iBitter-Fuse: A Novel Sequence-Based Bitter Peptide Predictor by Fusing Multi-View Features
Abstract
1. Introduction
2. Materials and Methods
2.1. Benchmark Dataset
2.2. Feature Encodings
2.3. Support Vector Machine
2.4. Feature Selection Based on GA-SAR
2.5. Performance Evaluation
3. Results and Discussion
3.1. Performance Comparison of Different Feature Encodings
3.2. Determination of Optimal Features
3.3. Comparison of Our Fused Features and Other Feature Descriptors
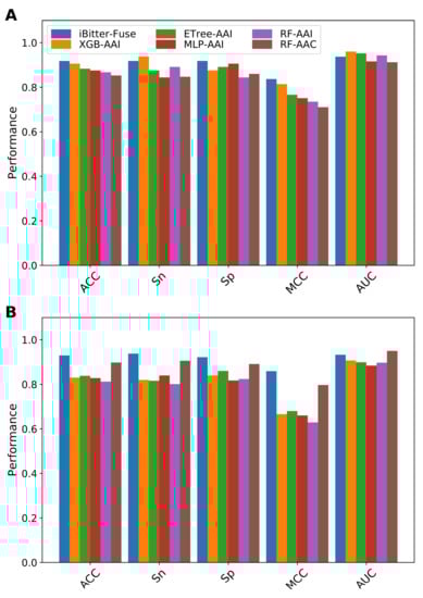
3.4. Comparison of iBitter-Fuse with Conventional ML Classifiers
3.5. Comparison of iBitter-Fuse with the State-of-the-Art Methods
3.6. iBitter-Fuse Web Server
4. Conclusions
Supplementary Materials
Author Contributions
Funding
Institutional Review Board Statement
Informed Consent Statement
Data Availability Statement
Acknowledgments
Conflicts of Interest
References
- Adler, E.; Hoon, M.A.; Mueller, K.L.; Chandrashekar, J.; Ryba, N.J.; Zuker, C.S. A Novel Family of Mammalian Taste Receptors. Cell 2000, 100, 693–702. [Google Scholar] [CrossRef]
- Xu, B.; Chung, H.Y. Quantitative Structure–Activity Relationship Study of Bitter Di-, Tri- and Tetrapeptides Using Integrated Descriptors. Molecules 2019, 24, 2846. [Google Scholar] [CrossRef]
- Soltani, S.; Haghaei, H.; Shayanfar, A.; Vallipour, J.; Zeynali, K.A.; Jouyban, A. QSBR Study of Bitter Taste of Peptides: Application of GA-PLS in Combination with MLR, SVM, and ANN Approaches. BioMed Res. Int. 2013, 2013, 1–13. [Google Scholar] [CrossRef] [PubMed]
- Maehashi, K.; Huang, L. Bitter peptides and bitter taste receptors. Cell. Mol. Life Sci. 2009, 66, 1661–1671. [Google Scholar] [CrossRef]
- Drewnowski, A.; Gomez-Carneros, C. Bitter taste, phytonutrients, and the consumer: A review. Am. J. Clin. Nutr. 2000, 72, 1424–1435. [Google Scholar] [CrossRef]
- Huang, W.; Shen, Q.; Su, X.; Ji, M.; Liu, X.; Chen, Y.; Lu, S.; Zhuang, H.; Zhang, J. BitterX: A tool for understanding bitter taste in humans. Sci. Rep. 2016, 6, 23450. [Google Scholar] [CrossRef] [PubMed]
- Zheng, S.; Jiang, M.; Zhao, C.; Zhu, R.; Hu, Z.; Xu, Y.; Lin, F. e-Bitter: Bitterant Prediction by the Consensus Voting from the Machine-Learning Methods. Front. Chem. 2018, 6, 82. [Google Scholar] [CrossRef]
- Hansch, C.; Leo, A.; Hoekman, D. Exploring QSAR: Fundamentals and Applications in Chemistry and Biology; American Chemical Society: Washington, DC, USA, 1995. [Google Scholar]
- Hellberg, S.; Sjoestroem, M.; Skagerberg, B.; Wold, S. Peptide quantitative structure-activity relationships, a multivariate approach. J. Med. Chem. 1987, 30, 1126–1135. [Google Scholar] [CrossRef]
- Kim, H.-O.; Li-Chan, E.C.Y. Quantitative Structure−Activity Relationship Study of Bitter Peptides. J. Agric. Food Chem. 2006, 54, 10102–10111. [Google Scholar] [CrossRef] [PubMed]
