Thermodynamics and Intermolecular Interactions of Nicotinamide in Neat and Binary Solutions: Experimental Measurements and COSMO-RS Concentration Dependent Reactions Investigations
Abstract
1. Introduction
2. Results and Discussion
2.1. Solid Characteristics
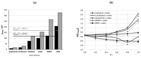
2.2. Solubility Characteristics
2.3. Spectroscopic and DSC Characterization of Sediments
2.4. Intermolecular Interactions of Nicotinamide in Aqueous Organic Solvent Mixtures
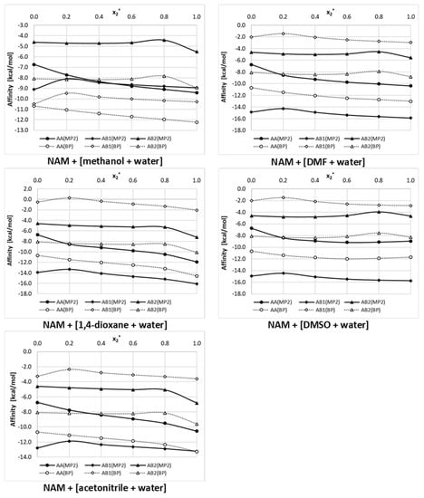
2.5. Results of COSMO-RS and DARE Computations
3. Materials and Methods
3.1. Experimental Protocol
3.1.1. Chemicals
3.1.2. Solubility Measurements
3.1.3. FTIR-ATR Solid-State Characterization
3.1.4. Differential Scanning Calorimetry (DSC)
3.2. Quantum-Chemical Computations
3.2.1. COSMO-RS Computations
3.2.2. COSMO–RS–DARE Computations
4. Conclusions
Supplementary Materials
Author Contributions
Funding
Institutional Review Board Statement
Informed Consent Statement
Data Availability Statement
Conflicts of Interest
References
- Naranjo, M.C.; Millan-Linares, M.C.; Montserrat-de la Paz, S. Niacin and hyperlipidemia. In Molecular Nutrition: Vitamins; Elsevier B.V.: Amsterdam, The Netherlands, 2019; pp. 263–281. ISBN 9780128119075. [Google Scholar]
- Crouse, J.R. New developments in the use of niacin for treatment of hyperlipidemia: New considerations in the use of an old drug. Coron. Artery Dis. 1996, 7, 321–326. [Google Scholar] [CrossRef]
- McKenney, J. New Perspectives on the Use of Niacin in the Treatment of Lipid Disorders. Arch. Intern. Med. 2004, 164, 697–705. [Google Scholar] [CrossRef] [PubMed]
- Colletti, R.B.; Neufeld, E.J.; Roff, N.K.; McAuliffe, T.L.; Baker, A.L.; Newburger, J.W. Niacin treatment of hypercholesterolemia in children. Pediatrics 1993, 92, 78–82. [Google Scholar]
- Malloy, M.J.; Kane, J.P.; Kunitake, S.T.; Tun, P. Complementarity of colestipol, niacin, and lovastatin in treatment of severe familial hyperchoresterolemia. Ann. Intern. Med. 1987, 107, 616–623. [Google Scholar] [CrossRef]
- Jonsson, B.H. Nicotinic acid long-term effectiveness in a patient with bipolar type II disorder: A case of vitamin dependency. Nutrients 2018, 10, 134. [Google Scholar] [CrossRef]
- Gasperi, V.; Sibilano, M.; Savini, I.; Catani, M.V. Niacin in the central nervous system: An update of biological aspects and clinical applications. Int. J. Mol. Sci. 2019, 20, 974. [Google Scholar] [CrossRef] [PubMed]
- Pereira, C.; Chavarria, V.; Vian, J.; Ashton, M.M.; Berk, M.; Marx, W.; Dean, O.M. Mitochondrial agents for bipolar disorder. Int. J. Neuropsychopharmacol. 2018, 21, 550–569. [Google Scholar] [CrossRef]
- Kamat, J.P.; Devasagayam, T.P.A. Nicotinamide (vitamin B3) as an effective antioxidant against oxidative damage in rat brain mitochondria. Redox Rep. 1999, 4, 179–184. [Google Scholar] [CrossRef] [PubMed]
- Turunc Bayrakdar, E.; Uyanikgil, Y.; Kanit, L.; Koylu, E.; Yalcin, A. Nicotinamide treatment reduces the levels of oxidative stress, apoptosis, and PARP-1 activity in Aβ(1-42)-induced rat model of Alzheimer’s disease. Free Radic. Res. 2014, 48, 146–158. [Google Scholar] [CrossRef] [PubMed]
- Méndez-Lara, K.A.; Letelier, N.; Farre, N.; Diarte-Añazco, E.M.G.; Nieto-Nicolau, N.; Rodríguez-Millán, E.; Santos, D.; Pallarès, V.; Escolà-Gil, J.C.; Del Olmo, T.V.; et al. Nicotinamide prevents apolipoprotein b-containing lipoprotein oxidation, inflammation and atherosclerosis in apolipoprotein e-deficient mice. Antioxidants 2020, 9, 1162. [Google Scholar] [CrossRef] [PubMed]
