A New Perspective on Adsorbent Materials Based Impregnated MgSiO3 with Crown Ethers for Palladium Recovery
Abstract
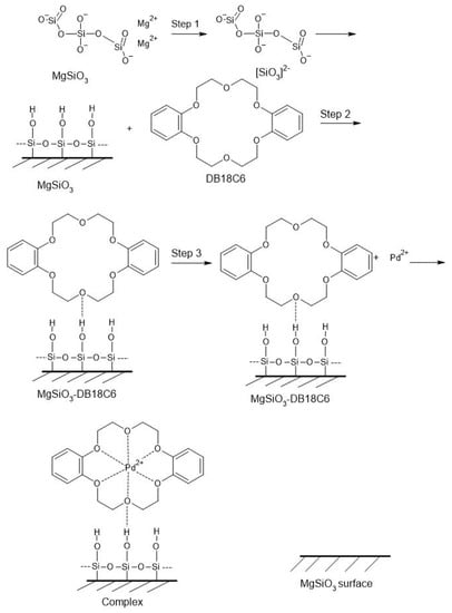
1. Introduction
2. Results and Discussion
2.1. Characterization of MgSiO3 Modified with Crown Ethers
2.1.1. Scanning Electron Microscopy (SEM)
2.1.2. Energy-Dispersive X-ray Spectroscopy (EDX)
2.1.3. Fourier-Transform Infrared Spectroscopy (FT-IR)
2.1.4. Brunauer–Emmett–Teller (BET) Surface Area Analysis
2.1.5. Point of Zero Charge (PZC)
2.2. Adsorption Study
2.2.1. pH Effect
2.2.2. Contact Time and Temperature Effect
2.2.3. Initial Concentration Effect
2.2.4. Adsorption Kinetics Study
2.2.5. Adsorption Isotherm Study
2.2.6. Activation Energy and Thermodynamic Parameters
2.2.7. Comparison of the Materials in the Study with the Literature Precedents
2.2.8. Desorption Studies
2.2.9. Adsorption Mechanism Prediction
3. Materials and Methods
- qe—equilibrium adsorption capacity (mg g−1),
- C0—the initial concentration of palladium in solution (mg L−1),
- Ce—the equilibrium concentration of palladium in solution (mg L−1),
- V—palladium solution volume (L), m—adsorbent quantity (g).
- qe—equilibrium adsorption capacity (mg g−1),
- qt—adsorption capacity at t time (mg g−1),
- k1—pseudo first-order constant (min−1), t—contact time (min).
- qe—equilibrium adsorption capacity (mg g−1),
- qt—adsorption capacity at t time (mg g−1),
- k2—pseudo second-order constant (g mg−1 min−1),
- t—contact time (min).
- k2—speed constant (g min−1 mg−1),
- A—Arrhenius constant (g min mg−1),
- Ea—activation energy (kJ mol−1),
- T—absolute temperature (K),
- R—ideal gas constant (8.314 J mol−1 K−1).
- qt—adsorption capacity at t time; kdiff—intraparticle diffusion speed constant (mg g−1 min−1/2);
- C—a constant correlated with the thickness of the liquid film surrounding the adsorbent particles.
- qe—equilibrium adsorption capacity (mg g−1),
- Ce—metal ion equilibrium concentration from solution (mg L−1),
- qL—Langmuir maximum adsorption capacity (mg g−1), KL–Langmuir constant.
- qe—equilibrium adsorption capacity (mg g−1),
- Ce—metal ion equilibrium concentration from solution (mg g−1), KF and
- nF—characteristic constants that can be associated with the relative adsorption capacity of the adsorbent or the adsorption intensity.
- qS—maximum adsorption capacity (mg g−1),
- KS—constant related to the adsorbent adsorption capacity,
- nS—heterogeneousness factor.
- ΔG0—Gibbs free energy standard variation (kJ mol−1),
- ΔH0—enthalpy standard variation (kJ mol−1),
- ΔS0—entropy standard variation (J mol−1 K−1),
- T—absolute temperature (K).