- Wu, J.; Aluko, R.E. Quantitative structure-activity relationship study of bitter di-and tri-peptides including relationship with angiotensin I-converting enzyme inhibitory activity. J. Pept. Sci. Off. Publ. Eur. Pept. Soc. 2007, 3, 63–69. [Google Scholar] [CrossRef]
- Yin, J.; Diao, Y.; Wen, Z.; Wang, Z.; Li, M. Studying Peptides Biological Activities Based on Multidimensional Descriptors (E) Using Support Vector Regression. Int. J. Pept. Res. Ther. 2010, 16, 111–121. [Google Scholar] [CrossRef]
- Tong, J.; Liu, S.; Zhou, P.; Wu, B.; Li, Z. A novel descriptor of amino acids and its application in peptide QSAR. J. Theor. Biol. 2008, 253, 90–97. [Google Scholar] [CrossRef] [PubMed]
- Lin, Z.-H.; Long, H.-X.; Bo, Z.; Wang, Y.-Q.; Wu, Y.-Z. New descriptors of amino acids and their application to peptide QSAR study. Peptides 2008, 29, 1798–1805. [Google Scholar] [CrossRef]
- Liang, G.; Yang, L.; Kang, L.; Mei, H.; Li, Z. Using multidimensional patterns of amino acid attributes for QSAR analysis of peptides. Amino Acids 2008, 37, 583–591. [Google Scholar] [CrossRef] [PubMed]
- Dagan-Wiener, A.; Nissim, I.; Ben Abu, N.; Borgonovo, G.; Bassoli, A.; Niv, M.Y. Bitter or not? BitterPredict, a tool for predicting taste from chemical structure. Sci. Rep. 2017, 7, 1–13. [Google Scholar] [CrossRef]
- Charoenkwan, P.; Yana, J.; Schaduangrat, N.; Nantasenamat, C.; Hasan, M.M.; Shoombuatong, W. iBitter-SCM: Identification and characterization of bitter peptides using a scoring card method with propensity scores of dipeptides. Genomics 2020, 112, 2813–2822. [Google Scholar] [CrossRef] [PubMed]
- Charoenkwan, P.; Nantasenamat, C.; Hasan, M.; Manavalan, B.; Shoombuatong, W. BERT4Bitter: A bidirectional encoder representations from transformers (BERT)-based model for improving the prediction of bitter peptides. Bioinformatics 2021, btab133. [Google Scholar] [CrossRef] [PubMed]
- Charoenkwan, P.; Chiangjong, W.; Nantasenamat, C.; Hasan, M.; Manavalan, B.; Shoombuatong, W. StackIL6: A stacking ensemble model for improving the prediction of IL-6 inducing peptides. Briefings Bioinform. 2021, bbab172. [Google Scholar] [CrossRef] [PubMed]
- Charoenkwan, P.; Nantasenamat, C.; Hasan, M.M.; Shoombuatong, W. Meta-iPVP: A sequence-based meta-predictor for improving the prediction of phage virion proteins using effective feature representation. J. Comput.-Aided Mol. Des. 2020, 34, 1105–1116. [Google Scholar] [CrossRef]
- Hasan, M.; Schaduangrat, N.; Basith, S.; Lee, G.; Shoombuatong, W.; Manavalan, B. HLPpred-Fuse: Improved and robust prediction of hemolytic peptide and its activity by fusing multiple feature representation. Bioinformatics 2020, 36, 3350–3356. [Google Scholar] [CrossRef]