- Bashandy, S.A.E.; Ebaid, H.; Abdelmottaleb Moussa, S.A.; Alhazza, I.M.; Hassan, I.; Alaamer, A.; Al Tamimi, J. Potential effects of the combination of nicotinamide, vitamin B2 and vitamin C on oxidative-mediated hepatotoxicity induced by thioacetamide. Lipids Health Dis. 2018, 17, 1–9. [Google Scholar] [CrossRef]
- Turek, M.; Różycka-Sokołowska, E.; Koprowski, M.; Marciniak, B.; Bałczewski, P. Role of Hydrogen Bonds in Formation of Co-amorphous Valsartan/Nicotinamide Compositions of High Solubility and Durability with Anti-hypertension and Anti-COVID-19 Potential. Mol. Pharm. 2021, 18, 1970–1984. [Google Scholar] [CrossRef] [PubMed]
- Huang, Y.; Zhang, B.; Gao, Y.; Zhang, J.; Shi, L. Baicalein-nicotinamide cocrystal with enhanced solubility, dissolution, and oral bioavailability. J. Pharm. Sci. 2014, 103, 2330–2337. [Google Scholar] [CrossRef]
- Chaves Júnior, J.V.; dos Santos, J.A.B.; Lins, T.B.; de Araújo Batista, R.S.; de Lima Neto, S.A.; de Santana Oliveira, A.; Nogueira, F.H.A.; Gomes, A.P.B.; de Sousa, D.P.; de Souza, F.S.; et al. A New Ferulic Acid–Nicotinamide Cocrystal With Improved Solubility and Dissolution Performance. J. Pharm. Sci. 2020, 109, 1330–1337. [Google Scholar] [CrossRef]
- Wu, N.; Zhang, Y.; Ren, J.; Zeng, A.; Liu, J. Preparation of quercetin-nicotinamide cocrystals and their evaluation underin vivoandin vitroconditions. RSC Adv. 2020, 10, 21852–21859. [Google Scholar] [CrossRef]
- Wu, H.; Dang, L.; Wei, H. Solid-liquid phase equilibrium of nicotinamide in different pure solvents: Measurements and thermodynamic modeling. Ind. Eng. Chem. Res. 2014, 53, 1707–1711. [Google Scholar] [CrossRef]
- Silveira, C.L.; Galvão, A.C.; Robazza, W.S.; Feyh, J.V.T. Modeling and parameters estimation for the solubility calculations of nicotinamide using UNIFAC and COSMO-based models. Fluid Phase Equilib. 2021, 535, 112970. [Google Scholar] [CrossRef]
- Ouyang, J.; Zhang, Y.; Na, B.; Liu, Z.; Zhou, L.; Hao, H. Solubility Determination of Nicotinamide and Its Application for the Cocrystallization with Benzoic Acid. J. Chem. Eng. Data 2018, 63, 4157–4165. [Google Scholar] [CrossRef]
- Jouyban, A.; Shayanfar, A.; Panahi-Azar, V.; Soleymani, J.; Yousefi, B.H.; Acree, W.E.; York, P. Solubility prediction of drugs in mixed solvents using partial solubility parameters. J. Pharm. Sci. 2011, 100, 4368–4382. [Google Scholar] [CrossRef]
- Cysewski, P.; Jeliński, T.; Procek, D.; Dratwa, A. Solubility of Sulfanilamide and Sulfacetamide in neat solvents: Measurements and interpretation using theoretical predictive models, first principle approach and artificial neural networks. Fluid Phase Equilib. 2021, 529, 112883. [Google Scholar] [CrossRef]
- Jouyban-Gharamaleki, A.; Clark, B.J.; Acree, W.E. Prediction of drug solubility in ternary solvent mixture. Drug Dev. Ind. Pharm. 2000, 26, 971–973. [Google Scholar] [CrossRef]
- Jouyban, A.; Chan, H.K.; Chew, N.Y.K.; Khoubnasabjafari, M.; Acree, W.E. Solubility prediction of paracetamol in binary and ternary solvent mixtures using Jouyban-Acree model. Chem. Pharm. Bull. 2006, 54, 428–431. [Google Scholar] [CrossRef] [PubMed]