- Kd—equilibrium constant,
- ΔS0—entropy standard variation (J mol−1 K−1),
- ΔH0—enthalpy standard variation (kJ mol−1),
- T—absolute temperature (K),
- R—ideal gas constant 8.314 (J mol−1 K−1).
- Cd—desorption concentration of Pd(II).
4. Conclusions
Author Contributions
Funding
Institutional Review Board Statement
Informed Consent Statement
Data Availability Statement
Conflicts of Interest
References
- Pedersen, C.J. Cyclic Polyethers and Their Complexes with Metal Salts. J. Am. Chem. Soc. 1967, 89, 7017–7036. [Google Scholar] [CrossRef]
- Terashima, A.; Kaneshiki, T.; Nomura, M.; Ozawa, M. Separation and recovery of palladium from nitric acid solution by silica based benzo-15-crown-5 ether resin. Energy Procedia 2017, 131, 163–169. [Google Scholar] [CrossRef]
- Multi Language Documents. Available online: https://vdocuments.site/part-ii-chapter-1-1-part-iipdf-part-ii-chapter-1-introduction-to-crown-ethers.html (accessed on 20 January 2021).
- Mendoza, C.; Jansat, S.; Vilar, R.; Pericas, M.A. Clickable Complexing Agents: Functional Crown Ethers for Immobilisation onto Polymers and Magnetic Nanoparticles. RSC Adv. 2015, 5, 87352–87363. [Google Scholar] [CrossRef][Green Version]
- Fu, F.L.; Wang, Q. Removal of heavy metal ions from wastewaters: A review. J. Environ. Manag. 2011, 92, 407–418. [Google Scholar] [CrossRef]
- Mudhoo, A.; Sharma, S.K.; Garg, V.K.; Tseng, C.H. Arsenic: An Overview of Applications, Health, and Environmental Concerns and Removal Processes. Crit. Rev. Environ. Sci. Technol. 2011, 41, 435–519. [Google Scholar] [CrossRef]
- Rao, C.R.M.; Reddi, G.S. Platinum group metals (PGM); occurrence, use and recent trends in their determination. TrAC Trends Anal. Chem. 2000, 19, 565–586. [Google Scholar] [CrossRef]
- Qin, W.; Xu, S.; Xu, G.; Xie, Q.; Wang, C.; Xu, Z. Preparation of silica gel bound crown ether and its extraction performance towards zirconium and hafnium. Chem. Eng. J. 2013, 225, 528–534. [Google Scholar] [CrossRef]
- Sommers, J.A.; Perrine, J.G. Method for Separation Hafnium from Zirconium. U.S. Patent No. 6737030, 18 May 2002. [Google Scholar]
- Jal, P.K.; Patel, S.; Mishra, B.K. Chemical modification of silica surface by immobilization of functional groups for extractive concentration of metal ions. Talanta 2004, 62, 1005–1028. [Google Scholar] [CrossRef] [PubMed]
- Izatt, R.M.; Bradshaw, J.S.; Nielsen, S.A.; Lamb, J.D. Thermodynamic and kinetic data for cation-macrocycle interaction. Chem. Rev. 1985, 85, 271–278. [Google Scholar] [CrossRef]
- Alexander, V. Design and synthesis of macrocyclic ligands and their complexes of lanthanides and actinides. Chem. Rev. 1995, 95, 273–342. [Google Scholar] [CrossRef]
- Ciopec, M.; Negrea, A.; Duteanu, N.; Davidescu, C.M.; Hulka, I.; Motoc, M.; Negrea, P.; Grad, O. As(III) removal by dynamic adsorption onto Amberlite XAD7 functionalized with crown ether and doped with Fe(III) ions. Rev. Chim. 2019, 70, 2330–2334. [Google Scholar] [CrossRef]
