Evaluation of Insulin-Like Activity of Novel Zinc Metal–Organics toward Adipogenesis Signaling
Abstract
:1. Introduction
2. Results
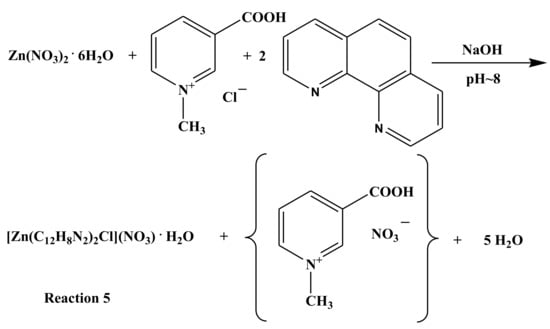
2.1. Synthesis
2.2. Description of Crystallographic Structures
2.3. ESI-MS Spectrometry
2.4. Solution NMR Spectroscopy
2.4.1. 13C-NMR Spectroscopy
2.4.2. 1H-NMR Solution NMR
2.5. Thermal Studies
2.6. Luminescence
2.7. Biological Studies
2.7.1. Cytotoxicity Results
Zn(II) Compound Toxicity in 3T3-L1 Pre-Adipocytes for 24 h
Zn(II) Compound Toxicity in 3T3-L1 Pre-Adipocytes for 48 h
Zn(II) Compound Toxicity in Differentiated 3T3-L1 Cells for 48 h
2.7.2. Oil Red O Staining Results
2.7.3. Biomarker Gene Expression
2.8. Cell Signaling Studies
3. Discussion
3.1. From Hydroxycarboxylic Acids to Zwitterions in Zinc Chemistry
3.2. Structural Specificity of Zinc in the Biology of Adipogenesis
3.3. Luminescence
3.4. The Insulin Mimetic Potential of Hybrid Zinc Metal–Organics
4. Materials and Methods
4.1. Physical Measurements
4.2. Syntheses
4.2.1. Synthesis of Zn(C7H7NO2)2Cl2 (1)
4.2.2. Synthesis of [Zn(C6H9NO5)(H2O)]n • nH2O (2)
4.2.3. Synthesis of [Zn(C6H9NO5)(C12H8N2)]•4H2O (3)
4.2.4. Synthesis of Zn(C12H8N2)Cl2 (4)
4.2.5. Synthesis of [Zn(C12H8N2)2Cl](NO3)•H2O (5)
4.3. X-ray Crystal Structure Determination
4.4. Cell Cultures and Biological Tests
4.4.1. Cultivation of 3T3-L1 Cells
4.4.2. Preparation of Zn(II) Compound Stock Solutions
4.4.3. Cell Viability Growth Studies
4.4.4. Cell Biocompatibility—Morphology—Migration
4.4.5. Induction of Adipogenesis
4.4.6. Zn(II)-Induced Adipogenesis
4.4.7. Oil Red O Staining
4.4.8. cDNA Synthesis and RT-PCR Assay
4.5. Statistical Analysis
5. Conclusions
Supplementary Materials
Author Contributions
Funding
Data Availability Statement
Conflicts of Interest
Abbreviation List
| ANOVA | One-way analysis of variance |
| DM | Diabetes mellitus |
| DMEM | Dulbecco’s modified Eagle’s medium |
| FBS | Fetal Bovine Serum |
| GLUT 1,4 | Glucose transporter 1,4 |
| PPAR-γ | Peroxisome proliferator-activated receptor gamma |
| SEM | Standard error mean |
| LMCT | Ligand-to-metal-charge-transfer |
| ADA | American Diabetes Association |
| ESI-MS | Electrospray ionization mass spectrometry |
| TGA | Thermogravimetric analysis |
| RLU | Relative luminescence units |
| MAPK | Mitogen-activated protein kinase |
| PI3K | Phosphoinositide 3-kinase |
| NMR | Nuclear magnetic resonance |
References
- Harreiter, J.; Roden, M. Diabetes mellitus–Definition, klassifikation, diagnose, screening und prävention (update 2019) [Diabetes mellitus-Definition, classification, diagnosis, screening and prevention (update 2019)]. Wien Klin Wochenschr. 2019, 131, 6–15. [Google Scholar] [CrossRef] [PubMed]
