New Metallophthalocyanines Bearing 2-Methylimidazole Moieties—Potential Photosensitizers against Staphylococcus aureus
Abstract
1. Introduction
2. Results
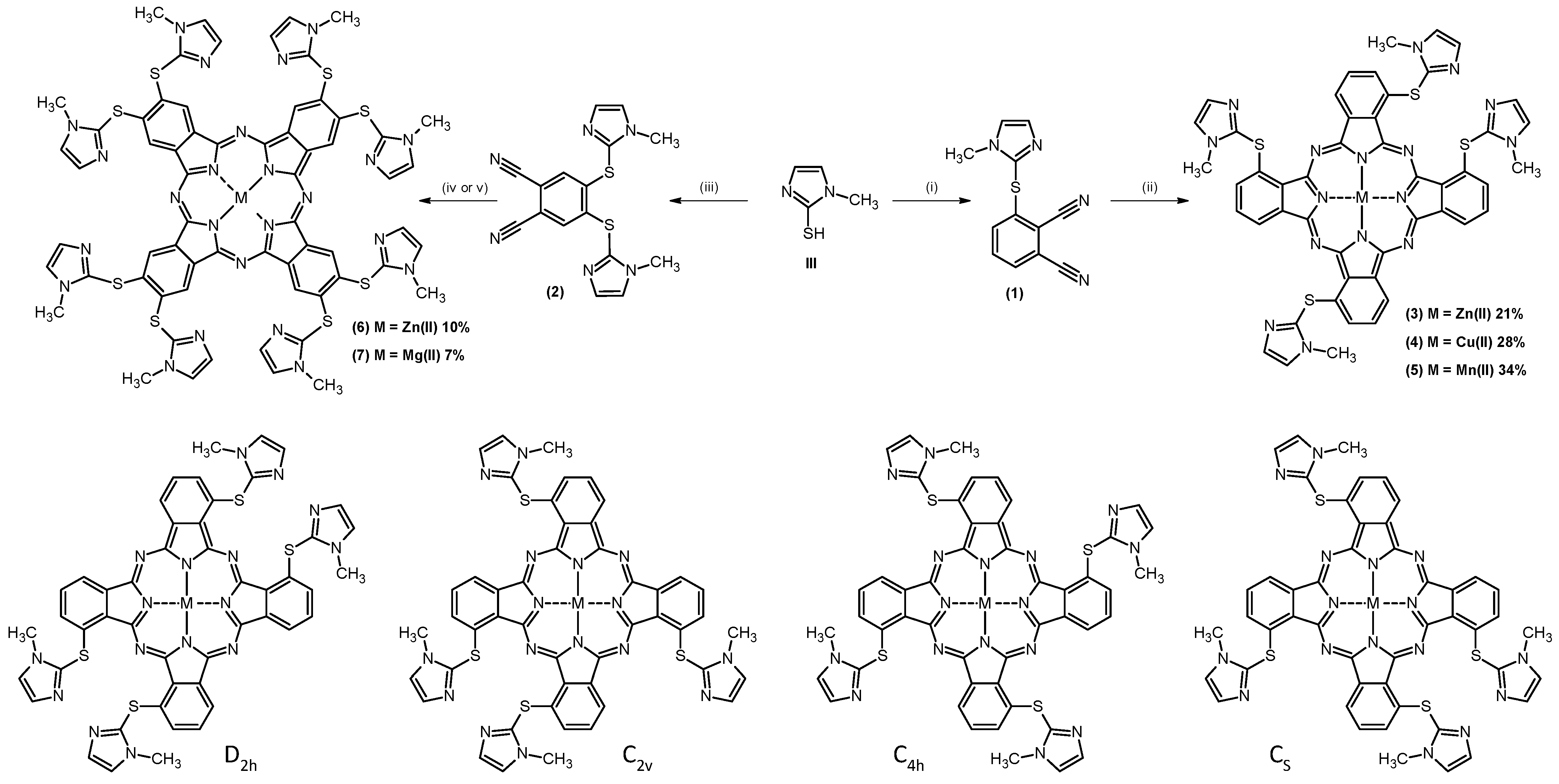
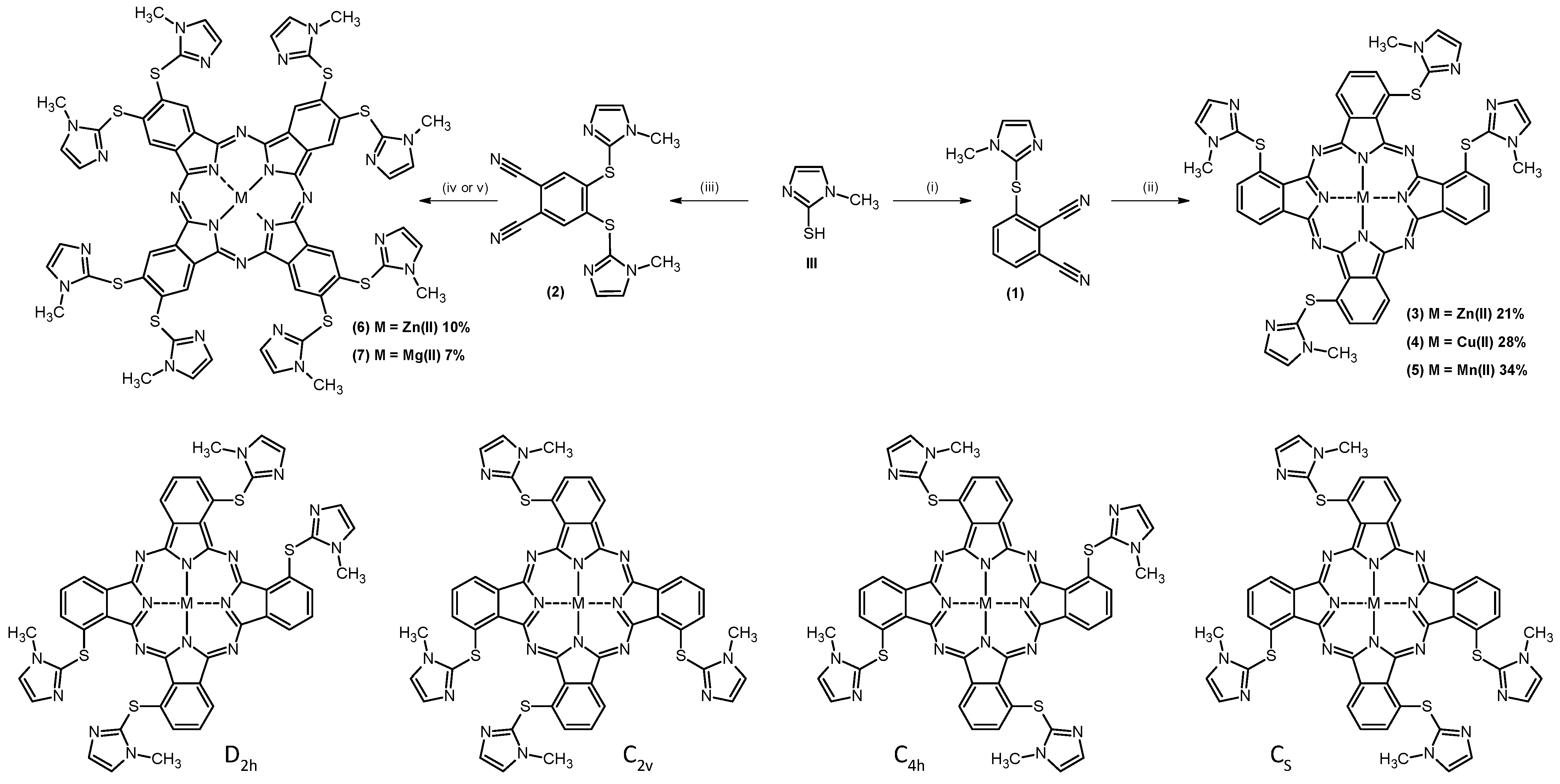
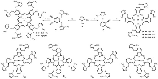
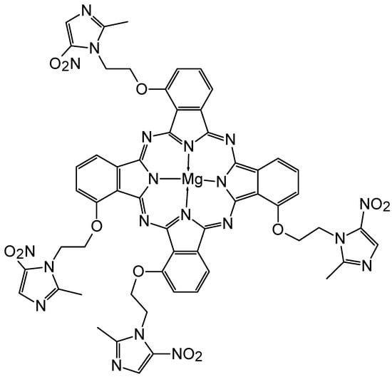
2.1. Synthesis
2.2. X-ray Diffraction Studies
2.3. MALDI-TOF Mass Spectrometry
2.4. NMR Study
2.5. Absorption and Emission
2.6. Singlet Oxygen Formation
2.7. Photostability
2.8. Photodynamic Activity against Bacteria
3. Materials and Methods
3.1. General
3.2. Synthesis
3.2.1. 2-[(2,3-Dicyanophenyl)thio]-1-methyl-1H-imidazole (1)
3.2.2. 4,5-Bis[(1-methyl-1H-imidazol-2-yl)thio]-1,2-dicyanobenzene (2)
3.2.3. 1,8,15,25-Tetrakis[(1-methyl-1H-imidazo-2-yl)thio]phthalocyanine Zinc(II) (3)
3.2.4. 1,8,15,25-Tetrakis[(1-methyl-1H-imidazo-2-yl)thio]phthalocyanine Copper(II) (4)
3.2.5. 1,8,15,25-Tetrakis[(1-methyl-1H-imidazo-2-yl)thio]phthalocyanine Manganese(II) (5)
3.2.6. 2,3,9,10,16,17,23,24-Octakis[(1-methyl-1H-imidazo-2-yl)thio]phthalocyanine Zinc(II) (6)
3.2.7. 2,3,9,10,16,17,23,24-Octakis[(1-methyl-1H-imidazo-2-yl)thio]phthalocyanine Magnesium(II) (7)
3.3. Single-Crystal X-ray Diffraction Studies
3.4. Absorption and Emission
3.5. Singlet Oxygen Generation
3.6. Photostability Determination
3.7. Biological Activity
3.7.1. Liposomes Preparation Procedure
3.7.2. Photodynamic Activity against Bacteria
4. Conclusions
Supplementary Materials
Author Contributions
Funding
Institutional Review Board Statement
Informed Consent Statement
Data Availability Statement
Conflicts of Interest
References
- de la Torre, G.; Vázquez, P.; Agulló-López, F.; Torres, T. Role of Structural Factors in the Nonlinear Optical Properties of Phthalocyanines and Related Compounds. Chem. Rev. 2004, 104, 3723–3750. [Google Scholar] [CrossRef] [PubMed]
- Fita, P.; Osmałek, T.; Goślinski, T.; Wierzchowski, M.; Mielcarek, J. Femtosecond Studies of the Excited-State Dynamics of Ester-Alkyloxy Substituted Zinc Phthalocyanines. J. Photochem. Photobiol. Chem. 2012, 232, 44–49. [Google Scholar] [CrossRef]
- de la Escosura, A.; Trukhina, O.; Torres, T. Dual Role of Phthalocyanines in Carbon Nanostructure-Based Organic Photovoltaics; Springer: Berlin/Heidelberg, Germany, 2013. [Google Scholar]
- Güzel, E. Dual-Purpose Zinc and Silicon Complexes of 1,2,3-Triazole Group Substituted Phthalocyanine Photosensitizers: Synthesis and Evaluation of Photophysical, Singlet Oxygen Generation, Electrochemical and Photovoltaic Properties. RSC Adv. 2019, 9, 10854–10864. [Google Scholar] [CrossRef] [PubMed]
- Kucinska, M.; Skupin-Mrugalska, P.; Szczolko, W.; Sobotta, L.; Sciepura, M.; Tykarska, E.; Wierzchowski, M.; Teubert, A.; Fedoruk-Wyszomirska, A.; Wyszko, E.; et al. Phthalocyanine Derivatives Possessing 2-(Morpholin-4-Yl)Ethoxy Groups As Potential Agents for Photodynamic Therapy. J. Med. Chem. 2015, 58, 2240–2255. [Google Scholar] [CrossRef] [PubMed]
- Sobotta, L.; Skupin-Mrugalska, P.; Mielcarek, J.; Goslinski, T.; Balzarini, J. Photosensitizers Mediated Photodynamic Inactivation Against Virus Particles. Mini-Rev. Med. Chem. 2015, 15, 503–521. [Google Scholar] [CrossRef]
