Photoresponsive Metal-Organic Frameworks as Adjustable Scaffolds in Reticular Chemistry
Abstract
:1. Introduction
2. Azobenzene-Based MOFs
3. Diarylethene-Based MOFs
4. Spiropyran-Based MOFs
5. DASA-Based MOFs
6. Molecular Motor-Based MOFs
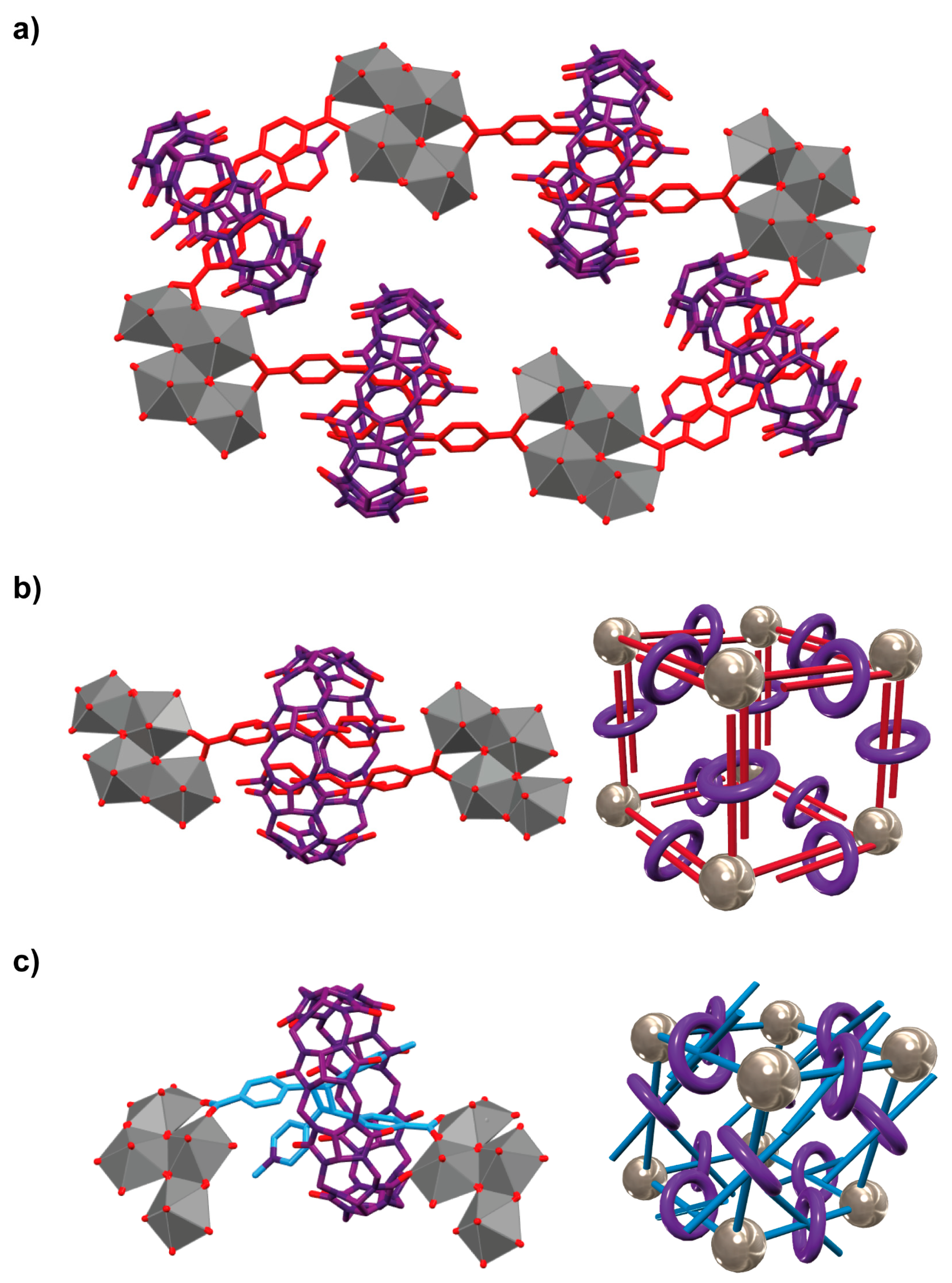
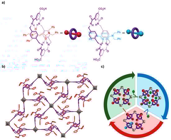
7. Interlocked Fumaramide-Based MOFs
8. Interlocked Styrylpyridinium Derivatives
9. General Remarks
10. Summary and Outlook
Funding
Institutional Review Board Statement
Informed Consent Statement
Data Availability Statement
Acknowledgments
Conflicts of Interest
References
- Zhou, H.-C.; Long, J.R.; Yaghi, O.M. Introduction to metal-organic frameworks. Chem. Rev. 2012, 112, 673–674. [Google Scholar] [CrossRef] [PubMed]
- Furukawa, H.; Cordova, K.E.; O’Keeffe, M.; Yaghi, O.M. The chemistry and applications of metal-organic frameworks. Science 2013, 341, 1230444. [Google Scholar] [CrossRef] [PubMed] [Green Version]
- Zhou, H.-C.; Kitagawa, S. Metal-organic frameworks (MOFs). Chem. Soc. Rev. 2014, 43, 5415–5418. [Google Scholar] [CrossRef] [PubMed] [Green Version]
- Freund, R.; Canossa, S.; Cohen, S.M.; Yan, W.; Deng, H.; Guillerm, V.; Eddaoudi, M.; Madden, D.G.; Fairen-Jimenez, D.; Lyu, H.; et al. 25 years of reticular chemistry. Angew. Chem. Int. Ed. 2021, 60, 23946–23974. [Google Scholar] [CrossRef] [PubMed]
- Chen, Z.; Wasson, M.C.; Drout, R.J.; Robison, L.; Idrees, K.B.; Knapp, J.G.; Son, F.S.; Zhang, X.; Hierse, W.; Kühn, C.; et al. The state of the field: From inception to commercialization of metal-organic frameworks. Faraday Discuss. 2021, 225, 9–69. [Google Scholar] [CrossRef] [PubMed]
- Raptopoulou, C.P. Metal-organic frameworks: Synthetic methods and potential applications. Materials 2021, 14, 310. [Google Scholar] [CrossRef]
- Zhang, M.; Bosch, M.; Gentle III, T.; Zhou, H.-C. Rational design of metal-organic frameworks with anticipated porosities and functionalities. CrystEngComm. 2014, 16, 4069–4083. [Google Scholar] [CrossRef] [Green Version]
- Ejsmont, A.; Andreo, J.; Lanza, A.; Galarda, A.; Macreadie, L.; Wuttke, S.; Canossa, S.; Ploetz, E.; Goscianska, J. Applications of reticular diversity in metal-orgnic frameworks: An ever-evolving state of the art. Coord. Chem. Rev. 2021, 430, 213655. [Google Scholar] [CrossRef]
- Yaghi, O.M. Reticular chemistry-construction, properties, and precision reactions of frameworks. J. Am. Chem. Soc. 2016, 138, 15507–15509. [Google Scholar] [CrossRef] [Green Version]
- Yaghi, O.M. Reticular chemistry in all dimensions. ACS. Cent. Sci. 2019, 5, 1295–1300. [Google Scholar] [CrossRef] [Green Version]
- Jiang, H.; Alezi, D.; Eddaoudi, M. A reticular chemistry guide for the design of periodic solids. Nat. Rev. Mat. 2021, 6, 466–487. [Google Scholar] [CrossRef]
- Chen, Z.; Kirlikovali, K.O.; Li, P.; Farha, O.M. Reticular chemistry for highly porous metal-organic frameworks: The chemistry and applications. Acc. Chem. Res. 2022, 55, 579–591. [Google Scholar] [CrossRef] [PubMed]
- Lee, J.; Farha, O.M.; Roberts, J.; Scheidt, K.A.; Nguyen, S.T.; Hupp, J.T. Metal-organic framework materials as catalysts. Chem. Soc. Rev. 2009, 38, 1450–1459. [Google Scholar] [CrossRef] [PubMed]
- Pascanu, V.; González, M.G.; Inge, A.K.; Martín-Matute, B. Metal-organic frameworks as catalysts for organic synthesis: A critical perspective. J. Am. Chem. Soc. 2019, 141, 7223–7234. [Google Scholar] [CrossRef] [Green Version]
- Kadirov, M.K.; Minzanova, S.T.; Nizameev, I.R.; Khrizanforov, M.N.; Mironova, L.G.; Kholin, K.V.; Kadirov, D.M.; Nefed‘ev, E.S.; Morozov, M.V.; Gubaidullin, A.T.; et al. A nickel-based pectin metal-organic framework as a hydrogen oxidation reaction catalyst for proton-exchange-membrane fuel cells. ChemistrySelect 2019, 4, 4731–4734. [Google Scholar] [CrossRef]
- Yang, D.; Gates, B.C. Catalysis by metal organic frameworks: Perspective and suggestions for future research. ACS Catal. 2019, 9, 1779–1798. [Google Scholar] [CrossRef]