- Gabor, A.; Davidescu, C.M.; Negrea, A.; Ciopec, M.; Muntean, C.; Negrea, P.; Ianasi, C.; Butnariu, M. Magnesium silicate doped with environmentally friendly extractants used for rare earth elements adsorption. Desalination Water Treat. 2017, 63, 124–134. [Google Scholar]
- Gabor, A.; Davidescu, C.M.; Negrea, A.; Ciopec, M.; Butnariu, M.; Ianasi, C.; Muntean, C.; Negrea, P. Lanthanum separation from aqueous solutions using magnesium silicate functionalized with tetrabutylammonium dihydrogen phosphate. J. Chem. Eng. Data 2015, 61, 535–542. [Google Scholar] [CrossRef]
- Kroschwitz, J.I. Platinum-group metals. In Encyclopedia of Chemical Technology; Kirk, O., Ed.; John Wiley & Sons: New York, NY, USA, 1996; pp. 347–406. [Google Scholar]
- Umemura, T.; Sato, K.; Kusaka, Y.; Satoh, H. Palladium. In Handbook on the Toxicology of Metals, 4th ed.; Gunnar, F., Fowler, B.A., Nordberg, M., Eds.; Academic Press: San Diego, CA, USA, 2015; pp. 1113–1123. [Google Scholar]
- Stümke, M. Dental materials; metallic materials for prostheses. In Ullmann’s Encyclopedia of Industrial Chemistry, 5th ed.; Elvers, B., Hawkins, S., Schulz, G., Eds.; VCH Verlagsgesellschaft: Weinheim, Germany, 1992; pp. 260–264. [Google Scholar]
- Coombes, J.S. Palladium. In Platinum; Internal Report; Johnson Matthey PLC: London, UK, 1990; pp. 51–57. [Google Scholar]
- Sharma, S.; Kumar, A.S.K.; Rajesh, N. A perspective on diverse adsorbent materials to recover precious palladium and the way forward. RSC Adv. 2017, 7, 52133–52142. [Google Scholar] [CrossRef]
- Kumar, A.S.K.; Sharma, S.; Reddy, R.S.; Barathi, M.; Rajesh, N. Comprehending the interaction between chitosan and ionic liquid forthe adsorption of palladium. Int. J. Biol. Macromol. 2015, 72, 633–639. [Google Scholar] [CrossRef] [PubMed]
- Baloch, M.I.; Akunna, J.C.; Kierans, M.; Collier, P.J. Structural analysis of anaerobic granules in a phase separated reactor by electron microscopy. Bioresour. Technol. 2008, 99, 922–929. [Google Scholar] [CrossRef]
- Deya, R.K.; Airoldib, C. Designed pendant chain covalently bonded to silica gel for cation removal. J. Hazard. Mater. 2008, 156, 95–101. [Google Scholar] [CrossRef]
- Sales, J.A.; Petrucelli, G.C.; Oliverira, F.J.; Airoldi, C. Some features associated with organosilane groups grafted by the sol–gel process onto synthetic talc-like phyllosilicate. J. Colloid Interface Sci. 2006, 297, 95–103. [Google Scholar] [CrossRef]
- Dardouri, M.; Amor, A.B.H.; Meganem, F. Diazabenzo crowns grafted on the polystyrene and application of extraction of metal cations. Desalination Water Treat. 2016, 57, 6477–6486. [Google Scholar] [CrossRef]
- Thommes, M.; Kaneko, K.; Neimark, A.V.; Olivier, J.P.; Rodriguez-Reinoso, F.; Rouquerol, J.; Sing, K.S.W. Physisorption of gases, with special reference to the evaluation of surface area and pore size distribution (IUPAC Technical Report). Pure Appl. Chem. 2015, 87, 1051–1069. [Google Scholar] [CrossRef]