- Sobotta, L.; Skupin-Mrugalska, P.; Piskorz, J.; Mielcarek, J. Non-Porphyrinoid Photosensitizers Mediated Photodynamic Inactivation against Bacteria. Dyes Pigments 2019, 163, 337–355. [Google Scholar] [CrossRef]
- Pinheiro, S.L.; Schenka, A.A.; Neto, A.A.; de Souza, C.P.; Rodriguez, H.M.H.; Ribeiro, M.C. Photodynamic Therapy in Endodontic Treatment of Deciduous Teeth. Lasers Med. Sci. 2009, 24, 521–526. [Google Scholar] [CrossRef]
- Skupin-Mrugalska, P.; Sobotta, L.; Kucinska, M.; Murias, M.; Mielcarek, J.; Duzgunes, N. Cellular Changes, Molecular Pathways and the Immune System Following Photodynamic Treatment. Curr. Med. Chem. 2014, 21, 4059–4073. [Google Scholar] [CrossRef]
- Lovell, J.F.; Liu, T.W.B.; Chen, J.; Zheng, G. Activatable Photosensitizers for Imaging and Therapy. Chem. Rev. 2010, 110, 2839–2857. [Google Scholar] [CrossRef]
- Rajesh, S.; Koshi, E.; Philip, K.; Mohan, A. Antimicrobial Photodynamic Therapy: An Overview. J. Indian Soc. Periodontol. 2011, 15, 323–327. [Google Scholar] [CrossRef]
- Pourhajibagher, M.; bahador, A. Adjunctive Antimicrobial Photodynamic Therapy to Conventional Chemo-Mechanical Debridement of Infected Root Canal Systems: A Systematic Review and Meta-Analysis. Photodiagnosis Photodyn. Ther. 2019, 26, 19–26. [Google Scholar] [CrossRef] [PubMed]
- Agazzi, M.L.; Ballatore, M.B.; Durantini, A.M.; Durantini, E.N.; Tomé, A.C. BODIPYs in Antitumoral and Antimicrobial Photodynamic Therapy: An Integrating Review. J. Photochem. Photobiol. C Photochem. Rev. 2019, 40, 21–48. [Google Scholar] [CrossRef]
- Abduljabbar, T.; Vohra, F.; Javed, F.; Akram, Z. Antimicrobial Photodynamic Therapy Adjuvant to Non-Surgical Periodontal Therapy in Patients with Diabetes Mellitus: A Meta-Analysis. Photodiagnosis Photodyn. Ther. 2017, 17, 138–146. [Google Scholar] [CrossRef] [PubMed]
- Sobotta, L.; Skupin-Mrugalska, P.; Piskorz, J.; Mielcarek, J. Porphyrinoid Photosensitizers Mediated Photodynamic Inactivation against Bacteria. Eur. J. Med. Chem. 2019, 175, 72–106. [Google Scholar] [CrossRef]
- Sieńko, A.; Czaban, S.; Ojdana, D.; Majewski, P.; Wieczorek, A.; Sacha, P.; Tryniszewska, E.A.; Wieczorek, P. Comparison of Antibiotic Resistance and Virulence in Vancomycin-Susceptible and Vancomycin-Resistant Enterococcus Faecium Strains. J. Med. Sci. 2019, 87, 195–203. [Google Scholar] [CrossRef]
- Tedesco, A.C.; Primo, F.L.; de Jesus, P.d.C.C. Chapter 2—Antimicrobial Photodynamic Therapy (APDT) Action Based on Nanostructured Photosensitizers. In Multifunctional Systems for Combined Delivery, Biosensing and Diagnostics; Grumezescu, A.M., Ed.; Elsevier: Amsterdam, The Netherlands, 2017; pp. 9–29. ISBN 978-0-323-52725-5. [Google Scholar]
- Tavares, A.; Carvalho, C.M.B.; Faustino, M.A.; Neves, M.G.P.M.S.; Tomé, J.P.C.; Tomé, A.C.; Cavaleiro, J.A.S.; Cunha, Â.; Gomes, N.C.M.; Alves, E.; et al. Antimicrobial Photodynamic Therapy: Study of Bacterial Recovery Viability and Potential Development of Resistance after Treatment. Mar. Drugs 2010, 8, 91–105. [Google Scholar] [CrossRef]
- Monami, M.; Scatena, A.; Schlecht, M.; Lobmann, R.; Landi, L.; Ricci, L.; Mannucci, E. Antimicrobial Photodynamic Therapy in Infected Diabetic Foot Ulcers: A Multicenter Preliminary Experience. J. Am. Podiatr. Med. Assoc. 2020, 110, 5. [Google Scholar] [CrossRef]
