. Hierarchical Clustering and PCA of All Measured Parameters
3. Discussion
3.1. Complex and Distinct Response of Two Tomato Genotypes to e[CO2] When Interacted with Repeated Waterlog
3.2. Waterlogging Priming Enhanced Stress Tolerance and Waterlogging Played Dominant Effects
4. Materials and Methods
4.1. Plant Growth Conditions
4.2. Measurements
4.3. Data Analysis
Supplementary Materials
Author Contributions
Funding
Institutional Review Board Statement
Informed Consent Statement
Data Availability Statement
Conflicts of Interest
References
- IPCC. Climate Change 2014: Synthesis Report. Contribution of working groups I, II and III to the Fifth Assessment Report of the Intergovernmental Panel on Climate Change. IPCC: Geneva, Switzerland, 2014. [Google Scholar]
- Bhargava, S.; Mitra, S. Elevated atmospheric CO2 and the future of crop plants. Plant Breed. 2021, 140, 1–11. [Google Scholar] [CrossRef]
- Sasidharan, R.; Voesenek, L.A.; Perata, P. Plant performance and food security in a wetter world. New Phytol. 2021, 229, 5–7. [Google Scholar] [CrossRef]
- Bailey-Serres, J.; Colmer, T.D. Plant tolerance of flooding stress—recent advances. Plant Cell Environ. 2014, 37, 2211–2215. [Google Scholar] [CrossRef] [PubMed]
- Bradford, K.J.; Hsiao, T.C. Stomatal Behavior and Water Relations of Waterlogged Tomato Plants. Plant Physiol. 1982, 70, 1508–1513. [Google Scholar] [CrossRef]
- Tripp, K.E.; Peet, M.M.; Pharr, D.M.; Willits, D.H.; Nelson, P.V. CO2-enhanced yield and foliar deformation among tomato genotypes in elevated CO2 environments. Plant Physiol. 1991, 96, 713–719. [Google Scholar] [CrossRef] [PubMed]
- Pritchard, S.G.; Rogers, H.H.; Prior, S.A.; Peterson, C.M. Elevated CO2 and plant structure: A review. Glob. Change Biol. 1999, 5, 807–837. [Google Scholar] [CrossRef]
- Ahsan, N.; Lee, D.-G.; Lee, S.-H.; Kang, K.Y.; Bahk, J.D.; Choi, M.S.; Lee, B.-H. A comparative proteomic analysis of tomato leaves in response to waterlogging stress. Physiol. Plant. 2007, 131, 555–570. [Google Scholar] [CrossRef] [PubMed]
- Ahsan, N.; Lee, D.-G.; Lee, S.-H.; Lee, K.-W.; Bahk, J.D.; Lee, B.-H. A proteomic screen and identification of waterlogging-regulated proteins in tomato roots. Plant Soil 2007, 295, 37–51. [Google Scholar] [CrossRef]
- Manik, S.M.N.; Pengilley, G.; Dean, G.; Field, B.; Shabala, S.; Zhou, M. Soil and Crop Management Practices to Minimize the Impact of Waterlogging on Crop Productivity. Front. Plant Sci. 2019, 10, 140. [Google Scholar] [CrossRef] [PubMed]
- Arenque, B.C.; Grandis, A.; Pocius, O.; De Souza, A.P.; Buckeridge, M.S. Responses of Senna reticulata, a legume tree from the Amazonian floodplains, to elevated atmospheric CO2 concentration and waterlogging. Trees 2014, 28, 1021–1034. [Google Scholar] [CrossRef]
- Pérez-Jiménez, M.; Hernández-Munuera, M.; Piñero, M.C.; López-Ortega, G.; Del Amor, F.M. Are commercial sweet cherry rootstocks adapted to climate change? Short-term waterlogging and CO2 effects on sweet cherry cv. ‘Burlat’. Plant Cell Environ. 2018, 41, 908–918. [Google Scholar] [CrossRef] [PubMed]