- Van Middlesworth, M.; Wood, S.A. The stability of palladium(II) hydroxide and hydroxy–chloride complexes: An experimental solubility study at 25–85 °C and 1 bar. Geochim. Cosmochim. Acta 1999, 63, 1751–1765. [Google Scholar] [CrossRef]
- Kitamura, A.; Yui, M. Reevaluation of Thermodynamic Data for Hydroxide and Hydrolysis Species of Palladium(II) Using the Brønsted-Guggenheim-Scatchard Model. J. Nucl. Sci. Technol. 2010, 47, 760–770. [Google Scholar] [CrossRef]
- Colombo, C.; Oates, C.J.; Monhemius, A.J.; Plant, J.A. Complexation of platinum, palladium and rhodium with inorganic ligands in the environment. Geochem. Explor. Environ. Anal. 2008, 8, 91–101. [Google Scholar] [CrossRef]
- Ho, Y. Review of second-order models for adsorption systems. J. Hazard. Mater. 2006, 136, 681–689. [Google Scholar] [CrossRef] [PubMed]
- Yurdakoc, M.; Seki, Y.; Karahan, S.; Yurdakoc, K. Boron Removal from Brine by XSC-700. J. Colloid Interface Sci. 2005, 286, 440–446. [Google Scholar]
- Pholos, A.; Naidoo, E.B.; Ofomaja, A.E. Intraparticle diffusion of Cr(VI) through biomass and magnetite coated biomass: A comparative kinetic and diffusion study. South Afr. J. Chem. Eng. 2020, 32, 39–55. [Google Scholar] [CrossRef]
- Weber, W.J., Jr.; Morris, J.C. Equilibria and Capacities for Adsorption on Carbon. J. Sanit. Eng. Div. 1964, 90, 79–108. [Google Scholar] [CrossRef]
- Edeskuty, F.J.; Amundson, N.R. Mathematics of Adsorption. IV. Effect of Intraparticle Diffusion in Agitated Static Systems. J. Phys. Chem. 1952, 56, 148–152. [Google Scholar] [CrossRef]
- Zhang, P.; Wang, Y.; Zhang, D.; Bai, H.; Tarasov, V. Calixarene-functionalized graphene oxide composites for adsorption of neodymium ions from the aqueous phase. RSC Adv. 2016, 6, 30384–30394. [Google Scholar] [CrossRef]
- Zaki, A.; El-Zakla, T.; El Geleel, M.A. Modeling kinetics and thermodynamics of Cs+ and Eu3+ removal from waste solutions using modified cellulose acetate membranes. J. Membr. Sci. 2012, 401–402, 1–12. [Google Scholar] [CrossRef]
- Fayemi, O.E.; Ogunlaja, A.S.; Kempgens, P.F.; Antunes, E.; Torto, N.; Nyokong, T.; Tshentu, Z.R. Adsorption and separation of platinum and palladium by polyamine functionalized polystyrene-based beads and nanofibers. Miner. Eng. 2013, 53, 256–265. [Google Scholar] [CrossRef]
- Wasikiewicz, J.M.; Mitomo, H.; Seko, N.; Tamada, M.; Yoshii, F. Platinum and palladium ions adsorption at the trace amounts by radiation crosslinked carboxymethylchitin and carboxymethylchitosan hydrogels. J. Appl. Polym. Sci. 2007, 104, 4015–4023. [Google Scholar] [CrossRef]
- Sharma, S.; Rajesh, N. 2-Mercaptobenzothiazole impregnated cellulose prepared by ultrasonication for the effective adsorption of precious metal palladium. Chem. Eng. J. 2014, 241, 112–121. [Google Scholar] [CrossRef]
- Sharma, S.; Barathi, M.; Rajesh, N. Efficacy of a heterocyclic ligand anchored biopolymer adsorbent for the sequestration of palladium. Chem. Eng. J. 2015, 259, 457–466. [Google Scholar] [CrossRef]