- Hasan, M.M.; Alam, M.A.; Shoombuatong, W.; Deng, H.-W.; Manavalan, B.; Kurata, H. NeuroPred-FRL: An interpretable prediction model for identifying neuropeptide using feature representation learning. Brief. Bioinform. 2021, bbab167. [Google Scholar] [CrossRef] [PubMed]
- Manavalan, B.; Basith, S.; Shin, T.H.; Wei, L.; Lee, G. mAHTPred: A sequence-based meta-predictor for improving the prediction of anti-hypertensive peptides using effective feature representation. Bioinformatics 2019, 35, 2757–2765. [Google Scholar] [CrossRef] [PubMed]
- Manavalan, B.; Basith, S.; Shin, T.H.; Wei, L.; Lee, G. Meta-4mCpred: A Sequence-Based Meta-Predictor for Accurate DNA 4mC Site Prediction Using Effective Feature Representation. Mol. Ther. Nucleic Acids 2019, 16, 733–744. [Google Scholar] [CrossRef] [PubMed]
- Charoenkwan, P.; Hwang, E.; Cutler, R.W.; Lee, H.-C.; Ko, L.-W.; Huang, H.-L.; Ho, S.-Y. HCS-Neurons: Identifying phenotypic changes in multi-neuron images upon drug treatments of high-content screening. BMC Bioinform. 2013, 14, S12. [Google Scholar] [CrossRef][Green Version]
- Charoenkwan, P.; Schaduangrat, N.; Nantasenamat, C.; Piacham, T.; Shoombuatong, W. iQSP: A Sequence-Based Tool for the Prediction and Analysis of Quorum Sensing Peptides via Chou’s 5-Steps Rule and Informative Physicochemical Properties. Int. J. Mol. Sci. 2020, 21, 75. [Google Scholar] [CrossRef]
- Liu, K.; Chen, W. iMRM: A platform for simultaneously identifying multiple kinds of RNA modifications. Bioinformatics 2020, 36, 3336–3342. [Google Scholar] [CrossRef]
- Liu, K.; Chen, W.; Lin, H. XG-PseU: An eXtreme Gradient Boosting based method for identifying pseudouridine sites. Mol. Genet. Genom. 2020, 295, 13–21. [Google Scholar] [CrossRef]
- Liu, Y.; Chen, D.; Su, R.; Chen, W.; Wei, L. iRNA5hmC: The First Predictor to Identify RNA 5-Hydroxymethylcytosine Modifications Using Machine Learning. Front. Bioeng. Biotechnol. 2020, 8, 227. [Google Scholar] [CrossRef] [PubMed]
- Lv, H.; Zhang, Z.-M.; Li, S.-H.; Tan, J.-X.; Chen, W.; Lin, H. Evaluation of different computational methods on 5-methylcytosine sites identification. Briefings Bioinform. 2020, 21, 982–995. [Google Scholar] [CrossRef]
- Kawashima, S.; Ogata, H.; Kanehisa, M. AAindex: Amino Acid Index Database. Nucleic Acids Res. 1999, 27, 368–369. [Google Scholar] [CrossRef]
- Schaduangrat, N.; Nantasenamat, C.; Prachayasittikul, V.; Shoombuatong, W. Meta-iAVP: A Sequence-Based Meta-Predictor for Improving the Prediction of Antiviral Peptides Using Effective Feature Representation. Int. J. Mol. Sci. 2019, 20, 5743. [Google Scholar] [CrossRef]