- Akay, S.; Kayan, B.; Martínez, F. Solubility, dissolution thermodynamics and preferential solvation of 4-nitroaniline in (ethanol + water) mixtures. Phys. Chem. Liq. 2021, 1–13. [Google Scholar] [CrossRef]
- Jeliński, T.; Bugalska, N.; Koszucka, K.; Przybyłek, M.; Cysewski, P. Solubility of sulfanilamide in binary solvents containing water: Measurements and prediction using Buchowski-Ksiazczak solubility model. J. Mol. Liq. 2020, 319, 114342. [Google Scholar] [CrossRef]
- Willia, N.A.; Amidon, G.L. The Estimation of Solubility in Binary Solvents: Application of the Reduced 3-Suffix Solubility Equation to Ethanol–Water Mixtures. Pharm. Res. An. Off. J. Am. Assoc. Pharm. Sci. 1988, 5, 193–195. [Google Scholar]
- Acree, W.E.; Rytting, J.H. Solubility in binary solvent systems I: Specific versus nonspecific interactions. J. Pharm. Sci. 1982, 71, 201–205. [Google Scholar] [CrossRef] [PubMed]
- Acree, W.E.; Tucker, S.A. Solubility in binary solvent systems. part 9. estimation of the carbazole-tetrahydropyran association constant based upon mobile order theory. Phys. Chem. Liq. 1994, 27, 1–9. [Google Scholar] [CrossRef]
- Acree, W.E.; Pontikos, N.M.; Judy, C.L. Solubility in binary solvent systems. 6. Prediction of naphthalene and biphenyl solubilities based on the Wilson model. Int. J. Pharm. 1986, 31, 225–230. [Google Scholar] [CrossRef]
- Thati, J.; Nordström, F.L.; Rasmuson, Å.C. Solubility of benzoic acid in pure solvents and binary mixtures. J. Chem. Eng. Data 2010, 55, 5124–5127. [Google Scholar] [CrossRef]
- Martin, A.; Wu, P.L.; Velasquez, T. Extended hildebrand solubility approach: Sulfonamides in binary and ternary solvents. J. Pharm. Sci. 1985, 74, 277–282. [Google Scholar] [CrossRef] [PubMed]
- Jouyban-Gharamaleki, A.; Clark, B.J.; Acree, W.E. Models to predict solubility in ternary solvents based on sub-binary experimental data. Chem. Pharm. Bull. 2000, 48, 1866–1871. [Google Scholar] [CrossRef] [PubMed][Green Version]
- Zhang, X.; Rao, Q.; Qiu, Z.; Lin, Y.; Zhang, L.; Hu, Q.; Chen, T.; Ma, Z.; Gao, H.; Luo, D.; et al. Using Acetone/Water Binary Solvent to Enhance the Stability and Bioavailability of Spray Dried Enzalutamide/HPMC-AS Solid Dispersions. J. Pharm. Sci. 2021, 110, 1160–1171. [Google Scholar] [CrossRef] [PubMed]
- Magalhães, S.; Filipe, A.; Melro, E.; Fernandes, C.; Vitorino, C.; Alves, L.; Romano, A.; Rasteiro, M.G.; Medronho, B. Lignin Extraction from Waste Pine Sawdust Using a Biomass Derived Binary Solvent System. Polymers 2021, 13, 1090. [Google Scholar] [CrossRef]
- Paek, S.; Schouwink, P.; Athanasopoulou, E.N.; Cho, K.T.; Grancini, G.; Lee, Y.; Zhang, Y.; Stellacci, F.; Nazeeruddin, M.K.; Gao, P. From Nano- to Micrometer Scale: The Role of Antisolvent Treatment on High Performance Perovskite Solar Cells. Chem. Mater. 2017, 29, 3490–3498. [Google Scholar] [CrossRef]
- Lee, D.K.; Lim, K.S.; Lee, J.W.; Park, N.G. Scalable perovskite coatingviaanti-solvent-free Lewis acid-base adduct engineering for efficient perovskite solar modules. J. Mater. Chem. A 2021, 9, 3018–3028. [Google Scholar] [CrossRef]
- Samadpour, M.; Golchini, A.; Abdizadeh, K.; Heydari, M.; Forouzandeh, M.; Saki, Z.; Taghavinia, N. Modified Antisolvent Method for Improving the Performance and Stability of Triple-Cation Perovskite Solar Cells. ACS Omega 2021, 6, 172–179. [Google Scholar] [CrossRef]
