Emerging Prospects for Combating Fungal Infections by Targeting Phosphatidylinositol Transfer Proteins
Abstract
1. Introduction
2. Virulence of Candida Species
3. Therapeutic Options for Treating Candidiasis
4. Multidrug-Resistant Fungal Pathogens
5. New Targets and Next Generation Anti-Fungal Compounds
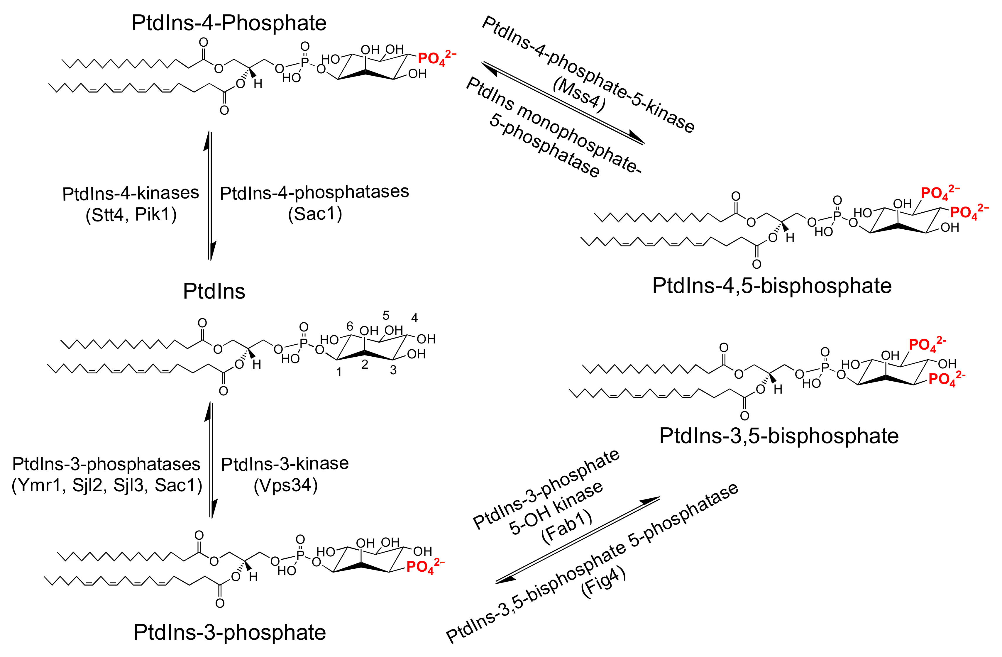
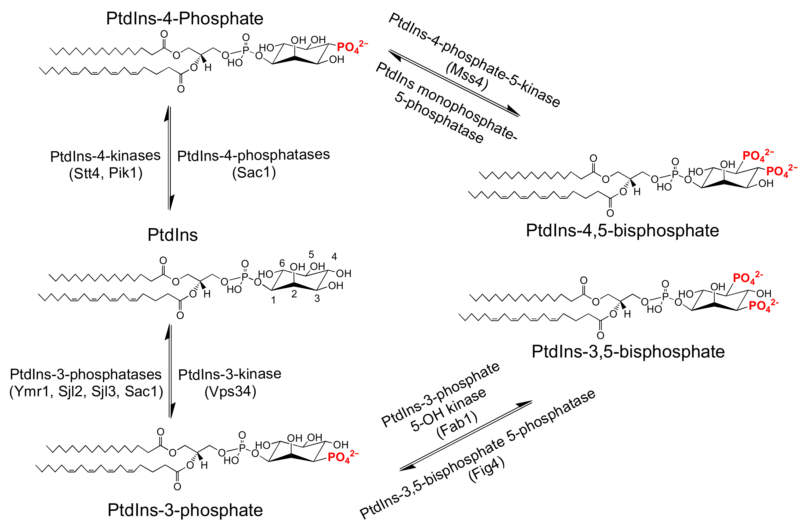
6. Phosphoinositide Signaling
7. PtdIns(4)P Synthesis and Signaling
8. PtdIns(4)P Signaling and the PI4K-PITP Partnership
9. Mechanisms of PITP Function
10. Sec14 Orthologs in Virulent Fungi
11. Targeting Fungal Phosphatidylinositol-4-Phosphate Signaling by Exploiting the PI4K-PITP Partnership: First Generation Sec14 Inhibitors
12. Mechanisms of Sec14 Inhibition and the PtdCho Headgroup Binding Site
13. The Sec14 VV-Motif Drug Sensitivity Signature
14. PtdCho Barcode and VV-Motif Conservation in Sec14 Proteins across the Phylogeny of Fungal Pathogens
15. Pharmacophore and Future Design Considerations
16. A Sec14-Directed Natural Product with Potent Anti-Fungal Activity?
17. Sec14-Directed Anti-Fungals and Prospective Mechanisms of Drug Resistance
18. Conclusions
Author Contributions
Funding
Institutional Review Board Statement
Informed Consent Statement
Conflicts of Interest
References
- Martin, R.; Miquel, S.; Ulmer, J.; Kechaou, N.; Langella, P.; Bermudez-Humaran, L.G. Role of commensal and probiotic bacteria in human health: A focus on inflammatory bowel disease. Microb. Cell Fact. 2013, 12, 71. [Google Scholar] [CrossRef] [PubMed]
- Bernardes, T. Erik Intestinal Fungi Are Causally Implicated in Microbiome Assembly and Immune Development in Mice. Nat. Commun. 2020, 11, 2577. [Google Scholar] [CrossRef] [PubMed]
- Bongomin, F.; Gago, S.; Oladele, R.O.; Denning, D.W. Global and multi-national prevalence of fungal diseases-estimate precision. J. Fungi 2017, 3, 57. [Google Scholar] [CrossRef] [PubMed]
- Fisher, M.C.; Hawkins, N.J.; Sanglard, D.; Gurr, S.J. Worldwide emergence of resistance to antifungal drugs challenges human health and food security. Science 2018, 360, 739–742. [Google Scholar] [CrossRef]
- Brown, G.D.; Denning, D.W.; Gow, N.A.R.; Levitz, S.M.; Netea, M.G.; White, T.C. Hidden killers: Human fungal infections. Sci. Transl. Med. 2012, 4, 165rv13. [Google Scholar] [CrossRef]
- Dagenais, T.R.; Keller, N.P. Pathogenesis of Aspergillus fumigatus in invasive aspergillosis. Clin. Microbiol. Rev. 2009, 22, 447–465. [Google Scholar] [CrossRef]
- Garcia-Vidal, C.; Peghin, M.; Cervera, C.; Gudiol, C.; Ruiz-Camps, I.; Moreno, A.; Carratala, J. Causes of death in a contemporary cohort of patients with invasive aspergillosis. PLoS ONE 2015, 10, 0120370. [Google Scholar] [CrossRef]
- Roden, M.M. Epidemiology and Outcome of Zygomycosis: A Review of 929 Reported Cases. Clin. Infect. Dis. 2005, 41, 634–653. [Google Scholar] [CrossRef]
- Monk, B.C.; Goffeau, A. Outwitting multidrug resistance to anti-fungals. Science 2008, 321, 367–369. [Google Scholar] [CrossRef]
- Armstead, J.; Morris, J.; Denning, D.W. Multi-country estimate of different manifestations of aspergillosis in cystic fibrosis. PLoS ONE 2014, 9, 98502. [Google Scholar] [CrossRef]
- Denning, D.W.; Bromley, M.J. Infectious disease. How to bolster the antifungal pipeline. Science 2015, 347, 1414–1416. [Google Scholar] [CrossRef]
- Dupont, B.F.; Lortholary, O.; Ostrosky-Zeichner, L.; Stucker, F.; Yeldandi, V. Treatment of candidemia and invasive candidiasis in the intensive care unit: Post hoc analysis of a randomized, controlled trial comparing micafungin and liposomal amphotericin b. Crit. Care 2009, 13, 159. [Google Scholar] [CrossRef]
- Antinori, S.; Milazzo, L.; Sollima, S.; Galli, M.; Corbellino, M. Candidemia and invasive candidiasis in adults: A narrative review. Eur. J. Intern. Med. 2016, 34, 21–28. [Google Scholar] [CrossRef]
- Pappas, P.G.; Lionakis, M.S.; Arendrup, M.C.; Ostrosky-Zeichner, L.; Kullberg, B.J. Invasive candidiasis. Nat. Rev. Dis. Primers 2018, 4, 18026. [Google Scholar] [CrossRef]
- Guinea, J. Global trends in the distribution of candida species causing candidemia. Clin. Microbiol. Infect. 2014, 20 (Suppl. 6), 5–10. [Google Scholar] [CrossRef]
- Hirayama, T.; Miyazaki, T.; Ito, Y.; Wakayama, M.; Shibuya, K.; Yamashita, K.; Takazono, T.; Saijo, T.; Shimamura, S.; Yamamoto, K.; et al. Virulence assessment of six major pathogenic Candida species in the mouse model of invasive candidiasis caused by fungal translocation. Sci. Rep. 2020, 10, 3814. [Google Scholar] [CrossRef]
- Turner, S.A.; Butler, G. The Candida pathogenic species complex. Cold Spring Harb. Perspect. Med. 2014, 4, a019778. [Google Scholar] [CrossRef]
- Pfaller, M.A.; Jones, R.N.; Castanheira, M. Regional data analysis of Candida non-albicans strains collected in united states medical sites over a 6-year period, 2006–2011. Mycoses 2014, 57, 602–611. [Google Scholar] [CrossRef]
- Lamoth, F.; Lockhart, S.R.; Berkow, E.L.; Calandra, T. Changes in the epidemiological landscape of invasive candidiasis. J. Antimicrob. Chemother. 2018, 73, 4–13. [Google Scholar] [CrossRef]