- Khrizanforova, V.; Shekurov, R.; Miluykov, V.; Khrizanforov, M.; Bon, V.; Kaskel, S.; Gubaidullin, A.; Sinyashin, O.; Budnikova, Y. 3D Ni and Co redox-active metal-organic frameworks based on ferrocenyl diphosphinate and 4,4′-bipyridine ligands as efficient electrocatalysts for the hydrogen evolution reaction. Dalton Trans. 2020, 49, 2794–2802. [Google Scholar] [CrossRef]
- López-Magano, A.; Jiménez-Almarza, A.; Alemán, J.; Mas-Ballesté, R. Metal-organic frameworks (MOFs) and covalent organic frameworks (COFs) applied to photocatalytic organic transformations. Catalysts 2020, 10, 720. [Google Scholar] [CrossRef]
- Cirujano, F.G.; Luque, R.; Dhakshinamoorthy, A. Metal-organic frameworks as versatile heterogeneous solid catalysts for Henry reactions. Molecules 2021, 26, 1445. [Google Scholar] [CrossRef]
- Kim, H.; Yang, S.; Rao, S.R.; Narayanan, S.; Kapustin, E.A.; Furukawa, H.; Umans, A.S.; Yaghi, O.M.; Wang, E.N. Water harvesting from air with metal-organic frameworks powered by natural sunlight. Science 2017, 356, 430–434. [Google Scholar] [CrossRef] [Green Version]
- Kalmutzki, M.J.; Diercks, C.S.; Yaghi, O.M. Metal-organic frameworks for water harvesting from air. Adv. Mat. 2018, 30, 1704304. [Google Scholar] [CrossRef] [PubMed]
- Hanikel, N.; Prévot, M.S.; Yaghi, O.M. MOF water harvesters. Nat. Nanotechnol. 2020, 15, 348–355. [Google Scholar] [CrossRef] [PubMed]
- Xu, W.; Yaghi, O.M. Metal-organic frameworks for water harvesting from air, anywhere, anytime. ACS. Cent. Sci. 2020, 6, 1348–1354. [Google Scholar] [CrossRef] [PubMed]
- Chen, J.; Zhu, Y.; Kaskel, S. Porphyrin-based metal-organic frameworks for biomedical applications. Angew. Chem. Int. Ed. 2021, 60, 5010–5035. [Google Scholar] [CrossRef] [Green Version]
- Qiu, Y.; Tan, G.; Fang, Y.; Liu, S.; Zhou, Y.; Kumar, A.; Trivedi, M.; Liu, D.; Liu, J. Biomedical applications of metal-organic framework (MOF)-based nano-enzymes. New. J. Chem. 2021, 45, 20987–21000. [Google Scholar] [CrossRef]
- Bieniek, A.; Wisniewski, M.; Czarnecka, J.; Wierzbicki, J.; Zietek, M.; Nowacki, M.; Grzanka, D.; Kloskowski, T.; Roszek, K. Porphyrin based 2D-MOF structures as dual-kinetic sorafenib nanocarriers for hepatoma treatment. Int. J. Mol. Sci. 2021, 22, 11161. [Google Scholar] [CrossRef]
- Heinke, L.; Tu, M.; Wannapaiboon, S.; Fischer, R.A.; Wöll, C. Surface-mounted metal-organic frameworks for applications in sensing and separation. Microporous Mesoporous Mater. 2015, 216, 200–215. [Google Scholar] [CrossRef]
- Koo, W.-T.; Jang, J.-S.; Kim, I.-D. Metal-organic frameworks for chemiresistive sensors. Chem 2019, 5, 1938–1963. [Google Scholar] [CrossRef]
- Li, H.-Y.; Zhao, S.-N.; Zang, S.-Q.; Li, J. Functional metal-organic frameworks as effective sensors of gases and volatile compounds. Chem. Soc. Rev. 2020, 49, 6364–6401. [Google Scholar] [CrossRef]
- Chang, L.-M.; Li, Q.; Weidler, P.; Gu, Z.-G.; Wöll, C.; Zhang, J. Surface-oriented assembly of cyclodextrin metal-organic framework film for enhanced peptide-enantiomers sensing. CCS Chem. 2022. [Google Scholar] [CrossRef]
- Helal, A.; Yamani, Z.H.; Cordova, K.E.; Yaghi, O.M. Multivariate metal-organic frameworks. Nat. Sci. Rev. 2017, 4, 296–298. [Google Scholar] [CrossRef]
- Burtch, N.C.; Heinen, J.; Bennett, T.D.; Dubbeldam, D.; Allendorf, M.D. Mechanical properties in metal-organic frameworks: Emerging opportunities and challenges for device functionality and technological applications. Adv. Mater. 2017, 30, 1704124. [Google Scholar] [CrossRef] [PubMed]
- Masoomi, M.Y.; Morsali, A.; Dhakshinamoorthy, A.; Garcia, H. Mixed-metal MOFs: Unique opportunities in metal-organic framework (MOF) functionality and design. Angew. Chem. Int. Ed. 2019, 131, 15330–15347. [Google Scholar] [CrossRef]
- Belver, C.; Bedia, J. Metal organic frameworks for advanced applications. Catalysts 2021, 11, 648. [Google Scholar] [CrossRef]
- Nargarkar, S.S.; Desai, A.V.; Ghosh, S.K. Stimulus-responsive metal-organic frameworks. Chem. Asian. J. 2014, 9, 2358–2376. [Google Scholar] [CrossRef]
- Liu, Z.; Zhang, L.; Sun, D. Stimuli-responsive structural changes in metal-organic frameworks. Chem. Commun. 2020, 56, 9416–9432. [Google Scholar] [CrossRef]
