Abstract
Following the concept of conformationally restriction of ligands to achieve high receptor affinity, we exploited the propellane system as rigid scaffold allowing the stereodefined attachment of various substituents. Three types of ligands were designed, synthesized and pharmacologically evaluated as σ1 receptor ligands. Propellanes with (1) a 2-methoxy-5-methylphenylcarbamate group at the “left” five-membered ring and various amino groups on the “right” side; (2) benzylamino or analogous amino moieties on the “right” side and various substituents at the left five-membered ring and (3) various urea derivatives at one five-membered ring were investigated. The benzylamino substituted carbamate syn,syn-4a showed the highest σ1 affinity within the group of four stereoisomers emphasizing the importance of the stereochemistry. The cyclohexylmethylamine 18 without further substituents at the propellane scaffold revealed unexpectedly high σ1 affinity (Ki = 34 nM) confirming the relevance of the bioisosteric replacement of the benzylamino moiety by the cyclohexylmethylamino moiety. Reduction of the distance between the basic amino moiety and the “left” hydrophobic region by incorporation of the amino moiety into the propellane scaffold resulted in azapropellanes with particular high σ1 affinity. As shown for the propellanamine 18, removal of the carbamate moiety increased the σ1 affinity of 9a (Ki = 17 nM) considerably. Replacement of the basic amino moiety by H-bond forming urea did not lead to potent σ ligands. According to molecular dynamics simulations, both azapropellanes anti-5 and 9a as well as propellane 18 adopt binding poses at the σ1 receptor, which result in energetic values correlating well with their different σ1 affinities. The affinity of the ligands is enthalpy driven. The additional interactions of the carbamate moiety of anti-5 with the σ1 receptor protein cannot compensate the suboptimal orientations of the rigid propellane and its N-benzyl moiety within the σ1 receptor-binding pocket, which explains the higher σ1 affinity of the unsubstituted azapropellane 9a.
1. Introduction
In 1976, Martin and coworkers [1] postulated σ receptors as the third type of opioid receptors. The name σ receptor was derived from the benzomorphan SKF-10,047, which caused a unique pharmacological profile in animal studies. Twenty years later, the σ1 receptor was cloned from different tissues of different speces [2,3,4,5,6]. Subsequently, several models of the structure of the σ1 receptor were reported, until it was crystallized in 2016, confirming its unique structure [7,8]. The identification of the σ2 receptor took an even longer time. In 2017, the identity of the σ2 receptor and the endoplasmic reticulum (ER)-resident transmembrane protein 97 (TMEM97) was shown [9,10]. Very recently, the first structure of the human σ2 receptor was reported. [11]
The σ1 receptor is involved in various neuropsychiatric disorders, such as schizophrenia and depression [12,13,14,15,16]. Several clinically used antidepressants show medium to high σ1 receptor affinity in addition to their main mechanism of action [17,18,19,20]. σ1 receptors also play a role in drug/alcohol dependence and neurodegenerative disorders (e.g., Alzheimer’s disease) [21,22,23]. The σ1 receptor antagonist S1RA has been successfully tested in phase II clinical studies for the treatment of neuropathic pain [24,25]. Since the exact signal transduction path of σ1 receptors is not fully understood so far, analgesic activity in neuropathic pain mouse models is the best method to discriminate σ1 receptor antagonists from agonists [26,27]. Several human tumors, including prostate, breast and bladder tumors, express a high density of σ1 receptors. Strong metastasis and poor prognosis were associated with high expression levels of σ1 receptors. Antagonists at σ1 receptors were able to reduce tumor cell proliferation [28,29]. Several human tumor cells derived from various tissues (e.g., prostate, breast, colon and lung) overexpress σ2 receptors. Agonists at the σ2 receptor are capable of killing tumor cells via apoptotic and non-apoptotic machanisms [30,31,32,33,34].
The structures of σ1 and σ2 receptor ligands are quite diverse. Some prototypical σ ligands containing highly flexible structural elements are displayed in Figure 1. Binding of flexible ligands to a biological target is associated with an entropic penalty, since the binding site of the target forces the flexible ligand into a particular conformation leading to loss of conformational freedom of the ligand.
Figure 1.
Some prototypical σ ligands containing flexible structural elements.
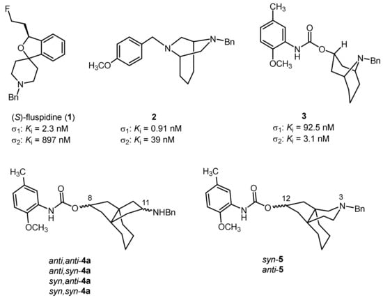
We are interested in rather rigid ligands with a defined three-dimensional structure fitting exactly into the binding pocket of the target protein. In this respect, we reported on spiro- and bicyclic ligands with high affinity and selectivity for σ1 receptors. As an example, the spirocyclic piperidine derivative (S)-fluspidine (1) is depicted in Figure 2 [35,36,37,38]. (S)-Fluspidine (1) interacts with low nanomolar affinity with σ1 receptors and shows 300-fold selectivity against the σ2 subtype. The 18-F-labeled analog [18F]1 is currently investigated as the PET tracer for imaging of σ1 receptors in the brain of patients suffering from major depression [39]. The piperazine derivative 2 rigidified by a propano bridge exhibits even higher σ1 affinity than 1 and more than 40-fold selectivity over the σ2 receptor [40]. On the other hand, the rigid granatane derivative 3 reported by Mach and coworkers [41] represents a ligand with a 30-fold preference for the σ2 receptor. (Figure 2)
Figure 2.
σ Ligands with conformationally restricted spirocyclic (1), bicyclic (2,3) and propellane (4, 5) scaffold.
Inspired by these conformationally restricted spiro- and bicyclic σ ligands 1–3 we introduced the propellane as novel rigid scaffold to achieve high σ1 and/or σ2 receptor affinity. With Ki values of 77 nM and 82 nM the [4.3.3]propellane syn,syn-4a [42] and the 3-aza[4.4.3]propellane anti-5 [43] represent promising σ1 receptor ligands. (Figure 2)
Herein, we started further exploiting the propellane system as rigid scaffold to attach various functional groups and substituents, designed to address σ1 and/or σ2 receptors. (Figure 3) Due to the rigid structure of the propellane scaffold, all substituents adopt an exact orientation. The manuscript contains three parts. In the first part (compounds of type A), the carbamate at the “left” part of the propellane system was kept constant and the substituent at the second cyclopentane ring was modified (compare substituents of granatane 3). The second part deals predominantly with propellanes of type B containing an arylmethylamino moiety (and analogous amino groups) at the “right” side of the propellane system and variations of the “left” side. The third part investigated, whether the amino moiety on the “right” side could be replaced bioisosterically by a urea moiety as shown for compounds of type C. The urea is not basic, but represents a strong H-bond donor and acceptor.
Figure 3.
Designed σ receptor ligands of type A–C. In types A and B, the basic amino moiety is either attached at the cyclopentane ring (m = 1) or incorporated into a ring expanded piperdiene ring (n = 2).
2. Chemistry
The synthesis of the carbamates 4 started with the mixture of the diastereomeric hydroxyketones anti-6 and syn-6 [42], which was reacted with 2-methoxy-5-methylphenyl isocyanate in the presence of,Bu2Sn(OAc)2. The carbamates anti-7 and syn-7 were isolated in 36% and 31% yield, respectively. (Scheme 1) The X-ray crystal structure of syn-7 confirmed the successful formation of the carbamate and its syn-configuration at 8-position (Figure 4). Moreover, the very long conjoining C–C bond, which belongs to all three rings of the propellane, was confirmed by the crystal structure (C1–C6 = 1.562(2) Å). Final reductive amination of the ketones anti-7 and syn-7 with primary amines and NaBH(OAc)3 [44] provided the amines 8-anti-4 and 8-syn-4. Both type of compounds were obtained as mixture of diastereomers. The ratio of diastereomers was approximately 1:1, respectively.
Scheme 1.
Synthesis of amino substituted carbamates anti-4 and syn-4. Reagents and reaction conditions: (a) 2-Methoxy-5-methylphenyl isocyanate, Bu2Sn(OAc)2, THF, rt, 48 h, 36% (anti-7), 31% (syn-7). (b) RNH2, NaBH(OAc)3, HOAc, ClCH2CH2Cl, rt, 72 h, 41–93% (exceptions 8-anti-4s (33%)]. 8-anti-4t (21%)). (c) NH4+ HCO2-, Pd(OH)2, CH3OH, EtOAc, 68%. (d) (Me2N)C6H4CH=O, NaBH(OAc)3, ClCH2CH2Cl, rt, 20 h, 50%. DMABn = (4-dimethylamino)benzyl. The residues R are defined in Table 1.
Figure 4.
X-ray crystal structure of carbamate syn-7. Thermal ellipsoids are set at 15% probability. Length of selected bonds: conjoining bond C1–C6 = 1.562(2) Å; C1–C2 = 1.529(2) Å; C1–C7 = 1.528(2) Å; C1–C10 = 1.538(2) Å. CCDC number: 2073466.
The affinity of this first set of propellanylcarbamates 4 and 5 towards σ1 and σ2 receptors was determined in receptor binding studies. In these experiments, the test compounds compete with a radioligand for a limited amount of receptors. The tritium-labeled radioligands [3H]-(+)-pentazocine and [3H]-di-o-tolylguanidine were used in the σ1 and σ2 assay, respectively [45,46,47]. The affinity data of the propellanylcarbamates are summarized in Table 1.
Table 1.
Affinities of propellanylcarbamates 4 and 5 towards σ1 and σ2 receptors.
The group of diastereomeric benzylamines 4a show nicely the relationship between the stereochemistry and the σ1 and σ2 receptor affinity. Whereas the 8-anti-derivatives anti,anti-4a and anti,syn-4a exhibit very low σ1 affinity, the 8-syn-derivatives are much more potent and syn,syn-4a shows the highest σ1 affinity within the four diastereomeres (Ki = 77 nM). Although the granatane derivative 3 reveals high σ2 affinity the diastereomeric propellane derivatives 4a with the same substitution pattern did not interact with σ2 receptors up to a concentration of 1 µM [42].
Introduction of various substituents (OCH3, Cl, CH3, CF3, NO2, and NMe2) at various positions of the benzyl moiety (8-anti-1b-1h) did not lead to remarkable σ1 or σ2 affinity. The furan-2-yl and indol-3-yl derivatives 8-anti-4i and 8-anti-4k show σ1 affinity in the range of Ki = 1 µM. The corresponding 8-syn-derivatives 8-syn-4i and 8-syn-4k reveal higher σ1 affinity than their 8-anti-analogs. The highest σ1 affinity of propellanes bearing a hetarylmethyl moiety was found for the furan-2-yl derivative 8-syn-4i (Ki = 276 nM).
Removal or extension of the benzyl-CH2 moiety provided (substituted) aniline 8-anti-4l -4o or homologous phenylethylamine and phenylpropylamine derivatives 8-anti-4p and 8-anti-4q. However, neither removal nor extension of the benzyl-CH2 moiety led to considerable σ1 or σ2 affinity. Only the phenylethylamine derivative 8-anti-4p shows σ1 affinity in the high nanomolar range (Ki = 668 nM).
With exception of the 5-hydroxypentyl derivative 8-anti-4t (Ki(σ1) = 454 nM), propellane derivatives with a substituted alkylamino moiety in 11-position (8-anti-4r-4u) show only negligible affinity towards both σ receptor subtypes.
Introduction of the basic amino moiety into the propellane scaffold led to a reduced distance between the basic amino moiety and the carbamate group of the aza-propellanes 5. The aza-propellane anti-5 displays σ1 affinity, which is comparable with the σ1 affinity of syn,syn-4a.43 It has to be noted that the stereodescriptors change due to a change of the hierarchy of the three rings by expansion of one cyclopentane moiety into a piperidine ring. Thus, the three-dimensional structure of syn,syn-4a corresponds to that of anti-5, which explains the similar σ1 affinity (Ki = 77 nM and 82 nM) [43].
In the second part of the manuscript, the focus lies on propellanes containing arylmethylamino moieties on the “right” side and various substituents on the “left” side. Although the synthesis of benzylamine 8 (Figure 5) has already been reported in literature [48], its affinity towards σ receptors is missing. The 3-azapropellanes 9 (Figure 5) show promising σ1 affinity, which depends on the substitution pattern and the configuration.43 Therefore, we decided to investigate the σ receptor affinity of the benzylamine 8 and modify the substituents in the 11-position.
Figure 5.
Propellan-8-amine 8 [48] and 3-azapropellanes 9 [43] served as lead compounds.
At first, the ketones 10–12 were reductively aminated with benzylamine and NaBH(OAc)344 to yield the benzylamines 8, 13 and 14. The pure diastereomeric alcohols anti-11 and syn-11 were converted separately into the benzylamines 11-anti-13 and 11-syn-13, respectively, which were not further separated. Whereas the syn- and anti-configured benzylamines 8 were also not separated, the diastereomeric 1,3-dioxolanes 14 were separated by flash chromatography to obtain diastereomerically pure 8-anti-14 and 8-syn-14. (Scheme 2).
Scheme 2.
Synthesis of propellanamines 8 and 13–18. Reagents and reaction conditions: (a) PhCH2NH2 (BnNH2), NaBH(OAc)3, HOAc, ClCH2CH2Cl, rt, 3–8 d, 61–99%; the diastereomeric benzylamines 8-anti-14 and 8-syn-14 were separated by fc; 30% (8-anti-14, 28% (8-syn-14). (b) Tryptamine, NaBH(OAc)3, HOAc, ClCH2CH2Cl, rt, 5 d, rt, 33%. (c) NH4+ HCO2-, Pd(OH)2, CH3OH, 65 °C, 3 h, 75%. (d) (Me2N)C6H4CH=O or cyclohexanecarbaldehyde, NaBH(OAc)3, ClCH2CH2Cl, rt, 72 h 98% (17) or 12 h, 91% (18).
Furthermore, the unsubstituted ketone 10 was reductively aminated with tryptamine to yield the indolylethylamine 15. The mixture of diastereomeric benzylamines anti-8 and syn-8 was treated with ammonium formate and Pd(OH)2 removing reductively the benzyl moiety. Upon treatment with aldehydes and NaBH(OAc)3 [44], the resulting primary amine 16 was further transformed into the dimethylamino substituted benzylamine 17 and the cyclohexylmethylamine 18. (Scheme 2).
The σ1 affinity of the 3-azapropellane anti-9b with an OH moiety at 12-position is three-fold higher than the σ1 affinity of its syn-diastereomer syn-9b. (Table 2) However, the low nanomolar σ1 affinity of the unsubstituted 3-azapropellane 9a (Ki = 17 nM) was unexpected.42,43,48 Compared to the naked azapropellane 9a, the σ1 affinity of the naked propellanamine 8 is 35-fold reduced. The 3-azapropellanes 9a and anti-9b and the naked propellanamine 8 show at least 10-fold selectivity for the σ1 receptor over the σ2 receptor. The least potent σ1 ligand syn-9b has only a slight preference for the σ1 receptor over the σ2 subtype (Table 2).
Table 2.
Affinities of substituted propellanamines 8 and 13–18 and azapropellanes 9 towards σ1 and σ2 receptors.
Modifications of the 11-substituent and the N-substituent led to propellanamines 13–17 with very low σ1 and σ2 affinity. However, the cyclohexylmethyl moiety increased the σ1 and the σ2 affinity remarkably. With Ki values of 24 nM (σ1 affinity) and 101 nM (σ2 affinity), 18 represents the most potent σ ligand of this series of compounds. The increase of both σ1 and σ2 affinities by introduction of the cyclohexylmethyl moiety instead of the benzyl moiety has already been observed for some other classes of σ ligands [49,50].
In the third part of this project, the amino moiety on the “right” side was replaced by a urea to investigate, whether this H-bond donor and H-bond acceptor group could mimic the basic amino moiety. For this purpose, the propellane-8,11-dione 19 was reductively aminated with benzylamine. The resulting secondary amines syn-20 and anti-20 were separated by flash column chromatography and subsequently reacted with 2-methoxy-5-methylphenyl isocyanate to obtain the urea derivatives syn-21 and anti-21, respectively. Final reduction of the ketones syn-21 and anti-21 with NaBH4 provided the four diastereomeric N-benzylurea derivatives syn,anti-22, syn,syn-22, anti,anti-22 and anti,syn-22 bearing a secondary alcohol in 11-position (Scheme 3).
Scheme 3.
Synthesis of N-benzylurea derivatives 21 and 22. Reagents and reaction conditions: (a) C6H5CH2NH2 (BnNH2), NaBH(OAc)3, HOAc, ClCH2CH2Cl, rt, 96 h, 16% (syn-20), 9% (anti-20). (b) 2-Methoxy-5-methylphenyl isocyanate, Bu2Sn(OAc)2, THF, rt, 18 h, 70% (syn-21), 82% (anti-21). (c) NaBH4, CH3OH, THF, rt, 30 min, 43% (syn,anti-22), (syn,syn-22), 33% (anti,anti-22) and 38% (anti,syn-22).
The N-benzylurea derivatives anti-21, syn,anti-22 and anti,syn-22 were crystallized from EtOAc, leading to crystals suitable for X-ray crystal structure analysis. (Figure 6, Figure 7 and Figure 8).
Figure 6.