- Kurtzman, C.P.; Robnett, C.J. Identification and phylogeny of ascomycetous yeasts from analysis of nuclear large subunit (26s) ribosomal DNA partial sequences. Antonie Van Leeuwenhoek 1998, 73, 331–371. [Google Scholar] [CrossRef]
- Pfaller, M.A.; Diekema, D.J.; Turnidge, J.D.; Castanheira, M.; Jones, R.N. Twenty Years of the SENTRY Antifungal Surveillance Program: Results for Candida Species From 1997–2016. Open Forum Infect. Dis. 2019, 6, S79–S94. [Google Scholar] [CrossRef]
- Ghannoum, M.A.; Jurevic, R.J.; Mukherjee, P.K.; Cui, F.; Sikaroodi, M.; Naqvi, A.; Gillevet, P.M. Characterization of the oral fungal microbiome (mycobiome) in healthy individuals. PLoS Pathog. 2010, 6, 1000713. [Google Scholar] [CrossRef]
- Limon, J.J.; Skalski, J.H.; Underhill, D.M. Commensal fungi in health and disease. Cell Host Microbe 2017, 22, 156–165. [Google Scholar] [CrossRef]
- Wisplinghoff, H.; Bischoff, T.; Tallent, S.M.; Seifert, H.; Wenzel, R.P.; Edmond, M.B. Nosocomial bloodstream infections in us hospitals: Analysis of 24,179 cases from a prospective nationwide surveillance study. Clin. Infect. Dis. 2004, 39, 309–317. [Google Scholar] [CrossRef]
- Mermel, L.A.; Allon, M.; Bouza, E.; Craven, D.E.; Flynn, P.; O’Grady, N.P.; Warren, D.K. Clinical practice guidelines for the diagnosis and management of intravascular catheter-related infection: 2009 update by the infectious diseases society of america. Clin. Infect. Dis. 2009, 49, 1–45. [Google Scholar] [CrossRef]
- Festekjian, A.; Neely, M. Incidence and predictors of invasive candidiasis associated with candidaemia in children. Mycoses 2011, 54, 146–153. [Google Scholar] [CrossRef]
- Thomas, P.A.; Kaliamurthy, J. Mycotic keratitis: Epidemiology, diagnosis and management. Clin. Microbiol. Infect. 2013, 19, 210–220. [Google Scholar] [CrossRef]
- Delaloye, J.; Calandra, T. Invasive candidiasis as a cause of sepsis in the critically ill patient. Virulence 2014, 5, 161–169. [Google Scholar] [CrossRef]
- Wang, T.Z.; Kodiyanplakkal, R.P.L.; Calfee, D.P. Antimicrobial resistance in nephrology. Nat. Rev. Nephrol. 2019, 15, 463–481. [Google Scholar] [CrossRef]
- Hirano, R.; Sakamoto, Y.; Kitazawa, J.; Yamamoto, S.; Kayaba, H. Epidemiology, practice patterns, and prognostic factors for candidemia; and characteristics of fourteen patients with breakthrough candida bloodstream infections: A single tertiary hospital experience in japan. Infect. Drug Resist. 2018, 11, 821–833. [Google Scholar] [CrossRef]
- Zeng, Q.; Morales, A.J.; Cottarel, G. Fungi and humans: Closer than you think. Trends Genet. 2001, 17, 682–684. [Google Scholar] [CrossRef]
- Woolley, D.W. Some biological effects produced by benzimidazole and their reversal by purines. J. Biol. Chem. 1944, 152, 225–232. [Google Scholar] [CrossRef]
- Hazen, E.L.; Brown, R. Two antifungal agents produced by a soil actinomycete. Science 1950, 112, 423. [Google Scholar] [PubMed]
- Galgiani, J.N. Fluconazole, a new antifungal agent. Ann. Intern. Med. 1990, 113, 177–179. [Google Scholar] [CrossRef]
- Ghannoum, M.A.; Rice, L.B. Antifungal agents: Mode of action, mechanisms of resistance, and correlation of these mechanisms with bacterial resistance. Clin. Microbiol. Rev. 1999, 12, 501–517. [Google Scholar] [CrossRef]
- Gray, K.C.; Palacios, D.S.; Dailey, I.; Endo, M.M.; Uno, B.E.; Wilcock, B.C.; Burke, M.D. Amphotericin primarily kills yeast by simply binding ergosterol. Proc. Natl. Acad. Sci. USA 2012, 109, 2234–2239. [Google Scholar] [CrossRef]
- Palacios, D.S.; Dailey, I.; Siebert, D.M.; Wilcock, B.C.; Burke, M.D. Synthesis-enabled functional group deletions reveal key underpinnings of amphotericin b ion channel and antifungal activities. Proc. Natl. Acad. Sci. USA 2011, 108, 6733–6738. [Google Scholar] [CrossRef]
- Fanos, V.; Cataldi, L. Amphotericin b-induced nephrotoxicity: A review. J. Chemother. 2000, 12, 463–470. [Google Scholar] [CrossRef]
- Kyriakidis, I.; Tragiannidis, A.; Munchen, S.; Groll, A.H. Clinical hepatotoxicity associated with antifungal agents. Expert Opin. Drug Saf. 2017, 16, 149–165. [Google Scholar] [CrossRef]
- Ostrosky-Zeichner, L.; Casadevall, A.; Galgiani, J.N.; Odds, F.C.; Rex, J.H. An insight into the antifungal pipeline: Selected new molecules and beyond. Nat. Rev. Drug Discov. 2010, 9, 719–727. [Google Scholar] [CrossRef]
- Perfect, J.R. The Antifungal Pipeline: A Reality Check. Nat. Rev. Drug Discov. 2017, 16, 603–616. [Google Scholar] [CrossRef]
- Davis, S.A.; Vincent, B.M.; Endo, M.M.; Whitesell, L.; Marchillo, K.; Andes, D.R.; Lindquist, S.; Burke, M.D. Nontoxic antimicrobials that evade drug resistance. Nat. Chem. Biol. 2015, 11, 481–487. [Google Scholar] [CrossRef]
- Sagatova, A.A.; Keniya, M.V.; Wilson, R.K.; Monk, B.C.; Tyndall, J.D.A. Structural Insights into Binding of the Antifungal Drug Fluconazole to Saccharomyces cerevisiae Lanosterol 14α-Demethylase. Antimicrob. Agents Chemother. 2015, 59, 4982–4989. [Google Scholar] [CrossRef]