- Greco, D.; Broussard, J.; Peterson, M. Insulin therapy. Vet. Clin. N. Am. Small Anim. Pract. 1995, 25, 677–689. [Google Scholar] [CrossRef]
- Beale, E.G. Insulin signaling and insulin resistance. J. Investig. Med. 2013, 61, 11–14. [Google Scholar] [CrossRef] [PubMed]
- Tan, S.Y.; Mei Wong, J.L.; Sim, Y.J.; Wong, S.S.; Mohamed Elhassan, S.A.; Tan, S.H.; Ling Lim, G.P.; Rong Tay, N.W.; Annan, N.C.; Bhattamisra, S.K.; et al. Type 1 and 2 diabetes mellitus: A review on current treatment approach and gene therapy as potential intervention. Diabetes Metab. Syndr. 2019, 13, 364–372. [Google Scholar] [CrossRef]
- Tsave, O.; Yavropoulou, M.; Kafantari, M.; Gabriel, C.; Yovos, J.; Salifoglou, A. Comparative assessment of metal-specific adipogenic activity in zinc and vanadium-citrates through associated gene expression. J. Inorg. Biochem. 2018, 186, 217–227. [Google Scholar] [CrossRef]
- Mehdi, M.Z.; Pandey, S.K.; Théberge, J.-F.; Srivastava, A.K. Insulin signal mimicry as a mechanism for the insulin-like effects of vanadium. Cell Biochem. Biophys. 2006, 44, 73–81. [Google Scholar] [CrossRef]
- Sahin, K.; Tuzcu, M.; Orhan, C.; Sahin, N.; Kucuk, O.; Ozercan, I.; Juturu, V.; Komorowski, J. Anti-diabetic activity of chromium picolinate and biotin in rats with type 2 diabetes induced by high-fat diet and streptozotocin. Br. J. Nutr. 2012, 110, 197–205. [Google Scholar] [CrossRef] [Green Version]
- Levina, A.; Lay, P.A. Metal-based anti-diabetic drugs: Advances and challenges. Dalton Trans. 2011, 40, 11675–11686. [Google Scholar] [CrossRef]
- Tsave, O.; Halevas, E.; Yavropoulou, M.; Kosmidis Papadimitriou, A.; Yovos, J.; Hatzidimitriou, A.; Gabriel, C.; Psycharis, V.; Salifoglou, A. Structure-specific adipogenic capacity of novel, well-defined ternary Zn(II)-Schiff base materials. Biomolecular correlations in zinc-induced differentiation of 3T3-L1 pre-adipocytes to adipocytes. J. Inorg. Biochem. 2015, 152, 123–137. [Google Scholar] [CrossRef]
- Tsave, O.; Yavropoulou, M.; Kafantari, M.; Gabriel, C.; Yovos, J.; Salifoglou, A. The adipogenic potential of Cr(III). A molecular approach exemplifying metal-induced enhancement of insulin mimesis in diabetes mellitus II. J. Inorg. Biochem. 2016, 163, 323–331. [Google Scholar] [CrossRef]
- Li, Y.; Li, Q.; Wang, C.; Lou, Z.; Li, Q. Trigonelline reduced diabetic nephropathy and insulin resistance in type 2 diabetic rats through peroxisome proliferator-activated receptor-γ. Exp. Ther. Med. 2019, 18, 1331–1337. [Google Scholar] [CrossRef] [Green Version]
- Kim, Y.; Koo, H.; Shin, D.H.; Park, L.O.; Lee, J.H.; Jang, H.G.; Kim, C. Zinc citrate with alkali metal and ammonium cations: Crystal structure of K4[Zn(Citrate)2]. J. Struc. Chem. 2010, 51, 382–385. [Google Scholar] [CrossRef]