- Pratiwi, R.; Malik, A.A.; Schaduangrat, N.; Prachayasittikul, V.; Wikberg, J.E.S.; Nantasenamat, C.; Shoombuatong, W. CryoProtect: A Web Server for Classifying Antifreeze Proteins from Nonantifreeze Proteins. J. Chem. 2017, 2017, 1–15. [Google Scholar] [CrossRef]
- Win, T.S.; Malik, A.A.; Prachayasittikul, V.; Wikberg, J.E.S.; Nantasenamat, C.; Shoombuatong, W. HemoPred: A web server for predicting the hemolytic activity of peptides. Futur. Med. Chem. 2017, 9, 275–291. [Google Scholar] [CrossRef]
- Win, T.S.; Schaduangrat, N.; Prachayasittikul, V.; Nantasenamat, C.; Shoombuatong, W. PAAP: A web server for predicting antihypertensive activity of peptides. Futur. Med. Chem. 2018, 10, 1749–1767. [Google Scholar] [CrossRef]
- Charoenkwan, P.; Kanthawong, S.; Schaduangrat, N.; Yana, J.; Shoombuatong, W. PVPred-SCM: Improved Prediction and Analysis of Phage Virion Proteins Using a Scoring Card Method. Cells 2020, 9, 353. [Google Scholar] [CrossRef] [PubMed]
- Charoenkwan, P.; Shoombuatong, W.; Lee, H.-C.; Chaijaruwanich, J.; Huang, H.-L.; Ho, S.-Y. SCMCRYS: Predicting Protein Crystallization Using an Ensemble Scoring Card Method with Estimating Propensity Scores of P-Collocated Amino Acid Pairs. PLoS ONE 2013, 8, e72368. [Google Scholar] [CrossRef] [PubMed]
- Laengsri, V.; Nantasenamat, C.; Schaduangrat, N.; Nuchnoi, P.; Prachayasittikul, V.; Shoombuatong, W. TargetAntiAngio: A Sequence-Based Tool for the Prediction and Analysis of Anti-Angiogenic Peptides. Int. J. Mol. Sci. 2019, 20, 2950. [Google Scholar] [CrossRef]
- Shoombuatong, W.; Schaduangrat, N.; Pratiwi, R.; Nantasenamat, C. THPep: A machine learning-based approach for predicting tumor homing peptides. Comput. Biol. Chem. 2019, 80, 441–451. [Google Scholar] [CrossRef]
- Chen, W.; Ding, H.; Feng, P.; Lin, H.; Chou, K.-C. iACP: A sequence-based tool for identifying anticancer peptides. Oncotarget 2016, 7, 16895–16909. [Google Scholar] [CrossRef]
- Chou, K.-C. Some remarks on protein attribute prediction and pseudo amino acid composition. J. Theor. Biol. 2011, 273, 236–247. [Google Scholar] [CrossRef]
- Chou, K.-C. Impacts of Bioinformatics to Medicinal Chemistry. Med. Chem. 2015, 11, 218–234. [Google Scholar] [CrossRef]
- Feng, C.Q.; Zhang, Z.Y.; Zhu, X.J.; Lin, Y.; Chen, W.; Tang, H.; Lin, H. iTerm-PseKNC: A sequence-based tool for predicting bacterial transcriptional terminators. Bioinformatics 2019, 35, 1469–1477. [Google Scholar] [CrossRef]
- Lai, H.-Y.; Zhang, Z.-Y.; Su, Z.-D.; Su, W.; Ding, H.; Chen, W.; Lin, H. iProEP: A Computational Predictor for Predicting Promoter. Mol. Ther. Nucleic Acids 2019, 17, 337–346. [Google Scholar] [CrossRef]
- Su, Z.D.; Huang, Y.; Zhang, Z.Y.; Zhao, Y.W.; Wang, D.; Chen, W.; Lin, H. iLoc-lncRNA: Predict the subcellular location of lncRNAs by incorporating octamer composition into general PseKNC. Bioinformatics 2018, 34, 4196–4204. [Google Scholar] [CrossRef]