- Sanguinetti, M.; Posteraro, B.; Fiori, B.; Ranno, S.; Torelli, R.; Fadda, G. Mechanisms of azole resistance in clinical isolates of Candida glabrata collected during a hospital survey of antifungal resistance. Antimicrob. Agents Chemother. 2005, 49, 668–679. [Google Scholar] [CrossRef]
- Kanafani, Z.A.; Perfect, J.R. Antimicrobial resistance: Resistance to antifungal agents: Mechanisms and clinical impact. Clin. Infect. Dis. 2008, 46, 120–128. [Google Scholar] [CrossRef]
- Walker, S.S.; Xu, Y.; Triantafyllou, I.; Waldman, M.F.; Mendrick, C.; Brown, N.; Mann, P.; Chau, A.; Patel, R.; Bauman, N.; et al. Discovery of a Novel Class of Orally Active Antifungal β-1,3-d-Glucan Synthase Inhibitors. Antimicrob. Agents Chemother. 2011, 55, 5099–5106. [Google Scholar] [CrossRef]
- Sawistowska-Schröder, E.T.; Kerridge, D.; Perry, H. Echinocandin inhibition of 1,3-beta-D-glucan synthase from Candida albicans. FEBS Lett. 1984, 173, 134–138. [Google Scholar] [CrossRef]
- Onishi, J.; Meinz, M.; Thompson, J.; Curotto, J.; Dreikorn, S.; Rosenbach, M.; Douglas, C.; Abruzzo, G.; Flattery, A.; Kong, L.; et al. Discovery of novel antifungal (1,3)-beta-D-glucan synthase inhibitors. Antimicrob. Agents Chemother. 2000, 44, 368–377. [Google Scholar] [CrossRef]
- Turner, M.S.; Drew, R.H.; Perfect, J.R. Emerging echinocandins for treatment of invasive fungal infections. Expert Opin. Emerg. Drugs 2006, 11, 231–250. [Google Scholar] [CrossRef]
- Filipuzzi, I.; Cotesta, S.; Perruccio, F.; Knapp, B.; Fu, Y.; Studer, C.; Hoepfner, D. High-resolution genetics identifies the lipid transfer protein Sec14p as target for antifungal ergolines. PLoS Genet. 2016, 12, 1006374. [Google Scholar] [CrossRef]
- Hager, C.L.; Larkin, E.L.; Long, L.A.; Ghannoum, M.A. Evaluation of the efficacy of rezafungin, a novel echinocandin, in the treatment of disseminated Candida auris infection using an immunocompromised mouse model. J. Antimicrob. Chemother. 2018, 73, 2085–2088. [Google Scholar] [CrossRef] [PubMed]
- Azie, N.; Angulo, D.; Dehn, B.; Sobel, J.D. Oral Ibrexafungerp: An investigational agent for the treatment of vulvovaginal candidiasis. Expert Opin. Investig. Drugs 2020, 29, 893–900. [Google Scholar] [CrossRef] [PubMed]
- Ghannoum, M.; Arendrup, M.C.; Chaturvedi, V.P.; Lockhart, S.R.; McCormick, T.S.; Chaturvedi, S.; Berkow, E.L.; Juneja, D.; Tarai, B.; Azie, N.; et al. Ibrexafungerp: A Novel Oral Triterpenoid Antifungal in Development for the Treatment of Infections. Antibiotics 2020, 9, 539. [Google Scholar] [CrossRef] [PubMed]
- Castanheira, M.; Messer, S.A.; Rhomberg, P.R.; Dietrich, R.R.; Jones, R.N.; Pfaller, M.A. Isavuconazole and nine comparator antifungal susceptibility profiles for common and uncommon Candida species collected in 2012: Application of new CLSI clinical breakpoints and epidemiological cutoff values. Mycopathologia 2014, 178, 1–9. [Google Scholar] [CrossRef] [PubMed]
- Sterling, T.R.; Merz, W.G. Resistance to Amphotericin b: Emerging clinical and microbiological patterns. Drug Resist. Updat. 1998, 1, 161–165. [Google Scholar] [CrossRef]
- Krogh-Madsen, M.; Arendrup, M.C.; Heslet, L.; Knudsen, J.D. Amphotericin b and caspofungin resistance in candida glabrata isolates recovered from a critically ill patient. Clin. Infect. Dis. 2006, 42, 938–944. [Google Scholar] [CrossRef]
- Mesa-Arango, A.C.; Scorzoni, L.; Zaragoza, O. It only takes one to do many jobs: Amphotericin b as antifungal and immunomodulatory drug. Front. Microbiol. 2012, 3, 286. [Google Scholar] [CrossRef]
- Enright, M.C.; Robinson, D.A.; Randle, G.; Feil, E.J.; Grundmann, H.; Spratt, B.G. The evolutionary history of methicillin-resistant Staphylococcus aureus (MRSA. Proc. Natl. Acad. Sci. USA 2002, 99, 7687–7692. [Google Scholar] [CrossRef]
- Klevens, R.M.; Morrison, M.A.; Nadle, J.; Petit, S.; Gershman, K.; Ray, S. Active Bacterial Core surveillance MI. JAMA 2007, 298, 1763–1771. [Google Scholar] [CrossRef]
- Chambers, H.F.; Deleo, F.R. Waves of resistance: Staphylococcus aureus in the antibiotic era. Nat. Rev. Microbiol. 2009, 7, 629–641. [Google Scholar] [CrossRef]
- Satoh, K.; Makimura, K.; Hasumi, Y.; Nishiyama, Y.; Uchida, K.; Yamaguchi, H. Candida auris sp. Nov., a novel ascomycetous yeast isolated from the external ear canal of an inpatient in a Japanese hospital. Microbiol. Immunol. 2009, 53, 41–44. [Google Scholar] [CrossRef]
- Eyre, D.W.; Sheppard, A.E.; Madder, H.; Moir, I.; Moroney, R.; Quan, T.P.; Jeffery, K.J.M. A Candida auris outbreak and its control in an intensive care setting. N. Engl. J. Med. 2018, 379, 1322–1331. [Google Scholar] [CrossRef]
- Lockhart, S.R.; Berkow, E.L.; Chow, N.; Welsh, R.M. Candida auris for the clinical microbiology laboratory: Not your grandfather’s candida species. Clin. Microbiol. Newsl. 2017, 39, 99–103. [Google Scholar] [CrossRef]
- Horton, M.V.; Johnson, C.J.; Kernien, J.F.; Patel, T.D.; Lam, B.C.; Cheong, J.Z.A.; Nett, J.E. Candida auris forms high-burden biofilms in skin niche conditions and on porcine skin. MSphere 2020, 5, e00910-19. [Google Scholar] [CrossRef]