- Zhou, R.; Wan, H.; Jiang, F.; Li, X.; Yu, X.; Rosenqvist, E.; Ottosen, C.-O. The Alleviation of Photosynthetic Damage in Tomato under Drought and Cold Stress by High CO2 and Melatonin. Int. J. Mol. Sci. 2020, 21, 5587. [Google Scholar] [CrossRef] [PubMed]
- Li, C.; Jiang, D.; Wollenweber, B.; Li, Y.; Dai, T.; Cao, W. Waterlogging pretreatment during vegetative growth improves tolerance to waterlogging after anthesis in wheat. Plant Sci. 2011, 180, 672–678. [Google Scholar] [CrossRef] [PubMed]
- Wang, X.; Huang, M.; Zhou, Q.; Cai, J.; Dai, T.; Cao, W.; Jiang, D. Physiological and proteomic mechanisms of waterlogging priming improves tolerance to waterlogging stress in wheat (Triticum aestivum L.). Environ. Exp. Bot. 2016, 132, 175–182. [Google Scholar] [CrossRef]
- Lukić, N.; Kukavica, B.; Davidović-Plavšić, B.; Hasanagić, D.; Walter, J. Plant stress memory is linked to high levels of anti-oxidative enzymes over several weeks. Environ. Exp. Bot. 2020, 178, 104166. [Google Scholar] [CrossRef]
- Elkelish, A.A.; Alhaithloul, H.A.S.; Qari, S.H.; Soliman, M.H.; Hasanuzzaman, M. Pretreatment with Trichoderma harzianum alleviates waterlogging-induced growth alterations in tomato seedlings by modulating physiological, biochemical, and molecular mechanisms. Environ. Exp. Bot. 2020, 171, 103946. [Google Scholar] [CrossRef]
- Zhou, R.; Yu, X.; Song, X.; Rosenqvist, E.; Wan, H.; Ottosen, C.-O. Salinity, waterlogging, and elevated [CO2] interact to induce complex responses in cultivated and wild tomato. J. Exp. Bot. 2022, 73, 5252–5263. [Google Scholar] [CrossRef] [PubMed]
- Eller, F.; Hyldgaard, B.; Driever, S.M.; Ottosen, C.-O. Inherent trait differences explain wheat cultivar responses to climate factor interactions: New insights for more robust crop modelling. Glob. Chang. Biol. 2020, 26, 5965–5978. [Google Scholar] [CrossRef] [PubMed]
- Dietze, M.C. Gaps in knowledge and data driving uncertainty in models of photosynthesis. Photosynth. Res. 2014, 119, 3–14. [Google Scholar] [CrossRef] [PubMed]
- Fred, A.L.B.; Thaline, M.P.; Karla, G.; Agustin, Z.; Dimas, M.R. Crop exposure to salinity stress under elevated CO2: Responses in physiological, biochemical, and molecular levels. In Sustainable Crop Productivity and Quality Under Climate Change; Academic Press: Cambridge, MA, USA, 2022; pp. 73–89. [Google Scholar]
- Christy, B.; Tausz-Posch, S.; Tausz, M.; Richards, R.; Rebetzke, G.; Condon, A.; O’Leary, G. Benefits of in-creasing transpiration efficiency in wheat under elevated CO2 for rainfed regions. Glob. Change Biol. 2018, 24, 1965–1977. [Google Scholar] [CrossRef] [PubMed]
- Ainsworth, E.A.; Davey, P.A.; Hymus, G.J.; Osborne, C.P.; Rogers, A.; Blum, H.; Long, S.P. Is stimulation of leaf photosynthesis by elevated carbon dioxide concentration maintained in the long term? A test with Lolium perenne grown for 10 years at two nitrogen fertilization levels under free air CO2 enrichment (FACE). Plant Cell Environ. 2003, 26, 705–714. [Google Scholar] [CrossRef]