- Radzali, S.A.; Markom, M.; Saleh, N.M. Co-Solvent Selection for Supercritical Fluid Extraction (SFE) of Phenolic Compounds from Labisia pumila. Molecules 2020, 25, 5859. [Google Scholar] [CrossRef]
- Rosas-Quina, Y.E.; Mejía-Nova, F.C. Supercritical fluid extraction with cosolvent of alkaloids from Lupinus mutabilis Sweet and comparison with conventional method. J. Food Process. Eng. 2021, 44, e13657. [Google Scholar] [CrossRef]
- Wright, W.B.; King, G.S.D. The crystal structure of nicotinamide. Acta Crystallogr. 1954, 7, 283–288. [Google Scholar] [CrossRef]
- Li, J.; Bourne, S.A.; Caira, M.R. New polymorphs of isonicotinamide and nicotinamide. Chem. Commun. 2011, 47, 1530–1532. [Google Scholar] [CrossRef]
- Hino, T.; Ford, J.L.; Powell, M.W. Assessment of nicotinamide polymorphs by differential scanning calorimetry. Thermochim. Acta 2001, 374, 85–92. [Google Scholar] [CrossRef]
- Saganowska, P.; Wesolowski, M. DSC as a screening tool for rapid co-crystal detection in binary mixtures of benzodiazepines with co-formers. J. Therm. Anal. Calorim. 2018, 133, 785–795. [Google Scholar] [CrossRef]
- Almeida, A.R.R.P.; Oliveira, J.A.S.A.; Monte, M.J.S. Thermodynamic study of nicotinamide, N-methylnicotinamide and N,N-dimethylnicotinamide: Vapour pressures, phase diagrams, and hydrogen bonds. J. Chem. Thermodyn. 2015, 82, 108–115. [Google Scholar] [CrossRef]
- Sun, X.; Yin, Q.; Ding, S.; Shen, Z.; Bao, Y.; Gong, J.; Hou, B.; Hao, H.; Wang, Y.; Wang, J.; et al. (Solid + liquid) phase diagram for (indomethacin + nicotinamide)-methanol or methanol/ethyl acetate mixture and solubility behavior of 1:1 (indomethacin + nicotinamide) co-crystal at T = (298.15 and 313.15) K. J. Chem. Thermodyn. 2015, 85, 171–177. [Google Scholar] [CrossRef]
- Kant, V. Study of phase diagram and microstructures of some nicotinamide based binary organic eutectic. Bull. Pharm. Med. Sci. 2013, 1, 117. [Google Scholar]
- Castro, R.A.E.; Ribeiro, J.D.B.; Maria, T.M.R.; Ramos Silva, M.; Yuste-Vivas, C.; Canotilho, J.; Eusébio, M.E.S. Naproxen cocrystals with pyridinecarboxamide isomers. Cryst. Growth Des. 2011, 11, 5396–5404. [Google Scholar] [CrossRef]
- Good, D.J.; Naír, R.H. Solubility advantage of pharmaceutical cocrystals. Cryst. Growth Des. 2009, 9, 2252–2264. [Google Scholar] [CrossRef]
- Nicoli, S.; Bilzi, S.; Santi, P.; Caira, M.R.; Li, J.; Bettini, R. Ethyl-paraben and nicotinamide mixtures: Apparent solubility, thermal behavior and x-ray structure of the 1:1 co-crystal. J. Pharm. Sci. 2008, 97, 4830–4839. [Google Scholar] [CrossRef]
- Negoro, H.; Miki, T.; Ueda, S.; Sanada, T.; Okada, R. Solubility Phenomena of Pyridine- and Pyrazine-monocarboxamides. II: Heats of Fusion of Picolinamide, Nicotinamide, Isonicotinamide, and Pyrazincarboxamide. Yakugaku Zasshi 1960, 80, 670–673. [Google Scholar] [CrossRef][Green Version]
- Walas, S.M. Phase Equilibria in Chemical Engineering; Butterworth-Heinemann: Oxford, UK, 1985. [Google Scholar] [CrossRef]
- Sandler, S.I. Chemical, Biochemical and Engineering Thermodynamics, 5th ed.; John Wiley & Sons: Hoboken, NJ, USA, 2017; ISBN 978-1-119-32128-6. [Google Scholar]
- Borba, A.; Albrecht, M.; Gómez-Zavaglia, A.; Lapinski, L.; Nowak, M.J.; Suhm, M.A.; Fausto, R. Dimer formation in nicotinamide and picolinamide in the gas and condensed phases probed by infrared spectroscopy. Phys. Chem. Chem. Phys. 2008, 10, 7010–7021. [Google Scholar] [CrossRef]