- CDC Website: Candida Auris. Available online: https://www.cdc.gov/fungal/candida-auris/index.html (accessed on 22 June 2021).
- CDC Website: Antifungal Susceptibility Testing and Interpretation. Available online: https://www.cdc.gov/fungal/candida-auris/c-auris-antifungal.html (accessed on 22 June 2021).
- Guo, S.; Stolz, L.E.; Lemrow, S.M.; York, J.D. Sac1-like domains of yeast sac1, inp52, and inp53 and of human synaptojanin encode polyphosphoinositide phosphatases. J. Biol. Chem. 1999, 274, 12990–12995. [Google Scholar] [CrossRef]
- Audhya, A.; Foti, M.; Emr, S.D. Distinct roles for the yeast phosphatidylinositol 4-kinases, stt4p and pik1p, in secretion, cell growth, and organelle membrane dynamics. Mol. Biol. Cell 2000, 11, 2673–2689. [Google Scholar] [CrossRef]
- Stenzel, I.; Ischebeck, T.; Konig, S.; Holubowska, A.; Sporysz, M.; Hause, B.; Heilmann, I. The type b phosphatidylinositol-4-phosphate 5-kinase 3 is essential for root hair formation in Arabidopsis thaliana. Plant Cell 2008, 20, 124–141. [Google Scholar] [CrossRef]
- Clayton, E.L.; Minogue, S.; Waugh, M.G. Mammalian phosphatidylinositol 4-kinases as modulators of membrane trafficking and lipid signaling networks. Prog. Lipid Res. 2013, 52, 294–304. [Google Scholar] [CrossRef]
- Rivas, M.P.; Kearns, B.G.; Xie, Z.; Guo, S.; Sekar, M.C.; Hosaka, K.; Bankaitis, V.A. Pleiotropic alterations in lipid metabolism in yeast sac1 mutants: Relationship to “Bypass Sec14p” and inositol auxotrophy. Mol. Biol. Cell 1999, 10, 2235–2250. [Google Scholar] [CrossRef]
- Blagoveshchenskaya, A.; Cheong, F.Y.; Rohde, H.M.; Glover, G.; Knodler, A.; Nicolson, T.; Mayinger, P. Integration of golgi trafficking and growth factor signaling by the lipid phosphatase sac1. J. Cell Biol. 2008, 180, 803–812. [Google Scholar] [CrossRef]
- Liu, Y.; Boukhelifa, M.; Tribble, E.; Bankaitis, V.A. Functional studies of the mammalian sac1 phosphoinositide phosphatase. Adv. Enzyme Regul. 2009, 49, 75–86. [Google Scholar] [CrossRef] [PubMed]
- Bankaitis, V.A.; Mousley, C.J.; Schaaf, G. The Sec14 superfamily and mechanisms for crosstalk between lipid metabolism and lipid signaling. Trends Biochem. Sci. 2010, 35, 150–160. [Google Scholar] [CrossRef] [PubMed]
- Rothman, J.E. The future of golgi research. Mol. Biol. Cell 2010, 21, 3776–3780. [Google Scholar] [CrossRef] [PubMed]
- Miller, E.A.; Schekman, R. Copii—A flexible vesicle formation system. Curr. Opin. Cell Biol. 2013, 25, 420–427. [Google Scholar] [CrossRef] [PubMed]
- Ray, K. From fission to fusion: A perspective on the research that won the nobel prize in physiology or medicine, 2013. J. Biosci. 2014, 39, 3–12. [Google Scholar] [CrossRef] [PubMed]
- Brown, H.A.; Gutowski, S.; Moomaw, C.R.; Slaughter, C.; Sternweis, P.C. Adp-ribosylation factor, a small GTP-dependent regulatory protein, stimulates phospholipase d activity. Cell 1993, 75, 1137–1144. [Google Scholar] [CrossRef]
- Brown, H.A.; Gutowski, S.; Kahn, R.A.; Sternweis, P.C. Partial purification and characterization of ARF-sensitive phospholipase d from porcine brain. J. Biol. Chem. 1995, 270, 14935–14943. [Google Scholar] [CrossRef]
- Hammond, S.M.; Jenco, J.M.; Nakashima, S.; Cadwallader, K.; Gu, Q.; Cook, S.; Morris, A.J. Characterization of two alternately spliced forms of phospholipase d1. Activation of the purified enzymes by phosphatidylinositol 4,5-bisphosphate, adp-ribosylation factor, and rho family monomeric GTP-binding proteins and protein kinase c-alpha. J. Biol. Chem. 1997, 272, 3860–3868. [Google Scholar] [CrossRef]
- Eberhard, D.A.; Cooper, C.L.; Low, M.G.; Holz, R.W. Evidence that the inositol phospholipids are necessary for exocytosis. Loss of inositol phospholipids and inhibition of secretion in permeabilized cells caused by a bacterial phospholipase c and removal of ATP. Biochem. J 1990, 268, 15–25. [Google Scholar] [CrossRef]
- Hay, J.C.; Martin, T.F. Phosphatidylinositol transfer protein required for atp-dependent priming of Ca(2+)-activated secretion. Nature 1993, 366, 572–575. [Google Scholar] [CrossRef]
- Hay, J.C.; Fisette, P.L.; Jenkins, G.H.; Fukami, K.; Takenawa, T.; Anderson, R.A.; Martin, T.F. Atp-dependent inositide phosphorylation required for Ca(2+)-activated secretion. Nature 1995, 374, 173–177. [Google Scholar] [CrossRef]
- Cullen, P.J. Calcium signalling: The ups and downs of protein kinase c. Curr. Biol. 2003, 13, 699–701. [Google Scholar] [CrossRef]
- Lemmon, M.A. Phosphoinositide recognition domains. Traffic 2003, 4, 201–213. [Google Scholar] [CrossRef]
- Behnia, R.; Munro, S. Organelle identity and the signposts for membrane traffic. Nature 2005, 438, 597–604. [Google Scholar] [CrossRef]
- Varnai, P.; Bondeva, T.; Tamas, P.; Toth, B.; Buday, L.; Hunyady, L.; Balla, T. Selective cellular effects of overexpressed pleckstrin-homology domains that recognize ptdins(3,4,5)p3 suggest their interaction with protein binding partners. J. Cell Sci. 2005, 118, 4879–4888. [Google Scholar] [CrossRef]