- Zhou, W.; Chen, F.; Meng, Y.; Chandrasekaran, U.; Luo, X.; Yang, W.; Shu, K. Plant waterlogging/flooding stress responses: From seed germination to maturation. Plant Physiol. Biochem. 2020, 148, 228–236. [Google Scholar] [CrossRef] [PubMed]
- Yan, K.; Zhao, S.; Cui, M.; Han, G.; Wen, P. Vulnerability of photosynthesis and photosystem I in Jerusalem artichoke (Helianthus tuberosus L.) exposed to waterlogging. Plant Physiol. Biochem. 2018, 125, 239–246. [Google Scholar] [CrossRef] [PubMed]
- Salah, A.; Zhan, M.; Cao, C.; Han, Y.; Ling, L.; Liu, Z.; Jiang, Y. γ-Aminobutyric acid promotes chloroplast ultrastructure, antioxidant capacity, and growth of waterlogged maize seedlings. Sci. Rep. 2019, 9, 484. [Google Scholar] [CrossRef] [PubMed]
- Colmer, T.D.; Pedersen, O. Underwater photosynthesis and respiration in leaves of submerged wetland plants: Gas films improve CO2 and O2 exchange. New Phytol. 2007, 177, 918–926. [Google Scholar] [CrossRef]
- Vázquez, D.P.; Gianoli, E.; Morris, W.F.; Bozinovic, F. Ecological and evolutionary impacts of changing climatic variability. Biol. Rev. 2017, 92, 22–42. [Google Scholar] [CrossRef]
- Aspinwall, M.J.; Loik, M.E.; Resco de Dios, V.; Tjoelker, M.G.; Payton, P.R.; Tissue, D.T. Utilizing intraspecific variation in phenotypic plasticity to bolster agricultural and forest productivity under climate change. Plant Cell Environ. 2015, 38, 1752–1764. [Google Scholar] [CrossRef]
- Von Caemmerer, S.; Farquhar, G.D. Some relationships between the biochemistry of photosynthesis and the gas exchange of leaves. Planta 1981, 153, 376–387. [Google Scholar] [CrossRef]
- Wang, X.; Liu, F.L.; Jiang, D. Priming: A promising strategy for crop production in response to future climate. J. Integr. Agric. 2017, 16, 2709–2716. [Google Scholar] [CrossRef]
- Agualongo, D.A.P.; Da-Silva, C.J.; Garcia, N.; de Oliveira, F.K.; Shimoia, E.P.; Posso, D.A.; do Amarante, L. Waterlogging priming alleviates the oxidative damage, carbohydrate consumption, and yield loss in soybean (Glycine max) plants exposed to waterlogging. Funct. Plant Biol. 2022. [Google Scholar] [CrossRef]
- Asseng, S.; Ewert, F.; Rosenzweig, C.; Jones, J.W.; Hatfield, J.L.; Ruane, A.C.; Boote, K.; Thorburn, P.J.; Rötter, R.; Cammarano, D.; et al. Uncertainty in simulating wheat yields under climate change. Nat. Clim. Chang. 2013, 3, 827–832. [Google Scholar] [CrossRef]
- Ewert, F.; Rötter, R.P.; Bindi, M.; Webber, H.; Trnka, M.; Kersebaum, K.; Olesen, J.; van Ittersum, M.; Janssen, S.; Rivington, M.; et al. Crop modelling for integrated assessment of risk to food production from climate change. Environ. Model. Softw. 2015, 72, 287–303. [Google Scholar] [CrossRef]
- Hansen, E.M.; Hauggaard-Nielsen, H.; Launay, M.; Rose, P.; Mikkelsen, T.N. The impact of ozone exposure, temper ature and CO2 on the growth and yield of three spring wheat varieties. Environ. Exp. Bot. 2019, 168, 103868. [Google Scholar] [CrossRef]






indicated non-significant change.
indicated non-significant change.