- Li, C.; Wang, K.; Li, J.; Zhang, Q. Recent progress in stimulus-responsive two-dimensional metal-organic frameworks. ACS Mater. Lett. 2020, 2, 779–797. [Google Scholar] [CrossRef]
- Wei, M.; Wan, Y.; Zhang, X. Metal-organic frameworks-based stimuli-responsive polymers. J. Compos. Sci. 2021, 5, 101. [Google Scholar] [CrossRef]
- Chattopadhyay, K.; Mandal, M.; Maiti, D.K. Smart metal-organic frameworks for biotechnological applications: A minireview. ACS Appl. Bio. Mater. 2021, 4, 8159–8171. [Google Scholar] [CrossRef]
- Yan, D.; Wang, Z.; Zhang, Z. Stimuli-responsive crystalline smart materials: From rational design and fabrication to applications. Acc. Chem. Res. 2022, 55, 1047–1058. [Google Scholar] [CrossRef]
- Zhang, X.; Chen, Z.; Liu, X.; Hanna, S.L.; Wang, X.; Taheri-Ledari, R.; Maleki, A.; Li, P.; Farha, O.K. A historical overview of the activation and porosity of metal-organic frameworks. Chem. Soc. Rev. 2020, 49, 7406–7427. [Google Scholar] [CrossRef] [PubMed]
- Ji, Z.; Wang, H.; Canossa, S.; Wuttke, S.; Yaghi, O.M. Pore chemistry of metal-organic frameworks. Adv. Funct. Mater. 2020, 30, 2000238. [Google Scholar] [CrossRef]
- Zhang, X.; Yu, T.; Au, V.K.-M. Photoresponsive metal-organic frameworks: Tailorable platforms of photoswitches for advanced functions. ChemNanoMat 2022, 8, e202100486. [Google Scholar] [CrossRef]
- Jones, C.L.; Tansell, A.J.; Easun, T.L. The lighter side of MOFs: Structurally photoresponsive metal-organic frameworks. J. Mater. Chem. A 2016, 4, 6714–6723. [Google Scholar]
- Castellanos, S.; Kapteijn, F.; Gascon, J. Photoswitchable metal organic frameworks: Turn on the lights and close the windows. CrystEngComm 2016, 18, 4006–4012. [Google Scholar] [CrossRef] [Green Version]
- Haldar, R.; Heinke, L.; Wöll, C. Advanced photoresponsive materials using the metal-organic framework approach. Adv. Mater. 2020, 32, 1905227. [Google Scholar] [CrossRef] [PubMed] [Green Version]
- Bandara, H.M.; Burdette, S.C. Photoisomerization in different classes of azobenzene. Chem. Soc. Rev. 2012, 41, 1809–1825. [Google Scholar] [CrossRef]
- Cheng, H.-B.; Zhang, S.; Bai, E.; Cao, X.; Wang, J.; Qi, J.; Liu, J.; Zhao, J.; Zhang, L.; Yoon, J. Future-oriented advanced diarylethene photoswitches: From molecular design to spontaneous assembly systems. Adv. Mater. 2022, 34, 2108289. [Google Scholar] [CrossRef]
- Kortekaas, L.; Browne, W.R. The evolution of spiropyran: Fundamentals and progress of an extraordinary versatile photochrome. Chem. Soc. Rev. 2019, 48, 3406–3424. [Google Scholar]
- Duan, Y.; Zhao, H.; Xiong, C.; Mao, L.; Wang, D.; Zheng, Y. Learning from spiropyrans: How to make further developments of donor-acceptor Stenhouse adducts. Chin. J. Chem. 2020, 39, 985–998. [Google Scholar] [CrossRef]
- Pooler, D.R.S.; Lubbe, A.S.; Crespi, S.; Feringa, B.L. Designing light-driven rotary molecular motors. Chem. Sci. 2021, 12, 14964–14986. [Google Scholar] [CrossRef] [PubMed]
- Gatti, F.G.; Leigh, D.A.; Nepogodiev, S.A.; Slawin, A.M.Z.; Teat, S.J.; Wong, J.K.Y. Stiff, and sticky in the right places: The dramatic influence of preorganizing guest binding sites on the hydrogen bond-directed assembly of rotaxanes. J. Am. Chem. Soc. 2001, 123, 5983–5989. [Google Scholar] [CrossRef] [PubMed]
- Geng, J.; Mei, L.; Liang, Y.; Yuan, L.; Yu, J.; Hu, K.; Yuan, L.; Feng, W.; Chai, Z.; Shi, W. Controllable photomechanical bending of metal-organic rotaxane crystals facilitated by regioselective confined-space photodimerization. Nat. Commun. 2022, 13, 2030. [Google Scholar] [CrossRef] [PubMed]
- Mukhopadhyay, R.D.; Praveen, V.K.; Ajayaghosh, A. Photoresponsive metal-organic materials: Exploiting the azobenzene switch. Mater. Hor. 2014, 1, 572–576. [Google Scholar] [CrossRef]
- Tylkowski, B.; Trojanowska, A.; Marturano, V.; Nowak, M.; Marciniak, L.; Giamberini, M.; Ambrogi, V.; Cerruti, P. Power of light-functional complexes based on azobenzene molecules. Coord. Chem. Rev. 2017, 351, 205–217. [Google Scholar] [CrossRef]
- Bozovic, O.; Jankovic, B.; Hamm, P. Using azobenzene photocontrol to set proteins in motion. Nat. Rev. Chem. 2022, 6, 112–124. [Google Scholar] [CrossRef]