- Xu, Z.-C.; Feng, P.-M.; Yang, H.; Qiu, W.-R.; Chen, W.; Lin, H. iRNAD: A computational tool for identifying D modification sites in RNA sequence. Bioinformatics 2019, 35, 4922–4929. [Google Scholar] [CrossRef] [PubMed]
- Zhang, Z.-Y.; Yang, Y.-H.; Ding, H.; Wang, D.; Chen, W.; Lin, H. Design powerful predictor for mRNA subcellular location prediction in Homo sapiens. Briefings Bioinform. 2021, 22, 526–535. [Google Scholar] [CrossRef] [PubMed]
- Zhu, X.-J.; Feng, C.-Q.; Lai, H.-Y.; Chen, W.; Hao, L. Predicting protein structural classes for low-similarity sequences by evaluating different features. Knowl.-Based Syst. 2019, 163, 787–793. [Google Scholar] [CrossRef]
- Vapnik, V. The Nature of Statistical Learning Theory; Springer Science & Business Media: Berlin/Heidelberg, Germany, 2013. [Google Scholar]
- Cortes, C.; Vapnik, V. Support-vector networks. Mach. Learn. 1995, 20, 273–297. [Google Scholar] [CrossRef]
- Vapnik, V.N. An overview of statistical learning theory. IEEE Trans. Neural Netw. 1999, 10, 988–999. [Google Scholar] [CrossRef]
- Li, W.-C.; Deng, E.-Z.; Ding, H.; Chen, W.; Lin, H. iORI-PseKNC: A predictor for identifying origin of replication with pseudo k-tuple nucleotide composition. Chemom. Intell. Lab. Syst. 2015, 141, 100–106. [Google Scholar] [CrossRef]
- Lin, H.; Liang, Z.-Y.; Tang, H.; Chen, W. Identifying Sigma70 Promoters with Novel Pseudo Nucleotide Composition. IEEE/ACM Trans. Comput. Biol. Bioinform. 2019, 16, 1316–1321. [Google Scholar] [CrossRef]
- Hasan, M.; Manavalan, B.; Khatun, M.S.; Kurata, H. Prediction of S-nitrosylation sites by integrating support vector machines and random forest. Mol. Omics 2019, 15, 451–458. [Google Scholar] [CrossRef] [PubMed]
- Manavalan, B.; Basith, S.; Shin, T.H.; Wei, L.; Lee, G. AtbPpred: A Robust Sequence-Based Prediction of Anti-Tubercular Peptides Using Extremely Randomized Trees. Comput. Struct. Biotechnol. J. 2019, 17, 972–981. [Google Scholar] [CrossRef]
- Manavalan, B.; Shin, T.H.; Kim, M.O.; Lee, G. PIP-EL: A New Ensemble Learning Method for Improved Proinflammatory Peptide Predictions. Front. Immunol. 2018, 9, 1783. [Google Scholar] [CrossRef]
- Manavalan, B.; Shin, T.H.; Lee, G. PVP-SVM: Sequence-Based Prediction of Phage Virion Proteins Using a Support Vector Machine. Front. Microbiol. 2018, 9, 476. [Google Scholar] [CrossRef]
- Manavalan, B.; Subramaniyam, S.; Shin, T.H.; Kim, M.O.; Lee, G. Machine-Learning-Based Prediction of Cell-Penetrating Peptides and Their Uptake Efficiency with Improved Accuracy. J. Proteome Res. 2018, 17, 2715–2726. [Google Scholar] [CrossRef] [PubMed]