- Che, P.; Fang, D.Q.; Zhang, D.P.; Feng, J.; Wang, J.P.; Hu, N.H.; Meng, J. Hydrothermal synthesis and crystal structure of a new two-dimensional zinc citrate complex. J. Coord. Chem. 2005, 58, 1581–1588. [Google Scholar] [CrossRef]
- Zhang, G.; Yang, G.; Ma, J.C. Versatile Framework Solids Constructed from Divalent Transition Metals and Citric Acid: Syntheses, Crystal Structures, and Thermal Behaviors. Cryst. Growth Des. 2005, 6, 375–381. [Google Scholar] [CrossRef]
- Li, X.-H.; Chen, W.-L.; Wang, E.-B. A second modification of poly[diaquadi-μ-citrato(3−)-trizinc(II)]. Acta Cryst. 2009, E65, m183. [Google Scholar] [CrossRef]
- Xu, X.; Liu, X.; Zhang, X.; Sun, T. Coordination polymers constructed from d10 ions, saturated or unsaturated aliphatic carboxylic acids, and bidentate nitrogen ligands: Synthesis, characterization, and fluorescence. J. Coord. Chem. 2010, 63, 1313–1326. [Google Scholar] [CrossRef]
- Wu, J. Poly[diaquadi-μ4-citrato-trizinc(II)]. Acta Cryst. 2008, 64, m583–m584. [Google Scholar] [CrossRef] [Green Version]
- Ma, Y.-H.; Yang, H.-W.; Hao, J.-T.; Mab, P.-Z.; Yao, T. Poly[di-μ9-citrato-tetrasodiumzinc]. Acta Cryst. 2013, 69, m672. [Google Scholar] [CrossRef]
- Infantes, L.; Motherwell, S. Water clusters in organic molecular crystals. Cryst.Eng.Comm. 2002, 4, 454–461. [Google Scholar] [CrossRef]
- Reimann, C.W.; Block, S.; Perloff, A. The Crystal and Molecular Structure of Dichloro(1,10-phenanthroline)zinc. Inorg. Chem. 1966, 5, 1185–1189. [Google Scholar] [CrossRef]
- Yu, C.-H.; Zhang, R.-C. Chlorobis(1,10-phenanthroline-κ2N,N′)zinc(II) nitrate monohydrate. Acta Cryst. 2006, E62, m1758–m1759. [Google Scholar] [CrossRef]
- Hu, T.L.; Wang, J.J.; Li, J.R.; Bu, X.H. A new one-dimensional CdII complex, [Cd(μ2-L)2]n (HL=3-(2-pyridyl)pyrazole) with planar [Cd(μ2-L)]2 unit: Synthesis, crystal structure and emission property. J. Mol. Struct. 2006, 796, 18. [Google Scholar] [CrossRef]
- Zhang, J.; Xie, Y.-R.; Ye, Q.; Xiong, R.-G.; Xue, Z.; You, X.-Z. Blue to red fluorescent emission tuning of a cadmium coordination polymer by conjugated ligands. Eur. J. Inorg. Chem. 2003, 2572–2577. [Google Scholar] [CrossRef]
- Lu, J.; Zhao, K.; Fang, Q.-R.; Xu, J.-Q.; Yu, J.-H.; Zhang, X.; Bie, H.-Y.; Wang, T.-G. Synthesis and characterization of four novel supramolecular compounds based on metal zinc and cadmium. Cryst. Growth Des. 2005, 5, 1091–1098. [Google Scholar] [CrossRef]
- Xu, J.; Liao, K. Protein Kinase B/AKT 1 plays a pivotal role in insulin-like growth factor-1 receptor signaling induced 3T3-L1 adipocyte differentiation. J. Biol. Chem. 2004, 279, 35914–35922. [Google Scholar] [CrossRef] [Green Version]
- Aouadi, M.; Laurent, K.; Prot, M.; Marchand-Brustel, Y.L.; Binétruy, B.; Bost, F. Inhibition of p38MAPK Increases Adipogenesis From Embryonic to Adult Stages. Diabetes 2006, 55, 281–289. [Google Scholar] [CrossRef] [Green Version]