- Jerca, F.A.; Jerca, V.V.; Hoogenboom, R. Advances and opportunities in the exciting world of azobenzenes. Nat. Rev. Chem. 2022, 6, 51–69. [Google Scholar] [CrossRef]
- Giles, L.W.; Faul, C.F.J.; Tabor, R.F. Azobenzene isomerization in condensed matter: Lessons for the design of efficient light-responsive soft-matter systems. Mater. Adv. 2021, 2, 4152–4164. [Google Scholar] [CrossRef]
- Brown, J.W.; Henderson, B.L.; Kiesz, M.D.; Whalley, A.C.; Morris, W.; Grunder, S.; Deng, H.; Furukawa, H.; Zink, J.I.; Stoddart, J.F.; et al. Photophysical pore control in an azobenzene-containing metal-organic framework. Chem. Sci. 2013, 4, 2858–2864. [Google Scholar] [CrossRef]
- Lyndon, R.; Konstas, K.; Ladewig, B.P.; Southon, P.D.; Kepert, C.J.; Hill, M.R. Dynamic photo-switching in metal-organic frameworks as a route to low-energy carbon dioxide capture and release. Angew. Chem. Int. Ed. 2013, 52, 3695–3698. [Google Scholar] [CrossRef]
- Jiang, Y.; Shi, X.-C.; Tan, P.; Qi, S.-C.; Gu, C.; Yang, T.; Peng, S.-S.; Liu, X.-Q.; Sun, L.-B. Controllable CO2 capture in metal-organic frameworks: Making targeted active sites respond to light. Ind. Eng. Chem. Res. 2020, 59, 21894–21900. [Google Scholar] [CrossRef]
- Jiang, Y.; Tan, P.; Qi, S.-C.; Liu, X.-Q.; Yan, J.-H.; Fan, F.; Sun, L.-B. Metal-organic frameworks with target-specific active sites switched by photoresponsive motifs: Efficient adsorbents for tailorable CO2 capture. Angew. Chem. Int. Ed. 2019, 58, 6600–6604. [Google Scholar] [CrossRef] [PubMed]
- Geng, J.; Liu, K.; Liang, Y.; Yu, J.; Hu, K.; Yuang, L.-H.; Feng, W.; Chai, Z.; Mei, L.; Shi, W. An azobenzene-modified photoresponsive thorium-organic framework: Monitoring and quantitative analysis of reversible trans-cis photoisomerization. Inorg. Chem. 2021, 60, 8519–8529. [Google Scholar] [CrossRef] [PubMed]
- Pu, S.-Z.; Sun, Q.; Fan, C.-B.; Wang, R.-J.; Liu, G. Recent advances in diarylethene-based multi-responsive molecular switches. J. Mater. Chem. C 2016, 4, 3075–3093. [Google Scholar] [CrossRef]
- Walton, I.M.; Cox, J.M.; Coppin, J.A.; Linderman, C.M.; Patel, D.G.; Benedict, J.B. Photo-responsive MOFs: Light-induced switching of porous single crystals containing a photocromic diarylethene. Chem. Commun. 2013, 49, 8012–8014. [Google Scholar] [CrossRef]
- Patel, D.G.; Walton, I.M.; Cox, J.M.; Gleason, C.J.; Butzer, D.R.; Benedict, J.B. Photoresponsive porous materials: The design and synthesis of photocromic diarylethene-based linkers and a metal-organic framework. Chem. Commun. 2014, 50, 2653–2656. [Google Scholar] [CrossRef]
- Butova, V.V.; Burachevskaya, O.A.; Podshibyakin, V.A.; Shepelenko, E.N.; Tereshchenko, A.A.; Shapovalova, S.O.; Il’in, O.I.; Bren’, V.A.; Soldatov, A.V. Photoswitchable zirconium MOF for light-driven hydrogen storage. Polymers 2021, 13, 4502. [Google Scholar] [CrossRef]
- Sato, H.; Matsui, T.; Chen, Z.; Pirillo, J.; Hijikata, Y.; Aida, T. Photochemically crushable and regenerative metal-organic framework. J. Am. Chem. Soc. 2020, 142, 14069–14073. [Google Scholar] [CrossRef]
- Kobatake, S.; Uchida, K.; Tsuchida, E.; Irie, M. Single-crystalline photochromism in diarylethenes: Reactivity-structure relationship. Chem. Commun. 2002, 2804–2805. [Google Scholar] [CrossRef]
- Fan, C.B.; Liu, Z.Q.; Gong, L.L.; Zheng, A.M.; Zhang, L.; Yan, C.S.; Wu, H.Q.; Feng, X.F.; Luo, F. Photoswitching adsorption selectivity in a diarylethene-azobenzene MOF. Chem. Commun. 2017, 53, 763–766. [Google Scholar] [CrossRef]
- Mustafa, A. The chemistry of spiropyrans. Chem. Rev. 1948, 43, 509–523. [Google Scholar] [CrossRef] [PubMed]
- Rice, A.M.; Martin, C.R.; Galitskiy, V.A.; Berseneva, A.A.; Leith, G.A.; Shustova, N.B. Photophysics modulation in photoswitchable metal-organic frameworks. Chem. Rev. 2020, 120, 8790–8813. [Google Scholar] [CrossRef]
- Kanj, A.B.; Chandresh, A.; Gerwien, A.; Grosjean, S.; Bräse, S.; Wang, Y.; Dube, H.; Heinke, L. Proton-conduction photomodulation in spiropyran-functionalized MOFs with large on-off ratio. Chem. Sci. 2020, 11, 1404–1410. [Google Scholar] [CrossRef] [Green Version]