X-ray crystal structure of N-benzylurea anti-21. Thermal ellipsoids are set at 15% probability. Length of selected bonds: conjoining bond C1–C6 = 1.550(3) Å; C1–C2 = 1.523(4) Å; C1–C9 = 1.530(3) Å; C1–C12 = 1.548(4) Å. CCDC number: 2073467.
Figure 7.
X-ray crystal structure of N-benzyl urea syn,anti-22. Thermal ellipsoids are set at 15% probability. Selected bond lengths: C1–C6 = 1.559(2) Å; C1–C2 = 1.535(2) Å; C1–C9 = 1.529(2) Å; C1–C12 = 1.552(2) Å. CCDC number: 2073468.
Figure 8.
X-ray crystal structure of N-benzyl urea anti,syn-22. Thermal ellipsoids are set at 15% probability. Selected bond lengths: C1–C6 = 1.590(2) Å; C1–C2 = 1.535(3) Å; C1–C9 = 1.538(2) Å; C1–C12 = 1.544(2) Å. CCDC number: 2073469.
The crystal structure of anti-21 nicely confirms the anticonfiguration of the urea at the propellane system. The conjoining bond C1–C6 is rather long (1.550(3) Å). The cyclohexane ring adopts a chair conformation and the cyclopentane ring bearing the urea adopts an envelope conformation, which leads to an outward orientation of the large urea (Figure 6).
The X-ray crystal structures of the diastereomeric N-benzylurea derivatives syn,anti-22 and anti,syn-22 containing an additional OH moiety in 11-position are shown in Figure 7 and Figure 8. Both structures prove the syn,anti- and anti,syn-configuration, respectively. The six-membered ring of the propellane scaffold of syn,anti-22 adopts a chair conformation. However, in the diastereomer anti,syn-22 a boat-like conformation was found for the cyclohexane ring. This boat-like conformation leads to an extraordinarily long conjoining bond (C1–C6 = 1.590(2) Å). Both five-membered rings of urea derivative anti,syn-22 adopt unusual envelope conformations and all three rings of the propellane scaffold flap in the same direction (Figure 8). This pattern was only reported for heterocyclic 8,11-dioxa[4.3.3]propellanes [51].
To obtain urea derivatives without the N-benzyl substituent, the primary amine 16 was reacted with various isocyanates. Since the primary amine 16 was employed as 1.1-mixture of anti- and syn-diastereomers, the urea derivatives 23a–d were obtained as 1:1-mixture of anti- and syn-diastereomers as well (Scheme 4).
Scheme 4.
Synthesis of propellane-based urea derivatives 23. Reagents and reaction conditions: (a) R-N=C=O, Bu2Sn(OAc)2, THF, rt, 24–48 h, 22–91%. Since a 1:1-mixture of diastereomeric primary amines 16 was used as starting material, 1:1-mixtures of urea 23 were obtained. The residues R are defined in Table 3.
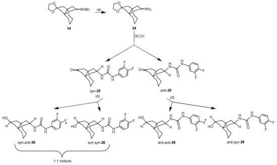
Finally, the dioxolane substituted benzylamine 14 (mixture of syn- and anti-diastereomers) was debenzylated by a transfer hydrogenolysis using NH4HCO2 in the presence of Pd(OH)2. The mixture of diastereomeric primary amines 24 was isolated in 75% yield and converted into urea upon treatment with 3,4-difluorophenyl isocyanate. After hydrolysis of the dioxolane, the diastereomeric difluorophenylurea derivatives syn-25 and anti-25 were isolated in 42% and 35% yield, respectively. Reduction of the ketones syn-25 and anti-25 with NaBH4 provided diastereomeric alcohols 26. Whereas the mixture of syn,anti-26 and syn,syn-26 was obtained as 1:1-mixture of diastereomers, anti,anti-26 and anti,syn-26 were separated by flash chromatography (Scheme 5).
Scheme 5.
Synthesis of diastereomeric difluorophenyl substituted urea derivatives. Reagents and reaction conditions: (a) NH4+ HCO2−, Pd(OH)2, CH3OH, 65 °C, 3 h, 75%. (b) 3,4-Difluorophenyl isocyanate, Bu2Sn(OAc)2, THF, rt, 48 h. (c) pTsOH.H2O, acetone, 60 °C, 2 h, 42%, (syn-25) and 35% (anti-25). (d) NaBH4, CH3OH, THF, rt, 30 min, 83% (1:1 mixture of (syn,anti-26) and (syn,syn-26); 27% (anti,anti-26) and 8% (anti,syn-26).
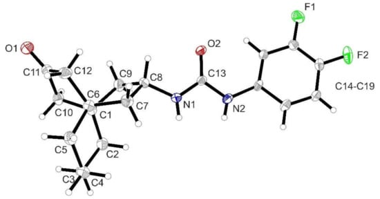
The syn-configuration of syn-25 was confirmed unequivocally by X-ray crystal structure analysis. In addition to the syn-configuration the chair conformation of the cyclohexane ring and the long conjoining bond C1–C6 = 1.546(3) Å was demonstrated (Figure 9).
Figure 9.
X-ray crystal structure of unsubstituted urea syn-25. Thermal ellipsoids are set at 15% probability. Selected bond lengths: C1–C6 = 1.546(3) Å; C1–C2 = 1.529(4) Å; C1–C9 = 1.548(4) Å; C1–C10 = 1.517(3) Å. CCDC number: 2073470. Only one molecule (molecule A) of three independent molecules found in the asymmetric unit is discussed.
The σ1 and σ2 affinities of the urea derivatives were determined in receptor binding studies. Unfortunately, the synthesized urea were not able to compete with the radioligands proving that the urea could not replace bioisosterically the basic amino moiety (Table 3).
Table 3.
Affinities of propellane-based urea derivatives 21–23, 25 and 26 towards σ1 and σ2 receptors.
3. Computational Studies
Within the class of propellanamines and azapropellanes some promising σ1 receptor ligands were identified. Therefore, molecular dynamics (MD) simulations were performed to shed light on their mechanism of binding. The starting structure for the σ1 receptor was obtained from the RCSB Protein Data Bank (PDB ID 5HK1) [7]. Following a consolidated computational protocol [49,52], the binding modes of compounds 9a (Figure 10A,C) and anti-5 (Figure 10B,D) were initially recognized. A MM/PBSA (molecular mechanics/Poisson–Boltzmann surface area) approach [53] provided the binding free energy (ΔG) of the complexes of both compounds with the σ1 receptor. The obtained energetic values are in good agreement with their different σ1 affinity. The following ΔG values were obtained: −10.02 kcal/mol for 9a (Ki(σ1) = 17 nM) and −8.87 kcal/mol for anti-5 (Ki(σ1) = 82 nM).
Figure 10.
Details of an equilibrated MD snapshot of 9a (A) and anti-5 (B) in the binding pocket of σ1 receptor. The compounds are shown as atom-colored sticks-and-balls (C, grey, N, blue and O, red) while the side chains of σ1 residues mainly interacting with the ligands are depicted as colored sticks and labeled. Hydrogen atoms, water molecules, ions, and counterions are omitted for clarity. 2D schematic representation of the general stabilizing interactions for σ1/9a (C) and σ1/anti-5 (D) complexes. (E) Per-residue binding free energy decomposition (ΔHres) of the main involved amino acids in σ1/9a (light sea green) and σ1/anti-5 (firebrick) complexes. (F) MD distance between the carboxyl oxygen atom (O2) of E172 and the NH group of the ligand detected for σ1/9a (light sea green) and σ1/anti-5 (firebrick) complexes. (G) MD distance between the OH group of Y103 and the carboxyl oxygen atom (O1) of E172 detected for σ1/9a (light sea green) and σ1/anti-5 (firebrick) complexes.
As expected, both σ1 ligands share the same thermodynamics pattern; their binding is enthalpy driven characterized by favorable van der Waals and electrostatic interactions. Specifically, our analysis resulted in an enthalpy contribution (ΔH) of −18.47 kcal/mol and −17.58 kcal/mol for 9a and anti-5, respectively. Instead, the entropic components (−TΔS) penalize the binding with the σ1 receptor with the corresponding values of 8.45 kcal/mol and 8.71 kcal/mol for 9a and anti-5, respectively.
Through the per-residue binding free energy deconvolution (PRBFED) of the enthalpic terms (ΔHres), the main amino acid residues of the σ1 receptor involved in ligand binding were identified. Basically, by elucidation of the specific ligand/protein interactions, the PRBFED analysis (Figure 10E) allowed to better understand the preference of the σ1 receptor for the smaller azapropellane 9a. Specifically, azapropellane 9a is provided with the basic chemical features of a prototypical σ1 receptor ligand: the rings of the propellane system can perform stabilizing hydrophobic and van der Waals interactions with the σ1 residues W89, F107, Y120 and W164 (ΔHres = −3.27 kcal/mol, Figure 10E) while the N-benzyl group is perfectly encased in an hydrophobic cavity underlying σ1 residues I124,V152, and H154 (ΔHres = −1.64 kcal/mol). However, the most peculiar interaction is definitively performed by its charged N-atom, involved in a permanent ionic interaction with the carboxylic group of E172 (ΔHres = −4.93 kcal/mol) with a detected average dynamics length (ADL) of 1.75 ± 0.12 Å (Figure 10A,F). Moreover, the optimal orientation of this interaction is guaranteed by a stable, internal hydrogen bond between the other O-atom of E172 and the OH moiety of Y103 (ADL = 1.73 ± 0.12 Å, Figure 10A,G). In the same series, the propellanamine derivative 18 exhibited a good σ1 affinity (Ki(σ1) = 34 nM). Our MD study confirmed a very similar binding mode and interaction spectra as observed for the azapropellane 9a (Figure S1, Supplementary Materials). Indeed, the charged secondary amine maintained the ionic interaction with E172 (ΔHres = −4.44 kcal/mol, Figure S1) and the cyclohexyl moiety of 18 is able to positively interact in the hydrophobic cavity with σ1 residues I124, V152 and H154 (ΔHres = −1.72 kcal/mol). Accordingly, the σ1/18 complex is provided with a favorable ΔG value of −9.78 kcal/mol.
Compared to 9a, the enthalpic contribution of anti-5 was almost 1 kcal/mol lower, although its 2-methoxy-5-methylphenyl carbamate moiety could provide additional interactions in the σ1 receptor cavity (Figure 10B,D). However, these additional interactions of anti-5 with residues L95, L182 and Y206 (ΔHres = −1.68 kcal/mol, Figure 10E) were not specific and could not compensate the decrease of the other interactions due to a not optimal orientation in the binding site. Indeed, anti-5 cannot establish an optimal H-bond with the carboxylate side chain of E172 (ΔHres = −3.65 kcal/mol) as demonstrated by the less stable ADL detected in our MD simulation (ADL = 2.12 ± 0.35 Å, Figure 10B,F). Furthermore, the assumed binding pose of anti-5 does not allow an optimal position of its N-benzyl moiety in the hydrophobic cavity underlying I124, V152 and H154 (ΔHres = −0.53 kcal/mol, Figure 10E). Moreover, optimal stabilizing interactions of the propellane system of anti-5 with W89, F107, Y120 and W164 (ΔHres = −2.58 kcal/mol) were not reached.
4. Conclusions
In this manuscript, the rigid propellane system was used to attach σ1 and σ2 pharmacophoric substituents in a defined three-dimensional orientation. It was shown, that propellanes with both substituents at the five-membered rings adopting syn-configuration (e.g., syn,syn-4a) exhibited high σ1 affinity underlining the importance of the stereochemistry. Urea instead of the amino moiety led to the loss of σ1 and σ2 affinity. High σ1 affinity was achieved by incorporation of the basic amino moiety into the propellane scaffold. The azapropellanes anti-5 and 9a demonstrated high σ1 affinity, which is enthalpy driven. Although the carbamate moiety of anti-5 contributed to the binding free energy of anti-5 within the σ1 receptor binding pocket, it forces the complete propellane scaffold and its benzyl moiety into a less favorable orientation in the binding pocket. As a result, the σ1 affinity of anti-5 is lower than the σ1 affinity of 9a.
5. Experimental
5.1. Chemistry, General Methods
Unless otherwise mentioned, THF was dried with sodium/benzophenone and was freshly distilled before use. Thin layer chromatography (tlc): Silica gel 60 F254 plates (Merck). Preparative thin layer chromatography (ptlc): Silica gel 60 F254, plates (Merck) 20 × 20 cm, layer thickness 2 mm flash chromatography (fc): Silica gel 60, 40–64 μm (Merck); parentheses include: diameter of the column, length of column, fraction size, eluent, Rf value. Melting point: Melting point apparatus SMP 3 (Stuart Scientific), uncorrected. IR: IR spectrophotometer IRAffinity with MIRacle 10 accessory FT-ATR-IR (Shimadzu). 1H NMR (400 MHz), 13C NMR (100 MHz): Mercury plus 400 spectrometer (Varian); δ in ppm relative to tetramethylsilane; coupling constants are given with 0:5 Hz resolution. Where necessary, the assignment of the signals in the 1H NMR and 13C NMR spectra was performed using 1H-1H COSY, 1H-13C HSQC NMR spectra, the stereochemistry was assigned using NOESY NMR spectra. MS: EI = electron impact and ESI = electrospray ionization: MicroTof (Bruker Daltronics, Bremen, Germany), calibration with sodium formate clusters before measurement. HPLC method for determination of the product purity: Merck Hitachi Equipment(Darmstadt, Germany); UV detector: L-7400; autosampler: L-7200; pump: L-7100; degasser: L-7614; Method: column: LiChrospher® 60 RP-select B (5 mm), 250–4 mm cartridge; flow rate: 1:00 mLmin1; injection volume: 5:0 mL; detection at l = 210 nm; solvents: A: water with 0:05% (v/v) trifluoroacetic acid; B: acetonitrile with 0:05% (v/v) trifluoroacetic acid: gradient elution: (A%): 0–4 min: 90%, 4–29 min: gradient from 90% to 0%, 29–31 min: 0%, 31–31:5 min: gradient from 0% to 90% and 31:5–40 min: 90%.
5.2. General Procedure A for the Synthesis of Carbamates and Ureas
Under N2, propellanol of propellanamine (1 equi.), the respective isocyanate (1.2 eq.) and the catalyst Bu2Sn(OAc)2 (0.2 eq.) were dissolved in THF (5 mL per 100 mg of propellanamine) and the mixture was stirred at rt for 24–48 h. Water (5 mL) was added and the mixture was stirred vigorously for 20 min. The mixture was extracted with EtOAc (3×), the combined EtOAc layers were washed with brine (1×), dried (Na2SO4), filtered, the filtrate was concentrated in vacuo and the residue was purified by fc.
5.3. Synthetic Procedures
5.3.1. (anti-11-Oxo[4.3.3]propellan-8-yl) N-(2-methoxy-5-methylphenyl)carbamate (anti-7) and (syn-11-Oxo[4.3.3]propellan-8-yl) N-(2-methoxy-5-methylphenyl)carbamate (syn-7)
According to General Procedure A, stereoisomeric hydroxyketones anti-6 and syn-6 (1.3 g, 6.69 mmol), 2-methoxy-5-methylphenyl isocyanate (1.4 g, 8.71 mmol) and the catalyst Bu2Sn(OAc)2 (0.36 mL, 1.34 mmol) were reacted in THF (25 mL) and worked-up. The residue was purified by fc (5 cm, cyclohexane:ethyl acetate = 1:0–7:3, 50 mL).
anti-7 (Rf = 0.52): Pale yellow solid, mp 143–144 °C, yield 0.86 g (36%), C21H27NO4 (357.2). MS (EI): m/z (%) = 357 [M+], 181 [M-C12H17O]+, 137 [M-C13H17O3]+, 122 [M-C13H18NO3]+. Exact mass (APCI): m/z = 358.1979 (calcd. 358.2013 for C21H28NO4 [M+H]+). FT-IR (ATR, film): ν (cm−1) = 3292 (ν N-H), 2931 (ν C-H aliphatic), 1732 (ν C=Oketone), 1697 (ν C=Ocarbamate), 1597 (δ N-H). 1H NMR (CDCl3): δ (ppm) = 1.32–1.45 (m, 8H, 2-CH2, 3-CH2, 4-CH2, 5-CH2), 1.75 (dd, J = 14.9/4.1Hz, 2H, 7-Hanti, 9-Hanti), 2.22 (s, 3H, CH3) 2.24 (d, J = 19 Hz, 2H, 10-Hsyn, 12-Hsyn,), 2.35 (d, J = 19 Hz, 2H, 10-Hanti, 12-Hanti), 2.36 (dd, J = 14.8/8.8 Hz, 2H, 7-Hsyn, 9-Hsyn), 3.77 (s, 3H, OCH3), 5.32 (tt, J = 8.4/4.4 Hz, 1H, 8-H), 6.67 (d, J = 8.3 Hz, 1H, 3-HN-Ar), 6.71 (dd, J = 1.6/8.3 Hz, 1H, 4-HN-Ar), 7.06 (s, broad, 1H, NH carbamate), 7.83 (s, broad, 1H, 6-HN-Ar). 13C NMR (CDCl3): δ (ppm) = 21.2 (1C, CH3), 21.4 (2C, C-3, C-4), 32.1 (2C, C-2, C-5), 43.9 (2C, C-7, C-9), 47.7, (2C, C1, C-6), 49.9 (2C, C-10, C-12), 55.9 (1C, OCH3), 75.6 (1C, C-8), 110.0 (1C, C-3N-Ar), 118.9 (1C, C- N-Ar), 123.2 (1C, C-4N-Ar), 127.4 (1C, C-1N-Ar), 130.7 (1C, C-5N-Ar), 145.7 (1C, C-2N-Ar), 153.3 (1C, NH(CO)O), 219.2 (1C, C=Oketone). Purity (HPLC): 95.9% (tR = 21.40 min).