- Simon, M.L.; Platre, M.P.; Marques-Bueno, M.M.; Armengot, L.; Stanislas, T.; Bayle, V.; Jaillais, Y. A Ptdins(4)P-driven electrostatic field controls cell membrane identity and signalling in plants. Nat. Plants 2016, 2, 16089. [Google Scholar] [CrossRef]
- Vincent, P.; Chua, M.; Nogue, F.; Fairbrother, A.; Mekeel, H.; Xu, Y.; Bankaitis, V.A. A Sec14p-nodulin domain phosphatidylinositol transfer protein polarizes membrane growth of Arabidopsis thaliana root hairs. J. Cell Biol. 2005, 168, 801–812. [Google Scholar] [CrossRef]
- Rodgers, M.J.; Albanesi, J.P.; Phillips, M.A. Phosphatidylinositol 4-kinase iii-beta is required for golgi maintenance and cytokinesis in Trypanosoma brucei. Eukaryot. Cell 2007, 6, 1108–1118. [Google Scholar] [CrossRef]
- Nakatsu, F.; Baskin, J.M.; Chung, J.; Tanner, L.B.; Shui, G.; Lee, S.Y.; De Camilli, P. PtdIns(4)P synthesis by pi4kiiialpha at the plasma membrane and its impact on plasma membrane identity. J. Cell Biol. 2012, 199, 1003–1016. [Google Scholar] [CrossRef]
- Benli, M.; Doring, F.; Robinson, D.G.; Yang, X.; Gallwitz, D. Two GTPase isoforms, Ypt31p and Ypt32p, are essential for golgi function in yeast. EMBO J. 1996, 15, 6460–6475. [Google Scholar] [CrossRef]
- Ortiz, D.; Medkova, M.; Walch-Solimena, C.; Novick, P. Ypt32 recruits the sec4p guanine nucleotide exchange factor, sec2p, to secretory vesicles; evidence for a rab cascade in yeast. J. Cell Biol. 2002, 157, 1005–1015. [Google Scholar] [CrossRef]
- Mizuno-Yamasaki, E.; Medkova, M.; Coleman, J.; Novick, P. Phosphatidylinositol 4-phosphate controls both membrane recruitment and a regulatory switch of the rab gef sec2p. Dev. Cell 2010, 18, 828–840. [Google Scholar] [CrossRef]
- Godi, A.; Di Campli, A.; Konstantakopoulos, A.; Di Tullio, G.; Alessi, D.R.; Kular, G.S.; De Matteis, M.A. Fapps control golgi-to-cell-surface membrane traffic by binding to arf and ptdins(4)p. Nat. Cell Biol. 2004, 6, 393–404. [Google Scholar] [CrossRef]
- Heldwein, E.E.; Macia, E.; Wang, J.; Yin, H.L.; Kirchhausen, T.; Harrison, S.C. Crystal structure of the clathrin adaptor protein 1 core. Proc. Natl. Acad. Sci. USA 2004, 101, 14108–14113. [Google Scholar] [CrossRef]
- Wang, J.; Sun, H.Q.; Macia, E.; Kirchhausen, T.; Watson, H.; Bonifacino, J.S.; Yin, H.L. Pi4p promotes the recruitment of the gga adaptor proteins to the trans-golgi network and regulates their recognition of the ubiquitin sorting signal. Mol. Biol. Cell 2007, 18, 2646–2655. [Google Scholar] [CrossRef]
- Demmel, L.; Gravert, M.; Ercan, E.; Habermann, B.; Muller-Reichert, T.; Kukhtina, V.; Walch-Solimena, C. The clathrin adaptor gga2p is a phosphatidylinositol 4-phosphate effector at the golgi exit. Mol. Biol. Cell 2008, 19, 1991–2002. [Google Scholar] [CrossRef]
- Cao, X.; Coskun, U.; Rossle, M.; Buschhorn, S.B.; Grzybek, M.; Dafforn, T.R.; Simons, K. Golgi protein fapp2 tubulates membranes. Proc. Natl. Acad. Sci. USA 2009, 106, 21121–21125. [Google Scholar] [CrossRef]
- Dippold, H.C.; Ng, M.M.; Farber-Katz, S.E.; Lee, S.K.; Kerr, M.L.; Peterman, M.C.; Field, S.J. Golph3 bridges phosphatidylinositol-4- phosphate and actomyosin to stretch and shape the golgi to promote budding. Cell 2009, 139, 337–351. [Google Scholar] [CrossRef]
- Wood, C.S.; Schmitz, K.R.; Bessman, N.J.; Setty, T.G.; Ferguson, K.M.; Burd, C.G. PtdIns(4)P recognition by vps74/golph3 links ptdins 4-kinase signaling to retrograde golgi trafficking. J. Cell Biol. 2009, 187, 967–975. [Google Scholar] [CrossRef]
- Ile, K.E.; Kassen, S.; Cao, C.; Vihtehlic, T.; Shah, S.D.; Mousley, C.J.; Bankaitis, V.A. Zebrafish class 1 phosphatidylinositol transfer proteins: PITPβ and double cone cell outer segment integrity in retina. Traffic 2010, 11, 1151–1167. [Google Scholar] [CrossRef]
- Hsu, J.W.; Chang, L.C.; Jang, L.T.; Huang, C.F.; Lee, F.J. The n-terminus of vps74p is essential for the retention of glycosyltransferases in the golgi but not for the modulation of apical polarized growth in saccharomyces cerevisiae. PLoS ONE 2013, 8, e74715. [Google Scholar]
- Bergeron, J.J.M.; Au, C.E.; Thomas, D.Y.; Hermo, L. Proteomics identifies golgi phosphoprotein 3 (GOLPH3) with a link between golgi structure, cancer, DNA damage and protection from cell death. Mol. Cell. Proteomics 2017, 16, 2048–2054. [Google Scholar] [CrossRef] [PubMed]
- Wang, Y.J.; Wang, J.; Sun, H.Q.; Martinez, M.; Sun, Y.X.; Macia, E.; Kirchhausen, T.; Albanesi, J.P.; Roth, M.G.; Yin, H.L. Phosphatidylinositol 4 phosphate regulates targeting of clathrin adaptor AP-1 complexes to the Golgi. Cell 2003, 114, 299–310. [Google Scholar] [CrossRef]
- Daboussi, L.; Costaguta, G.; Payne, G.S. Phosphoinositide-mediated clathrin adaptor progression at the trans-golgi network. Nat. Cell Biol. 2012, 14, 239–248. [Google Scholar] [CrossRef]
- Liljedahl, M.; Maeda, Y.; Colanzi, A.; Ayala, I.; Van Lint, J.; Malhotra, V. Protein kinase d regulates the fission of cell surface destined transport carriers from the trans-golgi network. Cell 2001, 104, 409–420. [Google Scholar] [CrossRef]
- Baron, C.L.; Malhotra, V. Role of diacylglycerol in pkd recruitment to the tgn and protein transport to the plasma membrane. Science 2002, 295, 325–328. [Google Scholar] [CrossRef]