- Pedregosa, F.; Varoquaux, G.; Gramfort, A.; Michel, V.; Thirion, B.; Grisel, O.; Duchesnay, E. Scikit-learn: Machine learning in Python. J. Mach. Learn. Res. 2011, 12, 2825–2830. [Google Scholar]






| Cross-Validation | Feature | #Feature | ACC | Sn | Sp | MCC | AUC |
|---|---|---|---|---|---|---|---|
| 10-fold CV | AAC | 20 | 0.830 | 0.804 | 0.856 | 0.662 | 0.893 |
| DPC | 400 | 0.781 | 0.790 | 0.773 | 0.565 | 0.853 | |
| PAAC | 21 | 0.842 | 0.840 | 0.844 | 0.687 | 0.891 | |
| APAAC | 22 | 0.804 | 0.757 | 0.852 | 0.614 | 0.870 | |
| AAI | 531 | 0.838 | 0.812 | 0.864 | 0.681 | 0.894 | |
| Fusion | 994 | 0.867 | 0.855 | 0.879 | 0.736 | 0.911 | |
| Independent test | AAC | 20 | 0.867 | 0.859 | 0.875 | 0.734 | 0.925 |
| DPC | 400 | 0.852 | 0.781 | 0.922 | 0.710 | 0.902 | |
| PAAC | 21 | 0.898 | 0.891 | 0.906 | 0.797 | 0.925 | |
| APAAC | 22 | 0.875 | 0.875 | 0.875 | 0.750 | 0.933 | |
| AAI | 531 | 0.891 | 0.891 | 0.891 | 0.781 | 0.942 | |
| Fusion | 994 | 0.906 | 0.922 | 0.891 | 0.813 | 0.906 |
| #Exp. | #Feature a | ACC | Sn | Sp | MCC | AUC |
|---|---|---|---|---|---|---|
| 1 | 37 | 0.920 | 0.898 | 0.941 | 0.842 | 0.947 |
| 2 | 36 | 0.918 | 0.918 | 0.918 | 0.837 | 0.937 |
| 3 | 36 | 0.912 | 0.910 | 0.914 | 0.825 | 0.945 |
| 4 | 41 | 0.910 | 0.906 | 0.914 | 0.822 | 0.924 |
| 5 | 36 | 0.906 | 0.914 | 0.899 | 0.814 | 0.937 |
| 6 | 40 | 0.906 | 0.902 | 0.910 | 0.814 | 0.950 |
| 7 | 38 | 0.906 | 0.890 | 0.922 | 0.814 | 0.925 |
| 8 | 37 | 0.898 | 0.898 | 0.899 | 0.802 | 0.932 |
| 9 | 36 | 0.896 | 0.871 | 0.922 | 0.795 | 0.947 |
| 10 | 38 | 0.896 | 0.906 | 0.887 | 0.795 | 0.938 |
| Mean | 0.907 | 0.901 | 0.913 | 0.816 | 0.938 | |
| STD. | 0.008 | 0.013 | 0.015 | 0.016 | 0.009 | |
| #Exp. | #Feature a | ACC | Sn | Sp | MCC | AUC |
|---|---|---|---|---|---|---|
| 1 | 37 | 0.891 | 0.875 | 0.906 | 0.782 | 0.935 |
| 2 | 36 | 0.930 | 0.938 | 0.922 | 0.859 | 0.933 |
| 3 | 36 | 0.891 | 0.906 | 0.875 | 0.782 | 0.925 |
| 4 | 41 | 0.898 | 0.906 | 0.891 | 0.797 | 0.922 |
| 5 | 36 | 0.883 | 0.906 | 0.859 | 0.766 | 0.930 |
| 6 | 40 | 0.898 | 0.891 | 0.906 | 0.797 | 0.926 |
| 7 | 38 | 0.906 | 0.938 | 0.875 | 0.814 | 0.949 |
| 8 | 37 | 0.891 | 0.859 | 0.922 | 0.783 | 0.938 |
| 9 | 36 | 0.914 | 0.922 | 0.906 | 0.828 | 0.939 |
| 10 | 38 | 0.914 | 0.953 | 0.875 | 0.831 | 0.935 |
| Mean | 0.902 | 0.909 | 0.894 | 0.804 | 0.933 | |
| STD. | 0.014 | 0.029 | 0.022 | 0.029 | 0.008 | |
| Feature | #Feature | List |
|---|---|---|
| AAC | 4 | I, K, W, Y |
| DPC | 13 | AA, AF, EL, GV, IA, IQ, KG, LE, LQ, PF, QL, TD, YG |
| PAAC | 1 | Xc1.P |
| AAI | 18 | BIGC670101, DESM900101, FAUJ880106, FAUJ880110, GOLD730101, GRAR740102, NAKH900113, OOBM770104, QIAN880129, VENT840101, WERD780102, WOLS870103, YUTK870102, ZIMJ680103, MUNV940105, TAKK010101, CEDJ970102, HARY940101 |
| Cross-Validation | #Feature | ACC | Sn | Sp | MCC | AUC |