- Tomiyama, K.; Nakata, H.; Sasa, H.; Arimura, S.; Nishio, E.; Watanabe, Y. Wortmannin, a specific phosphatidylinositol 3-kinase inhibitor, inhibits adipocytic differentiation of 3T3-L1 Cells. Biochem. Biophys. Res. Comm. 1995, 212, 263–269. [Google Scholar] [CrossRef]
- Magun, R.; Burgering, B.M.; Coffer, P.J.; Pardasani, D.; Lin, Y.; Chabot, J.; Sorisky, A. Expression of a constitutively activated form of protein kinase B (c-Akt) in 3T3-L1 preadipose cells causes spontaneous differentiation. Endocrinology 1996, 137, 3590–3593. [Google Scholar] [CrossRef] [Green Version]
- Engelman, J.A.; Berg, A.H.; Lewis, R.Y.; Lin, A.; Lisanti, M.P.; Scherer, P.E. Constitutively Active Mitogen-activated Protein Kinase Kinase 6 (MKK6) or Salicylate Induces Spontaneous 3T3-L1 Adipogenesis. J. Biol. Chem. 1999, 274, 35630–35638. [Google Scholar] [CrossRef] [Green Version]
- Tang, X.; Shay, N.F. Zinc has an insulin-like effect on glucose transport mediated by phosphoinositol-3-kinase and Akt in 3T3-L1 fibroblasts and adipocytes. J. Nutr. 2001, 131, 1414–1420. [Google Scholar] [CrossRef] [Green Version]
- Anson, K.J.; Corbet, G.A.; Palmer, A.E. Zn2+ influx activates ERK and Akt signaling pathways through a common mechanism. Proc. Natl. Acad. Sci. USA 2020, 118, e2015786118. [Google Scholar] [CrossRef]
- Rigaku/MSC. CrystalClear. Rigaku/MSC Inc.: The Woodlands, TX, USA, 2005. [Google Scholar]
- Sheldrick, G.M. A short history of SHELX. Acta Cryst. 2008, A64, 112–122. [Google Scholar]
- Sheldrick, G.M. Crystal structure refinement with SHELXL. Acta Cryst. 2015, C71, 3–8. [Google Scholar]
- DIAMOND–Crystal and Molecular Structure Visualization, Ver. 3.1; Crystal Impact: Bonn, Germany, 2014.
- Zhang, J.-H.; Chung, T.D.; Oldenburg, K.R. A Simple statistical parameter for use in evaluation and validation of high throughput screening assays. J. Biomol. Screen. 1999, 4, 67–73. [Google Scholar] [CrossRef]
- Martinotti, S.; Ranzato, E. Scratch wound healing assay. Methods Mol. Biol. 2019, 2, 225–229. [Google Scholar]
- Tsave, O.; Salifoglou, A. Biomimetic activity of soluble, well-defined, aqueous Ti(IV)-citrate species toward adipogenesis. An in vitro study. J. Inorg. Biochem. 2021, 214, 111290. [Google Scholar] [CrossRef]
- Vlahos, C.; Matter, W.; Hui, K.; Brown, R. A specific inhibitor of phosphatidylinositol 3-kinase, 2-(4-morpholinyl)-8-phenyl-4H-1-benzopyran-4-one (LY294002). J. Biol. Chem. 1994, 269, 5241–5248. [Google Scholar] [CrossRef]
- Favata, M.F.; Horiuchi, K.Y.; Manos, E.J.; Daulerio, A.J.; Stradley, D.A.; Feeser, W.S.; Van Dyk, D.E.; Pitts, W.J.; Earl, R.A.; Hobbs, F.; et al. Identification of a novel inhibitor of mitogen-activated protein kinase kinase. J. Biol. Chem. 1998, 273, 18623–18632. [Google Scholar] [CrossRef] [Green Version]
