- Sen, P.; Sindelo, A.; Mafukidze, D.M.; Nyokong, T. Synthesis and Photophysicochemical Properties of Novel Axially Di-Substituted Silicon (IV) Phthalocyanines and Their Photodynamic Antimicrobial Chemotherapy (PACT) Activity against Staphylococcus Aureus. Synth. Met. 2019, 258, 116203. [Google Scholar] [CrossRef]
- Aroso, R.T.; Calvete, M.J.F.; Pucelik, B.; Dubin, G.; Arnaut, L.G.; Pereira, M.M.; Dąbrowski, J.M. Photoinactivation of Microorganisms with Sub-Micromolar Concentrations of Imidazolium Metallophthalocyanine Salts. Eur. J. Med. Chem. 2019, 184, 111740. [Google Scholar] [CrossRef]
- Matlou, G.G.; Nyokong, T. Photophysico-Chemical Properties and Photoinactivation of Staphylococcus Aureus Using Zinc Phthalocyanines Linked Silver Nanoparticles Conjugates. Dyes Pigments 2020, 176, 108237. [Google Scholar] [CrossRef]
- Kawczyk-Krupka, A.; Pucelik, B.; Międzybrodzka, A.; Sieroń, A.R.; Dąbrowski, J.M. Photodynamic Therapy as an Alternative to Antibiotic Therapy for the Treatment of Infected Leg Ulcers. Photodiagnosis Photodyn. Ther. 2018, 23, 132–143. [Google Scholar] [CrossRef] [PubMed]
- Mannucci, E.; Genovese, S.; Monami, M.; Navalesi, G.; Dotta, F.; Anichini, R.; Romagnoli, F.; Gensini, G. Photodynamic Topical Antimicrobial Therapy for Infected Foot Ulcers in Patients with Diabetes: A Randomized, Double-Blind, Placebo-Controlled Study—The D.A.N.T.E (Diabetic Ulcer Antimicrobial New Topical Treatment Evaluation) Study. Acta Diabetol. 2014, 51, 435–440. [Google Scholar] [CrossRef] [PubMed]
- Rani, N.; Sharma, A.; Singh, R. Imidazoles as Promising Scaffolds for Antibacterial Activity: A Review. Mini Rev. Med. Chem. 2013, 13, 1812–1835. [Google Scholar] [CrossRef] [PubMed]
- Abdel-Wahab, B.F.; Awad, G.E.A.; Badria, F.A. Synthesis, Antimicrobial, Antioxidant, Anti-Hemolytic and Cytotoxic Evaluation of New Imidazole-Based Heterocycles. Eur. J. Med. Chem. 2011, 46, 1505–1511. [Google Scholar] [CrossRef] [PubMed]
- Abrigach, F.; Rokni, Y.; Takfaoui, A.; Khoutoul, M.; Doucet, H.; Asehraou, A.; Touzani, R. In Vitro Screening, Homology Modeling and Molecular Docking Studies of Some Pyrazole and Imidazole Derivatives. Biomed. Pharmacother. 2018, 103, 653–661. [Google Scholar] [CrossRef] [PubMed]
- Hu, Y.; Shen, Y.; Wu, X.; Tu, X.; Wang, G.-X. Synthesis and Biological Evaluation of Coumarin Derivatives Containing Imidazole Skeleton as Potential Antibacterial Agents. Eur. J. Med. Chem. 2018, 143, 958–969. [Google Scholar] [CrossRef]
- Patil, S.A.; Patil, S.A.; Patil, R. Medicinal Applications of (Benz)Imidazole- and Indole-Based Macrocycles. Chem. Biol. Drug Des. 2017, 89, 639–649. [Google Scholar] [CrossRef]
- Basarab, G.S.; Hill, P.; Eyermann, C.J.; Gowravaram, M.; Käck, H.; Osimoni, E. Design of Inhibitors of Helicobacter Pylori Glutamate Racemase as Selective Antibacterial Agents: Incorporation of Imidazoles onto a Core Pyrazolopyrimidinedione Scaffold to Improve Bioavailabilty. Bioorg. Med. Chem. Lett. 2012, 22, 5600–5607. [Google Scholar] [CrossRef]