- Nagashima, S.; Tabara, L.C.; Tilokani, L.; Paupe, V.; Anand, H.; Pogson, J.H.; Prudent, J. Golgi-derived pi(4)p-containing vesicles drive late steps of mitochondrial division. Science 2020, 367, 1366–1371. [Google Scholar] [CrossRef]
- Schaaf, G.; Ortlund, E.A.; Tyeryar, K.R.; Mousley, C.J.; Ile, K.E.; Garrett, T.A.; Bankaitis, V.A. Functional anatomy of phospholipid binding and regulation of phosphoinositide homeostasis by proteins of the Sec14 superfamily. Mol. Cell 2008, 29, 191–206. [Google Scholar] [CrossRef]
- Grabon, A.; Khan, D.; Bankaitis, V.A. Phosphatidylinositol transfer proteins and instructive regulation of lipid kinase biology. Biochim. Biophys. Acta 2015, 1851, 724–735. [Google Scholar] [CrossRef]
- Huang, J.; Ghosh, R.; Tripathi, A.; Lonnfors, M.; Somerharju, P.; Bankaitis, V.A. Two-ligand priming mechanism for potentiated phosphoinositide synthesis is an evolutionarily conserved feature of sec14-like phosphatidylinositol and phosphatidylcholine exchange proteins. Mol. Biol. Cell 2016, 27, 2317–2330. [Google Scholar] [CrossRef]
- Grabon, A.; Bankaitis, V.A.; McDermott, M.I. The interface between phosphatidylinositol transfer protein function and phosphoinositide signaling in higher eukaryotes. J. Lipid Res. 2019, 60, 242–268. [Google Scholar] [CrossRef]
- Nile, A.H.; Tripathi, A.; Yuan, P.; Mousley, C.J.; Suresh, S.; Wallace, I.M.; Bankaitis, V.A. Pitps as targets for selectively interfering with phosphoinositide signaling in cells. Nat. Chem. Biol. 2014, 10, 76–84. [Google Scholar] [CrossRef]
- Khan, D.; McGrath, K.R.; Dorosheva, O.; Bankaitis, V.A.; Tripathi, A. Structural elements that govern Sec14-like PITP sensitivities to potent small molecule inhibitors. J. Lipid Res. 2016, 57, 650–662. [Google Scholar] [CrossRef]
- Djordjevic, J.T.; Lev, S. Fungal secretion: The next-gen target of antifungal agents? Cell Chem. Biol. 2018, 25, 233–235. [Google Scholar] [CrossRef]
- Pries, V.; Nocker, C.; Khan, D.; Johnen, P.; Hong, Z.; Tripathi, A.; Hoepfner, D. Target identification and mechanism of action of picolinamide and benzamide chemotypes with antifungal properties. Cell Chem. Biol. 2018, 25, 279–290.e7. [Google Scholar] [CrossRef]
- Bankaitis, V.A.; Malehorn, D.E.; Emr, S.D.; Greene, R. The Saccharomyces cerevisiae sec14 gene encodes a cytosolic factor that is required for transport of secretory proteins from the yeast golgi complex. J. Cell Biol. 1989, 108, 1271–1281. [Google Scholar] [CrossRef]
- Bankaitis, V.A.; Aitken, J.R.; Cleves, A.E.; Dowhan, W. An essential role for a phospholipid transfer protein in yeast golgi function. Nature 1990, 347, 561–562. [Google Scholar] [CrossRef]
- Skinner, H.B.; Alb, J.G., Jr.; Whitters, E.A.; Helmkamp, G.M., Jr.; Bankaitis, V.A. Phospholipid transfer activity is relevant to but not sufficient for the essential function of the yeast Sec14 gene product. EMBO J. 1993, 12, 4775–4784. [Google Scholar] [CrossRef]
- Xie, Z.; Hur, S.K.; Zhao, L.; Abrams, C.S.; Bankaitis, V.A. A golgi lipid signaling pathway controls apical golgi distribution and cell polarity during neurogenesis. Dev. Cell 2018, 44, 725–740.e4. [Google Scholar] [CrossRef]
- Ile, K.E.; Schaaf, G.; Bankaitis, V.A. Phosphatidylinositol transfer proteins and cellular nanoreactors for lipid signaling. Nat. Chem. Biol. 2006, 2, 576–583. [Google Scholar] [CrossRef]
- Grabon, A.; Orlowski, A.; Tripathi, A.; Vuorio, J.; Javanainen, M.; Rog, T.; Bankaitis, V.A. Dynamics and energetics of the mammalian phosphatidylinositol transfer protein phospholipid exchange cycle. J. Biol. Chem. 2017, 292, 14438–14455. [Google Scholar] [CrossRef] [PubMed]
- Sha, B.; Phillips, S.E.; Bankaitis, V.A.; Luo, M. Crystallization and preliminary X-ray diffraction studies of the Saccharomyces cerevisiae phospholipid-transfer protein sec14p. Acta Crystallogr. D Biol. Crystallogr. 1997, 53, 784–786. [Google Scholar] [CrossRef] [PubMed]
- Ryan, M.M.; Temple, B.R.; Phillips, S.E.; Bankaitis, V.A. Conformational dynamics of the major yeast phosphatidylinositol transfer protein Sec14p: Insight into the mechanisms of phospholipid exchange and diseases of Sec14p-like protein deficiencies. Mol. Biol. Cell 2007, 18, 1928–1942. [Google Scholar] [CrossRef] [PubMed]
- Nile, A.H.; Bankaitis, V.A.; Grabon, A. Mammalian diseases of phosphatidylinositol transfer proteins and their homologs. Clin. Lipidol. 2010, 5, 867–897. [Google Scholar] [CrossRef] [PubMed][Green Version]
- Li, X.; Routt, S.M.; Xie, Z.; Cui, X.; Fang, M.; Kearns, M.A.; Bankaitis, V.A. Identification of a novel family of nonclassic yeast phosphatidylinositol transfer proteins whose function modulates phospholipase d activity and sec14p-independent cell growth. Mol. Biol. Cell 2000, 11, 1989–2005. [Google Scholar] [CrossRef] [PubMed]
- Ren, J.; Pei-Chen Lin, C.; Pathak, M.C.; Temple, B.R.; Nile, A.H.; Mousley, C.J.; Bankaitis, V.A. A phosphatidylinositol transfer protein integrates phosphoinositide signaling with lipid droplet metabolism to regulate a developmental program of nutrient stress-induced membrane biogenesis. Mol. Biol. Cell 2014, 25, 712–727. [Google Scholar] [CrossRef] [PubMed]