- Aleksandriiskii, V.V.; Gamov, G.A.; Dushina, S.V.; Sharnin, V.A.; Zavalishin, M.N. Solvation State of Nicotinamide in Binary Solvents by 13C NMR Probing at Different Temperatures. Appl. Magn. Reson. 2016, 47, 349–359. [Google Scholar] [CrossRef]
- Hellweg, A.; Eckert, F. Brick by brick computation of the gibbs free energy of reaction in solution using quantum chemistry and COSMO-RS. AIChE J. 2017, 63, 3944–3954. [Google Scholar] [CrossRef]
- Cysewski, P.; Jeliński, T. Optimization, thermodynamic characteristics and solubility predictions of natural deep eutectic solvents used for sulfonamide dissolution. Int. J. Pharm. 2019, 570, 118682. [Google Scholar] [CrossRef]
- Jeliński, T.; Przybyłek, M.; Cysewski, P. Natural Deep Eutectic Solvents as Agents for Improving Solubility, Stability and Delivery of Curcumin. Pharm. Res. 2019, 36, 1–10. [Google Scholar] [CrossRef] [PubMed]
- Hossain, S.; Kabedev, A.; Parrow, A.; Bergström, C.A.S.; Larsson, P. Molecular simulation as a computational pharmaceutics tool to predict drug solubility, solubilization processes and partitioning. Eur. J. Pharm. Biopharm. 2019, 137, 46–55. [Google Scholar] [CrossRef] [PubMed]
- Loschen, C.; Klamt, A. Solubility prediction, solvate and cocrystal screening as tools for rational crystal engineering. J. Pharm. Pharmacol. 2015, 67, 803–811. [Google Scholar] [CrossRef]
- Chase, M. NIST-JANAF Thermochemical Tables, 4th ed.; American Institute of Physics: College Park, ML, USA, 1998. [Google Scholar]
- Nordström, F.L.; Rasmuson, Å.C. Determination of the activity of a molecular solute in saturated solution. J. Chem. Thermodyn. 2008, 40, 1684–1692. [Google Scholar] [CrossRef]
- Svärd, M.; Zeng, L.; Valavi, M.; Krishna, G.R.; Rasmuson, Å.C. Solid and Solution State Thermodynamics of Polymorphs of Butamben (Butyl 4-Aminobenzoate) in Pure Organic Solvents. J. Pharm. Sci. 2019, 108, 2377–2382. [Google Scholar] [CrossRef]
- Cheuk, D.; Svärd, M.; Rasmuson, Å.C. Thermodynamics of the Enantiotropic Pharmaceutical Compound Benzocaine and Solubility in Pure Organic Solvents. J. Pharm. Sci. 2020, 109, 3370–3377. [Google Scholar] [CrossRef]
- Yang, H.; Thati, J.; Rasmuson, Å.C. Thermodynamics of molecular solids in organic solvents. J. Chem. Thermodyn. 2012, 48, 150–159. [Google Scholar] [CrossRef]
- Svärd, M.; Ahuja, D.; Rasmuson, Å.C. Calorimetric Determination of Cocrystal Thermodynamic Stability: Sulfamethazine-Salicylic Acid Case Study. Cryst. Growth Des. 2020, 20, 4243–4251. [Google Scholar] [CrossRef]
- Klamt, A. Conductor-like screening model for real solvents: A new approach to the quantitative calculation of solvation phenomena. J. Phys. Chem. 1995, 99, 2224–2235. [Google Scholar] [CrossRef]
- Klamt, A.; Jonas, V.; Bürger, T.; Lohrenz, J.C.W. Refinement and parametrization of COSMO-RS. J. Phys. Chem. A 1998, 102, 5074–5085. [Google Scholar] [CrossRef]
- Eckert, F.; Klamt, A. Fast Solvent Screening via Quantum Chemistry: COSMO-RS Approach. AIChE J. 2002, 48, 369–385. [Google Scholar] [CrossRef]
- Grimme, S.; Antony, J.; Ehrlich, S.; Krieg, H. A consistent and accurate ab initio parametrization of density functional dispersion correction (DFT-D) for the 94 elements H-Pu. J. Chem. Phys. 2010, 132, 154104. [Google Scholar] [CrossRef] [PubMed]
- BIOVIA COSMOtherm, Release 2020; Dassault Systèmes. Available online: http://www.3ds.com (accessed on 4 May 2021).