syn-7 (Rf = 0.48): Pale yellow solid, mp 115–118 °C, yield 0.74 g (31%), C21H27NO4 (357.2). MS (EI): m/z (%) = 357 [M+], 181 [M-C12H17O]+, 137 [M-C13H17O3]+, 122 [M-C13H18NO3]+. Exact mass (APCI): m/z = 358.1991 (calcd. 358.2013 for C21H28NO4 [M+H]+ ). FT-IR (ATR, film): ν (cm−1) = 3425 (ν N-H), 2931 (ν C-H aliphatic), 1737 (ν C=Oketone), 1720 (ν C=Ocarbamate), 1597 (δ N-H). 1H NMR (CDCl3): δ (ppm) = 1.33–1.43 (m, 4H, 2-Heq, 3-Heq, 4-Heq, 5-Heq), 1.47–1.51 (m, 2H, 2-Hax, 4-Hax), 1.62–1.68 (m, 2H, 3-Hax, 5-Hax), 1.97 (dd, J = 15.2/3.6 Hz, 2H, 7-Hsyn, 9-Hsyn), 2.10 (d, J = 19.2 Hz, 2H, 10-Hanti, 12-Hanti,), 2.15 (dd, J = 15.2/8.4 Hz, 2H, 7-Hanti, 9-Hanti), 2.21 (d, J = 19.2 Hz, 2H, 10-Hsyn, 12-Hsyn,), 2.23 (s, 3H, CH3), 3.79 (s, 3H, OCH3), 5.27 (tt, J = 8.7/3.7 Hz, 1H, 8-H), 6.68 (d, J = 8.4 Hz, 1H, 3-HN-Ar), 6.72 (dd, J = 2/8.4 Hz, 1H, 4-HN-Ar), 7.11 (s, broad, 1H, NH), 7.85 (s, broad, 1H, 6-HN-Ar). 13C NMR (CDCl3): δ (ppm) = 21.2 (1C, CH3), 21.7 (2C, C-3, C-4), 31.9 (2C, C-2, C-5), 43.9 (2C, C-7, C-9), 47.6 (2C, C-1, C-6), 49.7 (2C, C-10, C-12), 56.0 (1C, OCH3), 75.6 (1C, C-8), 110.1 (1C, C-3N-Ar), 119.0 (1C, C-6N-Ar), 123.1 (1C, C-4N-Ar), 127.4 (1C, C-1N-Ar), 130.8 (1C, C-5N-Ar), 145.7 (1C, C-2N-Ar), 153.4 (1C, NH(CO)O), 218.7 (1C, C=Oketone). Purity (HPLC): 95.5% (tR = 21.79 min).
5.3.2. [(8-anti-11-anti and 8-anti-11-syn)-11-(3,4-Dimethoxbenzylamino)[4.3.3]propellan-8-yl] N-(2-methoxy-5-methylphenyl)carbamate (8-anti-4b)
NaBH(OAc)3 (0.47 g, 2.24 mmol) was added to a solution of ketone anti-7 (0.20 g, 0.56 mmol), 3,4-dimethoxybenzylamine (0.11 g, 0.67 mmol) and acetic acid (32 μL, 0.56 mmol) in 1,2-dichloroethane (10 mL, dried over molecular sieves 4 Å). The mixture was stirred at rt for 48 h. Then NaOH (1 M) was added (pH 8–10), the mixture was extracted with CH2Cl2 (3×) and the combined organic layers were washed with brine (1×), dried (Na2SO4), filtered, the filtrate was concentrated in vacuo and the residue was purified by fc (3 cm, cyclohexane:ethyl acetate = 7:3 to 5:5, 10 mL, Rf = 0.25, cyclohexane:ethyl acetate = 7:3) to obtain a mixture of diastereoisomeric aminocarbamates anti,anti-4b and anti,syn-4b as brown oil, yield 0.24 g (85%). C30H40N2O5 (508.6). Exact mass (APCI): m/z = 509.2982 (calcd.509.3010 for C30H41N2O5 [M+H]+). FT-IR (ATR, film): ν (cm−1) = 3329 (ν N-H), 2927 (ν C-H aliphatic), 1724 (ν C=O), 1597 (δ N-H). 1H NMR (400 MHz, CDCl3): δ (ppm) = 1.29–1.49 (m, 8H, 2-CH2, 3-CH2, 4-CH2, 5-CH2), 1.61 (dd, J = 13.4/6.6 Hz, 2 × 0.5H, 7-H, 9-H), 1.67–1.75 (m, 4 × 0.5H, 7-H, 9-H, 10-H, 12-H), 1.92 (dd, J = 14.4/4.8 Hz, 2 × 0.5H, 10-H, 12-H), 1.98–2.10 (m, 2H, 7-H, 9-H), 2.14–2.26 (m, 2H, 10-H, 12-H), 2.28 (s, 3H, CH3), 3.37–3.51 (m, 2 × 0.5H, 11-H), 3.70 (s, 2H, NCH2Ar), 3.82 (s, 3 × 0.5H, p-OCH3), 3.84 (s, 3 × 0.5H, p-OCH3), 3.86 (s, 3 × 0.5H, OCH3Arylcarbamate), 3.88 (s, 3 × 0.5H, m-OCH3), 3.89 (s, 3 × 0.5H, m-OCH3), 5.19–5.31 (m, 2 × 0.5H, 8-H), 6.73 (dd, J = 8.3/3.5 Hz, 1H, 6-HBn), 6.77 (m, 1H, 5-HBn), 6.81 (dd, J = 8.1/2.1 Hz, 1H, 4-HAr), 6.85 (d, J = 8.4 Hz, 1H, 3-HAr), 6.90 (t, J = 2.1 Hz, 1H, 2-HBn), 7.13 (s, 0.5H, NH), 7.18 (s, 0.5H, NH), 7.93 (s, 1H, 6-HAr). A signal for the NH proton is not seen in the spectrum. 13C NMR (100 MHz, CDCl3): δ (ppm) = 20.8, 20.9 (2C, C-3, C-4), 21.2 (1C, CH3), 32.4, 32.7 (2C, C-2, C-5), 44.5, 44.8 (2C, C-10, C-12), 45.0 (2C, C-7, C-9), 49.7 (2C, C-1, C-6), 55.2 (1C, NHCH2Ph), 55.7 (1C, C-11), 55.9, 59.1 (3C, 3 × OCH3), 76.2 (1C, C-8), 110.2 (1C, C-3Ar), 111.2 (1C, C-2Bn), 112.1 (1C, C-5Bn), 119.0 (1C, C-6Ar), 121.1 (1C, C-6Bn), 122.9 (1C, C-4Ar), 127.8 (1C, C-1Ar), 129.5 (1C, C-1Bn), 130.8 (1C, C-5Ar), 145.7 (1C, C-2Ar), 148.1, 148.8 (2C, C-3Bn, C-4Bn) 153.6 (1C, C=O). anti,anti-4b:anti,syn-4b = 1:1. Purity (HPLC): 96.0% (tR = 20.31 min).
5.3.3. [(8-anti-11-anti and 8-anti-11-syn)-11-(4-Chlorobenzylamino)[4.3.3]propellan-8-yl] N-(2-methoxy-5-methylphenyl)carbamate (8-anti-4c)
NaBH(OAc)3 (0.47 g, 2.24 mmol) was added to a solution of ketone anti-7 (0.20 g, 0.56 mmol), 4-chlorobenzylamine (95 mg, 0.67 mmol) and acetic acid (32 μL, 0.56 mmol) in 1,2-dichloroethane (10 mL, dried over molecular sieves 4 Å). The mixture was stirred at rt for 6 days. Then NaOH (1 M) was added (pH 8–10), the mixture was extracted with CH2Cl2 (3×) and the combined organic layers were washed with brine (1×), dried (Na2SO4), filtered, the filtrate was concentrated in vacuo and the residue was purified by fc (3 cm, cyclohexane:ethyl acetate:methanol = 5:3.5:1.5, 10 mL, Rf = 0.40) to obtain a mixture of diastereoisomeric aminocarbamates anti,anti-4c and anti,syn-4c as yellow oil, yield 0.12 g (45%). C28H35ClN2O3 (482.2). Exact mass (APCI): m/z = 483.2387 (calcd.483.2409 for C28H36ClN2O3 [M+H]+). FT-IR (ATR, film): ν (cm−1) = 3329 (ν N-H), 2927 (ν C-H aliphatic), 1724 (ν C=O), 1597 (δ N-H). 1H NMR (400 MHz, CDCl3): δ (ppm) = 1.30–1.53 (m, 8H, 2-CH2, 3-CH2, 4-CH2, 5-CH2), 1.59–1.76 (m, 2H, 7-H, 9-H), 1.89–2.09 (m, 4H, 10-CH2, 12-CH2), 2.14–2.27 (m, 2H, 7-H, 9-H), 2.29 (s, 3H, CH3), 3.35–3.48 (m, 2 × 0.5H, 11-H), 3.73 (s, 2H, NCH2Ph), 3.85 (s, 3H, OCH3), 5.18–5.31 (m, 2 × 0.5H, 8-H), 6.73 (dd, J = 8.3/2.1 Hz, 1H, 4-HAr), 6.77 (d, J = 8.3 Hz, 1H, 3-HAr), 7.13 (s, 0.5H, NH), 7.18 (s, 0.5H, NH), 7.25–7.36 (m, 4H, 4-chlorophenyl), 7.93 (s, 1H, 6-HAr). A signal for the NH proton is not seen in the spectrum. 13C NMR (100 MHz, CDCl3): δ (ppm) = 21.0, 21.1 (2C, C-3, C-4), 21.5 (1C, CH3), 32.4, 32.8 (2C, C-2, C-5), 44.7, 44.8, 45.0, 45.2 (4C, C-7, C-9, C-10, C-12), 49.7 (2C, C-1, C-6), 50.5 (1C, NCH2Ph), 55.7, 55.9 (2 × 0.5C, OCH3), 57.0 (1C, C-11), 76.0, 76.5 (2 × 0.5C, C-8), 109.9 (1C, C-3Ar), 118.9 (1C, C-6Ar), 122.9 (1C, C-4Ar), 127.6, 128.6 (2C, C-3Bn, C-5Bn), 129.6, 129.8 (2C, C-2Bn, C-6Bn), 130.7 (1C, C-5Ar), 138.7 (1C, C-1Bn) 145.6 (1C, C-2Ar), 153.6 (1C, C=O). anti,anti-4c:anti,syn-4c = 1:1. Purity (HPLC): 92.6% (tR = 20.85 min).
5.3.4. [(8-anti-11-anti and 8-anti-11-syn)-11-(3,4-Dichlorobenzylamino)[4.3.3]propellan-8-yl] N-(2-methoxy-5-methylphenyl)carbamate (8-anti-4d)
NaBH(OAc)3 (0.47 g, 2.24 mmol) was added to a solution of ketone anti-7 (0.20 g, 0.56 mmol), 3,4-dichlorobenzylamine (0.12 g, 0.67 mmol) and acetic acid (32 μL, 0.56 mmol) in 1,2-dichloroethane (10 mL, dried over molecular sieves 4 Å). The mixture was stirred at rt for 6 d. Then NaOH (1 M) was added (pH 8–10), the mixture was extracted with CH2Cl2 (3×) and the combined organic layers were washed with brine (1×), dried (Na2SO4), filtered, the filtrate was concentrated in vacuo and the residue was purified by fc (3 cm, cyclohexane:ethyl acetate:methanol = 5:3.5:1.5, 10 mL, Rf = 0.49) to obtain a mixture of diastereoisomeric aminocarbamates anti,anti-4d and anti,syn-4d as yellow oil, yield 0.17 g (59%). C28H34Cl2N2O3 (517.5). Exact mass (APCI): m/z = 517.2015 (calcd.517.2019 for C28H35Cl2N2O3 [M+H]+). FT-IR (ATR, film): ν (cm−1) = 3329 (ν N-H), 2927 (ν C-H aliphatic), 1724 (ν C=O), 1597 (δ N-H). 1H NMR (400 MHz, CDCl3): δ (ppm) = 1.28–1.55 (m, 8H, 2-CH2, 3-CH2, 4-CH2, 5-CH2), 1.60–1.75 (m, 2 × 1.5H, 7-H, 9-H), 1.88–2.10 (m, 4H, 10-CH2, 12-CH2), 2.14–2.25 (m, 2 × 0.5H, 7-H, 9-H), 2.28 (s, 3H, CH3), 3.34–3.48 (m, 2 × 0.5H, 11-H), 3.72 (s, 2H, NCH2Ph), 3.83 (s, 3H, OCH3), 5.17–32 (m, 2 × 0.5H, 8-H), 6.73 (dd, J = 8.2/1.8 Hz, 1H, 4-HAr), 6.77 (d, J = 8.7 Hz, 1H, 3-HAr), 7.13 (s, 1H, NH), 7.20 (dd, J = 7.4/3.2 Hz, 1H, 5-H3,4-dichlorophenyl), 7.38 (dd, J = 8.2/5.3 Hz, 1H, 6-H3,4-dichlorophenyl), 7.46 (dd, J = 5.0/2.1 Hz, 1H, 2-H3,4-dichlorophenyl), 7.92 (s, 1H, 6-HAr). A signal for the NH proton is not seen in the spectrum. 13C NMR (100 MHz, CDCl3): δ (ppm) = 21.0 (1C, CH3), 21.1, 21.5 (2C, C-3, C-4), 32.4, 32.8 (2C, C-2, C-5), 44.6, 44.8, 45.0, 45.1 (4C, C-7, C-9, C10, C-12), 49.8, 50.5 (2C, C1, C-6), 51.7 (1C, NCH2Ph), 55.9 (1C, OCH3), 57.1 (1C, C-11), 76.0, 76.4 (2 × 0.5C, C-8), 110.0(1C, C-3Ar), 118.9 (1C, C-6Ar), 122.9 (1C, C-4Ar),125. 6, 127.8 (2C, C-23,4-dichlorophenyl, C-63,4-dichlorophenyl), 103.3, 130.4, 130.5, 130.7, 130.8 (5C, C-33,4-dichlorophenyl, C-43,4-dichlorophenyl, C-53,4-dichlorophenyl, C-1Ar, C-5Ar), 132.5 (1C, C-13,4dichlorophenyl) 146.0 (1C, C-2Ar), 153.6 (1C, C=O). anti,anti-4d:anti,syn-4d = 1:1. Purity (HPLC): 88.6% (tR = 21.17 min).
5.3.5. [(8-anti-11-anti and 8-anti-11-syn)-11-(2,4-Dimethylbenzylamino)[4.3.3]propellan-8-yl] N-(2-methoxy-5-methylphenyl)carbamate (8-anti-4e)
NaBH(OAc)3 (0.3 g, 1.42 mmol) was added to a solution of ketone anti-7 (0.10 g, 0.28 mmol), 3,4-dimethylbenzylamine (45 mg, 0.34 mmol) and acetic acid (16 μL, 0.28 mmol) in 1,2-dichloroethane (5 mL, dried over molecular sieves 4 Å). The mixture was stirred at rt for 72 h. Then NaOH (1 M) was added (pH 8–10), the mixture was extracted with CH2Cl2 (3×) and the combined organic layers were washed with brine (1×), dried (Na2SO4), filtered, the filtrate was concentrated in vacuo and the residue was purified by fc (3 cm, cyclohexane:ethyl acetate:methanol = 5.5:3.5:1, 20 mL, Rf = 0.21) to obtain a mixture of diastereoisomeric aminocarbamates anti,anti-4e and anti,syn-4e as brown oil, yield 0.12 g (93%). C30H40N2O3 (476.7). Exact mass (APCI): m/z = 477.3159 (calcd. 477.3112 for C30H41N2O3 [M+H]+). FT-IR (ATR, film): ν (cm−1) = 3329 (ν N-H), 2927 (ν C-H aliphatic), 1724 (ν C=O), 1597 (δ N-H). 1H NMR (600 MHz, CDCl3): δ (ppm) = 1.24–1.70 (m, 9H, 2-CH2, 3-CH2, 4-CH2, 5-CH2, 7-CH2(0.5H), 9-CH2(0.5H)), 1.97–2.12 (m, 3H, 7-CH2(0.5H), 9-CH2(0.5H)), 10-CH2(1H), 12-CH2(1H)), 2.14–2.37 (m, 13H, 7-CH2(1H), 9-CH2(1H), 10-CH2(1H), 12-CH2(1H), CH3), 3.45–3.51 (m, 0.5H, 11-H), 3.51–3.58 (m, 0.5H, 11-H), 3.76 (s, 2H, NCH2Ph), 3.82 (s, 3 × 0.5H, OCH3), 3.85 (s, 3 × 0.5H, OCH3), 5.20 (tt, J = 8.4/4.0 Hz 0.5H, 8-H), 5.28 (tt, J = 8.4/5.0 Hz, 0.5H, 8-H), 6.71–6.80 (m, 2H, 3-HAr, 4-HAr), 6.95–7.03 (m, 2H, 5-H2,4-diMePhenyl, 6-H2,4-diMePhenyl), 7.11 (d, J = 3.8 Hz, 1H, 3-H2,4-diMePhenyl), 7.36 (s, 1H, NH), 7.92 (s, 1H, 6-HAr). A signal for the NH proton is not seen in the spectrum. 13C NMR (150 MHz, CDCl3): δ (ppm) = 19.0 (1C, CH3), 20.8, 21.1, 21.4 (4C, C-3, C-4, 2 × CH3), 32.5, 32.8 (2C, C-2, C-5), 41.8, 44.6, 45.0 (4C, C-7, C-9, C-10, C-12), 49.7, 50.3 (2C, C-1, C-6), 55.7 (0.5C, C-11), 55.9 (1C, OCH3), 57.2 (0.5C, C-11), 75.8 (0.5C, C-8), 76.4 (0.5C, C-8), 110.0 (1C, C-3Ar), 119.1 (1C, C-6Ar), 122.8 (1C, C-4Ar), 127.0 (1C, C-52,4-diMePhenyl), 127.5, 127.7 (2 × 0.5C, C-1Ar), 129.0 (1C, C-32,4-diMePhenyl), 130.6, 130.7 (2 × 0.5C, C-5Ar), 131.5 (2C, C-12,4-diMePhenyl, C-62,4-diMePhenyl), 136.5 (1C, C-22,4-diMePhenyl), 137.8 (1C, C-42,4-diMePhenyl), 145.6 (1C, C-2Ar), 153.7 (1C, C=O). anti,anti-4e:anti,syn-4e = 1:1. Purity (HPLC): 91.3% (tR = 21.61 min).