- Healey, K.; Liang, W.; Southon, P.D.; Church, T.L.; D’Alessandro, D.M. Photoresponsive spiropyran-functionalised MOF-808: Postsynthetic incorporation and light dependent gas adsorption properties. J. Mater. Chem. A 2016, 4, 10816–10819. [Google Scholar] [CrossRef]
- Williams, D.E.; Martin, C.R.; Dolgopolova, E.A.; Swifton, A.; Godfrey, D.C.; Ejegbavwo, O.A.; Pellechia, P.J.; Smith, M.D.; Shustova, N.B. Flipping the switch: Fast photoisomerization in a confined environment. J. Am. Chem. Soc. 2018, 140, 7611–7622. [Google Scholar] [CrossRef]
- Martin, C.R.; Leith, G.A.; Kittikhunnatham, P.; Park, K.C.; Ejegbavwo, O.A.; Mathur, A.; Callahan, C.R.; Desmond, S.L.; Keener, M.R.; Ahmed, F.; et al. Heteromettalic actinide-containing photoresponsive metal-organic frameworks: Dynamic and static tuning of electronic properties. Angew. Chem. Int. Ed. 2021, 60, 8072–8080. [Google Scholar] [CrossRef]
- Shepherd, N.D.; Moore, H.S.; Beves, J.E.; D’Alessandro, D.M. Electrochemical switching of first-generation donor-acceptor Stenhouse adducts (DASAs): An alternative stimulus for triene cyclisation. Chemistry 2021, 3, 728–733. [Google Scholar] [CrossRef]
- Shepherd, N.D.; Wang, T.; Ding, B.; Beves, J.E.; D’Alessandro, D.M. Visible light stimulated bistable photo-switching in defect engineered metal-organic frameworks. Inorg. Chem. 2021, 60, 11706–11710. [Google Scholar] [CrossRef]
- Iino, R.; Kinbara, K.; Bryant, Z. Introduction: Molecular motors. Chem. Rev. 2020, 120, 1–4. [Google Scholar] [CrossRef] [Green Version]
- Kassem, S.; van Leeuwen, T.; Lubbe, A.S.; Wilson, M.R.; Feringa, B.L.; Leigh, D.A. Artificial molecular motors. Chem. Soc. Rev. 2017, 46, 2592–2621. [Google Scholar] [CrossRef] [Green Version]
- Feringa, B.L. The art of building small: From molecular switches to motors (Nobel Lecture). Angew. Chem. Int. Ed. 2017, 56, 11060–11078. [Google Scholar] [CrossRef] [PubMed] [Green Version]
- Baroncini, M.; Silvi, S.; Credi, A. Photo- and redox-driven artificial molecular motors. Chem. Rev. 2020, 120, 200–268. [Google Scholar] [CrossRef] [PubMed] [Green Version]
- Costil, R.; Holzheimer, M.; Crespi, S.; Simeth, N.A.; Feringa, B.L. Directing coupled motion with light: A key step toward machine-like function. Chem. Rev. 2021, 121, 13213–13237. [Google Scholar] [CrossRef] [PubMed]
- Koumura, N.; Zijlstra, R.W.; van Delden, R.A.; Harada, N.; Feringa, B.L. Light-driven monodirectional molecular motor. Nature 1999, 401, 152–155. [Google Scholar] [CrossRef] [Green Version]
- Danowski, W.; van Leeuwen, T.; Abdolahzadeh, S.; Roke, D.; Browne, W.R.; Wezenberg, S.J.; Feringa, B.L. Unidirectional rotary motion in a metal-organic framework. Nat. Nanotechnol. 2019, 14, 488–494. [Google Scholar] [CrossRef]
- Farha, O.M.; Malliakas, C.D.; Kanatzidis, M.G.; Hupp, J.T. Control over catenation in metal-organic frameworks via rational design of the organic building block. J. Am. Chem. Soc. 2010, 132, 950–952. [Google Scholar] [CrossRef]
- Danowski, W.; Castiglioni, F.; Sardjan, A.S.; Krause, S.; Pfeifer, L.; Roke, D.; Comotti, A.; Browne, W.R.; Feringa, B.L. Visible-light-driven rotation of molecular motors in a dual-function metal-organic framework enabled by energy transfer. J. Am. Chem. Soc. 2020, 142, 9048–9056. [Google Scholar] [CrossRef]
- Sluysmans, D.; Stoddart, J.F. The burgeoning of mechanically interlocked molecules in chemistry. Trends Chem. 2019, 1, 185–197. [Google Scholar] [CrossRef]
- Shahraki, B.T.; Maghsoudi, S.; Fatahi, Y.; Rabiee, N.; Bahadorikhalili, S.; Dinarvand, R.; Bagherzadeh, M.; Verpoort, F. The flowering of mechanically interlocked molecules: Novel approaches to the synthesis of rotaxanes and catenanes. Coord. Chem. Rev. 2020, 423, 213484. [Google Scholar] [CrossRef]
- Stoddart, J.F. Mechanically interlocked molecules (MIMs)-molecular shuttles, switches and machines (Nobel Lecture). Angew. Chem. Int. Ed. 2017, 56, 11094–11125. [Google Scholar] [CrossRef]
- Sauvage, J.-P. From chemical topology to molecular machines (Nobel Lecture). Angew. Chem. Int. Ed. 2017, 56, 11080–11093. [Google Scholar] [CrossRef] [PubMed] [Green Version]