- Sachsenhauser, T.; Rehfeldt, S.; Klamt, A.; Eckert, F.; Klein, H. Consideration of dimerization for property prediction with COSMO-RS-DARE. Fluid Phase Equilib. 2014, 382, 89–99. [Google Scholar] [CrossRef]
- Cysewski, P. Prediction of ethenzamide solubility in organic solvents by explicit inclusions of intermolecular interactions within the framework of COSMO-RS-DARE. J. Mol. Liq. 2019, 290, 111163. [Google Scholar] [CrossRef]









| Tm (K) | ΔHm (kJ/mol) |
|---|---|
| 402.03 (±0.09) 1 | 24.21 (±0.27) 1 |
| 398.5 2, 401.2 3, 401.7 4, 401.6 5, 401.2 6, 401.4 7, 403.8 8, 401.6 9, 402.0 10 | 16.7 2, 23.7 3, 22.58 4, 20.5 5, 25.4 6, 23.2 7, 23.8 8, 25.5 9, 26.94 10, 23.9 11 |
| T (K) | 298.15 | 303.15 | 308.15 | 313.15 |
|---|---|---|---|---|
| water | 99.9 ± 5.1 | 114.9 ± 4.6 | 133.2 ± 2.4 | 154.2 ± 4.2 |
| 1,4-dioxane | 16.9 ± 0.9 | 20.4 ± 0.8 | 24.6 ± 0.7 | 30.4 ± 0.6 |
| DMSO | 120.6 ± 3.5 | 150.7 ± 7.1 | 198.7 ± 3.2 | 265.5 ± 3.8 |
| DMF | 206.1 ± 11.9 | 226.7 ± 11.1 | 271.8 ± 9.3 | 325.9 ± 3.5 |
| acetonitrile | 8.6 ± 0.5 | 10.9 ± 0.5 | 13.4 ± 0.4 | 16.0 ± 0.2 |
| methanol | 74.1 ± 3.5 | 85.6 ± 2.5 | 100.1 ± 4.4 | 115.7 ± 2.6 |
| ideal | 118.12 | 133.08 | 149.60 | 167.82 |
| T (K) | ||||
|---|---|---|---|---|
| x2 | 298.15 | 303.15 | 308.15 | 313.15 |
| acetonitrile | ||||
| 0.2 | 112.9 ± 0.4 | 127.8 ± 3.8 | 144.0 ± 3.7 | 4.2 ± 165.7 |
| 0.4 | 101.1 ± 0.5 | 114.1 ± 4.6 | 132.3 ± 1.6 | 3.4 ± 152.0 |
| 0.6 | 64.8 ± 0.6 | 76.7 ± 1.9 | 92.0 ± 3.0 | 3.0 ± 109.0 |
| 0.8 | 40.6 ± 0.6 | 48.3 ± 1.7 | 57.6 ± 1.7 | 0.5 ± 69.5 |
| 1,4-dioxane | ||||
| 0.2 | 91.6 ± 5.4 | 107.1 ± 4.2 | 125.6 ± 4.8 | 149.0 ± 1.7 |
| 0.4 | 84.6 ± 5.9 | 99.9 ± 4.3 | 118.5 ± 1.4 | 139.7 ± 3.0 |
| 0.6 | 71.4 ± 2.7 | 84.6 ± 3.5 | 103.6 ± 3.1 | 125.0 ± 1.4 |
| 0.8 | 49.3 ± 2.6 | 60.4 ± 0.3 | 75.3 ± 2.2 | 94.7 ± 2.9 |
| DMF | ||||
| 0.2 | 136.1 ± 3.7 | 157.6 ± 5.5 | 180.1 ± 2.5 | 214.5 ± 5.3 |
| 0.4 | 164.5 ± 7.8 | 187.1 ± 0.5 | 217.8 ± 8.1 | 256.4 ± 3.1 |
| 0.6 | 179.7 ± 3.0 | 202.5 ± 5.4 | 236.1 ± 2.5 | 287.5 ± 7.1 |
| 0.8 | 192.7 ± 4.8 | 216.1 ± 2.2 | 254.4 ± 5.8 | 312.4 ± 4.2 |
| DMSO | ||||
| 0.2 | 112.9 ± 2.5 | 129.2 ± 4.1 | 149.7 ± 1.5 | 185.4 ± 2.9 |