5.3.6. [(8-anti-11-anti and 8-anti-11-syn)-11-[(3,5-Bis(trifluoromethyl)benzylamino]-[4.3.3]propellan-8-yl] N-(2-methoxy-5-methylphenyl)carbamate (8-anti-4f)
NaBH(OAc)3 (0.3 g, 1.42 mmol) was added to a solution of ketone anti-7 (0.10 g, 0.28 mmol), 3,5-bis(trifluoromethyl)benzylamine (82 mg, 0.34 mmol) and acetic acid (16 μL, 0.28 mmol) in 1,2-dichloroethane (5 mL, dried over molecular sieves 4 Å). The mixture was stirred at rt for 72 h. Then NaOH (1 M) was added (pH 8–10), the mixture was extracted with CH2Cl2 (3×) and the combined organic layers were washed with brine (1×), dried (Na2SO4), filtered, the filtrate was concentrated in vacuo and the residue was purified by fc (3 cm, cyclohexane:ethyl acetate = 7:3–1:1, 20 mL, Rf = 0.14, cyclohexane:ethyl acetate = 7:3) to obtain a mixture of diastereoisomeric aminocarbamates anti,anti-4f and anti,syn-4f as brown oil, yield 95 mg (59%). C30H34F6N2O3 (584.6). Exact mass (APCI): m/z = 585.2596 (calcd. 585.2546 for C30H34F6N2O3 [M+H]+). FT-IR (ATR, film): ν (cm−1) = 3433 (ν N-H), 2931 (ν C-H aliphatic), 1724 (ν C=O), 1597 (δ N-H). 1H NMR (400 MHz, CDCl3): δ (ppm) = 1.31–1.52 (m, 10H, 2-CH2, 3-CH2, 4-CH2, 5-CH2, 7-CH2(1H), 9-CH2(1H)), 1.70 (dd, J = 14.0/5.4 Hz, 2 × 0.5H, 7-H, 9-H), 1.93 (dd, J = 14.4/4.9 Hz, 2 × 0.5H, /-H, 9-H), 2.02–2.13 (m, 2H, 10-H, 12-H), 2.16–2.27 (m, 2H, 10-H, 12-H), 2.28 (m, 3H, CH3), 3.38–3.52 (m, 2 × 0.5H, 11-H), 3.83 (s, 3H, OCH3), 3.88 (s, 2H, NCH2Ph), 5.19–5.33 (m, 2 × 0.5H, 8-H), 6.73 (d, J = 8.3 Hz, 1H, 3-HAr), 6.77 (dd, J = 8.8/3.8 Hz, 1H, 4-HAr), 7.13 (s, 1H, NH), 7.77 (s, 1H, 4-H3,5-diCF3Ph), 7.85 (d, J = 4.9 Hz, 2H, 2-H3,5-diCF3Ph, 6-H3,5-diCF3Ph), 7.92 (s, 1H, 6-HAr). A signal for the NH protons is not seen in the spectrum. 13C NMR (100 MHz, CDCl3): δ (ppm) = 21.0 (1C, CH3), 21.1, 21.4 (2C, C-3, C-4), 32.4, 32.8 (2C, C-2, C-5), 44.9 (4C, C-7, C-9, C-10, C-12), 49.8, 50.4 (2C, C-1, C-6), 57.5, 56.3 (2 × 0.5C, C-11), 75.9, 76.4 (2 × 0.5C, C-8), 110.0 (1C, C-3Ar), 118.9 (1C, C-6Ar), 121.3 (d, J = 7.53 Hz, 1C, C-43,5-diCF3Ph), 122.9 (1C, C-4Ar), 126.2 (q, J = 262.3 Hz, 2C, CF3), 128.6 (2C, C-23,5-diCF3Ph, C-63,5-diCF3Ph), 130.7 (2C, C-1Ar, C-5Ar), 130.9 (2C, C-33,5-diCF3Ph, C-53,5-diCF3Ph), 141.4 (1C, C-13,5-diCF3Ph), 145.6 (1C, C-2Ar), 153.6 (1C, C=O). anti,anti-4f:anti,syn-4f = 1:1. Purity (HPLC): 92.0% (tR = 22.40 min).
5.3.7. [(8-anti-11-anti and 8-anti-11-syn)-11-(4-Nitrobenzylamino)[4.3.3]propellan-8-yl] N-(2-methoxy-5-methylphenyl)carbamate (8-anti-4g)
NaBH(OAc)3 (0.3 g, 1.42 mmol) was added to a solution of ketone anti-7 (0.10 g, 0.28 mmol), 4-nitrobenzylamine hydrochloride (70 mg, 0.34 mmol) and NEt3 (58 μL, 0.42 mmol) in 1,2-dichloroethane (5 mL, dried over molecular sieves 4 Å). The mixture was stirred at rt for 24 h. Then acetic acid (16 μL, 0.28 mmol) was added and the mixture was stirred for additional 24 h. Then NaOH (1 M) was added (pH 8–10), the mixture was extracted with CH2Cl2 (3×) and the combined organic layers were washed with brine (1×), dried (Na2SO4), filtered, the filtrate was concentrated in vacuo and the residue was purified by fc (1 cm, cyclohexane:ethyl acetate:methanol = 5.5:3.5:1, 10 mL, Rf = 0.29) to obtain a mixture of diastereoisomeric aminocarbamates anti,anti-4g and anti,syn-4g as yellow oil, yield 90 mg (65%). C28H35N3O5 (493.6). MS (ESI): m/z = 494 [M+H]+. Exact mass (APCI): m/z = 494.2680 (494.2649 calcd. for C28H36N3O5 [M+H]+). FT-IR (ATR, film): ν (cm−1) = 3425 (ν N-H), 2931 (ν C-H aliphatic), 1724 (ν C=O), 1597 (δ N-H), 1519 (ν N-O), 1342 (ν N-O). 1H NMR (600 MHz, CDCl3): δ (ppm) = 1.36–1.55 (m, 8H, 2-CH2, 3-CH2, 4-CH2, 5-CH2), 1.68 (m, 4H, 7-H, 9-H, 10-H, 12-H), 1.90–2.11 (m, 2H, 10-H, 12-H), 2.17–2.27 (m, 2H, 7-H, 9-H), 2.28 (s, 3H, CH3), 3.38–3.43 (m, 0.4H, 11-H), 3.46 (tt, J = 7.4, 5.8 Hz, 0.6H), 3.82 (s, 3 × 0.4H, OCH3), 3.83 (s, 3 × 0.6H, OCH3), 3.87 (s, 2H, NCH2Ph), 5.22 (tt, J = 8.2, 5.3 Hz, 0.6H, 8-H), 5.28 (tt, J = 8.9/4.8 Hz, 0.4H, 8-H), 6.74 (dd, J = 8.3/1.3 Hz, 1H, 3-HAr), 6.77 (dd, J = 8.4/2.1 Hz, 1H, 4-HAr), 7.10 (s, 1H, NH), 7.51–7.56 (m, 2H, 2-H4-NO2Ph, 6-H4-NO2Ph), 7.91 (s, 1H, 6-HAr), 8.15–8.19 (m, 2H, 3-H4-NO2Ph, 5-H4-NO2Ph). A signal for the NH proton is not seen in the spectrum. Signals for the OH and NH protons are not seen in the spectrum. 13C NMR (150 MHz, CDCl3): δ (ppm) = 21.0, 21.1, 21.5 (3C, C-3, C-4, CH3), 32.4, 32.8 (2C, C-2, C-5), 44.9, 45.0 (4C, C-7, C-9, C-10, C-12), 49.8, 50.5 (2C, C-1, C-6), 52.1 (1C, NCH2Ph), 55.9 (1C, OCH3), 56.1 (0.6C, C-11), 57.3 (0.4C, C-11), 76.0 (0.6C, C-8), 76.5 (0.4C, C-8), 110.0 (1C, C-3Ar), 118.9 (1C, C-6Ar), 122.9 (1C, C-4Ar), 123.8 (2C, C-34-NO2Ph, C-54-NO2Ph), 127.5 (1C, C-1Ar), 129.0 (2C, C-24-NO2Ph, C-64-NO2Ph), 130.7 (1C, C-5Ar), 145.6 (1C, C-2Ar), 147.2 (1C, C-14-NO2Ph), 148.3 (1C, C-44-NO2Ph), 153.5 (1C, C=O). anti,anti-4g:anti,syn-4g = 6:4. Purity (HPLC): 98.0% (tR = 20.04 min).
5.3.8. [(8-anti-11-anti and 8-anti-11-syn)-11-[(4-Dimethylamino)benzylamino]-[4.3.3]propellan-8-yl] N-(2-methoxy-5-methylphenyl)carbamate (8-anti-4h)
NaBH(OAc)3 (0.12 g, 0.57 mmol) was added to a solution of 4v (0.10 g, 0.28 mmol) and 4-(dimethylamino)benzaldehyde (50 mg, 0.34 mmol) in 1,2-dichloroethane (5 mL, dried over molecular sieves 4 Å). The mixture was stirred at rt for 20 h. Then NaOH (1 M) was added (pH 8–10), the mixture was extracted with CH2Cl2 (3×) and the combined organic layers were washed with brine (1×), dried (Na2SO4), filtered, the filtrate was concentrated in vacuo and the residue was purified by fc (1 cm, cyclohexane:ethyl acetate:methanol = 5.5:3.5:1, 10 mL, Rf = 0.30) to obtain a mixture of diastereoisomeric aminocarbamates anti,anti-4h and anti,syn-4h as yellow oil, yield 70 mg (50%). C30H41N3O3 (491.7). Exact mass (APCI): m/z = 492.3228 (calcd. 492.3221 for C30H42N3O3 [M+2H]+). FT-IR (ATR, film): ν (cm−1) = 3429 (ν N-H), 2927 (ν C-H aliphatic), 1724 (ν C=O), 1612 (δ N-H). 1H NMR (400 MHz, CDCl3): δ (ppm) = 1.28–1.60 (m, 8H, 2-CH2, 3-CH2, 4-CH2, 5-CH2), 1.61–1.88 (m, 3H, 7-H, 9-H, 10-H(0.5H), 12-H(0.5H)), 1.91–2.25 (m, 5H, 7-H, 9-H, 10-H(1.5H), 12-H(1.5H)), 2.28 (s, 3H, CH3), 2.89 (s, 3H, NCH3), 2.91 (s, 3H, NCH3), 3.39–3.54 (m, 1H, 2 × 0.5 H, 11-H), 3.71 (s, 2H, NCH2Ph), 3.82 (s, 3 × 0.5H, OCH3), 3.84 (s, 3 × 0.5H, OCH3), 5.17–5.31 (m, 2 × 0.5H, 8-H), 6.66–6.71 (m, 2H, 3-H4-diMePh, 5-H4-diMePh), 6.73–6.79 (m, 2H, 3-HAr, 4-HAr), 7.12 (s, 0.5H, NH), 7.22–7.26 (m, 2H, 2-H4-diMePh, 6-H4-diMePh), 7.29 (s, 0.5H, NH), 7.92 (s, 1H, 6-HAr). A signal for the NH proton is not seen in the spectrum. 13C NMR (100 MHz, CDCl3): δ (ppm) = 20.9, 21.1, 21.4 (3C, C-3, C-4, CH3), 32.5, 32.8 (2C, C-2, C-5), 40.7, 40.8 (2C, N(CH3)2), 44.8, 45.0 (4C, C-7, C-9, C-10, C-12), 49.6, 50.3 (2C, C-1, C-6), 55.9 (0.5C, C-11), 56.3 (1C, OCH3), 60.5 (0.5C, C-11), 75.9 (0.5C, C-8), 76.4 (0.5, C-8), 110.0 (1C, C-3Ar), 112.7 (2C, C-34-diMePh, C-54-diMePh), 119.1 (1C, C-6Ar), 122.8 (1C, C-4Ar), 127.7 (1C, C-1Ar), 129.9 (2C, C-24-diMePh, C-64-diMePh), 130.1 (1C, C-14-diMePh), 130.7 (1C, C-5Ar), 145.8 (1C, C-2Ar), 150.2 (1C, C-44-diMePh), 153.7 (1C, C=O). anti,anti-4h:anti,syn-4h = 1:1. Purity (HPLC): 98.4% (tR = 17.89 min).
5.3.9. [(8-anti-11-anti and 8-anti-11-syn)-11-[(Furan-2-yl-mehtyl)amino][4.3.3]propellan-8-yl] N-(2-methoxy-5-methylphenyl)carbamate (8-anti-4i)
NaBH(OAc)3 (0.36 g, 1.67 mmol) was added to a solution of ketone anti-7 (0.15 g, 0.42 mmol), furfurylamine (0.15 g, 0.55 mmol) and acetic acid (24 μL, 0.42 mmol) in 1,2-dichloroethane (10 mL, dried over molecular sieves 4 Å). The mixture was stirred at rt for 48 h. Then NaOH (1 M) was added (pH 8–10), the mixture was extracted with CH2Cl2 (3×) and the combined organic layers were washed with brine (1×), dried (Na2SO4), filtered, the filtrate was concentrated in vacuo and the residue was purified by fc (1 cm, cyclohexane:ethyl acetate:methanol = 5.5:3.5:1, 10 mL, Rf = 0.59) to obtain a mixture of diastereoisomeric aminocarbamates anti,anti-4i and anti,syn-4i as dark yellow oil, yield 0.15 mg (79%). C26H34N2O4 (438.6). MS (ESI): m/z = 439 [M+H]+. Exact mass (APCI): m/z = 439.2605 (calcd. 439.2591 for C26H35N2O4 [M+H]+). FT-IR (ATR, film): ν (cm−1) = 3425 (ν N-H), 2931 (ν C-H aliphatic), 1724 (ν C=O), 1597 (δ N-H). 1H NMR (400 MHz, CDCl3): δ (ppm) = 1.29–1.54 (m, 8H, 2-CH2, 3-CH2, 4-CH2, 5-CH2), 1.61 (dd, J = 13.3/6.8 Hz, 2 × 0.5H, 10-H, 12-H), 1.67–1.73 (m, 2H, 7-H, 9-H), 1.90 (dd, J = 14.4/4.9 Hz, 2 × 0.5H, 10-H, 12-H), 1.96–2.07 (m, 2H, 7-H, 9-H), 2.13–2.26 (m, 2H, 7-H, 9-H), 2.28 (m, 3H, CH3), 3.35–3.49 (m, 2 × 0.5H, 11-H), 3.78 (s, 2H, NCH2Furyl), 3.84 (s, 3H, OCH3), 5.16–5.32 (m, 2 × 0.5H, 8-H), 6.18–6.24 (m, 1H, 3-HFuran), 6.29–6.33 (m, 1H, 4-HFuran), 6.71–6.79 (m, 2H, 3-HAr, 4-HAr), 7.13 (s, 0.5H, NH), 7.20 (s, 0.5H, NH), 7.32–7.38 (m, 1H, 5-HFuran), 7.92 (s, 1H, 6-HAr). A signal for the NH proton is not seen in the spectrum. Signals for the OH and NH protons are not seen in the spectrum. 13C NMR (100 MHz, CDCl3): δ (ppm) = 20.9, 21.1 (2C, C-3, C-4), 21.5 (1C, CH3), 32.4, 32.8 (2C, C-2, C-5), 44.5, 44.9, 45.1, 45.2 (5C, C-7, C-9, C-10, C-12, NCH2Furan), 49.7, 50.4 (2C, C-1, C-6), 55.5 (0.5C, C-11), 55.9 (1C, OCH3), 56.8 (0.5C, C-11), 76.0 (0.5C, C-8), 76.4 (0.5C, C-8), 107.2, 107.6 (1C, C-3Furan), 109.9 (1C, C-3Ar), 110.4, 110.6 (1C, C-4Furan), 118.9 (1C, C-6Ar), 122.9(1C, C-4Ar), 127.5 (1C, C-1Ar), 130.6 (1C, C-5Ar), 142.0, 142.3 (1C, C-5Furan), 145.6 (1C, C-2Ar), 146.0 (1C, C-2Furan), 153.6 (1C, C=O). anti,anti-4i:anti,syn-4i = 6:4. Purity (HPLC): 91.4% (tR = 19.33 min).