- Khabnadideh, S.; Rezaei, Z.; Ghasemi, Y.; Montazeri-Najafabady, N. Antibacterial Activity of Some New Azole Compounds. Anti-Infect. Agents 2012, 10, 26–33. [Google Scholar] [CrossRef]
- Wen, S.-Q.; Jeyakkumar, P.; Avula, S.R.; Zhang, L.; Zhou, C.-H. Discovery of Novel Berberine Imidazoles as Safe Antimicrobial Agents by down Regulating ROS Generation. Bioorg. Med. Chem. Lett. 2016, 26, 2768–2773. [Google Scholar] [CrossRef]
- Stover, K.R.; Riche, D.M.; Gandy, C.L.; Henderson, H. What Would We Do Without Metronidazole? Am. J. Med. Sci. 2012, 343, 316–319. [Google Scholar] [CrossRef]
- Kang, J.; Tangadanchu, V.K.R.; Gopala, L.; Gao, W.-W.; Cheng, Y.; Liu, H.-B.; Geng, R.-X.; Li, S.; Zhou, C.-H. Novel Potentially Antibacterial Naphthalimide-Derived Metronidazoles: Design, Synthesis, Biological Evaluation and Supramolecular Interactions with DNA, Human Serum Albumin and Topoisomerase II. Chin. Chem. Lett. 2017, 28, 1369–1374. [Google Scholar] [CrossRef]
- Naumov, R.N.; Panda, S.S.; Girgis, A.S.; George, R.F.; Farhat, M.; Katritzky, A.R. Synthesis and QSAR Study of Novel Anti-Inflammatory Active Mesalazine-Metronidazole Conjugates. Bioorganic Med. Chem. Lett. 2015, 25, 2314–2320. [Google Scholar] [CrossRef] [PubMed]
- Faghih-Mirzaei, E.; Sabouri, S.; Zeidabadinejad, L.; AbdolahRamazani, S.; Abaszadeh, M.; Khodadadi, A.; Shamsadinipour, M.; Jafari, M.; Pirhadi, S. Metronidazole Aryloxy, Carboxy and Azole Derivatives: Synthesis, Anti-Tumor Activity, QSAR, Molecular Docking and Dynamics Studies. Bioorg. Med. Chem. 2019, 27, 305–314. [Google Scholar] [CrossRef]
- Vacus, J.; Memetzidis, G.; Doppelt, P.; Simon, J. The Synthesis of Unsymmetrically Functionalized Platinum and Zinc Phthalocyanine Complexes. J. Chem. Soc. Chem. Commun. 1994, 6, 697–698. [Google Scholar] [CrossRef]
- Breloy, L.; Yavuz, O.; Yilmaz, I.; Yagci, Y.; Versace, D.-L. Design, Synthesis and Use of Phthalocyanines as a New Class of Visible-Light Photoinitiators for Free-Radical and Cationic Polymerizations. Polym. Chem. 2021, 12, 4291–4316. [Google Scholar] [CrossRef]
- Michel, S.L.J.; Hoffman, B.M.; Baum, S.M.; Barrett, A.G.M. Peripherally Functionalized Porphyrazines: Novel Metallomacrocycles with Broad, Untapped Potential. In Progress in Inorganic Chemistry; Karlin, K.D., Ed.; John Wiley & Sons, Inc.: New York, NY, USA, 2001; pp. 473–590. ISBN 978-0-471-22711-3. [Google Scholar]
- Suckau, D.; Resemann, A.; Schuerenberg, M.; Hufnagel, P.; Franzen, J.; Holle, A. A Novel MALDI LIFT-TOF/TOF Mass Spectrometer for Proteomics. Anal. Bioanal. Chem. 2003, 376, 952–965. [Google Scholar] [CrossRef]
- Mauger, F.; Tabet, J.-C.; Gut, I.G. A Revisit of High Collision Energy Effects on Collision-Induced Dissociation Spectra Using Matrix-Assisted Laser Desorption/Ionization Tandem Time-of-Flight Mass Spectrometry (MALDI-LIFT-TOF/TOF): Application to the Sequencing of RNA/DNA Chimeras: CID Fragmentation of DNA. Rapid Commun. Mass Spectrom. 2014, 28, 1433–1443. [Google Scholar] [CrossRef] [PubMed]
- Town, J.S.; Jones, G.R.; Hancox, E.; Shegiwal, A.; Haddleton, D.M. Tandem Mass Spectrometry for Polymeric Structure Analysis: A Comparison of Two Common MALDI–ToF/ToF Techniques. Macromol. Rapid Commun. 2019, 40, 1900088. [Google Scholar] [CrossRef]