| 1 | 2 | 3 | 4 | 5 | |
|---|---|---|---|---|---|
| Formula | C14H14Cl2N2O4Zn | C6H13NO7Zn | C18H25N3O9Zn | C12H8Cl2N2Zn | C24H18ClN5O4Zn |
| Fw | 410.54 | 276.54 | 492.78 | 316.47 | 541.25 |
| Space group | P | P21/c | P | P21/n | P21/n |
| a (Å) | 7.2582(1) | 7.3509(3) | 7.0736(1) | 7.9667(1) | 10.8589(2) |
| b (Å) | 8.1539(1) | 9.7341(2) | 12.4910(2) | 15.6568(2) | 15.4397(2) |
| c (Å) | 13.8300(3) | 14.3156(3) | 12.7785(2) | 9.6838(1) | 13.1342(2) |
| α(o) | 83.107(1) | 90.0 | 67.493(1) | 90.0 | 90.0 |
| β(o) | 84.445(1) | 99.807(1) | 82.002(1) | 102.044(1) | 93.997(1) |
| γ(o) | 75.707(1) | 90.0 | 79.475(1) | 90.0 | 90.0 |
| V (Å3) | 785.51(2) | 1009.38(5) | 1022.53(3) | 1181.30(2) | 2196.70(6) |
| Z | 2 | 4 | 2 | 4 | 4 |
| T (°C) | −113 | −113 | −113 | −113 | −113 |
| Radiation | Cu Kα | Cu Kα | Cu Kα | Cu Kα | Cu Kα |
| ρcalcd (g cm−3) | 1.736 | 1.820 | 1.600 | 1.779 | 1.637 |
| μ (mm−1) | 5.500 | 3.622 | 2.187 | 6.840 | 3.056 |
| Reflections with I 2σ(I) | 2016 | 1347 | 2991 | 1848 | 3535 |
| Ra | 0.0362 | 0.0556 | 0.0316 | 0.0271 | 0.0350 |
| Rwa | 0.0787 | 0.1085 | 0.0781 | 0.0703 | 0.0909 |
| Distances (Å) | |||||||||
|---|---|---|---|---|---|---|---|---|---|
| 1 | 2 | 3 | 4 | 5 | |||||
| Zn-O(1) | 1.966(2) | Zn-O(4) | 2.016(3) | Zn(1)-N(12) | 2.086(2) | Zn(1)-N(2) | 2.059(2) | Zn-N(21) | 2.068(2) |
| Zn-O(11) | 1.967(2) | Zn-O(1) | 2.074(3) | Zn(1)-O(3) | 2.088(2) | Zn(1)-N(1) | 2.078(2) | Zn-N(1) | 2.076(2) |
| Zn-Cl(2) | 2.250(1) | Zn-O(1w) | 2.108(4) | Zn(1)-O(1) | 2.088(2) | Zn(1)-Cl(2) | 2.2102(6) | Zn-N(2) | 2.148(2) |
| Zn-Cl(1) | 2.269(1) | Zn-O(3) | 2.134(3) | Zn(1)-N(1) | 2.144(2) | Zn(1)-Cl(1) | 2.2190(6) | Zn-N(22) | 2.179(2) |
| Zn-O(5) | 2.145(3) | Zn(1)-N(11) | 2.199(2) | Zn-Cl | 2.2951(6) | ||||
| Zn-N | 2.201(3) | Zn(1)-O(5) | 2.244(2) | ||||||
| Angles (o) | |||||||||
| O(1)-Zn-O(11) | 113.52(10) | O(4)-Zn-O(1) | 110.84(11) | N(12)-Zn(1)-O(3) | 90.01(7) | N(2)-Zn(1)-N(1) | 81.49(8) | N(21)-Zn-N(1) | 121.09(7) |
| O(1)-Zn-Cl(2) | 105.80(8) | O(4)-Zn-O(1w) | 92.99(12) | N(12)-Zn(1)-O(1) | 107.62(7) | N(2)-Zn(1)-Cl(2) | 108.31(6) | N(21)-Zn-N(2) | 96.90(7) |
| O(11)-Zn-Cl(2) | 112.04(9) | O(1)-Zn-O(1w) | 88.78(13) | O(3)-Zn(1)-O(1) | 101.41(6) | N(1)-Zn(1)-Cl(2) | 125.83(6) | N(1)-Zn-N(2) | 78.94(7) |
| O(1)-Zn-Cl(1) | 111.22(9) | O(4)-Zn-O(3) | 93.25(11) | N(12)-Zn(1)-N(1) | 171.07(8) | N(2)-Zn(1)-Cl(1) | 115.77(5) | N(21)-Zn-N(22) | 78.72(7) |
| O(11)-Zn-Cl(1) | 104.54(8) | O(1)-Zn-O(3) | 155.57(11) | O(3)-Zn(1)-N(1) | 82.41(6) | N(1)-Zn(1)-Cl(1) | 107.11(5) | N(1)-Zn-N(22) | 98.24(7) |