| Main Factors | Interactions | ||||||
|---|---|---|---|---|---|---|---|
| Parameters | G | [CO2] | Water | G × [CO2] | G × Water | [CO2] × Water | G × [CO2] × Water |
| pn | ** | ** | ** | * | ** | ns | ** |
| gS | ** | ns | ** | ns | ** | ns | ns |
| E | ** | ns | ** | ns | ** | ns | ** |
| Ci | ** | ** | ** | ** | ** | ** | ** |
| Fv/Fm | ** | ns | ** | * | * | ns | ns |
| NBI | ** | * | ** | ns | ** | ns | ns |
| Chl | ns | * | ns | ns | ** | ns | ns |
| Flav | ns | ns | ns | ns | ** | ns | ns |
| Anth | * | ns | ** | ns | ** | ns | ns |
| Plant height | * | ns | ns | ns | ns | ns | ns |
| Internode length | ** | ns | ns | ns | ns | ns | ns |
| Leaf number | ** | ns | ** | ns | * | ns | ns |
| Leaf area | ** | ns | ** | ns | ns | ns | ns |
| Aboveground FW | ** | ns | ** | ns | ns | * | ns |
| Aboveground DW | ** | ns | ** | * | ns | * | ns |
| Main Factors | Interactions | ||||||
|---|---|---|---|---|---|---|---|
| Parameters | G | [CO2] | Water | G × [CO2] | G × Water | [CO2] × Water | G × [CO2] × Water |
| pn | ** | ** | ** | ns | ** | * | ** |
| gS | ns | ** | ** | ** | ** | ** | ** |
| E | ns | ** | ** | ** | ** | ** | * |
| Ci | * | ** | ** | ns | ** | ** | ** |
| Fv/Fm-first leaf | ns | ** | ** | ns | ns | ** | ns |
| NPQ | * | ns | ** | ns | ** | ns | ns |
| qL | * | ns | ** | ns | ns | ns | ns |
| ETR | * | ns | ** | ns | ns | ** | * |
| Fq′/Fm′ | * | ns | ** | ns | ns | ** | * |
| NBI-first leaf | ** | ns | ** | ns | ** | ** | ns |
| Chl-first leaf | ** | ns | ** | ns | ns | * | ns |
| Flav-first leaf | ns | ns | ** | ns | ** | ns | ns |
| Anth-first leaf | ** | * | ** | ns | ns | * | ns |
| NBI-last leaf | ** | ** | ** | ns | ** | ** | ** |
| Chl-last leaf | ** | * | ** | ns | ** | ns | ns |
| Flav-last leaf | ** | ns | ** | ns | ** | ns | ** |
| Anth-last leaf | ** | * | ** | ns | ** | ns | ns |
| Plant height | ns | ns | ** | ns | * | ns | ns |
| Internode length | ** | ns | ns | ns | ns | ns | ns |
| Leaf number | ** | ns | ** | ns | ** | ns | ** |
| Leaf area | ** | ns | ** | * | ns | ns | ns |
| Aboveground FW | ** | ns | ** | ns | ** | ns | ns |
| Aboveground DW | ** | ns | ** | ns | ns | ns | ns |
| Inflorescence number | ** | ** | ** | ** | ns | ns | ns |
| Component | |||
|---|---|---|---|
| Parameters | PC1 | PC2 | PC3 |
| pn | 0.970 | −0.200 | −0.079 |
| gS | 0.905 | 0.314 | 0.247 |
| E | 0.949 | 0.194 | 0.168 |
| Ci | 0.763 | −0.109 | −0.437 |
| Fv/Fm | 0.756 | −0.045 | 0.075 |
| NBI | 0.861 | 0.250 | 0.237 |
| Chl | 0.600 | 0.535 | −0.508 |
| Flav | 0.460 | 0.004 | −0.808 |
| Anth | −0.842 | −0.180 | 0.418 |
| Plant height | −0.337 | 0.747 | 0.490 |
| Internode length | −0.045 | −0.962 | −0.051 |
| Leaf number | 0.145 | 0.962 | 0.051 |
| Leaf area | 0.849 | −0.182 | 0.490 |
| Aboveground FW | 0.808 | −0.406 | 0.387 |
| Aboveground DW | 0.816 | −0.361 | 0.271 |
| % of Variance | 53.441 | 22.063 | 14.280 |
| Cumulative % | 53.441 | 75.503 | 89.783 |
| Component | |||||
|---|---|---|---|---|---|
| Parameters | PC1 | PC2 | PC3 | PC4 | PC5 |
| Pn | 0.655 | 0.710 | 0.096 | −0.200 | −0.011 |