- Zhang, X.-F.; Lin, Y.; Guo, W.; Zhu, J. Spectroscopic Insights on Imidazole Substituted Phthalocyanine Photosensitizers: Fluorescence Properties, Triplet State and Singlet Oxygen Generation. Spectrochim. Acta A Mol. Biomol. Spectrosc. 2014, 133, 752–758. [Google Scholar] [CrossRef]
- Güzel, E.; Günsel, A.; Bilgiçli, A.T.; Atmaca, G.Y.; Erdoğmuş, A.; Yarasir, M.N. Synthesis and Photophysicochemical Properties of Novel Thiadiazole-Substituted Zinc (II), Gallium (III) and Silicon (IV) Phthalocyanines for Photodynamic Therapy. Inorganica Chim. Acta 2017, 467, 169–176. [Google Scholar] [CrossRef]
- Li, X.; Zheng, B.-D.; Peng, X.-H.; Li, S.-Z.; Ying, J.-W.; Zhao, Y.; Huang, J.-D.; Yoon, J. Phthalocyanines as Medicinal Photosensitizers: Developments in the Last Five Years. Coord. Chem. Rev. 2019, 379, 147–160. [Google Scholar] [CrossRef]
- Wierzchowski, M.; Sobotta, L.; Skupin-Mrugalska, P.; Kruk, J.; Jusiak, W.; Yee, M.; Konopka, K.; Düzgüneş, N.; Tykarska, E.; Gdaniec, M.; et al. Phthalocyanines Functionalized with 2-Methyl-5-Nitro-1H-Imidazolylethoxy and 1,4,7-Trioxanonyl Moieties and the Effect of Metronidazole Substitution on Photocytotoxicity. J. Inorg. Biochem. 2013, 127, 62–72. [Google Scholar] [CrossRef] [PubMed]
- Baygu, Y.; Gök, Y. Synthesis and Characterization of New Partially-Aggregated Water-Soluble Polyether-Triazole Linked Zinc(II) Phthalocyanines as Photosensitizers for PDT Studies. Synth. Met. 2020, 260, 116256. [Google Scholar] [CrossRef]
- Köksoy, B.; Durmuş, M.; Bulut, M. Tetra- and Octa-[4-(2-Hydroxyethyl)Phenoxy Bearing Novel Metal-Free and Zinc(II) Phthalocyanines: Synthesis, Characterization and Investigation of Photophysicochemical Properties. J. Lumin. 2015, 161, 95–102. [Google Scholar] [CrossRef]
- Erdoğmuş, A.; Nyokong, T. New Soluble Methylendioxy-Phenoxy-Substituted Zinc Phthalocyanine Derivatives: Synthesis, Photophysical and Photochemical Studies. Polyhedron 2009, 28, 2855–2862. [Google Scholar] [CrossRef]
- Durmuş, M.; Nyokong, T. Synthesis, Photophysical and Photochemical Properties of Tetra- and Octa-Substituted Gallium and Indium Phthalocyanines. Polyhedron 2007, 26, 3323–3335. [Google Scholar] [CrossRef]
- Demirbaş, Ü.; Bayrak, R.; Dilber, G.; Menteşe, E.; Akçay, H.T. Novel Triazole Substituted Phthalocyanines Showing High Singlet Oxygen Quantum Yields. J. Lumin. 2019, 206, 199–204. [Google Scholar] [CrossRef]
- Sarı, S.; Durmuş, M.; Bulut, M. Microwave Assisted Synthesis of Novel Zinc(II) Phthalocyanines Bearing 1,3-Diazido-2-Propanoxy Functional Groups and Investigation of Their Photochemical Properties. Tetrahedron Lett. 2016, 57, 1124–1128. [Google Scholar] [CrossRef]
- Sobotta, L.; Ziental, D.; Sniechowska, J.; Dlugaszewska, J.; Potrzebowski, M.J. Lipid Vesicle-Loaded Meso-Substituted Chlorins of High in Vitro Antimicrobial Photodynamic Activity. Photochem. Photobiol. Sci. 2019, 18, 213–223. [Google Scholar] [CrossRef]
- Sobotta, L.; Wierzchowski, M.; Mierzwicki, M.; Gdaniec, Z.; Mielcarek, J.; Persoons, L.; Goslinski, T.; Balzarini, J. Photochemical Studies and Nanomolar Photodynamic Activities of Phthalocyanines Functionalized with 1,4,7-Trioxanonyl Moieties at Their Non-Peripheral Positions. J. Inorg. Biochem. 2016, 155, 76–81. [Google Scholar] [CrossRef] [PubMed]