| Cl(2)-Zn-Cl(1) | 109.80(4) | O(1w)-Zn-O(3) | 85.85(14) | O(1)-Zn(1)-N(1) | 78.66(7) | Cl(2)-Zn(1)-Cl(1) | 114.40(2) | N(2)-Zn-N(22) | 172.72(7) |
| O(4)-Zn-O(5) | 88.91(12) | N(12)-Zn(1)-N(11) | 78.29(7) | N(21)-Zn-Cl | 118.31(5) | ||||
| O(1)-Zn-O(5) | 96.16(12) | O(3)-Zn(1)-N(11) | 166.26(7) | N(1)-Zn-Cl | 120.59(5) | ||||
| O(1w)-Zn-O(5) | 173.70(14) | N(1)-Zn(1)-N(11) | 108.58(7) | N(2)-Zn-Cl | 95.16(5) | ||||
| O(3)-Zn-O(5) | 88.06(12) | N(12)-Zn(1)-O(5) | 95.65(7) | N(22)-Zn-Cl | 92.04(5) | ||||
| O(4)-Zn-N | 166.17(12) | O(3)-Zn(1)-O(5) | 87.80(6) | ||||||
| O(1)-Zn-N | 78.18(11) | O(1)-Zn(1)-O(5) | 154.81(7) | ||||||
| O(1w)-Zn-N | 97.77(13) | N(1)-Zn(1)-O(5) | 79.42(7) | ||||||
| O(3)-Zn-N | 78.96(11) | N(11)-Zn(1)-O(5) | 86.24(6) | ||||||
| O(5)-Zn-N | 79.49(12) | ||||||||
| Gene | Primer (Forward (F); Reverse (R)) | Sequence |
|---|---|---|
| GLUT 4 | F | 5′-AACCAGCATCTTCGAGTCGG-3′ |
| R | 5′-TAAGAGCACCGAGACCAACG-3′ | |
| GLUT 1 | F | 5′-CTCACCACGCTTTGGTCTCT-3′ |
| R | 5′-CGCCTGCCAAAGCGATTAAC-3′ | |
| PPAR-γ | F | 5′-GTCAGCGACTGGGACTTTTC-3′ |
| R | 5′-CGAGGACATCCAAGACAACC-3′ |
Publisher’s Note: MDPI stays neutral with regard to jurisdictional claims in published maps and institutional affiliations. |
© 2021 by the authors. Licensee MDPI, Basel, Switzerland. This article is an open access article distributed under the terms and conditions of the Creative Commons Attribution (CC BY) license (https://creativecommons.org/licenses/by/4.0/).
Share and Cite
Gabriel, C.; Tsave, O.; Yavropoulou, M.P.; Architektonidis, T.; Raptopoulou, C.P.; Psycharis, V.; Salifoglou, A. Evaluation of Insulin-Like Activity of Novel Zinc Metal–Organics toward Adipogenesis Signaling. Int. J. Mol. Sci. 2021, 22, 6757. https://doi.org/10.3390/ijms22136757
Gabriel C, Tsave O, Yavropoulou MP, Architektonidis T, Raptopoulou CP, Psycharis V, Salifoglou A. Evaluation of Insulin-Like Activity of Novel Zinc Metal–Organics toward Adipogenesis Signaling. International Journal of Molecular Sciences. 2021; 22(13):6757. https://doi.org/10.3390/ijms22136757
Chicago/Turabian StyleGabriel, Catherine, Olga Tsave, Maria P. Yavropoulou, Theodore Architektonidis, Catherine P. Raptopoulou, Vassilis Psycharis, and Athanasios Salifoglou. 2021. "Evaluation of Insulin-Like Activity of Novel Zinc Metal–Organics toward Adipogenesis Signaling" International Journal of Molecular Sciences 22, no. 13: 6757. https://doi.org/10.3390/ijms22136757
APA StyleGabriel, C., Tsave, O., Yavropoulou, M. P., Architektonidis, T., Raptopoulou, C. P., Psycharis, V., & Salifoglou, A. (2021). Evaluation of Insulin-Like Activity of Novel Zinc Metal–Organics toward Adipogenesis Signaling. International Journal of Molecular Sciences, 22(13), 6757. https://doi.org/10.3390/ijms22136757