- Wang, Y.; Yuan, P.; Grabon, A.; Tripathi, A.; Lee, D.; Rodriguez, M.; Lönnfors, M.; Eisenberg-Bord, M.; Wang, Z.; Lam, S.M.; et al. Noncanonical regulation of phosphatidylserine metabolism by a Sec14-like protein and a lipid kinase. J. Cell Biol. 2020, 219, e201907128. [Google Scholar] [CrossRef]
- Khan, D.; Lee, D.; Gulten, G.; Aggarwal, A.; Wofford, J.; Krieger, I.; Tripathi, A.; Patrick, J.W.; Eckert, D.M.; Laganowsky, A.; et al. A Sec14-like phosphatidylinositol transfer protein paralog defines a novel class of heme-binding proteins. eLife 2020, 9. [Google Scholar] [CrossRef]
- Tripathi, A.; Martinez, E.; Obaidullah, A.J.; Lete, M.G.; Lönnfors, M.; Khan, D.; Soni, K.G.; Mousley, C.J.; Kellogg, G.E.; Bankaitis, V.A. Functional diversification of the chemical landscapes of yeast Sec14-like phosphatidylinositol transfer protein lipid-binding cavities. J. Biol. Chem. 2019, 294, 19081–19098. [Google Scholar] [CrossRef]
- Cleves, A.E.; McGee, T.P.; Whitters, E.A.; Champlon, K.M.; Altken, J.R.; Dowhan, W.; Goebl, M.; Bankaitis, V.A. Mutations in the cdp-choline pathway for phospholipid biosynthesis bypass the requirement for an essential phospholipid transfer protein. Cell 1991, 64, 789–800. [Google Scholar] [CrossRef]
- Mousley, C.J.; Yuan, P.; Gaur, N.A.; Trettin, K.D.; Nile, A.H.; Deminoff, S.J.; Bankaitis, V.A. A sterol-binding protein integrates endosomal lipid metabolism with tor signaling and nitrogen sensing. Cell 2012, 148, 702–715. [Google Scholar] [CrossRef]
- Novick, P.; Ferro, S.; Schekman, R. Order of events in the yeast secretory pathway. Cell 1981, 25, 461–469. [Google Scholar] [CrossRef]
- Huang, J.; Mousley, C.J.; Dacquay, L.; Maitra, N.; Drin, G.; He, C.; Bankaitis, V.A. A lipid transfer protein signaling axis exerts dual control of cell-cycle and membrane trafficking systems. Dev. Cell 2018, 44, 378–391.e5. [Google Scholar] [CrossRef]
- Lopez, M.C.; Nicaud, J.M.; Skinner, H.B.; Vergnolle, C.; Kader, J.C.; Bankaitis, V.A.; Gaillardin, C. A phosphatidylinositol/phosphatidylcholine transfer protein is required for differentiation of the dimorphic yeast yarrowia lipolytica from the yeast to the mycelial form. J. Cell Biol. 1994, 125, 113–127. [Google Scholar] [CrossRef]
- Monteoliva, L.; Sanchez, M.; Pla, J.; Gil, C.; Nombela, C. Cloning of Candida albicans Sec14 gene homologue coding for a putative essential function. Yeast 1996, 12, 1097–1105. [Google Scholar] [CrossRef]
- Riggle, P.J.; Slobodkin, I.V.; Brown, D.H., Jr.; Hanson, M.P.; Volkert, T.L.; Kumamoto, C.A. Two transcripts, differing at their 3′ ends, are produced from the Candida albicans sec14 gene. Microbiology 1997, 143, 3527–3535. [Google Scholar] [CrossRef]
- Chayakulkeeree, M.; Johnston, S.A.; Oei, J.B.; Lev, S.; Williamson, P.R.; Wilson, C.F.; Djordjevic, J.T. Sec14 is a specific requirement for secretion of phospholipase b1 and pathogenicity of Cryptococcus neoformans. Mol. Microbiol. 2011, 80, 1088–1101. [Google Scholar] [CrossRef]
- Klein, B.S.; Tebbets, B. Dimorphism and virulence in fungi. Curr. Opin. Microbiol. 2007, 10, 314–319. [Google Scholar] [CrossRef]
- Charlier, C.; Dromer, F.; Leveque, C.; Chartier, L.; Cordoliani, Y.S.; Fontanet, A.; French Cryptococcosis Study Group. Cryptococcal neuroradiological lesions correlate with severity during cryptococcal meningoencephalitis in hiv-positive patients in the HAART era. PLoS ONE 2008, 3, 1950. [Google Scholar] [CrossRef]
- Vu, K.; Tham, R.; Uhrig, J.P.; Thompson, G.R., 3rd; Na Pombejra, S.; Jamklang, M.; Bautos, J.M.; Gelli, A. Invasion of the central nervous system by Cryptococcus neoformans requires a secreted fungal metalloprotease. mBio 2014, 5, e01101-14. [Google Scholar] [CrossRef]
- Djordjevic, J.T. Role of Phospholipases in Fungal Fitness, Pathogenicity, and Drug Development—Lessons from Cryptococcus Neoformans. Front. Microbiol. 2010, 1, 125. [Google Scholar] [CrossRef] [PubMed]
- Burke, J.E. Structural Basis for Regulation of Phosphoinositide Kinases and Their Involvement in Human Disease. Mol. Cell 2018, 71, 653–673. [Google Scholar] [CrossRef] [PubMed]
- Knight, Z.A.; Shokat, K.M. Features of Selective Kinase Inhibitors. Chem. Biol. 2005, 12, 621–637. [Google Scholar] [CrossRef] [PubMed]
- Hoon, S.; Smith, A.M.; Wallace, I.M.; Suresh, S.; Miranda, M.; Fung, E.; Nislow, C. An integrated platform of genomic assays reveals small-molecule bioactivities. Nat. Chem. Biol. 2008, 4, 498–506. [Google Scholar] [CrossRef]
- Lee, A.Y.; St Onge, R.P.; Proctor, M.J.; Wallace, I.M.; Nile, A.H.; Spagnuolo, P.A.; Giaever, G. Mapping the cellular response to small molecules using chemogenomic fitness signatures. Science 2014, 344, 208–211. [Google Scholar] [CrossRef]
- Gao, L.-J.; Van Cauwenberge, G.; Hosten, N.; Van Haver, D.; Waelbroeck, M.; Clercq, P.J.D. Synthesis and binding affinity studies of muscarinic receptor antagonists related to dehydrohimbacine. ARKIVOC 2003, 2003, 22–45. [Google Scholar] [CrossRef]