5.3.10. [(8-syn-11-syn and 8-syn-11-anti)-11-[(Furan-2-yl-mehtyl)amino][4.3.3]propellan-8-yl] N-(2-methoxy-5-methylphenyl)carbamate (8-syn-4i)
NaBH(OAc)3 (0.3 g, 1.42 mmol) was added to a solution of ketone syn-7 (0.10 g, 0.28 mmol), furfurylamine (29 mg, 0.34 mmol) and acetic acid (16 μL, 0.28 mmol) in 1,2-dichloroethane (5 mL, dried over molecular sieves 4 Å). The mixture was stirred at rt for 5 days. Then NaOH (1 M) was added (pH 8–10), the mixture was extracted with CH2Cl2 (3×) and the combined organic layers were washed with brine (1×), dried (Na2SO4), filtered, the filtrate was concentrated in vacuo and the residue was purified by fc (1 cm, cyclohexane:ethyl acetate:methanol = 5.5:3.5:1 to 1:1, 10 mL, Rf = 0.18) to obtain a mixture of diastereoisomeric aminocarbamates syn,syn-4i and anti,syn-4i as yellow oil, yield 84 mg (66%). C26H34N2O4 (438.6). MS (ESI): m/z = 439 [M+H]+. Exact mass (APCI): m/z = 439.2631 (calcd. 439.2591 for C26H35N2O4 [M+H]+). FT-IR (ATR, film): ν (cm−1) = 3425 (ν N-H), 2931 (ν C-H aliphatic), 1720 (ν C=O), 1597 (δ N-H). 1H NMR (600 MHz, CDCl3): δ (ppm) = 1.33–1.58 (m, 8H, 2-CH2, 3-CH2, 4-CH2, 5-CH2), 1.70 (dd, J = 13.5/7.3 Hz, 2 × 0.5H, 7-H, 9-H), 1.80–1.90 (m, 3H), 1.97–2.07 (m, 3H), 2.29 (s, 3H, CH3), 2.29–2.35 (m, 2 × 0.5H, 7-H, 9-H), 3.29–3.35 (m, 0.5H, 11-H), 3.35–3.41 (m, 0.5H, 11-H), 3.80–3.85 (m, 5H, OCH3, NCH2Furyl), 5.20 (tt, J = 8.3/4.7 Hz, 0.5H, 8-H), 5.31 (tt, J = 8.4/4.2 Hz, 0.5H, 8-H), 6.30 (dd, J = 6.2/3.5 Hz, 1H, 3-HFuran), 6.33 (d, J = 2.8/2.0 Hz, 1H, 4-HFuran), 6.73 (dd, J = 8.2/3.2 Hz, 1H, 3-HAr), 6.77 (dd, J = 7.1/5.0 Hz, 1H, 4-HAr), 7.12 (s, 1H, NH), 7.38 (ddd, J = 4.0/1.8/0.9 Hz, 1H, 5-HFuran), 7.92 (s, 1H, 6-HAr). A signal for the NH proton is not seen in the spectrum. 13C NMR (150 MHz, CDCl3): δ (ppm) = 21.1, 21.2, 21.3 (3C, C-3, C-4, CH3), 32.1, 33.1 (2C, C-2, C-5), 44.3, 44.6, 45.0, 45.0 (5C, C-7, C-9, C-10, C-12, NCH2Furyl), 49.5, 50.0 (2C, C-1, C-6), 55.7 (0.5C, C-11), 55.9 (1C, OCH3), 56.4 (0.5C, C-11), 76.0 (0.5C, C-8), 76.1 (0.5C, C-8), 108.5 (1C, C-3Furan), 110.0 (1C, C-3Ar), 110.6 (1C, C-4Furan), 119.0 (1C, C-2Furan), 122.8 (C-4Ar), 127.5 (C-1Ar), 130.7 (1C, C-5Ar), 142.4 (1C, C-5Furan), 145.6 (1C, C-2Ar), 153.5 (1C, C=O). syn,syn-4i:syn,anti-4i = 1:1. Purity (HPLC): 97.6% (tR = 19.35 min).
5.3.11. [(8-anti-11-anti and 8-anti-11-syn)-11-[2-(Indol-3-yl)ethylamino][4.3.3]propellan-8-yl] N-(2-methoxy-5-methylphenyl)carbamate (8-anti-4k)
NaBH(OAc)3 (62 mg, 0.29 mmol) was added to a solution of ketone anti-7 (35 mg, 0.10 mmol), tryptamine (20 mg, 0.12 mmol) and acetic acid (6 μL, 0.10 mmol) in 1,2-dichloroethane (5 mL, dried over molecular sieves 4 Å). The mixture was stirred at rt for 96 h. Then NaOH (1 M) was added (pH 8–10), the mixture was extracted with CH2Cl2 (3×) and the combined organic layers were washed with brine (1×), dried (Na2SO4), filtered, the filtrate was concentrated in vacuo and the residue was purified by fc (1 cm, cyclohexane:ethyl acetate:methanol = 5.5:3.5:1, 10 mL, Rf = 0.18,) to obtain a mixture of diastereoisomeric aminocarbamates anti,anti-4k and anti,syn-4k as brown oil, yield 20 mg (41%). C31H39N3O3 (501.7). Exact mass (APCI): m/z = 502.3190 (calcd. 502.3064 for C31H40N3O3 [M+H]+). FT-IR (ATR, film): ν (cm−1) = 3429 (ν N-H), 2927 (ν C-H aliphatic), 1716 (ν C=O), 1597 (δ N-H). 1H NMR (600 MHz, CDCl3): δ (ppm) = 1.25–1.49 (m, 8H, 2-CH2, 3-CH2, 4-CH2, 5-CH2), 1.56 (dd, J = 14.5/5.0 Hz, 2 × 0.5H, 7-H, 9-H), 1.98–2.18 (m, 7H, 7-CH2(1H), 9-CH2(1H), 10-CH2, 12-CH2), 2.27 (s, 3H, CH3), 3.17–3.25 (m, 2H, NCH2CH2Indole), 3.39–3.46 (m, 2H, NCH2CH2Indole), 3.59–3.66 (m, 0.6H, 11-H), 3.70 (tt, J = 9.4/7.3 Hz, 0.4H, 11-H), 3.77 (s, 3 × 0.4H, OCH3), 3.78 (s, 3 × 0.6H, OCH3), 5.15 (tt, J = 7.9/5.0 Hz, 0.6H, 8-H), 5.23 (tt, J = 8.1/4.9 Hz, 0.4H, 8-H), 6.71 (d, J = 8.2 Hz, 1H, 3-HAr), 6.74–6.78 (m, 1H, 4-HAr), 7.04–7.07 (m, 2H, 5-HIndole, 6-HIndole), 7.12–7.17 (m, 1H, 2-HIndole), 7.33 (ddd, J = 8.1/2.1/1.0 Hz, 1H, 7-HIndole), 7.59 (s, 1H, NHcarbamate) 7.63 (ddd, J = 8.2/2.5/1.0 Hz, 1H, 4-HIndole), 7.86–7.89 (s, 1H, 6-HAr), 8.41 (s, 1H, NHIndole). A signal for the NH proton is not seen in the spectrum. 13C NMR (150 MHz, CDCl3): δ (ppm) = 20.4 (1C, CH3), 20.7, 21.1 (2C, C-3, C-4), 22.6 (1C, NCH2CH2Indole), 32.3, 32.8 (2C, C-2, C-5), 40.9, 41.6 (2C, C-10, C-12), 44.4, 45.1 (2C, C-7, C-9), 47.8 (1C, NCH2CH2Indole), 49.4, 49.8 (2C, C-1, C-6), 55.9 (1C, OCH3), 56.7 (0.4C, C-11), 58.0 (0.6C, C-11), 75.5 (0.4C, C-8), 76.2 (0.6C, C-8), 110.0 (1C, C-3Ar), 110.5, 111.6 (2 × 0.5C, C-7Indole), 118.7 (1C, C-4Indole), 119.7 (1C, C-6Ar), 119.8 (1C, C-5Indole), 122.4 (1C, C-2Indole), 123.1 (2C, C-4Ar, C-6Indole), 126.9 (1C, C-3aIndole), 127.7 (1C, C-1Ar), 130.6 (1C, C-5Ar), 136.5 (1C, C-7aIndole), 146.3 (1C, C-2Ar), 153.8 (1C, C=O). anti,anti-4k:anti,syn-4k = 6:4. Purity (HPLC): 66.3%, light sensitive (tR = 20.8 min).
5.3.12. [(8-syn-11-syn and 8-syn-11-anti)-11-[(2-(Indol-3-yl)ethylamino][4.3.3]propellan-8-yl] N-(2-methoxy-5-methylphenyl)carbamate (8-syn-4k)
NaBH(OAc)3 (0.3 g, 1.42 mmol) was added to a solution of ketone syn-7 (0.10 g, 0.28 mmol), tryptamine (52 mg, 0.34 mmol) and acetic acid (16 μL, 0.28 mmol) in 1,2-dichloroethane (5 mL, dried over molecular sieves 4 Å). The mixture was stirred at rt for 5 days. Then NaOH (1 M) was added (pH 8–10), the mixture was extracted with CH2Cl2 (3×) and the combined organic layers were washed with brine (1×), dried (Na2SO4), filtered, the filtrate was concentrated in vacuo and the residue was purified by fc (1 cm, cyclohexane:ethyl acetate:methanol = 5.5:3.5:1, 10 mL, Rf = 0.15,) to obtain a mixture of diastereoisomeric aminocarbamates syn,syn-4k and syn,anti-4k as brown oil, yield 60 mg (41%). C31H39N3O3 (501.7). Exact mass (APCI): m/z = 502.3078 (calcd. 502.3064 for C31H40N3O3 [M+H]+). FT-IR (ATR, film): ν (cm−1) = 3421 (ν N-H), 2931 (ν C-H aliphatic), 1716 (ν C=O), 1597 (δ N-H). 1H NMR (400 MHz, CDCl3): δ (ppm) = 1.26–1.58 (m, 8H, 2-CH2, 3-CH2, 4-CH2, 5-CH2), 1.70–1.97 (m, 6H, 7-CH2(1H), 9-CH2(1H), 10-CH2, 12-CH2), 2.28 (s, 3H, CH3), 2.30–2.43 (m, 2H, 7-H, 9-H), 3.11–3.21 (m, 2H, NCH2CH2Indolyl), 3.31–3.39 (m, 2H, NCH2CH2Indole), 3.57–3.66 (m, 1H, 11-H), 3.83 (m, 3H, OCH3), 5.02–5.10 (m, 0.4H, 8-H), 5.22 (tt, J = 8.1/4.0 Hz, 0.6H, 8-H), 6.73 (d, J = 8.3 Hz, 1H, 3-HAr), 6.78 (dd, J = 8.3/2.1 Hz, 1H, 4-HAr), 7.02–7.17 (m, 4H, 2-HIndole,5-HIndole, 6-HIndole, NHCarbamate), 7.35 (d, J =, 1H, 7-HIndole), 7.61 (d, J = 7.9 Hz, 1H, 4-HIndole), 7.89 (s, 1H, 6-HAr), 8.74 (s, 1H, NHIndole). A signal for the NH proton is not seen in the spectrum. 13C NMR (100 MHz, CDCl3): δ (ppm) = 20.7, 21.1 (3C, C-3, C-4, CH3), 22.9 (1C, NCH2CH2Indole), 31.9, 32.9 (2C, C-2, C-5), 41.5, 41.6 (2C, C-10, C-12), 44.8, 45.0 (2C, C-7, C-9), 47.8 (1C, NCH2CH2Indole), 49.1, 49.8 (2C, C-1, C-6), 55.9 (1C, OCH3), 56.7 (0.4C, C-11), 57.6 (0.6C, C-11), 75.6 (0.4C, C-8), 76.1 (0.6C, C-8), 110.0 (1C, C-3Ar), 110.8, 111.6 (2 × 0.5C, C-7Indole), 118.7 (1C, C-4Indole), 119.1 (1C, C-6Ar), 119.6 (1C, C-5Indole), 122.3 (1C, C-2Indole), 123.1 1 (2C, C-4Ar, C-6Indole), 127.0 (1C, C-3aIndole), 127.5 (1C, C-1Ar), 130.7 (1C, C-5Ar), 136.5 (1C, C-7aIndole), 145.7 (1C, C-2Ar), 153.4 (1C, C=O). syn,syn-4k:syn,anti-4k = 4:6. Purity (HPLC): 97.8% (tR = 20.97 min).
5.3.13. [(8-anti-11-anti and 8-anti-11-syn)-11-(Phenylamino)[4.3.3]propellan-8-yl] N-(2-methoxy-5-methylphenyl)carbamate (8-anti-4l)
NaBH(OAc)3 (0.30 g, 1.42 mmol) was added to a solution of ketone anti-7 (0.10 g, 0.28 mmol), aniline (31.3 mg, 0.34 mmol) and acetic acid (16 μL, 0.28 mmol) in 1,2-dichloroethane (5 mL, dried over molecular sieves 4 Å). The mixture was stirred at rt for 48 h. Then NaOH (1 M) was added (pH 8–10), the mixture was extracted with CH2Cl2 (3×) and the combined organic layers were washed with brine (1×), dried (Na2SO4), filtered, the filtrate was concentrated in vacuo and the residue was purified by fc (3 cm, cyclohexane:ethyl acetate = 8:2, 5 mL, Rf = 0.82, cyclohexane:ethyl acetate = 7:3) to obtain a mixture of diastereoisomeric aminocarbamates anti,anti-4l and anti,syn-4l as pale yellow oil, yield 84 mg (69%). C27H34N2O3 (434.6). Exact mass (APCI): m/z = 435.2599 (calcd.435.2642 for C27H35N2O3 [M+H]+). FT-IR (ATR, film): ν (cm−1) = 3394 (ν N-H), 2931 (ν C-H aliphatic), 1720 (ν C=O), 1600 (δ N-H). 1H NMR (400 MHz, CDCl3): δ (ppm) = 1.32–1.54 (m, 8H, 2-CH2, 3-CH2, 4-CH2, 5-CH2), 1.66 (dd, J = 13.6/6.0 Hz, 2 × 0.5H, 10-H, 12-H), 1.72–1.82 (m, 2H, 7-H, 9-H), 1.90 (dd, J = 14.4/4.9 Hz, 2 × 0.5H, 10-H, 12-H), 2.21–2.35 (m, 7H, CH3, 7-H, 9-H, 10-H, 12-H), 3.85 (s, 3H, OCH3), 3.99–4.07 (m, 0.5H, 11-H), 4.07–4.12 (m, 0.5H, 11-H), 5.29 (tt, J = 8.5/4.8 Hz, 1H, 8-H), 6.61 (dd, J = 8.3/3.2 Hz, 2H, 2-HPh, 6-HPh), 6.70 (td, J = 7.2/1.3 Hz, 1H, 4HPh), 6.75 (d, J = 8.3 Hz, 1H, 3-HAr), 6.78 (d, J = 8.2 Hz, 1H, 4-HAr), 7.13–7.22 (m, 3H, 3-HPh, 5-Ph, NH), 7.94 (s, 1H, 6-HAr). 13C NMR (100 MHz, CDCl3): δ (ppm) = 20.9 (2 × 0.5C, C-3, C-4), 21.1 (1C, CH3), 21.4 (2 × 0.5C, C-3, C-4), 32.3, 32.7 (2C, C-2, C-5), 44.6, 44.9 (4C, C7, C-9, C-10, C-12), 49.8, 50.4 (2C, C-1, C-6), 55.9 (1C, OCH3), 60.5 (1C, C-11), 75.9, 76.3 (2 × 0.5C, C-8), 110.0 (1C, C-3Ar), 119.0 (1C, C-4Ph), 119.1 (1C, C-6Ar), 123.0 (1C, C-4Ar), 129.5 (4C, C-2Ph, C-3Ph, C-5Ph, C-6Ph), 130.7 (2C, C-1Ar, C-5Ar), 145.6 (1C, C-2Ar), 145.8 (1C, C-1Ph), 153.6 (1C, C=O). anti,anti-4l:anti,syn-4l = 1:1. Purity (HPLC): 98.2% (tR = 20.55 min).