- Wu, S.; Xie, M.; Zhang, Q.; Zhong, L.; Chen, M.; Huang, Z. Isopentyl-Sulfide-Impregnated Nano-MnO2 for the Selective Sorption of Pd(II) from the Leaching Liquor of Ores. Molecules 2017, 22, 1117. [Google Scholar] [CrossRef] [PubMed]
- Ruhela, R.; Singh, K.K.; Tomar, B.S.; Sharma, J.N.; Kumar, M.; Hubli, R.C.; Suri, A.K. Amberlite XAD-16 functionalized with 2-acetyl pyridine group for the solid phase extraction and recovery of palladium from high level waste solution. Sep. Purif. Technol. 2012, 99, 36–43. [Google Scholar] [CrossRef]
- Sabermahani, F.; Saeidi, M.; Sharifzade, V. Removal of nickel(II) and palladium(II) from surface waters. Bull. Chem. Soc. Ethiop. 2013, 27, 15–23. [Google Scholar] [CrossRef]
- Sabermahani, F.; Taher, M.A. Flame atomic absorption determination of palladium after separation and preconcentration using polyethyleneimine water-soluble polymer/alumina as a new sorbent. J. Anal. At. Spectrom. 2010, 25, 1102–1106. [Google Scholar] [CrossRef]
- Starynowicz, P. Europium(II) complexes with unsubstituted crown ethers. Polyhedron 2003, 22, 337–345. [Google Scholar] [CrossRef]
- Cortina, J.L.; Warshawsky, A. Extraction with solvent-impregnated resins. In Ion Exchange and Solvent Extraction; Marinsky, J.A., Marcus, Y., Eds.; Marcel-Dekker: New York, NY, USA, 1981; Volume 8, pp. 229–310. [Google Scholar]
- Juang, R.S. Preparation, properties and sorption behaviour of Impregnated resins containing acidic organophosphorus extractants. Proc. Natl. Sci. Counc. Repub. China A Phys. Sci. Eng. 1999, 23, 353–364. [Google Scholar]
- Borah, D.; Satokawa, S.; Kato, S.; Kojima, T. Surface-modified carbon black for As (V) removal. J. Colloid Interface Sci. 2008, 319, 53–62. [Google Scholar] [CrossRef] [PubMed]
- Borah, D.; Satokawa, S.; Kato, S.; Kojima, T. Sorption of As(V) from aqueous solution using acid modified carbon black. J. Hazard. Mater. 2009, 162, 1269–1277. [Google Scholar] [CrossRef] [PubMed]
- Volesky, B.; Holan, Z.R. Biosorption of heavy metals. Biotechnol. Prog. 1995, 11, 235–250. [Google Scholar] [CrossRef] [PubMed]
- Wang, J.; Chen, C. Biosorbents for heavy metals removal and their future. Biotechnol. Adv. 2009, 27, 195–226. [Google Scholar] [CrossRef]
- Bhalara, P.D.; Punetha, D.; Balasubramanian, K. A review of potential remediation techniques for uranium(VI) ion retrieval from contaminated aqueous environment. J. Environ. Chem. Eng. 2014, 2, 1621–1634. [Google Scholar] [CrossRef]
- Lagergren, S. About the theory of so-called adsorption of soluble substances. K. Sven. Vetensk. Akad. Handl. 1898, 24, 1–9. [Google Scholar]
- Sert, S.; Kutahyali, C.; Inan, S.; Talip, Z.; Cetinkaya, B.; Eral, M. Biosorption of lanthanum and cerium from aqueous solutions by Platanus orientalis leaf powder. Hydrometallurgy 2008, 90, 13–18. [Google Scholar] [CrossRef]