- Erbas-Cakmak, S.; Leigh, D.A.; McTernan, C.T.; Nussbaumer, A. Artificial molecular machines. Chem. Rev. 2015, 115, 10081–10206. [Google Scholar] [CrossRef] [PubMed] [Green Version]
- Xue, M.; Yang, Y.; Chi, X.; Yan, X.; Huang, F. Development of pseudorotaxanes and rotaxanes: From synthesis to stimuli-responsive motions to applications. Chem. Rev. 2015, 115, 7398–7501. [Google Scholar] [CrossRef] [PubMed]
- Evans, N.H. Recent advances in the synthesis and applications of hydrogen bon templated rotaxanes and catenanes. Eur. J. Org. Chem. 2019, 3320–3343. [Google Scholar] [CrossRef] [Green Version]
- Schwarz, F.B.; Heinrich, T.; Lippitz, A.; Unger, W.E.S.; Schalley, C.A. A photoswitchable rotaxane operating in monolayers on solid support. Chem. Commun. 2016, 52, 14458–14461. [Google Scholar] [CrossRef] [Green Version]
- Chu, C.-W.; Stares, D.; Schalley, C.A. Light-controlled interconversion between a [c2]daisy chain and a lasso-type pseudo [1]rotaxane. Chem. Commun. 2021, 57, 12317–12320. [Google Scholar] [CrossRef]
- Yang, J.-X.; Li, Z.; Gu, X.-H.; Zhan, T.-G.; Cui, J.; Zhang, K.-D. A photogated photoswitchable [2]rotaxane based on orthogonal photoreactions. Tetrahedron 2021, 92, 132284. [Google Scholar] [CrossRef]
- Yao, B.; Sun, H.; Yang, L.; Wang, S.; Liu, X. Recent progress in light-driven molecular shuttles. Front. Chem. 2022, 9, 832735. [Google Scholar] [CrossRef]
- Martinez-Cuezva, A.; Saura-Sanmartin, A.; Nicolas-Garcia, T.; Navarro, C.; Orenes, R.-A.; Alajarin, M.; Berna, J. Photoswitchable interlocked thiodiglycolamide as a cocatalyst of a chalcogeno-Baylis-Hillman reaction. Chem. Sci. 2017, 8, 3775–3780. [Google Scholar] [CrossRef] [Green Version]
- Saura-Sanmartin, A.; Martinez-Cuezva, A.; Pastor, A.; Bautista, D.; Berna, J. Light-driven exchange between extended and contracted lasso-like isomers of a bistable [1]rotaxane. Org. Biomol. Chem. 2018, 16, 6980–6987. [Google Scholar] [CrossRef]
- Lopez-Sanchez, J.; Alajarin, M.; Pastor, A.; Berna, J. Mechanically interlocked profragrances for the controlled release of scents. J. Org. Chem. 2021, 86, 15045–15054. [Google Scholar] [CrossRef] [PubMed]
- Saura-Sanmartin, A.; Pastor, A.; Martinez-Cuezva, A.; Berna, J. Maximizing the [c2]daisy chain to lasso ratio through competitive self-templating clipping reactions. Chem. Commun. 2022, 58, 290–293. [Google Scholar] [CrossRef] [PubMed]
- Loeb, S.J. Rotaxanes as ligands: From molecules to materials. Chem. Soc. Rev. 2007, 36, 226–235. [Google Scholar] [CrossRef]
- Vukotic, V.N.; Loeb, S.J. Coordination polymers containing rotaxane linkers. Chem. Soc. Rev. 2012, 41, 5896–5906. [Google Scholar] [CrossRef] [PubMed]
- Wilson, B.H.; Loeb, S.J. Integrating the mechanical bond into metal-organic frameworks. Chem 2020, 6, 1604–1612. [Google Scholar] [CrossRef]
- Saura-Sanmartin, A.; Pastor, A.; Martinez-Cuezva, A.; Cutillas-Font, G.; Alajarin, M.; Berna, J. Mechanically interlocked molecules in metal-organic frameworks. Chem. Soc. Rev. 2022, 51, 4949–4976. [Google Scholar] [CrossRef] [PubMed]
- Vukotic, V.N.; Harris, K.J.; Zhu, K.; Schurko, R.W.; Loeb, S.J. Metal-organic frameworks with dynamic interlocked components. Nat. Chem. 2012, 4, 456–460. [Google Scholar] [CrossRef] [PubMed]
- Zhu, K.; O’Keefe, C.A.; Vukotic, V.N.; Schurko, R.W.; Loeb, S.J. A molecular shuttle that operates inside a metal-organic framework. Nat. Chem. 2015, 7, 514–519. [Google Scholar] [CrossRef]
- Gholami, G.; Wilson, B.H.; Zhu, K.; O’Keefe, C.A.; Schurko, R.W.; Loeb, S.J. Exploring the dynamics of Zr-based metal-organic frameworks containing mechanically interlocked molecular shuttles. Faraday Discuss. 2021, 225, 358–370. [Google Scholar] [CrossRef]
- Wilson, B.H.; Vojvodin, C.S.; Gholami, G.; Adbulla, L.M.; O’Keefe, C.A.; Schurko, R.W.; Loeb, S.J. Precise spatial arrangement and interaction between two different mobile components in a metal-organic framework. Chem 2021, 7, 202–211. [Google Scholar] [CrossRef]
- Saura-Sanmartin, A.; Martinez-Cuezva, A.; Marin-Luna, M.; Bautista, D.; Berna, J. Effective encapsulation of C60 by metal-organic frameworks with polyamide macrocyclic linkers. Angew. Chem. Int. Ed. 2021, 60, 10814–10819. [Google Scholar] [CrossRef]