5.3.14. [(8-anti-11-anti and 8-anti-11-syn)-11-(4-Methoxyphenylamino)[4.3.3]propellan-8-yl] N-(2-methoxy-5-methylphenyl)carbamate (8-anti-4m)
NaBH(OAc)3 (0.47 g, 2.24 mmol) was added to a solution of ketone anti-7 (0.20 g, 0.56 mmol), 4-methoxyphenylamine (87 mg, 0.67 mmol) and acetic acid (32 μL, 0.56 mmol) in 1,2-dichloroethane (10 mL, dried over molecular sieves 4 Å). The mixture was stirred at rt for 72 h. Then NaOH (1 M) was added (pH 8–10), the mixture was extracted with CH2Cl2 (3×) and the combined organic layers were washed with brine (1×), dried (Na2SO4), filtered, the filtrate was concentrated in vacuo and the residue was purified by fc (3 cm, cyclohexane:Et2O = 8:2 to 1:1, 10 mL, Rf = 0.56, cyclohexane:ethylacetate = 7:3) to obtain a mixture of diastereoisomeric aminocarbamates anti,anti-4m and anti,syn-4m as brown oil, yield 0.19 g (74%). C28H36N2O4 (464.6). Exact mass (APCI): m/z = 465.2721 (calcd.465.2748 for C28H35Cl2N2O4 [M+H]+). FT-IR (ATR, film): ν (cm−1) = 3390 (ν N-H), 2931 (ν C-H aliphatic), 1724 (ν C=O), 1597 (δ N-H). 1H NMR (400 MHz, CDCl3): δ (ppm) = 1.30–1.53 (m, 8H, 2-CH2, 3-CH2, 4-CH2, 5-CH2), 1.64 (dd, J = 13.6/6.1 Hz, 2 × 0.5H, 7-H, 9-H), 1.70–1.80 (m, 2H, 10-H, 12-H), 1.90 (dd, J = 14.4/4.8 Hz, 2 × 0.5H, 7-H, 9-H), 2.17–2.32 (m, 7H, CH3, 7-H, 9-H, 10-H, 12-H), 3.74 (s, 3H, OCH3 4-OMephenyl), 3.85 (s, 3H, OCH3 Ar), 3.94–4.08 (m, 2 × 0.5H, 11-H), 5.23–5.33 (m, 2 × 0.5H, 8-H), 6.56–6.62 (m, 2H, 3-HAr, 4-HAr), 6.73–6.80 (m, 4H, 2-H4-OMephenyl, 3-H4-OMephenyl,, 5-H4-OMephenyl, 6-H4-OMephenyl), 7.18 (s, 1H, NH), 7.93 (s, 1H, 6-HAr). A signal for the NH proton is not seen in the spectrum. 13C NMR (100 MHz, CDCl3): δ (ppm) = 21.2, 21.2, 21.6 (3C, C-3, C-4, CH3), 32.3, 32.7 (2C, C-2, C-5), 44.7, 44.8, 45.5, 45.9 (4C, C-7, C-9, C-10, C-12), 50.0, 50.6 (2C, C-1, C-6), 52.9, 53.0 (2 × 0.5C, C-11), 55.9, 56.0 (2C, 2 × OCH3), 76.0, 76.3 (2 × 0.5C, C-8), 110.0 (1C, C-3Ar), 115.0 (4C, C-24-OMephenyl, C-34-OMephenyl, C-54-OMephenyl, C-64-OMephenyl), 118.9 (1C, C-6Ar), 122.9 (1C, C-4Ar), 130.7, 130.7 (2C, C-1Ar, C-5Ar), 145.6 (1C, C-2Ar), 146.0 (1C, C-14-OMephenyl), 152.3 (1C, C-44-OMephenyl), 153.6 (1C, C=O). anti,anti-4m:anti,syn-4m = 1:1. Purity (HPLC): 96.4% (tR = 20.53 min).
5.3.15. [(8-anti-11-anti and 8-anti-11-syn)-11-(3-Chloro-4-methoxyphenylamino)-[4.3.3]propellan-8-yl] N-(2-methoxy-5-methylphenyl)carbamate (8-anti-4n)
NaBH(OAc)3 (0.3 g, 1.42 mmol) was added to a solution of ketone anti-7 (0.10 g, 0.28 mmol), 3-chloro-4-methoxyaniline (53 mg, 0.34 mmol) and acetic acid (16 μL, 0.28 mmol) in 1,2-dichloroethane (5 mL, dried over molecular sieves 4 Å). The mixture was stirred at rt for 72 h. Then NaOH (1 M) was added (pH 8–10), the mixture was extracted with CH2Cl2 (3×) and the combined organic layers were washed with brine (1×), dried (Na2SO4), filtered, the filtrate was concentrated in vacuo and the residue was purified by fc (3 cm, cyclohexane:Et2O = 7:3 to 1:1, 10 mL, Rf = 0.51, cyclohexane:ethylacetate = 7:3) to obtain a mixture of diastereoisomeric aminocarbamates anti,anti-4n and anti,syn-4n as brown oil, yield 0.13 g (63%). C28H35ClN2O4 (499.0). Exact mass (APCI): m/z = 499.2403 (calcd.499.2358 for C28H36ClN2O4 [M+H]+). FT-IR (ATR, film): ν (cm−1) = 3390 (ν N-H), 2931 (ν C-H aliphatic), 1720 (ν C=O), 1597 (δ N-H). 1H NMR (400 MHz, CDCl3): δ (ppm) = 1.33–1.50 (m, 8H, 2-CH2, 3-CH2, 4-CH2, 5-CH2), 1.62–1.92 (m, 4H, 7-H, 9-H, 10-H, 12-H), 2.19–2.32 (m, 7H, 7-H, 9-H, 10-H, 12-H, CH3), 3.82 (s, 3H, OCH3), 3.85 (s, 3H, OCH3), 3.90–4.04 (m, 2 × 0.5H, 11-H), 5.23–5.33 (m,2 × 0.5H, 8-H), 6.49–6.58 (m, 1H, 2-H4-Cl-5-MeOPhen), 6.67–6.83 (m, 4H, 5-H4-Cl-5-MeOPhen, 6-H4-Cl-5-MeOPhen, 3-HAr, 4-HAr), 7.18 (s, 1H, NHcarbamate), 7.93 (s, 1H, 6-HAr). A signal for the NH proton is not seen in the spectrum. 13C NMR (100 MHz, CDCl3): δ (ppm) = 20.8 (1C, CH3), 21.1 (2C, C-3, C-4), 32.3, 32.7 (2C, C-2, C-5), 44.5, 44.9 (4C, C-7, C-9, C-10, C-12), 49.8, 50.3 (2C, C-1, C-6), 55.9 (2C, 2 × OCH3), 56.9 (2 × 0.5C, C-11), 75.7, 76.3 (2 × 0.5C, C-8), 110.0 (1C, C-3Ar), 113.8 (1C, C-64-Cl-5-MeOPhen), 114.9 (1C, C-24-Cl-5-MeOPhen), 118.9 (1C, C-6Ar), 119.2 (1C, C-54-Cl-5-MeOPhen), 123.0 (1C, C-4Ar), 123.6 (1C, C-34-Cl-5-MeOPhen), 127.5 (1C, C-1Ar), 130.7 (1C, C-5Ar), 138.2 (1C, C-14-Cl-5-MeOPhen), 145.7, 147.7, (2C, C-2Ar, C-44-Cl-5-MeOPhen) 153.6 (1C, C=O). anti,anti-4n:anti,syn-4n = 1:1. Purity (HPLC): 95.2% (tR = 21.27 min).
5.3.16. [(8-anti-11-anti and 8-anti-11-syn)-11-(4-Aminophenylamino)[4.3.3]propellan-8-yl] N-(2-methoxy-5-methylphenyl)carbamate (8-anti-4o)
NaBH(OAc)3 (0.47 g, 2.24 mmol) was added to a solution of ketone anti-7 (0.20 g, 0.56 mmol), p-phenylenediamine (97 mg, 0.90 mmol) and acetic acid (32 μL, 0.56 mmol) in 1,2-dichloroethane (10 mL, dried over molecular sieves 4 Å). The mixture was stirred at rt for 72 h. Then NaOH (1 M) was added (pH 8–10), the mixture was extracted with CH2Cl2 (3×) and the combined organic layers were washed with brine (1×), dried (Na2SO4), filtered, the filtrate was concentrated in vacuo and the residue was purified by fc (3 cm, ethyl acetate:methanol = 9.5:0.5–8:2, 10 mL, Rf = 0.11, cyclohexane:ethylacetate = 7:3) to obtain a mixture of diastereoisomeric aminocarbamates anti,anti-4o and anti,syn-4o as violet oil, yield 0.19 g (76%). C27H35N2O3 (449.6). Exact mass (APCI): m/z = 450.2720 (calcd. 450.2751 for C27H36N3O3 [M+H]+). FT-IR (ATR, film): ν (cm−1) = 3417 (ν N-H2), 3290 (ν N-H), 2931 (ν C-H aliphatic), 1716 (ν C=O), 1604 (δ N-H). 1H NMR (400 MHz, CDCl3): δ (ppm) = 1.37–1.51 (m, 8H, 2-CH2, 3-CH2, 4-CH2, 5-CH2), 1.63–92 (m, 4H, 7-H, 9-H, 10-H, 12-H), 2.17–2.28 (m, 4H, 7-H, 9-H, 10-H, 12-H), 2.29 (s, 3H, CH3), 3.85 (s, 3H, OCH3), 3.92–4.05 (m, 2 × 0.5H, 11-H), 5.22–5.32 (m, 2 × 0.5H, 8-H), 6.53–6.66 (m, 4H, 2-H4-aminophenyl, 3-H4-aminophenyl, 5-H4-aminophenyl, 6-H4-aminophenyl), 6.74 (dd, J = 8.3/1.4 Hz, 1H, 4-HAr), 6.78 (d, J = 8.5 Hz, 1H, 3-HAr), 7.14 (s, 0.5H, NH), 7.21 (s, 0.5H, NH), 7.28 (s, 1H, NHcarbamate), 7.93 (s, 1H, 6-HAr). A signal for the NH protons is not seen in the spectrum. 13C NMR (100 MHz, CDCl3): δ (ppm) = 21.1, 21.4 (3C, C-3, C-4, CH3), 32.0, 32.7 (2C, C-2, C-5), 45.0, 45.4 (4C, C-7, C-9, C-10, C-12), 50.0 (2C, C-1, C-6), 55.9 (2C, C-11, OCH3), 77.4 (2 × 0.5C, C-8), 110.1(1C, C-3Ar), 119.0 (1C, C-6Ar), 123.1 (5C, C-24-aminophenyl, C-34-aminophenyl, C-54-aminophenyl, C-64-aminophenyl, C-4Ar), 130.6, 131.3 (3C, C-14-aminophenyl, C-44-aminophenyl,C-5Ar), 145.7 (1C, C-2Ar), 151.8 (1C, C=O). anti,anti-4o:anti,syn-4o = 1:1. Purity (HPLC): 97.8% (tR = 19.33 min).
5.3.17. [(8-anti-11-anti and 8-anti-11-syn)-11-(Phenethylamino)[4.3.3]propellan-8-yl] N-(2-methoxy-5-methylphenyl)carbamate (8-anti-4p)
NaBH(OAc)3 (0.67 g, 3.20 mmol) was added to a solution of ketone anti-7 (0.23 g, 0.64 mmol), 2-phenylethanamine (0.1 g, 0.85 mmol) and acetic acid (38 μL, 0.64 mmol) in 1,2-dichloroethane (10 mL, dried over molecular sieves 4 Å). The mixture was stirred at rt for 6 days. Then NaOH (1 M) was added (pH 8–10), the mixture was extracted with CH2Cl2 (3×) and the combined organic layers were washed with brine (1×), dried (Na2SO4), filtered, the filtrate was concentrated in vacuo and the residue was purified by fc (3 cm, methanol:ethyl acetate = 9:1, 5 mL, Rf = 0.27, cyclohexane:ethyl acetate = 7:3) to obtain a mixture of diastereoisomeric aminocarbamates anti,anti-4p and anti,syn-4p as pale yellow oil, yield 0.23 g (76%). C29H38N2O3 (462.6). Exact mass (APCI): m/z = 463.2952 (calcd.463.2955 for C29H39N2O3 [M+H]+). FT-IR (ATR, film): ν (cm−1) = 3379 (νN-H), 2931 (ν C-H aliphatic), 1732 (νC=O), 1597 (δ N-H). 1H NMR (400 MHz, CDCl3): δ (ppm) = 1.27–1.45 (m, 6H, 2-CH2(1H), 3-CH2, 4-CH2, 5-CH2(1H)), 1.51 (m, 2 × 0.5H, 2-H, 5-H), 1.60 (m, 2 × 0.5H, 2-H, 5-H), 1.67 (dd, J = 14.4/5.1 Hz, 2 × 0.5H, 7-H, 9-H), 1.98–2.08 (m, 4H, 10-CH2, 12-CH2), 2.13–2.24 (m, 3H, 7-CH2(1.5H), 9-CH2(1.5H)), 2.29 (s, 3H, CH3), 3.00–3.21 (m, 4H, NCH2CH2Ph), 3.50–3.60 (m, 0.5H, 11-H), 3.64 (q, J = 9.6/9.0 Hz, 0.5H, 11-H), 3.81 (s, 3 × 0.5H, OCH3), 3.83 (s, 3 × 0.5H, OCH3), 5.20 (tt, J = 7.7/5.1 Hz, 0.5H, 8-H), 5.28 (tt, J = 8.4/4.1 Hz, 0.5H, 8-H), 6.73 (dd, J = 8.2/2.1 Hz, 1H, 3-HAr), 6.77 (dd, J = 8.2/2.1 Hz, 1H, 4-HAr), 7.13 (s, 1H, NH), 7.19–7.42 (m, 5H, Ph), 7.91 (s, 1H, 6-HAr). A signal for the NH proton is not seen in the spectrum. 13C NMR (100 MHz, CDCl3): δ (ppm) = 20.6 (1C, CH3), 21.0, 21.1 (2C, C-3, C-4), 32.5, 32.9 (2C, C-2, C5), 34.4 (1C, NCH2CH2Ph), 44.6 (2C, C-10, C-12), 45.2 (2C, C-7, C-9), 49.5 (1C, NCH2CH2Ph), 50.0 (2C, C-1, C-6), 55.8, 55.9 (1C, OCH3), 56.6, 57.9 (2 × 0.5 C, C-11), 76.2 (1C, C-8), 109.9 (1C, C-3Ar), 119.3 (1C, C-6Ar), 122.9 (1C, C-4Ar), 126.8 (1C, C-4Ph), 127.3 (2C, C-3Ph, C-5Ph), 127.6 (2C, C-2Ph, C-6Ph), 128.9 (1C, C-1Ar), 130.6 (1C, C-5Ar), 137.9 (1C, C-1Ph), 145.6, 145.9 (1C, C-2Ar), 153.4, 153.7 (1C, C=O). anti,anti-4p:anti,syn-4p = 1:1. Purity (HPLC): 96.8% (tR = 21.20 min).
5.3.18. [(8-anti-11-anti and 8-anti-11-syn)-11-(3-Phenylpropylamino)[4.3.3]propellan-8-yl] N-(2-methoxy-5-methylphenyl)carbamate (8-anti-4q)
NaBH(OAc)3 (0.3 g, 1.42 mmol) was added to a solution of ketone anti-7 (0.13 g, 0.36 mmol), 3-phenypropan-1-amine (64 mg, 0.47 mmol) and acetic acid (30 μL, 0.36 mmol) in 1,2-dichloroethane (5 mL, dried over molecular sieves 4 Å). The mixture was stirred at rt for 72 h. Then NaOH (1 M) was added (pH 8–10), the mixture was extracted with CH2Cl2 (3×) and the combined organic layers were washed with brine (1×), dried (Na2SO4), filtered, the filtrate was concentrated in vacuo and the residue was purified by fc (3 cm, cyclohexane:Et2O = 8:2–1:1, 10 mL, Rf = 0.56, cyclohexane:ethylacetate = 7:3) to obtain a mixture of diastereoisomeric aminocarbamates anti,anti-4q and anti,syn-4q as pale yellow oil, yield 0.12 g (63%). C30H40N2O3 (476.7). Exact mass (APCI): m/z = 477.3134 (calcd. 477.3112 for C30H41N2O3 [M+H]+). FT-IR (ATR, film): ν (cm−1) = 3267 (νN-H), 2931 (ν C-H aliphatic), 1720 (νC=O), 1597 (δ N-H). 1H NMR (400 MHz, CDCl3): δ (ppm) = 1.13–1.65 (m, 9H, 2-CH2, 3-CH2, 4-CH2, 5-CH2, 7-CH2(0.5H), 9-CH2(0.5H)), 1.92–2.28 (m, 12H, 7-CH2(1.5H), 9-CH2(1.5H), 10-CH2, 12-CH2, CH3, NCH2CH2CH2Ph), 2.58–2.66 (m, 2H, NCH2CH2CH2Ph), 2.81–2.88 (m, 2H, NCH2CH2CH2Ph), 3.52–3.68 (m, 2 × 0.5H, 11-H), 3.79 (s, 3 × 0.5H, OCH3), 3.84 (s, 3 × 0.5 H, OCH3), 5.20 (m, 2 × 0.5H, 8-H), 6.70–6.80 (m, 2H, 3-HAr, 4-HAr), 7.13–7.18 (m, 4H, 2-HPh, 3-HPh, 5-HPh, 6-HPh), 7.22–7.26 (m, 1H, 4-HPh), 7.35 (s, 1H, NHcarbamate), 7.62 (s, 1H. NH), 7.92 (d, J = 2.0 Hz, 1H, 6-HAr). A signal for the NH proton is not seen in the spectrum. 13C NMR (100 MHz, CDCl3): δ (ppm) = 20.4 (1C, CH3), 20.8, 21.1 (2C, C-3, C-4), 29.4 (NCH2CH2CH2Ph), 32.4 (NCH2CH2CH2Ph), 32.7, 33.1 (2C, C-2, C-5), 40.9, 41.6, 44.3, 45.1 (4C, C-7, C-9, C-10, C-12), 47.1 (NCH2CH2CH2Ph), 49.3, 49.7 (2C, C-1, C-6), 55.9, 56.0 (2 × 0.5C, C-11), 56.7, 58.0 (2 × 0.5C, OCH3), 76.0 (1C, C-8), 110.2 (1C, C-3Ar), 119.5 (1C, C-6Ar), 123.0 (1C, C-4Ar), 126.5 (1C, C-4), 128.5 (4C, C-2Ph, C-3Ph, C-5Ph, C-6Ph), 128.7(1C, C-1Ar), 130.7 (1C, C-5Ar), 140.0 (1C, C-1Ph), 146.1 (1C, C-2Ar), 153.7 (1C; C=O). anti,anti-4q:anti,syn-4q = 1:1. Purity (HPLC): 97.9% (tR = 21.61 min).