- De Souza, E.W.; de Moraes Borba, C.; Pereira, S.A.; Gremião, I.D.F.; Langohr, I.M.; Oliveira, M.M.E.; de Oliveira, R.d.V.C.; da Cunha, C.R.; Zancopé-Oliveira, R.M.; de Miranda, L.H.M.; et al. Clinical features, fungal load, coinfections, histological skin changes, and itraconazole treatment response of cats with sporotrichosis caused by Sporothrix brasiliensis. Sci. Rep. 2018, 8, 9074. [Google Scholar] [CrossRef]
- Alkeswani, A.; Duncan, J.R.; Theos, A. Tinea faciei starting at day two of life. Pediatr. Dermatol. 2019, 36, e20–e22. [Google Scholar] [CrossRef]
- Neu, J. Probiotics and necrotizing enterocolitis. Clin. Perinatol. 2014, 41, 967–978. [Google Scholar] [CrossRef][Green Version]
- Lemoine, F.; Correia, D.; Lefort, V.; Doppelt-Azeroual, O.; Mareuil, F.; Cohen-Boulakia, S.; Gascuel, O. NGPhylogeny.fr: New generation phylogenetic services for non-specialists. Nucleic Acids Res. 2019, 47, W260–W265. [Google Scholar] [CrossRef]
- Letunic, I.; Bork, P. Interactive tree of life (iTOL) v4: Recent updates and new developments. Nucleic Acids Res. 2019, 47, 256–259. [Google Scholar] [CrossRef]
- Roy, K.R.; Smith, J.D.; Vonesch, S.C.; Lin, G.; Tu, C.S.; Lederer, A.R.; Steinmetz, L.M. Multiplexed precision genome editing with trackable genomic barcodes in yeast. Nat. Biotechnol. 2018, 36, 512–520. [Google Scholar] [CrossRef]
- Zhang, F.; Zhao, M.; Braun, D.R.; Ericksen, S.S.; Piotrowski, J.S.; Nelson, J.; Peng, J.; Ananiev, G.E.; Chanana, S.; Barns, K.; et al. A marine microbiome antifungal targets urgent-threat drug-resistant fungi. Science 2020, 370, 974–978. [Google Scholar] [CrossRef]
- Zhao, M.; Zhang, F.; Zarnowski, R.; Barns, K.J.; Jones, R.; Fossen, J.L.; Sanchez, H.; Rajski, S.R.; Audhya, A.; Bugni, T.S.; et al. Turbinmicin inhibits Candida biofilm growth by disrupting fungal vesicle-mediated trafficking. J. Clin. Investig. 2020. [Google Scholar] [CrossRef]
- Cleves, A.E.; Novick, P.J.; Bankaitis, V.A. Mutations in the sac1 gene suppress defects in yeast golgi and yeast actin function. J. Cell Biol. 1989, 109, 2939–2950. [Google Scholar] [CrossRef]
- Whitters, E.A.; Cleves, A.E.; McGee, T.P.; Skinner, H.B.; Bankaitis, V.A. Sac1p is an integral membrane protein that influences the cellular requirement for phospholipid transfer protein function and inositol in yeast. J. Cell Biol. 1993, 122, 79–94. [Google Scholar] [CrossRef]
- Fang, M.; Kearns, B.G.; Gedvilaite, A.; Kagiwada, S.; Kearns, M.; Fung, M.K.; Bankaitis, V.A. Kes1p shares homology with human oxysterol binding protein and participates in a novel regulatory pathway for yeast Golgi-derived transport vesicle biogenesis. EMBO J. 1996, 15, 6447–6459. [Google Scholar] [CrossRef]
- Li, X.; Rivas, M.P.; Fang, M.; Marchena, J.; Mehrotra, B.; Chaudhary, A.; Bankaitis, V.A. Analysis of oxysterol binding protein homologue kes1p function in regulation of sec14p-dependent protein transport from the yeast golgi complex. J. Cell Biol. 2002, 157, 63–77. [Google Scholar] [CrossRef]
- De Saint-Jean, M.; Delfosse, V.; Douguet, D.; Chicanne, G.; Payrastre, B.; Bourguet, W.; Antonny, B.; Drin, G. Osh4p exchanges sterols for phosphatidylinositol 4-phosphate between lipid bilayers. J. Cell Biol. 2011, 195, 965–978. [Google Scholar] [CrossRef]
- Nishikawa, J.L.; Boeszoermenyi, A.; Vale-Silva, L.A.; Torelli, R.; Posteraro, B.; Sohn, Y.J.; Arthanari, H. Inhibiting fungal multidrug resistance by disrupting an activator-mediator interaction. Nature 2016, 530, 485–489. [Google Scholar] [CrossRef]











Publisher’s Note: MDPI stays neutral with regard to jurisdictional claims in published maps and institutional affiliations. |
© 2021 by the authors. Licensee MDPI, Basel, Switzerland. This article is an open access article distributed under the terms and conditions of the Creative Commons Attribution (CC BY) license (https://creativecommons.org/licenses/by/4.0/).
Share and Cite
Khan, D.; Nile, A.H.; Tripathi, A.; Bankaitis, V.A. Emerging Prospects for Combating Fungal Infections by Targeting Phosphatidylinositol Transfer Proteins. Int. J. Mol. Sci. 2021, 22, 6754. https://doi.org/10.3390/ijms22136754
Khan D, Nile AH, Tripathi A, Bankaitis VA. Emerging Prospects for Combating Fungal Infections by Targeting Phosphatidylinositol Transfer Proteins. International Journal of Molecular Sciences. 2021; 22(13):6754. https://doi.org/10.3390/ijms22136754
Chicago/Turabian StyleKhan, Danish, Aaron H. Nile, Ashutosh Tripathi, and Vytas A. Bankaitis. 2021. "Emerging Prospects for Combating Fungal Infections by Targeting Phosphatidylinositol Transfer Proteins" International Journal of Molecular Sciences 22, no. 13: 6754. https://doi.org/10.3390/ijms22136754
APA StyleKhan, D., Nile, A. H., Tripathi, A., & Bankaitis, V. A. (2021). Emerging Prospects for Combating Fungal Infections by Targeting Phosphatidylinositol Transfer Proteins. International Journal of Molecular Sciences, 22(13), 6754. https://doi.org/10.3390/ijms22136754