- Gautam, R.K.; Chattopadhya, M.C.; Sharma, S.K. Biosorption of Heavy Metals: Recent Trends and Challenges. In Wastewater Reuse and Management; Sharma, S.K., Sanghi, R., Eds.; Springer: Dordrecht, The Netherlands, 2013; pp. 305–322. [Google Scholar]
- Kucuker, M.A.; Wieczorek, N.; Kuchta, K.; Copty, N.K. Biosorption of neodymium on Chlorella vulgaris in aqueous solution obtained from hard disk drive magnets. PLoS ONE 2017, 12, e0175255. [Google Scholar] [CrossRef]
- Langmuir, I. The adsorption of gases on plane surfaces of glass, mica and platinum. J. Am. Chem. Soc. 1918, 40, 1361–1403. [Google Scholar] [CrossRef]
- Freundlich, H.M.F. Uber die adsorption in losungen. Z. Phys. Chem. 1906, 57, 385–470. [Google Scholar] [CrossRef]
- Sips, R. On the structure of a catalyst surface. J. Phys. Chem. 1948, 16, 490–495. [Google Scholar] [CrossRef]
- Atkins, P.W. Physical Chemistry; Oxford University Press: Oxford, UK, 1978. [Google Scholar]
















| Sample | BET Surface Area (m2 g−1) | Pore Width (nm) | Total Pore Volume (cm3 g−1) | Fractal Dimension |
|---|---|---|---|---|
| MgSiO3 | 205 | 3.87 | 0.33 | 66.6 |
| MgSiO3-DB18C6 | 75 | 1.69 | 0.03 | 2.65 |
| MgSiO3-DB30C10 | 215 | 2.89 | 0.48 | 69.5 |
| Temperature (K) | qe,exp (mg g−1) | Pseudo-First Order Kinetic Model | Pseudo-Second Order Kinetic Model | ||||
|---|---|---|---|---|---|---|---|
| qe,calc (mg g−1) | k1 (min−1) | R2 | qe,calc (mg g−1) | k2 (g mg−1 min−1) | R2 | ||
| MgSiO3-DB18C6 | |||||||
| 298 | 3.58 | 1.60 | 0.0059 | 0.9147 | 3.72 | 2.3579 | 0.9974 |
| 308 | 3.99 | 2.02 | 0.0065 | 0.9305 | 3.84 | 2.1850 | 0.9966 |
| 318 | 4.20 | 2.29 | 0.0075 | 0.9501 | 3.99 | 2.0462 | 0.9974 |
| MgSiO3-DB30C10 | |||||||
| 298 | 4.11 | 2.06 | 0.0075 | 0.8656 | 4.34 | 2.1496 | 0.9917 |
| 308 | 4.59 | 2.51 | 0.0091 | 0.8456 | 4.82 | 3.1390 | 0.9974 |
| 318 | 4.78 | 2.65 | 0.0975 | 0.9627 | 5.10 | 4.4606 | 0.9966 |
| Adsorbent Material | Intraparticle Diffusion Model (IPD) | ||
|---|---|---|---|
| Kdiff (mg g−1 min −1/2) | C | R2 | |
| MgSiO3-DB18C6 | 1.62 | 0.15 | 0.9479 |
| MgSiO3-DB30C10 | 1.00 | 0.24 | 0.8969 |
| Material | qm,exp (mg g−1) | Langmuir Isotherm | Freundlich Isotherm | Sips Isotherm | |||||||
|---|---|---|---|---|---|---|---|---|---|---|---|
| qL (mg g−1) | KL | R2 | KF (mg g−1) | 1/nF | R2 | KS | qS (mg g−1) | 1/nS | R2 | ||
| MgSiO3-DB18C6 | 21.12 | 26.41 | 0.089 | 0.8800 | 4.91 | 0.36 | 0.7206 | 0.0026 | 21.65 | 0.06 | 0.9980 |
| MgSiO3-DB30C10 | 34.80 | 48.9 | 0.073 | 0.8421 | 6.45 | 0.45 | 0.6885 | 0.0013 | 35.68 | 0.02 | 0.9910 |
| Adsorbent Materials | Activation Energy (kJ mol−1) | R2 |
|---|---|---|
| MgSiO3-DB18C6 | 55.8 | 0.9994 |
| MgSiO3-DB30C10 | 58.3 | 0.9999 |
| Temperature (K) | MgSiO3-DB18C6 | MgSiO3-DB30C10 | ||||
|---|---|---|---|---|---|---|
| ΔG0 (kJ mol−1) | ΔH0 (kJ mol−1) | ΔS0 (kJ mol−1 K−1) | ΔG0 (kJ mol−1) | ΔH0 (kJ mol−1) | ΔS0 (kJ mol−1 K−1) | |
| 298 | −15.82 | 17.05 | 53.16 | −62.67 | 62.3 | 210.5 |
| 308 | −16.36 | −64.77 | ||||
| 318 | −16.88 | −66.88 | ||||