5.3.19. [(8-anti-11-anti and 8-anti-11-syn)-11-[(3-Aminopropyl)amino][4.3.3]propellan-8-yl] N-(2-methoxy-5-methylphenyl)carbamate (8-anti-4r)
NaBH(OAc)3 (0.3 g, 1.42 mmol) was added to a solution of ketone anti-7 (0.10 g, 0.28 mmol), propane-1,3-diamine (62 mg, 0.34 mmol) and acetic acid (16 μL, 0.28 mmol) in 1,2-dichloroethane (5 mL, dried over molecular sieves 4 Å). The mixture was stirred at rt for 96 h. Then NaOH (1 M) was added (pH 8–10), the mixture was extracted with CH2Cl2 (3×) and the combined organic layers were washed with brine (1×), dried (Na2SO4), filtered, the filtrate was concentrated in vacuo and the residue was purified by fc (1 cm, cyclohexane:ethyl acetate:methanol = 5.5:3.5:1–1:1, 10 mL, Rf = 0.18) to obtain a mixture of diastereoisomeric aminocarbamates anti,anti-4r and anti,syn-4r as colorless solid, mp 74–76 °C, yield 80 mg (66%). C24H37N3O3 (415.6). Exact mass (APCI): m/z = 417.2856 (calcd. 417.2991 for C24H39N3O3 [M+2H]+). FT-IR (ATR, film): ν (cm−1) = 3429 (ν N-H), 2927 (ν C-H aliphatic), 1720 (ν C=O), 1597 (δ N-H). 1H NMR (600 MHz, CDCl3): δ (ppm) = 1.26–1.51 (m, 10H, 2-CH2, 3-CH2, 4-CH2, 5-CH2, NCH2CH2CH2NH2), 1.63–2.25 (m, 10H, 7-CH2, 9-CH2, 10-CH2, 12-CH2, NCH2CH2CH2NH2), 2.24 (s, 3 × 0.5H, CH3), 2.28 (s, 3 × 0.5H, CH3), 2.82–2.88 (m, 2H, NCH2CH2CH2NH2), 3.39–3.53 (m, 2 × 0.5H, 11-H), 3.79 (s, 3 × 0.5H, OCH3), 3.86 (s, 3 × 0.5H, OCH3), 5.17–5.30 (m, 2 × 0.5H, 8-H), 6.69–6.78 (m, 2H, 3-HAr, 4-HAr), 7.14 (s, 1H, NH), 7.89 (s, 1H, 6-HAr). Signals for the NH protons are not seen in the spectrum. 13C NMR (150 MHz, CDCl3): δ (ppm) = 20.7 (1C, CH3), 21.1, 21.4 (2C, C-3, C-4), 32.0, 32.3, 32.3, 32.8 (3C, C-2, C-5, NCH2CH2CH2NH2), 44.5, 44.9 (4C, C-7, C-9, C-10, C-12), 47.6 (1C, NCH2CH2CH2NH2), 49.6 (1C, NCH2CH2CH2NH2), 50.2 (2C, C-1, C-6), 55.9 (1C, OCH3), 58.3 (0.5C, C-11), 59.1 (0.5C, C-11), 75.6 (0.5C, C-8), 76.0 (0.5C, C-8), 110.1 (1C, C-3Ar), 119.3 (1C, C-6Ar), 123.0 (C-4Ar), 127.6 (1C, C-1Ar), 130.6 (1C, C-5Ar), 145.9 (1C, C-2Ar), 153.6 (1C, C=O). anti,anti-4r:anti,syn-4r = 1:1. Purity (HPLC): 92.3% (tR = 20.97 min).
5.3.20. [(8-anti-11-anti and 8-anti-11-syn)-11-(2-Hydroxyethyl-1-amino)[4.3.3]propellan-8-yl] N-(2-methoxy-5-methylphenyl)carbamate (8-anti-4s)
NaBH(OAc)3 (0.3 g, 1.42 mmol) was added to a solution of ketone anti-7 (0.10 g, 0.28 mmol), 2-aminoethanol (20 mg, 0.34 mmol) and acetic acid (16 μL, 0.28 mmol) in 1,2-dichloroethane (5 mL, dried over molecular sieves 4 Å). The mixture was stirred at rt for 7 days. Then NaOH (1 M) was added (pH 8–10), the mixture was extracted with CH2Cl2 (3×) and the combined organic layers were washed with brine (1×), dried (Na2SO4), filtered, the filtrate was concentrated in vacuo and the residue was purified by fc (1 cm, ethyl acetate:methanol = 8:2–1:1, 10 mL, Rf = 0.11, cyclohexane:ethyl acetate:methanol = 5.5:3.5:1) to obtain a mixture of diastereoisomeric aminocarbamates anti,anti-4s and anti,syn-4s as yellow oil, yield 35 mg (33%). C23H34N2O4 (402.5). Exact mass (APCI): m/z = 403.2626 (calcd. 403.2591 for C23H35N2O4 [M+H]+). FT-IR (ATR, film): ν (cm−1) = 3429 (ν N-H), 2927 (ν C-H aliphatic), 1724 (νC=O), 1597 (δ N-H). 1H NMR (400 MHz, CDCl3): δ (ppm) = 1.28–1.53 (m, 8H, 2-CH2, 3-CH2, 4-CH2, 5-CH2), 1.59–1.77 (m, 2H, 7-H, 9-H), 1.87–2.27 (m, 6H, 7-CH2(1H), 9-CH2(1H), 10-CH2, 12-CH2), 2.28 (m, 3H, CH3), 2.76–2.84 (m, 2H, NCH2CH2OH), 3.37–3.53 (m, 2 × 0.5H, 11-H), 3.66–3.71 (m, 2H, NCH2CH2OH), 3.84 (s, 3H, OCH3), 5.18–5.31 (m, 2 × 0.5H, 8-H), 6.73 (dd, J = 8.3/2.1 Hz, 1H, 4-HAr), 6.77 (d, J = 8.3 Hz, 1H, 3-HAr), 7.14 (s, 1H, NH), 7.92 (s, 1H, 6-HAr). Signals for the OH and NH protons are not seen in the spectrum. 13C NMR (100 MHz, CDCl3): δ (ppm) = 20.9 (1C, CH3), 21.1, 21.4 (2C, C-3, C-4), 32.4, 32.9 (2C, C-2, C-5), 44.5, 44.8, 45.0 (4C, C-7, C-9, C-10, C-12), 49.6 (2C, C-1, C-6), 50.2, 50.4 (2 × 0.5C, NCH2CH2OH), 55.9 (1C, OCH3), 56.5 (0.5C, C-11), 57.7 (0.5C, C-11), 60.8 (1C, NCH2CH2OH), 75.9 (0.5C, C-8), 76.4 (0.5C, C-8), 109.9(1C, C-3Ar), 118.9 (1C, C-6Ar), 122.9 (1C, C-4Ar), 127.5 (1C, C-1Ar), 130.6 (1C, C-5Ar), 145.6 (1C, C-2Ar), 153.4 (1C, C=O). anti,anti-4s:anti,syn-4s = 1:1. Purity (HPLC): 92.5% (tR = 17.37 min).
5.3.21. [(8-anti-11-anti and 8-anti-11-syn)-11-(5-Hydroxypentylamino)[4.3.3]propellan-8-yl] N-(2-methoxy-5-methylphenyl)carbamate (8-anti-4t)
NaBH(OAc)3 (0.3 g, 1.42 mmol) was added to a solution of ketone anti-7 (0.10 g, 0.28 mmol), 5-aminopentan-1-ol (35 mg, 0.34 mmol) and acetic acid (16 μL, 0.28 mmol) in 1,2-dichloroethane (5 mL, dried over molecular sieves 4 Å). The mixture was stirred at rt for 11 days. Then NaOH (1 M) was added (pH 8–10), the mixture was extracted with CH2Cl2 (3×) and the combined organic layers were washed with brine (1×), dried (Na2SO4), filtered, the filtrate was concentrated in vacuo and the residue was purified by fc (3 cm, ethyl acetate:methanol = 8:2–1:1, 20 mL, Rf = 0.23, ethyl acetate:methanol = 1:1) to obtain a mixture of diastereoisomeric aminocarbamates anti,anti-4t and anti,syn-4t as yellow oil, yield 25 mg (21%). C26H40N2O4 (444.6). Exact mass (APCI): m/z = 445.3066 (calcd. 445.3061 for C26H40N2O4 [M+H]+ ). FT-IR (ATR, film): ν (cm−1) = 3425 (ν N-H), 3330 (νO-H), 2931 (ν C-H aliphatic), 1724 (νC=O), 1597 (δ N-H). 1H NMR (400 MHz, CDCl3): δ (ppm) = 1.25–1.48 (m, 10H, 2-CH2, 3-CH2, 4-CH2, 5-CH2, NCH2CH2CH2CH2CH2O), 1.51–1.71 (m, 6H, 7-H, 9-H, 10-H, 12-H, NCH2CH2CH2CH2CH2O), 1.95–2.25 (m, 6H, 7-H, 9-H, 10-H, 12-H, NCH2CH2CH2CH2CH2O), 2.27 (s, 3 × 0.5H, CH3), 2.29 (s, 3 × 0.5H, CH3), 2.93 (m, 2H, NCH2CH2CH2CH2CH2O), 3.65–3.80 (m, 3H, 11-H, CH2O), 3.81 (s, 3 × 0.5H, OCH3), 3.84 (m, 3 × 0.5H, OCH3), 5.17–5.31 (m, 2 × 0.5H, 8-H), 6.70–6.80 (m, 2H, 3-HAr, 4-HAr), 7.16 (s, 1H, NH), 7.88 (s, 1H, 6-HAr). A signal for the NH proton is not seen in the spectrum. Signals for the OH and NH protons are not seen in the spectrum. 13C NMR (100 MHz, CDCl3): δ(ppm) = 20.6 (2C, C-3, C-4), 21.1 (1C, CH3), 23.3 (1C, NCH2CH2CH2CH2CH2O), 25.8 (1C, NCH2CH2CH2CH2CH2O), 31.3 (1C, NCH2CH2CH2CH2CH2O), 32.7 (2C, C-2, C-5), 41.0 (2C, C-10, C-12), 45.1 (2C, C-7, C-9), 47.2 (1C, NCH2CH2CH2CH2CH2O), 49.6 (2C, C-1, C-6), 55.9 (1C, OCH3), 56.8 (0.5C, C-11), 58.2 (0.5C, C-11), 61.9 (1C, NCH2CH2CH2CH2CH2O), 75.5 (0.5C, C-8), 76.2 (0.5C, C-8), 110.2 (1C, C-3Ar), 119.5 (1C, C-6Ar), 123.1 (1C, C-4Ar), 127.5 (1C, C-1Ar), 130.6 (1C, C-5Ar), 146.0 (1C, C-2Ar), 153.5 (1C, C=O). anti,anti-4t:anti,syn-4t = 1:1. Purity (HPLC): 94.4% (tR = 22.40 min).
5.3.22. [(8-anti-11-anti and 8-anti-11-syn)-11-(Isobutylamino)[4.3.3]propellan-8-yl] N-(2-methoxy-5-methylphenyl)carbamate (8-anti-4u)
NaBH(OAc)3 (0.3 g, 1.42 mmol) was added to a solution of ketone anti-7 (0.10 g, 0.28 mmol), isobutylamine (25 mg, 0.34 mmol) and acetic acid (16 μL, 0.28 mmol) in 1,2-dichloroethane (5 mL, dried over molecular sieves 4 Å). The mixture was stirred at rt for 6 days. Then NaOH (1 M) was added (pH 8–10), the mixture was extracted with CH2Cl2 (3×) and the combined organic layers were washed with brine (1×), dried (Na2SO4), filtered, the filtrate was concentrated in vacuo and the residue was purified by fc (3 cm, cyclohexane:ethyl acetate:methanol = 5.5:3.5:1, 20 mL, Rf = 0.23, ethyl acetate:methanol = 1:1) to obtain a mixture of diastereoisomeric aminocarbamates anti,anti-4u and anti,syn-4u as yellow oil, yield 0.11 g (92%). C25H38N2O3 (414.6). Exact mass (APCI): m/z = 415.2969 (calcd. 415.2955 for C25H39N2O3 [M+H]+). FT-IR (ATR, film): (ν (cm−1) = 3429 ν N-H), 2927 (νC-H aliphatic), 1724 (ν C=O), 1597 (δN-H). 1H NMR (600 MHz, CDCl3): δ (ppm) = 1.00 (d, J = 6.6 Hz, 3H, NCH2CH(CH3)2), 1.01 (d, J = 6.6 Hz, 3H, NCH2CH(CH3)2), 1.30–1.43 (m, 6H, 2-CH2(1H), 3-CH2, 4-CH2, 5-CH2(1H)), 1.49–1.62 (m, 2H, 2-H, 5-H), 1.70–1.76 (m, 1H, NCH2CH(CH3)2), 1.95–2.23 (m, 8H 7-CH2, 9-CH2, 10-CH2, 12-CH2), 2.28 (s, 3 × 0.5H, CH3), 2.29 (s, 3 × 0.5H, CH3), 2.55 (d, J = 6.9 Hz, 1H, NCH2CH(CH3)2), 2.58 (d, J = 6.9 Hz, 1H, NCH2CH(CH3)2), 3.48–3.54 (m, 0.5H, 11-H), 3.55–3.62 (m, 0.5H, 11-H), 3.82 (s, 1.5H, OCH3), 3.84 (s, 1.5H, OCH3), 5.21 (tt, J = 8.0/5.5 Hz, 0.5H, 8-H), 5.26 (tt, J = 8.4/4.2 Hz, 0.5H, 8-H), 6.71–6.79 (m, 2H, 3-HAr, 4-HAr), 7.14 (s, 1H, NH), 7.91 (s, 1H, 6-HAr). A signal for the NH proton is not seen in the spectrum. Signals for the OH and NH protons are not seen in the spectrum. 13C NMR (150 MHz, CDCl3): δ (ppm) = 21.0, 21.1, 21.1, 21.2 (5C, C-3, C-4, CH3, NCH2CH(CH3)2), 32.6, 33.0 (2C, C-2, C-5), 44.7, 45.3 (5C, C-7, C-9, C-10, C-12, NCH2CH(CH3)2), 49.3, 50.0 (2C, C-1, C-6), 55.9 (2C, OCH3, NCH2CH(CH3)2), 56.8 (0.5C, C-11), 58.2 (0.5C, C-11), 75.7 (0.5C, C-8), 76.3 (0.5C, C-8), 110.1, 119.1, 122.9, 127.6, 130.7, 145.8, 153.6. anti,anti-4u:anti,syn-4u = 1:1. Purity (HPLC): 95.8% (tR = 20.07 min).
5.3.23. [(8-anti-11-anti and 8-anti-11-syn)-11-(Benzylamino)[4.3.3]propellan-8-ol (11-anti-13)
NaBH(OAc)3 (0.33 g, 1.55 mmol) was added to a solution of hydroxyketone anti-11 (0.10 g, 0.52 mmol), benzylamine (72 mg, 0.68 mmol) and acetic acid (30 μL, 0.52 mmol) in 1,2-dichloroethane (5 mL, dried over molecular sieves 4 Å). The mixture was stirred at rt for 8 days. Then NaOH (1 M) was added (pH 8–10), the mixture was extracted with CH2Cl2 (3×) and the combined organic layers were washed with brine (1×), dried (Na2SO4), filtered, the filtrate was concentrated in vacuo and the residue was purified by fc (1 cm, cyclohexane:ethyl acetate:methanol = 5.5:3.5:1, 10 mL, Rf = 0.28) to obtain a mixture of diastereoisomeric aminoalcohols anti,anti-13 and anti,syn-13 as colorless solid, mp 121–123 °C, yield 86 mg (61%). C19H27NO (285.4). MS (ESI): m/z = 286 [M+H]+. Exact mass (APCI): m/z = 286.2145 (calcd.286.2165 for C19H28NO [M+H]+). FT-IR (ATR, film): ν (cm−1) = 3313 (δ O-H), 2931 (ν C-H aliphatic). 1H NMR (600 MHz, CDCl3): δ (ppm) = 1.24–1.40 (m, 6H, 2-CH2(1H), 3-CH2, 4-CH2, 5-CH2(1H)), 1.40–1.45 (m, 2H, 7-H, 9-H, 10-H, 12-H), 1.50–1.62 (m, 2H, 2-CH2(1H), 5-CH2(1H)), 1.96 (dd, J = 13.8/7.1 Hz, 2 × 0.3H, 10-H, 12-H), 2.03–2.16 (m, 4H, 7-H, 9-H, 10-H, 12-H), 2.30–2.36 (m, 2 × 0.3H, 7-H, 9-H), 3.45–3.51 (m, 0.3H, 11-H), 3.60–3.66 (m, 0.7H, 11-H), 3.93 (s, 2 × 0.3H, NCH2Ph), 3.95 (s, 2 × 0.7H, NCH2Ph), 4.32 (tt, J = 7.1/5.3 Hz, 0.7H, 8-H), 4.40 (tt, J = 8.0/4.2 Hz, 0.3H, 8-H), 7.31–7.40 (m, 3H, 3-HPh, 4-HPh, 5-HPh), 7.59 (dd, J = 6.7/1.3 Hz, 2H, 2-HPh, 6-HPh). Signals for the NH and OH protons are not observed in the spectrum 13C NMR (150 MHz, CDCl3): δ (ppm) = 19.5 (2C, C-3, C-4), 32.8 (2C, C-2, C-5), 41.1 (2C, C-10, C-12), 48.9 (2C, C-7, C-9), 49.9 (2C, C-1, C-6), 50.6 (1C, NCH2Ph), 54.4 (0.7C, C-11), 56.0 (0.3C, C-11), 71.6 (0.7C, C-8), 72.6 (0.3C, C-8), 129.0 (1C, C-4Ph), 129.3 (2C, C-3Ph, C-5Ph), 130.5(2C, C-2Ph, C-6Ph). anti,anti-13:anti,syn-13 = 7:3. Purity (HPLC): 93.3% (tR = 13.61, 15.15 min).