- Kuznetsova, N.A.; Gretsova, N.S.; Derkacheva, V.M.; Kaliya, O.L.; Lukyanets, E.A. Sulfonated Phthalocyanines: Aggregation and Singlet Oxygen Quantum Yield in Aqueous Solutions. J. Porphyr. Phthalocyanines 2003, 7, 147–154. [Google Scholar] [CrossRef]
- Ogunsipe, A.; Maree, D.; Nyokong, T. Solvent Effects on the Photochemical and Fluorescence Properties of Zinc Phthalocyanine Derivatives. J. Mol. Struct. 2003, 650, 131–140. [Google Scholar] [CrossRef]
- Sobotta, L.; Lijewski, S.; Dlugaszewska, J.; Nowicka, J.; Mielcarek, J.; Goslinski, T. Photodynamic Inactivation of Enterococcus Faecalis by Conjugates of Zinc(II) Phthalocyanines with Thymol and Carvacrol Loaded into Lipid Vesicles. Inorganica Chim. Acta 2019, 489, 180–190. [Google Scholar] [CrossRef]
- Ogunsipe, A.; Durmuş, M.; Atilla, D.; Gürek, A.G.; Ahsen, V.; Nyokong, T. Synthesis, Photophysical and Photochemical Studies on Long Chain Zinc Phthalocyanine Derivatives. Synth. Met. 2008, 158, 839–847. [Google Scholar] [CrossRef]
- Kuznetsova, N.A.; Kaliya, O.L. Oxidative Photobleaching of Phthalocyanines in Solution. J. Porphyr. Phthalocyanines 2012, 16, 705–712. [Google Scholar] [CrossRef]
- Bonnett, R.; Martınez, G. Photobleaching of Sensitisers Used in Photodynamic Therapy. Tetrahedron 2001, 57, 9513–9547. [Google Scholar] [CrossRef]
- Köse, A.; Kaya, M.; Kishalı, N.H.; Akdemir, A.; Şahin, E.; Kara, Y.; Şanlı-Mohamed, G. Synthesis and Biological Evaluation of New Chloro/Acetoxy Substituted Isoindole Analogues as New Tyrosine Kinase Inhibitors. Bioorganic Chem. 2020, 94, 103421. [Google Scholar] [CrossRef]
- Dilber, G.; Altunparmak, H.; Nas, A.; Kantekin, H.; Durmuş, M. The Peripheral and Non-Peripheral 2H-Benzotriazole Substituted Phthalocyanines: Synthesis, Characterization, Photophysical and Photochemical Studies of Zinc Derivatives. Spectrochim. Acta A Mol. Biomol. Spectrosc. 2019, 217, 128–140. [Google Scholar] [CrossRef]
- Murali, K.M.; Baskaran, S.; Arumugham, M.N. Photochemical and DFT/TD-DFT Study of Trifluoroethoxy Substituted Asymmetric Metal-Free and Copper(II) Phthalocyanines. J. Fluor. Chem. 2017, 202, 1–8. [Google Scholar] [CrossRef]
- François, P.; Scherl, A.; Hochstrasser, D.; Schrenzel, J. Proteomic Approaches to Study Staphylococcus Aureus Pathogenesis. J. Proteomics 2010, 73, 701–708. [Google Scholar] [CrossRef] [PubMed]
- Kasprzycki, P.; Sobotta, L.; Lijewski, S.; Wierzchowski, M.; Goslinski, T.; Mielcarek, J.; Radzewicz, C.; Fita, P. Unusual Cis-Diprotonated Forms and Fluorescent Aggregates of Non-Peripherally Alkoxy-Substituted Metallophthalocyanines. Phys. Chem. Chem. Phys. 2017, 19, 21390–21400. [Google Scholar] [CrossRef] [PubMed]
- Vinagreiro, C.S.; Zangirolami, A.; Schaberle, F.A.; Nunes, S.C.C.; Blanco, K.C.; Inada, N.M.; da Silva, G.J.; Pais, A.A.C.C.; Bagnato, V.S.; Arnaut, L.G.; et al. Antibacterial Photodynamic Inactivation of Antibiotic-Resistant Bacteria and Biofilms with Nanomolar Photosensitizer Concentrations. ACS Infect. Dis. 2020, 6, 1517–1526. [Google Scholar] [CrossRef] [PubMed]
- Agilent CrysAlis PRO; Agilent Technologies: Yarnton, UK, 2009.