- Meng, W.; Kondo, S.; Ito, T.; Komatsu, K.; Pirillo, J.; Hijikata, Y.; Ikuhara, Y.; Aida, T.; Sato, H. An elastic metal-organic crystal with a densely catenated backbone. Nature 2021, 598, 298–303. [Google Scholar] [CrossRef]
- Saura-Sanmartin, A.; Martinez-Cuezva, A.; Bautista, D.; Marzari, M.R.B.; Martins, M.A.P.; Alajarin, M.; Berna, J. Copper-linked rotaxanes for the building of photoresponsive metal organic frameworks with controlled cargo delivery. J. Am. Chem. Soc. 2020, 142, 13442–13449. [Google Scholar] [CrossRef]
- Barooah, N.; Mohanty, J.; Bhasikuttan, A.C. Cucurbituril-based supramolecular assemblies: Prospective on drug delivery, sensing, separation, and catalytic applications. Langmuir 2022, 38, 6249–6264. [Google Scholar] [CrossRef]
- Kim, H.-J.; Jeon, W.S.; Ko, Y.H.; Kim, K. Inclusion of methylviologen in cucurbit [7]uril. Proc. Natl. Acad. Sci. USA 2002, 99, 5007–5011. [Google Scholar] [CrossRef] [Green Version]
- Schoder, S.; Schalley, C.A. Orthogonal switching of self-sorting processes in a stimuli-responsive library of cucurbit [8]uril complexes. Chem. Commun. 2017, 53, 9546–9549. [Google Scholar] [CrossRef]
- Schoder, S.; Schröder, H.B.; Cera, L.; Puttreddy, R.; Güttler, A.; Resch-Genger, U.; Rissanen, K.; Schalley, C.A. Strong emission enhancement in pH-responsive 2:2 cucurbit [8]uril complexes. Chem. Eur. J. 2019, 25, 3257–3261. [Google Scholar] [CrossRef]
- Liu, H.; Lin, M.; Cui, Y.; Gan, W.; Sun, J.; Li, B.; Zhao, Y. Single-crystal structures of cucurbituril-based supramolecular host-guest complexes for bioimaging. Chem. Commun. 2021, 57, 10190–10193. [Google Scholar] [CrossRef]
- Jeon, Y.-M.; Whang, D.; Kim, J.; Kim, K. A simple construction of a rotaxane and a pseudorotaxane: Syntheses and X-ray crystal structures of cucurbituril threaded on substituted spermine. Chem. Lett. 1996, 25, 503–504. [Google Scholar] [CrossRef]
- Eelkema, R.; Maeda, K.; Odell, B.; Anderson, H.L. Radical cation stabilization in a cucurbituril oligoaniline rotaxane. J. Am. Chem. Soc. 2007, 129, 12384–12385. [Google Scholar] [CrossRef]
- Ramalingam, V.; Urbach, A.R. Cucurbit [8]uril rotaxanes. Org. Lett. 2011, 13, 4898–4901. [Google Scholar] [CrossRef]
- Jiang, W.; Wang, Q.; Linder, I.; Klautzsch, F.; Schalley, C.A. Self-sorting of water-soluble cucurbituril pseudorotaxanes. Chem. Eur. J. 2011, 17, 2344–2348. [Google Scholar] [CrossRef] [PubMed]
- Sun, Y.; Fang, H.; Lin, X.; Wang, X.; Chen, G.; Wang, X.; Tian, Z. Kinetic investigation of a cucurbit [7]uril-based pseudo [6]rotaxane system by microfluidic Nuclear Magnetic Resonance. CCS Chem. 2022, 4, 557–565. [Google Scholar] [CrossRef]
- Neira, I.; Peinador, C.; García, M.D. CB [7]- and CB [8]-based [2]-(pseudo)rotaxanes with triphenylphosphonium-capped threads: Serendipitous discovery of a new high-affinity binding motif. Org. Lett. 2022. [Google Scholar] [CrossRef]
- Whang, D.; Jeon, Y.-M.; Heo, J.; Kim, K. Self-assembly of a polyrotaxane containing a cyclic “bead” in every structural unit in the solid state: Cucurbituril molecules threaded on a one-dimensional coordination polymer. J. Am. Chem. Soc. 1996, 118, 11333–11334. [Google Scholar] [CrossRef]
- Lee, E.; Heo, J.; Kim, K. A three-dimensional polyrotaxane network. Angew. Chem. Int. Ed. 2000, 39, 2699–2701. [Google Scholar] [CrossRef]
- Wu, X.-S.; Bao, H.-F.; Zhu, F.-L.; Sun, J.; Wang, X.-L.; Su, Z.-M. Syntheses and magnetic properties of high-dimensional cucurbit [6]uril-based metal-organic rotaxane frameworks. Dalton Trans. 2019, 48, 9939–9943. [Google Scholar] [CrossRef]
- Wu, X.-S.; Cheng, D.-M.; Wang, X.-L.; Sun, J.; Zang, H.-Y.; Su, Z.-M. Syntheses of cucurbit [6]uril-based metal-organic rotaxane networks by the anion regulation strategy and their proton conduction properties. Dalton Trans. 2020, 49, 1747–1751. [Google Scholar] [CrossRef]
- Gao, Z.-Z.; Wang, Z.-K.; Wei, L.; Yin, G.; Tian, J.; Liu, C.-Z.; Wang, H.; Zhang, D.-W.; Zhang, Y.-B.; Li, X.; et al. Water-soluble 3D covalent organic framework that displays an enhanced enrichment effect of photosensitizers and catalysts for the reduction of protons to H2. ACS Appl. Mater. Interfaces 2020, 12, 1404–1411. [Google Scholar] [CrossRef] [Green Version]