| 0.4 | 120.9 ± 5.9 | 139.2 ± 3.6 | 168.3 ± 4.8 | 217.7 ± 4.5 |
| 0.6 | 139.7 ± 5.9 | 170.8 ± 6.6 | 225.3 ± 4.4 | 304.3 ± 8.0 |
| 0.8 | 223.0 ± 4.5 | 254.6 ± 10.5 | 319.2 ± 4.4 | 402.7 ± 6.8 |
| MeOH | ||||
| 0.2 | 94.0 ± 0.8 | 112.0 ± 3.8 | 131.9 ± 3.7 | 152.0 ± 2.2 |
| 0.4 | 94.9 ± 0.6 | 114.3 ± 3.8 | 133.9 ± 3.5 | 156.8 ± 3.6 |
| 0.6 | 90.4 ± 5.0 | 109.1 ± 4.3 | 128.1 ± 4.6 | 151.0 ± 2.5 |
| 0.8 | 84.4 ± 3.0 | 101.4 ± 3.5 | 119.2 ± 1.3 | 141.0 ± 2.6 |
Publisher’s Note: MDPI stays neutral with regard to jurisdictional claims in published maps and institutional affiliations. |
© 2021 by the authors. Licensee MDPI, Basel, Switzerland. This article is an open access article distributed under the terms and conditions of the Creative Commons Attribution (CC BY) license (https://creativecommons.org/licenses/by/4.0/).
Share and Cite
Cysewski, P.; Przybyłek, M.; Kowalska, A.; Tymorek, N. Thermodynamics and Intermolecular Interactions of Nicotinamide in Neat and Binary Solutions: Experimental Measurements and COSMO-RS Concentration Dependent Reactions Investigations. Int. J. Mol. Sci. 2021, 22, 7365. https://doi.org/10.3390/ijms22147365
Cysewski P, Przybyłek M, Kowalska A, Tymorek N. Thermodynamics and Intermolecular Interactions of Nicotinamide in Neat and Binary Solutions: Experimental Measurements and COSMO-RS Concentration Dependent Reactions Investigations. International Journal of Molecular Sciences. 2021; 22(14):7365. https://doi.org/10.3390/ijms22147365
Chicago/Turabian StyleCysewski, Piotr, Maciej Przybyłek, Anna Kowalska, and Natalia Tymorek. 2021. "Thermodynamics and Intermolecular Interactions of Nicotinamide in Neat and Binary Solutions: Experimental Measurements and COSMO-RS Concentration Dependent Reactions Investigations" International Journal of Molecular Sciences 22, no. 14: 7365. https://doi.org/10.3390/ijms22147365
APA StyleCysewski, P., Przybyłek, M., Kowalska, A., & Tymorek, N. (2021). Thermodynamics and Intermolecular Interactions of Nicotinamide in Neat and Binary Solutions: Experimental Measurements and COSMO-RS Concentration Dependent Reactions Investigations. International Journal of Molecular Sciences, 22(14), 7365. https://doi.org/10.3390/ijms22147365