|---|---|---|---|---|---|---|
| 10-fold CV | iBitter-Fuse | 0.918 | 0.918 | 0.918 | 0.837 | 0.937 |
| XGB-AAI | 0.906 | 0.938 | 0.875 | 0.814 | 0.960 | |
| ETree-AAI | 0.883 | 0.875 | 0.891 | 0.766 | 0.952 | |
| MLP-AAI | 0.875 | 0.844 | 0.906 | 0.751 | 0.916 | |
| RF-AAI | 0.867 | 0.891 | 0.844 | 0.735 | 0.943 | |
| RF-AAC | 0.853 | 0.847 | 0.86 | 0.71 | 0.912 | |
| Independent test | iBitter-Fuse | 0.930 | 0.938 | 0.922 | 0.859 | 0.933 |
| XGB-AAI | 0.830 | 0.820 | 0.840 | 0.666 | 0.907 | |
| ETree-AAI | 0.838 | 0.816 | 0.860 | 0.680 | 0.899 | |
| MLP-AAI | 0.828 | 0.840 | 0.817 | 0.660 | 0.884 | |
| RF-AAI | 0.812 | 0.801 | 0.824 | 0.629 | 0.897 | |
| RF-AAC | 0.898 | 0.906 | 0.891 | 0.797 | 0.950 |
| Cross-Validation | Classifier a | ACC | Sn | Sp | MCC | AUC |
|---|---|---|---|---|---|---|
| 10-fold CV | iBitter-SCM | 0.871 | 0.913 | 0.828 | 0.751 | 0.903 |
| BERT4Bitter | 0.861 | 0.868 | 0.854 | 0.726 | 0.915 | |
| iBitter-Fuse | 0.918 | 0.918 | 0.918 | 0.837 | 0.937 | |
| Independent test | iBitter-SCM | 0.844 | 0.844 | 0.844 | 0.688 | 0.904 |
| BERT4Bitter | 0.922 | 0.938 | 0.906 | 0.844 | 0.964 | |
| iBitter-Fuse | 0.930 | 0.938 | 0.922 | 0.859 | 0.933 |
Publisher’s Note: MDPI stays neutral with regard to jurisdictional claims in published maps and institutional affiliations. |
© 2021 by the authors. Licensee MDPI, Basel, Switzerland. This article is an open access article distributed under the terms and conditions of the Creative Commons Attribution (CC BY) license (https://creativecommons.org/licenses/by/4.0/).
Share and Cite
Charoenkwan, P.; Nantasenamat, C.; Hasan, M.M.; Moni, M.A.; Lio’, P.; Shoombuatong, W. iBitter-Fuse: A Novel Sequence-Based Bitter Peptide Predictor by Fusing Multi-View Features. Int. J. Mol. Sci. 2021, 22, 8958. https://doi.org/10.3390/ijms22168958
Charoenkwan P, Nantasenamat C, Hasan MM, Moni MA, Lio’ P, Shoombuatong W. iBitter-Fuse: A Novel Sequence-Based Bitter Peptide Predictor by Fusing Multi-View Features. International Journal of Molecular Sciences. 2021; 22(16):8958. https://doi.org/10.3390/ijms22168958
Chicago/Turabian StyleCharoenkwan, Phasit, Chanin Nantasenamat, Md. Mehedi Hasan, Mohammad Ali Moni, Pietro Lio’, and Watshara Shoombuatong. 2021. "iBitter-Fuse: A Novel Sequence-Based Bitter Peptide Predictor by Fusing Multi-View Features" International Journal of Molecular Sciences 22, no. 16: 8958. https://doi.org/10.3390/ijms22168958
APA StyleCharoenkwan, P., Nantasenamat, C., Hasan, M. M., Moni, M. A., Lio’, P., & Shoombuatong, W. (2021). iBitter-Fuse: A Novel Sequence-Based Bitter Peptide Predictor by Fusing Multi-View Features. International Journal of Molecular Sciences, 22(16), 8958. https://doi.org/10.3390/ijms22168958