- Gao, Z.-Z.; Xu, Y.-Y.; Wang, Z.-K.; Wang, H.; Zhang, D.-W.; Li, Z.-T. Porous [Ru(bpy)3]2+-cored metallosupramolecular polymers: Preparation and recyclable photocatalysis for the formation of amides and 2-diazo-2-phenylacetates. ACS Appl. Polym. Mater. 2020, 2, 4885–4892. [Google Scholar] [CrossRef]
- Zhao, H.; Shen, F.-F.; Sun, J.-F.; Gao, Z.-Z. Cucurbit [8]uril-controlled [2 + 2] photodimerization of styrylpyridinium molecule. Inorg. Chem. Commun. 2022, 141, 109536. [Google Scholar] [CrossRef]
- Schmidt, G.M.J. Photodimerization in the solid state. Pure Appl. Chem. 1971, 27, 647–678. [Google Scholar] [CrossRef] [Green Version]
- Sun, Y.; Zheng, L.; Yang, Y.; Qian, X.; Fu, T.; Li, X.; Yang, Z.; Yan, H.; Cui, C.; Tan, W. Metal-organic framework nanocarriers for drug delivery in biomedical applications. Nano-Micro Lett. 2020, 12, 103. [Google Scholar] [CrossRef] [PubMed]
- He, S.; Wu, L.; Sun, H.; Xiong, T.; Liu, J.; Huang, C.; Xu, H.; Sun, H.; Chen, W.; Gref, R.; et al. Metal-organic frameworks for advanced drug delivery. Acta Pharm. Sin. B. 2021, 8, 2362–2395. [Google Scholar] [CrossRef]
- Mallakpour, S.; Nikkhoo, E.; Hussain, C.M. Application of MOF materials as drug delivery systems for cancer therapy and dermal treatment. Coord. Chem. Rev. 2022, 451, 214262. [Google Scholar] [CrossRef]
- Ali, R.S.; Meng, H.; Li, Z. Zinc-based metal-organic frameworks in drug delivery, cell imaging, and sensing. Molecules 2022, 27, 100. [Google Scholar]
- Maranescu, B.; Visa, A. Applications of metal-organic frameworks as drug delivery systems. Int. J. Mol. Sci. 2022, 23, 4458. [Google Scholar] [CrossRef]


















| Entry | MOF | Linker Type | Principal Property | Practical Implementations |
|---|---|---|---|---|
| 1 | U-azo | Azobenzene | Adsorbent | CO2 adsorption * |
| 2 | Th-Azo-MOF | Azobenzene | Adsorbent | Rhodamine B adsorption * |
| 3 | DTEMOF | Diarylethene | Reversible crystalline assembly | Highly efficient molecular dispenser of guest molecules ** |
| 4 | ECUT-30 | Diarylethene + azobenzene | Adsorbent | Gas capture and selective adsorption of guest molecules * |
| 5 | SpiroMOFs | Spiropyran | Optoelectronic | Development of FET and LED devices * |
| 6 | DUT-5(indoline)0.5–2.5(DASA) | DASA | Bistability | Development of NVM materials ** |
| 7 | Moto-MOFs | Molecular motor | Unidirectional rotary motion | Photoswitchable microfluidic pumps and photodriven mass transport ** |
| 8 | UMUMOF-(E)-3 | Interlocked furamide | Adjustable porosity | Development of molecular dispensers of p-benzoquinone * |
| 9 | U-CB[8]-MPyVB | Interlocked styrylpyridinium | Regioselective photodimerization | Development of photoactuator Devices ** |
Publisher’s Note: MDPI stays neutral with regard to jurisdictional claims in published maps and institutional affiliations. |
© 2022 by the author. Licensee MDPI, Basel, Switzerland. This article is an open access article distributed under the terms and conditions of the Creative Commons Attribution (CC BY) license (https://creativecommons.org/licenses/by/4.0/).
Share and Cite
Saura-Sanmartin, A. Photoresponsive Metal-Organic Frameworks as Adjustable Scaffolds in Reticular Chemistry. Int. J. Mol. Sci. 2022, 23, 7121. https://doi.org/10.3390/ijms23137121
Saura-Sanmartin A. Photoresponsive Metal-Organic Frameworks as Adjustable Scaffolds in Reticular Chemistry. International Journal of Molecular Sciences. 2022; 23(13):7121. https://doi.org/10.3390/ijms23137121
Chicago/Turabian StyleSaura-Sanmartin, Adrian. 2022. "Photoresponsive Metal-Organic Frameworks as Adjustable Scaffolds in Reticular Chemistry" International Journal of Molecular Sciences 23, no. 13: 7121. https://doi.org/10.3390/ijms23137121
APA StyleSaura-Sanmartin, A. (2022). Photoresponsive Metal-Organic Frameworks as Adjustable Scaffolds in Reticular Chemistry. International Journal of Molecular Sciences, 23(13), 7121. https://doi.org/10.3390/ijms23137121