- Sheldrick, G.M. SHELXT—Integrated Space-Group and Crystal-Structure Determination. Acta Crystallogr. Sect. Found. Adv. 2015, 71, 3–8. [Google Scholar] [CrossRef]
- Dolomanov, O.V.; Bourhis, L.J.; Gildea, R.J.; Howard, J.A.K.; Puschmann, H. OLEX2: A Complete Structure Solution, Refinement and Analysis Program. J. Appl. Crystallogr. 2009, 42, 339–341. [Google Scholar] [CrossRef]
- Macrae, C.F.; Bruno, I.J.; Chisholm, J.A.; Edgington, P.R.; McCabe, P.; Pidcock, E.; Rodriguez-Monge, L.; Taylor, R.; van de Streek, J.; Wood, P.A. Mercury CSD 2.0—New Features for the Visualization and Investigation of Crystal Structures. J. Appl. Crystallogr. 2008, 41, 466–470. [Google Scholar] [CrossRef]
- Burla, M.C.; Caliandro, R.; Carrozzini, B.; Cascarano, G.L.; Cuocci, C.; Giacovazzo, C.; Mallamo, M.; Mazzone, A.; Polidori, G. Crystal Structure Determination and Refinement via SIR2014. J. Appl. Crystallogr. 2015, 48, 306–309. [Google Scholar] [CrossRef]
- Chauke, V.; Durmuş, M.; Nyokong, T. Photochemistry, Photophysics and Nonlinear Optical Parameters of Phenoxy and Tert-Butylphenoxy Substituted Indium(III) Phthalocyanines. J. Photochem. Photobiol. Chem. 2007, 192, 179–187. [Google Scholar] [CrossRef]
- Sobotta, L.; Fita, P.; Szczolko, W.; Wrotynski, M.; Wierzchowski, M.; Goslinski, T.; Mielcarek, J. Functional Singlet Oxygen Generators Based on Porphyrazines with Peripheral 2,5-Dimethylpyrrol-1-Yl and Dimethylamino Groups. J. Photochem. Photobiol. Chem. 2013, 269, 9–16. [Google Scholar] [CrossRef]
- Seotsanyana-Mokhosi, I.; Kuznetsova, N.; Nyokong, T. Photochemical Studies of Tetra-2, 3-Pyridinoporphyrazines. J. Photochem. Photobiol. Chem. 2001, 140, 215–222. [Google Scholar] [CrossRef]
- Tillo, A.; Stolarska, M.; Kryjewski, M.; Popenda, L.; Sobotta, L.; Jurga, S.; Mielcarek, J.; Goslinski, T. Phthalocyanines with Bulky Substituents at Non-Peripheral Positions-Synthesis and Physico-Chemical Properties. Dyes Pigments 2016, 127, 110–115. [Google Scholar] [CrossRef]
- Sobotta, L.; Sniechowska, J.; Ziental, D.; Dlugaszewska, J.; Potrzebowski, M.J. Chlorins with (Trifluoromethyl)Phenyl Substituents-Synthesis, Lipid Formulation and Photodynamic Activity against Bacteria. Dyes Pigments 2019, 160, 292–300. [Google Scholar] [CrossRef]
- Sobotta, L.; Dlugaszewska, J.; Kasprzycki, P.; Lijewski, S.; Teubert, A.; Mielcarek, J.; Gdaniec, M.; Goslinski, T.; Fita, P.; Tykarska, E. In Vitro Photodynamic Activity of Lipid Vesicles with Zinc Phthalocyanine Derivative against Enterococcus Faecalis. J. Photochem. Photobiol. B 2018, 183, 111–118. [Google Scholar] [CrossRef] [PubMed]
- Sobotta, L.; Dlugaszewska, J.; Gierszewski, M.; Tillo, A.; Sikorski, M.; Tykarska, E.; Mielcarek, J.; Goslinski, T. Photodynamic Inactivation of Enterococcus Faecalis by Non-Peripherally Substituted Magnesium Phthalocyanines Entrapped in Lipid Vesicles. J. Photochem. Photobiol. B 2018, 188, 100–106. [Google Scholar] [CrossRef]
- Chatterjee, I.; Herrmann, M.; Proctor, R.A.; Peters, G.; Kahl, B.C. Enhanced Post-Stationary-Phase Survival of a Clinical Thymidine-Dependent Small-Colony Variant of Staphylococcus Aureus Results from Lack of a Functional Tricarboxylic Acid Cycle. J. Bacteriol. 2007, 189, 2936–2940. [Google Scholar] [CrossRef][Green Version]
- Bonapace, C.R.; Bosso, J.A.; Friedrich, L.V.; White, R.L. Comparison of Methods of Interpretation of Checkerboard Synergy Testing. Diagn. Microbiol. Infect. Dis. 2002, 44, 363–366. [Google Scholar] [CrossRef]








| D—H···A | D—H (Å) | H···A (Å) | D···A (Å) | D—H···A (°) |
|---|---|---|---|---|
| 1 | ||||
| C7A-H7A...S11B | 0.97 (2) | 2.99 (2) | 3.938 (2) | 168.0 (16) |
| C15A-H15A...N9A i | 0.97 (2) | 2.66 (2) | 3.306 (2) | 124.6 (16) |
| C17B-H17E...N9B ii | 0.96 | 2.75 | 3.607 (2) | 149.7 |
| 2 | ||||
| C4A—H4A···N5B i | 0.95 | 2.69 | 3.612 (2) | 162.5 |
| C6A—H6A3···N7 ii | 0.98 | 2.57 | 3.331 (2) | 134.9 |