| Material | Adsorption Capacity (mg g−1) | Reference |
|---|---|---|
| Polyamine functionalized polystyrene-based beads | 0.2 | [37] |
| Cross-linked carboxymethylchitin and carboxymethylchitosan hydrogels | 2.68 | [38] |
| Polyamine functionalized polystyrene-based beads and nanofibers | 4.3 | [37] |
| 2-Mercaptobenzothiazole impregnated cellulose | 5 | [39] |
| Chitosan | 5.88 | [40] |
| Nanofire de α-MnO2 α-MnO2 nanorods | 7.9 | [41] |
| Amberlite XAD-16 functionalized with 2-acteyl pyridine | 8 | [42] |
| Alumina loaded with 5-bromo-2-pyridylazo-5-diethylaminophenol | 11 | [43] |
| Polyethylenimine (PEI) onto alumina | 13 | [44] |
| 2-Mercaptobenzimidazole impregnated chitosan | 19.26 | [40] |
| MgSiO3-DB18C6 | 20 | This paper |
| MgSiO3-DB30C10 | 34.7 | This paper |
| Materials | Structure | Properties |
|---|---|---|
| Magnesium silicate (MgSiO3) | ![]() | Density: 3.21 (g/cm−3) Melting point: 191 °C Particle size: 0.15–0.25 mm |
| Dibenzo 18-crown-6 (DB18C6) | ![]() | Melting point: 162–164 °C Boiling point: 380–384 °C Density: 1.1801 (g/cm−3) Solubility: 0.007 (g/L−1) Form: fluffy powder |
| Dibenzo 30-crown-10 (DB 30C10) | ![]() | Melting point: 106–108 °C Boiling point: 573.63 °C Density: 1.1391 (g/cm−3) Form: white crystalline powder |
Publisher’s Note: MDPI stays neutral with regard to jurisdictional claims in published maps and institutional affiliations. |
© 2021 by the authors. Licensee MDPI, Basel, Switzerland. This article is an open access article distributed under the terms and conditions of the Creative Commons Attribution (CC BY) license (https://creativecommons.org/licenses/by/4.0/).
Share and Cite
Ciopec, M.; Grad, O.; Negrea, A.; Duteanu, N.; Negrea, P.; Paul, C.; Ianăși, C.; Mosoarca, G.; Vancea, C. A New Perspective on Adsorbent Materials Based Impregnated MgSiO3 with Crown Ethers for Palladium Recovery. Int. J. Mol. Sci. 2021, 22, 10718. https://doi.org/10.3390/ijms221910718
Ciopec M, Grad O, Negrea A, Duteanu N, Negrea P, Paul C, Ianăși C, Mosoarca G, Vancea C. A New Perspective on Adsorbent Materials Based Impregnated MgSiO3 with Crown Ethers for Palladium Recovery. International Journal of Molecular Sciences. 2021; 22(19):10718. https://doi.org/10.3390/ijms221910718
Chicago/Turabian StyleCiopec, Mihaela, Oana Grad, Adina Negrea, Narcis Duteanu, Petru Negrea, Cristina Paul, Catalin Ianăși, Giannin Mosoarca, and Cosmin Vancea. 2021. "A New Perspective on Adsorbent Materials Based Impregnated MgSiO3 with Crown Ethers for Palladium Recovery" International Journal of Molecular Sciences 22, no. 19: 10718. https://doi.org/10.3390/ijms221910718
APA StyleCiopec, M., Grad, O., Negrea, A., Duteanu, N., Negrea, P., Paul, C., Ianăși, C., Mosoarca, G., & Vancea, C. (2021). A New Perspective on Adsorbent Materials Based Impregnated MgSiO3 with Crown Ethers for Palladium Recovery. International Journal of Molecular Sciences, 22(19), 10718. https://doi.org/10.3390/ijms221910718