| gS | 0.740 | 0.420 | 0.177 | 0.350 | 0.217 |
| E | 0.780 | 0.453 | 0.217 | 0.261 | 0.187 |
| Ci | −0.005 | 0.165 | 0.470 | −0.799 | 0.221 |
| Fv/Fm-first leaf | 0.776 | −0.327 | 0.310 | 0.313 | 0.145 |
| Fv/Fm-last leaf | 0.615 | 0.423 | −0.214 | 0.231 | −0.483 |
| NBI-first leaf | 0.807 | −0.512 | −0.204 | −0.129 | 0.000 |
| Chl-first leaf | 0.791 | −0.260 | −0.353 | −0.087 | 0.038 |
| Flav-first leaf | −0.587 | 0.769 | −0.017 | 0.005 | 0.078 |
| Anth-first leaf | −0.851 | 0.486 | 0.101 | −0.063 | −0.066 |
| NBI-last leaf | 0.954 | 0.122 | −0.132 | −0.188 | −0.129 |
| Chl-last leaf | 0.909 | 0.307 | −0.122 | −0.180 | −0.124 |
| Flav-last leaf | −0.852 | 0.029 | 0.136 | 0.034 | 0.434 |
| Anth-last leaf | −0.769 | −0.426 | 0.268 | 0.185 | 0.305 |
| NPQ | −0.608 | −0.331 | −0.427 | 0.131 | −0.065 |
| qL | 0.889 | 0.387 | 0.032 | 0.062 | 0.200 |
| ETR | 0.928 | 0.246 | 0.135 | 0.039 | 0.189 |
| Fq′/Fm′ | 0.929 | 0.246 | 0.144 | 0.038 | 0.185 |
| Plant height | 0.821 | −0.154 | 0.390 | 0.060 | −0.238 |
| Internode length | 0.606 | 0.026 | −0.609 | 0.114 | 0.264 |
| Leaf number | 0.181 | −0.246 | 0.915 | 0.196 | −0.105 |
| Leaf area | 0.866 | −0.462 | 0.065 | −0.038 | 0.077 |
| Aboveground FW | 0.851 | −0.454 | −0.173 | −0.110 | 0.074 |
| Aboveground DW | 0.846 | −0.473 | −0.021 | −0.186 | 0.071 |
| Inflorescence number | 0.057 | −0.186 | 0.938 | −0.036 | −0.223 |
| % of Variance | 54.306 | 16.337 | 13.317 | 5.313 | 4.229 |
| Cumulative % | 54.306 | 70.643 | 83.959 | 89.272 | 93.501 |
Publisher’s Note: MDPI stays neutral with regard to jurisdictional claims in published maps and institutional affiliations. |
© 2022 by the authors. Licensee MDPI, Basel, Switzerland. This article is an open access article distributed under the terms and conditions of the Creative Commons Attribution (CC BY) license (https://creativecommons.org/licenses/by/4.0/).
Share and Cite
Zhou, R.; Jiang, F.; Yu, X.; Abdelhakim, L.; Li, X.; Rosenqvist, E.; Ottosen, C.-O.; Wu, Z. Dominant and Priming Role of Waterlogging in Tomato at e[CO2] by Multivariate Analysis. Int. J. Mol. Sci. 2022, 23, 12121. https://doi.org/10.3390/ijms232012121
Zhou R, Jiang F, Yu X, Abdelhakim L, Li X, Rosenqvist E, Ottosen C-O, Wu Z. Dominant and Priming Role of Waterlogging in Tomato at e[CO2] by Multivariate Analysis. International Journal of Molecular Sciences. 2022; 23(20):12121. https://doi.org/10.3390/ijms232012121
Chicago/Turabian StyleZhou, Rong, Fangling Jiang, Xiaqing Yu, Lamis Abdelhakim, Xiangnan Li, Eva Rosenqvist, Carl-Otto Ottosen, and Zhen Wu. 2022. "Dominant and Priming Role of Waterlogging in Tomato at e[CO2] by Multivariate Analysis" International Journal of Molecular Sciences 23, no. 20: 12121. https://doi.org/10.3390/ijms232012121
APA StyleZhou, R., Jiang, F., Yu, X., Abdelhakim, L., Li, X., Rosenqvist, E., Ottosen, C.-O., & Wu, Z. (2022). Dominant and Priming Role of Waterlogging in Tomato at e[CO2] by Multivariate Analysis. International Journal of Molecular Sciences, 23(20), 12121. https://doi.org/10.3390/ijms232012121