| C6B—H6B2···S1 iii | 0.98 | 2.85 | 3.608 (2) | 134.4 |
| C6B—H6B3···S2 iv | 0.98 | 2.78 | 3.688 (2) | 154.2 |
| Compound | Solvent | ΦFL | 106ΦP | ΦΔ |
|---|---|---|---|---|
| 3 | DMF | 0.002 | 2.95 | 0.05 |
| DMSO | 0.001 | 4.47 | 0.09 | |
| 4 | DMF | - | 83.40 | 0.04 |
| DMSO | 0.001 | 39.80 | 0.08 | |
| 5 | DMF | - | 3.21 | 0.03 |
| DMSO | - | 2.46 | 0.03 | |
| 6 | DMF | 0.003 | 4.84 | 0.13 |
| DMSO | 0.001 | 2.97 | 0.56 | |
| 7 | DMF | 0.022 | 14.20 | 0.11 |
| DMSO | 0.005 | 13.30 | 0.81 | |
| ZnPc | DMF | 0.200 [56] | 10.2 [57] | 0.56 [58] |
| DMSO | 0.170 [56] | 3.5 [57] | 0.67 [58] |
| Compound | 3 | 4 | 5 | 6 | 7 |
|---|---|---|---|---|---|
| Concentration (M) | log reduction in bacterial growth | ||||
| 10−4 | 2.34 | 0.19 | 0.09 | 5.68 | 0.29 |
| 10−5 | 0.46 | 0.31 | 0.02 | 1.79 | 0.11 |
| (1) | (2) | |
|---|---|---|
| Crystal data | ||
| Chemical formula | C12H8N4S | C16H12N6S2 |
| Mr | 240.28 | 352.44 |
| Crystal system, space group | ||
| Temperature (K) | 293 (2) | 130 (2) |
| a, b, c (Å) | 8.7811 (4), 10.9839 (4), 12.3411 (3) | 5.2154 (3), 10.751 (1), 14.794 (1) |
| α, β, γ (°) | 80.390 (3), 84.655 (3), 89.429 (4) | 103.532 (7), 98.293 (5), 93.655 (6) |
| V (Å3) | 1168.48 (7) | 793.94 (11) |
| Z | 4 | 2 |
| Radiation type | Cu Kα α | Cu Kα α |
| μ (mm−1) | 2.31 | 3.13 |
| Crystal size (mm) | 0.5 × 0.2 × 0.15 | 0.40 × 0.10 × 0.05 |
| Data collection | ||
| Diffractometer | SuperNova, Single source at offset), Atlas | SuperNova, Single source at offset), Atlas |
| Absorption correction | Multi-scan | Multi-scan |
| Tmin, Tmax | 0.276, 1.000 | 0.563, 1.000 |
| No. of measured, independent and observed [I > 2σ(I)] reflections | 13524, 4417, 4149 | 10291, 2792, 2641 |
| Rint | 0.018 | 0.026 |
| (sin θ/λ)max (Å−1) | 0.609 | 0.595 |
| Refinement | ||
| R[F2 > 2σ(F2)], wR(F2), S | 0.035, 0.100, 1.06 | 0.034, 0.101, 1.05 |
| No. of reflections | 4417 | 2792 |
| No. of parameters | 347 | 219 |
| H-atom treatment | H atoms treated by a mixture of independent and constrained refinement | H-atom parameters constrained |
| Δρmax, Δρmin (e Å−3) | 0.33, −0.30 | 0.31, −0.37 |
Publisher’s Note: MDPI stays neutral with regard to jurisdictional claims in published maps and institutional affiliations. |
© 2022 by the authors. Licensee MDPI, Basel, Switzerland. This article is an open access article distributed under the terms and conditions of the Creative Commons Attribution (CC BY) license (https://creativecommons.org/licenses/by/4.0/).
Share and Cite
Wierzchowski, M.; Ziental, D.; Łażewski, D.; Korzanski, A.; Gielara-Korzanska, A.; Tykarska, E.; Dlugaszewska, J.; Sobotta, L. New Metallophthalocyanines Bearing 2-Methylimidazole Moieties—Potential Photosensitizers against Staphylococcus aureus. Int. J. Mol. Sci. 2022, 23, 5910. https://doi.org/10.3390/ijms23115910
Wierzchowski M, Ziental D, Łażewski D, Korzanski A, Gielara-Korzanska A, Tykarska E, Dlugaszewska J, Sobotta L. New Metallophthalocyanines Bearing 2-Methylimidazole Moieties—Potential Photosensitizers against Staphylococcus aureus. International Journal of Molecular Sciences. 2022; 23(11):5910. https://doi.org/10.3390/ijms23115910
Chicago/Turabian StyleWierzchowski, Marcin, Daniel Ziental, Dawid Łażewski, Artur Korzanski, Agnieszka Gielara-Korzanska, Ewa Tykarska, Jolanta Dlugaszewska, and Lukasz Sobotta. 2022. "New Metallophthalocyanines Bearing 2-Methylimidazole Moieties—Potential Photosensitizers against Staphylococcus aureus" International Journal of Molecular Sciences 23, no. 11: 5910. https://doi.org/10.3390/ijms23115910
APA StyleWierzchowski, M., Ziental, D., Łażewski, D., Korzanski, A., Gielara-Korzanska, A., Tykarska, E., Dlugaszewska, J., & Sobotta, L. (2022). New Metallophthalocyanines Bearing 2-Methylimidazole Moieties—Potential Photosensitizers against Staphylococcus aureus. International Journal of Molecular Sciences, 23(11), 5910. https://doi.org/10.3390/ijms23115910