5.3.24. [(8-syn-11-syn and 8-syn-11-anti)-11-(Benzylamino)[4.3.3]propellan-8-ol (11-syn-13)
NaBH(OAc)3 (0.33 g, 1.55 mmol) was added to a solution of hydroxyketone syn-11 (0.10 g, 0.52 mmol), benzylamine (72 mg, 0.68 mmol) and acetic acid (30 μL, 0.52 mmol) in 1,2-dichloroethane (5 mL, dried over molecular sieves 4 Å). The mixture was stirred at rt for 8 days. Then NaOH (1 M) was added (pH 8–10), the mixture was extracted with CH2Cl2 (3×) and the combined organic layers were washed with brine (1×), dried (Na2SO4), filtered, the filtrate was concentrated in vacuo and the residue was purified by fc (1 cm, cyclohexane:ethyl acetate:methanol = 5.5:3.5:1, 10 mL, Rf = 0.28) to obtain a mixture of diastereoisomeric aminoalcohols syn,syn-13 and syn,anti-13 as colorless oil, yield 90 mg (64%). C19H27NO (285.4). MS (ESI): m/z = 286 [M+H]+. Exact mass (APCI): m/z = 286.2215 (calcd.286.2165 for C19H28NO [M+H]+). FT-IR (ATR, film): ν (cm−1) = 3290 (ν O-H), 2927 (ν C-H aliphatic). 1H NMR (600 MHz, CDCl3): δ (ppm) = 1.2–61.39 (m, 2H, 3-CH2(1H), 4-CH2(1H)), 1.44–1.61 (m, 6H, 2-CH2, 3-CH2(1H), 4-CH2(1H), 5-CH2), 1.62–1.88 (m, 6H, 7-CH2(1H), 9-CH2(1H), 10-CH2, 12-CH2), 1.93 (dd, J = 13.3/8.3 Hz, 2 × 0.5H, 7-H, 9-H), 2.15 (dd, J = 13.8/7.5 Hz, 2 × 0.5H, 7-H, 9-H), 3.28 (q, J = 8.2 Hz, 0.5H, 11-H), 3.35 (q, J = 8.4 Hz, 0.5H, 11-H), 3.82 (s, 2H, NCH2Ph), 4.33 (tt, J = 7.5/5.5 Hz, 0.5H, 8-H), 4.54 (tt, J = 7.5/5.4 Hz, 0.5H, 8-H), 7.27–7.32 (m, 1H, 4-HPh), 7.32–7.36 (m, 2H, 3-HPh, 5-HPh), 7.39–7.43 (m, 2H, 2-HPh, 6-HPh). Signals for the NH and OH protons are not observed in the spectrum. 13C NMR (150 MHz, CDCl3): δ (ppm) = 20.2, 20.6 (2C, C-3, C-4), 32.1, 33.4 (2C, C-2, C-5), 43.6, 47.9 (4C, C-7, C9, C-10, C-12), 49.3 (2C, C-1, C-6), 51.0 (1C, NCH2Ph), 55.3 (0.5C, C-11), 55.6 (0.5C, C-11), 71.3 (0.5C, C-8), 72.1 (0.5C, C-8), 128.3 (1C, C-4Ph), 128.7, 128.8 (2C, C-3Ph, C-5Ph), 129.3, 129.5 (2C, C-2Ph, C-6Ph), 134.4 (1C, C-1Ph). syn,syn-13:syn,anti-13 = 1:1. Purity (HPLC): 93.1% (tR = 12.42, 13.90 min).
5.3.25. (11′-anti)-Spiro-([1,3]dioxolane-2,8′-(N-benzyl[4.3.3]propellan))-11′-amine (anti-14) and (11′-syn)-spiro-([1,3-dioxolane-2,8′-(N-benzyl[4.3.3]propellan))-11′-amine (syn-14)
Under N2, NaBH(OAc)3 (1.35 g, 6.37 mmol) was added to a solution of monoketal 12 (0.5 g, 2.12 mmol), benzylamine (0.45 g, 4.24 mmol) and acetic acid (0.12 mL, 2.12 mmol) in 1,2-dichloroethane (15 mL, dried over molecular sieves 4 Å). The mixture was stirred at rt for 24 h. Then NaOH (1 M) was added (pH 8–10), the mixture was extracted with CH2Cl2 (3×) and the combined organic layers were washed with brine (1×), dried (Na2SO4), filtered, the filtrate was concentrated in vacuo and the residue was purified by fc (3 cm, cyclohexane:Et2O: NEt3 = 5.5:3.5:1, 20 mL).
syn-14 (Rf = 0.43) Pale yellow oil, yield 0.19 g (28%). C21H29NO2 (327.5). MS (ESI): m/z = 328 [M+H]+. Exact mass (APCI): m/z = 328.2295 (328.2271 calcd. for C21H30NO2 [M+H]+). FT-IR (ATR, film): ν (cm−1) = 2927 (ν C-H aliphatic). 1H NMR (400 MHz, Toluene-d8): δ (ppm) = 1.60–1.65 (m, 4H, 3′-CH2, 4′-CH2,), 1.67–1.83 (m, 6H, 2′-CH2, 5′-CH2, 10′-CH2(1H), 12′-CH2(1H)), 2.11 (d, J = 14.0 Hz, 2H, 7′-H, 9′-H), 2.16–2.24 (m, 4H; 7′-H, 9′-H, 10′-H, 12′-H), 3.49 (tt, J = 8.5/5.6 Hz, 1H, 8′-H), 3.67–3.69 (m, 4H, OCH2CH2O), 3.76 (s, 2H, NCH2Ph), 7.23 (m, 1H, 4-HPh), 7.38 (dd, 2H, J = 8.7/6.4 Hz, 2H, 3-HPh, 5-HPh), 7.49 (m, 2H, 2-HPh, 6-HPh). A signal for the NH proton is not observed in the spectrum. 13C NMR (100 MHz, Toluene-d8): δ (ppm) = 21.9 (2C, C-3′, C-4′), 32.4 (2C, C-2′, C-5′), 44.9 (2C, C-10′, C-12′), 49.2 (2C, C-7′, C-9′), 49.6 (2C, C-1′, C-6′), 53.4 (1C, NCH2Ph), 56.7 (C-11′), 63.9 (1C, C-8′), 64.0 (2C, OCH2CH2O), 105,1 (1C, C-4Ph), 126.9 (2C, C-3Ph, C-5Ph), 128.4 (2C, C-2Ph, C-6Ph), 141.1 (1C, C-1Ph). Purity (HPLC): 83.8% (tR = 15.67 min).
anti-14 (Rf = 0.38) Pale yellow oil, yield 0.21 g (30%). C21H29NO2 (327.5). MS (ESI): m/z = 328 [M+H]+. Exact mass (APCI): m/z = 328.2270 (328.2271 calcd. for C21H30NO2 [M+H]+). FT-IR (ATR, film): ν (cm−1) = 2927 (ν C-H aliphatic). 1H NMR (400 MHz, Toluene-d8): ν (ppm) = 1.39–1.52 (m, 4H, 3′-CH2, 4′-CH2,), 1.55–1.61 (m, 2H, 2′-H, 5′-H), 1.67–1.73 (m, 2H, 2′-H, 5′-H), 1.87 (dd, J = 13.2/6.3 Hz. 2H, 10′-Hanti, 12′-Hanti), 2.05 (dd, J = 13.2/8.5 Hz, 2H, 10′-Hsyn, 12′-Hsyn), 2.26 (d, J = 14.1 Hz, 2H, 7′-H, 9′-H), 2.40 (d, J = 14.1 Hz, 2H, 7′-H, 9′-H), 3.44 (tt, J = 8.3/6.3 Hz, 1H, 11′-H), 3.70 (s, 4H, OCH2CH2O), 3.78 (s, 2H, NCH2Ph), 7.26 (m, 1H, 4-HPh), 7–38 (m, 2H, 3-HPh, 5-HPh), 7.49 (d, 2H, J = 7.6 Hz, 2-HPh, 6-HPh). A signal for the NH proton is not observed in the spectrum. 13C NMR (100 MHz, Toluene-d8): δ (ppm) = 21.9 (2C, C-3′, C-4′), 31.9 (2C, C-2′, C-5′), 45.1 (2C, C-10′, C-12′), 49.4 (2C, C-7′, C-9′), 49.8 (2C, C-1′, C-6′), 53.3 (1C, NCH2Ph), 56.9 (1C, C-11′), 63.9 (1C, C-8′), 64.0 (2C, OCH2CH2O), 117.5 (1C, C-4Ph), 126.9 (2C, C-3Ph, C-5Ph), 128.4 (2C, C-2Ph, C-6Ph), 141.6 (1C, C-1Ph). Purity (HPLC): 98.2% (tR = 16.24 min).
5.3.26. syn- and anti-N-[2-(Indol-3-yl)ethyl]-[4.3.3]propellan-8-amine (15)
Under N2, NaBH(OAc)3 (0.3 g, 1.42 mmol) was added to a solution of monoketone 10 (0.1 g, 0.56 mmol), tryptamine (0.14 g, 8.41 mmol) and acetic acid (0.32 μL, 0.56 mmol) in 1,2-dichloroethane (5 mL, dried over molecular sieves 4 Å). The mixture was stirred at rt for 5 days. Then NaOH (1 M) was added (pH 8–10), the mixture was extracted with CH2Cl2 (3×) and the combined organic layers were washed with brine (1×), dried (Na2SO4), filtered, the filtrate was concentrated in vacuo and the residue was purified by fc (1 cm, cyclohexane:ethyl acetate:methanol = 8:1:1 5 mL, Rf = 0.35) to obtain a mixture of diastereoisomeric amines syn-15 and anti-15 as a brown solid, mp 109–111 °C, yield 60 mg (33%). C22H30N2 (322.5). MS (ESI): m/z = 323 [M+H]+. Exact mass (APCI): m/z = 323.2506 (calcd. 323.2482 for C22H31N2 [M+H]+). FT-IR (ATR, film): ν (cm−1) = 3429 (νN-H), 2927 (ν C-H aliphatic). 1H NMR (600 MHz, CDCl3): δ (ppm) = 1.40–1.90 (m, 8H, 2-CH2, 3-CH2, 4-CH2, 5-CH2), 1.54–1.64 (m, 5H, 10-CH2, 11-CH2(1H), 12-CH2), 1.68–1.71 (m, 3H, 7-CH2(1H), 9-CH2(1H), 11-CH2(1H)), 1.83–1.86 (m, 2 × 0.5H, 7-H, 9-H), 1.89–1.93 (2 × 0.5H, 7-H, 9-H), 2.77 (s, broad, 1H, NH), 3.06–3.10 (m, 2H, NCH2CH2), 3.16–3.19 (m, 2H, NCH2CH2), 3.45 (m, 2 × 0.5H, 8-H), 7.06–7.10 (m, 2H, 5-Hindole, 6-Hindole), 7.15 (s, 1H, 2-Hindole), 7.35 (d, J = 8.1 Hz, 1H, 7-Hindole), 7.56 (d, J = 7.2 Hz, 1H, 4-Hindole), 8.95 (s, broad, 1H, NHindole). 13C NMR (150 MHz, CDCl3): δ (ppm) = 20.5, 20.9 (2C, C-3, C-4), 21.4, 22.3 (2 × 0.5 C, C-11), 23.2 (1C, NCH2CH2), 31.9, 32.6 (2C, C-2, C-5), 37.6, 39.1 (2C, C-10, C-12), 41.9, 42.2 (2C, C-7, C-9), 47.5 (1C, NCH2CH2), 49.9, 50.5 (2C, C-1, C-6), 56.5, 57.5 (2 × 0.5C, C-8), 111.4 (1C, C-3indole), 111.5 (1C, C-7indole), 118.7 (1C, C-4indole), 119.7 (1C, C-5indole), 122.3 (1C, C-2indole), 122.9 (1C, C-6indole), 127.1 (1C, C-3aindole), 136.56 (1C, C-7aindole). syn-15:anti-15 = 1:1. Purity (HPLC): 96.8% (tR = 19.28 min).
5.3.27. syn- and anti-N-(4-(Dimethylaminobenzyl)-[4.3.3]propellan-8-amine (17)
Under N2, NaBH(OAc)3 (89 mg, 0.42 mmol) was added to a solution of propellanamine syn-16/anti-16 (50 mg, 0.28 mmol) and 4-(dimethylamino)benzaldehyde (44 mg, 0.29 mmol) in 1,2-dichloroethane (5 mL, dried over molecular sieves 4 Å). The mixture was stirred at rt for 72 h. Then NaOH (1 M) was added (pH 8–10), the mixture was extracted with CH2Cl2 (3×) and the combined organic layers were washed with brine (1×), dried (Na2SO4), filtered, the filtrate was concentrated in vacuo and the residue was purified by fc (1 cm, cyclohexane:ethyl acetate:methanol = 8:1:1 20 mL, Rf = 0.32) to obtain a mixture of diastereoisomeric amines syn-17 and anti-17 as a yellow solid, mp 89–91 °C, yield 86 mg (98%). C21H32N2 (312.5). MS (ESI): m/z = 313 [M+H]+. Exact mass (APCI): m/z = 313.2673 (calcd. 313.2638 for C21H33N2 [M+H]+). 1H NMR (600 MHz, CDCl3): δ(ppm) = 1.27–1.50 (m, 8H, 2-CH2, 3-CH2, 4-CH2, 5-CH2), 1.54–1.78 (m, 7H, 7-CH2(1H), 9-CH2(1H), 10-CH2, 11-CH2(1H), 12-CH2), 1.79–1.81 (m, 1H, 11-CH2(1H), 1.86 (dd, J = 13.1/8.0 Hz, 2 × 0.5H, 7-H, 9-H), 1.92 (dd, J = 13.1/8.2, 2 × 0.5H, 7-H, 9-H), 2.04 (s, 1H, NH), 2.91 (s, 6H, N(CH3)2), 3.31–3.38 (m, 2 × 0.5H, 8-H), 3.70 (s, 2H, NCH2Ar), 6.69 (d, J = 8.6 Hz, 2H, 3-HAr, 5-HAr), 7.25 (d, J = 8.6 Hz, 2H, 2-HAr, 6-HAr). 13C NMR (150 MHz, CDCl3): δ (ppm) = 20.7, 20.9 (2C, C-3, C-4), 21.2 (1C, C-11), 31.9, 32.6 (2C, C-2, C-5), 37.6, 38.9 (2C, C-10, C-12), 40.6 (2C, N(CH3)2), 43.6, 44.1 (2C, C-7, C-9), 49.9, 50.4 (2C, C-1, C-6), 51.1 (1C, NCH2Ar), 55.0, 55.9 (2 × 0.5C, C-8), 112.5 (2C, C-3Ar, C-5Ar), 129.9 (3C, C-1Ar, C-2Ar, C-6Ar), 150.1 (1C, C-4Ar). syn-17:anti-17 = 1:1. Purity (HPLC): 96.1% (tR = 15.12 min).
5.3.28. syn- and anti-N-Cyclohexylmethyl[4.3.3]propellan-8-amine (18)
Under N2, NaBH(OAc)3 (71 mg, 0.34 mmol) was added to a solution of propellanamine syn-16/anti-16 (30 mg, 0.17 mmol) and cyclohexanecarbaldehyde (15 μL, 0.19 mmol) in 1,2-dichloroethane (5 mL, dried over molecular sieves 4 Å). The mixture was stirred at rt for 12 h. Then NaOH (1 M) was added (pH 8–10), the mixture was extracted with CH2Cl2 (3×) and the combined organic layers were washed with brine (1×), dried (Na2SO4), filtered, the filtrate was concentrated in vacuo and the residue was purified by fc (1 cm, cyclohexane:ethyl acetate:methanol = 8:1:1 20 mL, Rf = 0.53) to obtain a mixture of diastereoisomeric amines syn-18 and anti-18 as a colorless solid, mp 108–111 °C, yield 42 mg (91%). C19H33N (275.5). MS (ESI): m/z = 276 [M+H]+. Exact mass (APCI): m/z = 276.2710 (calcd. 276.2686 for C19H34N [M+H]+). 1H NMR (600 MHz, CDCl3): δ (ppm) = 0.89–0.98 (m, 2H, 2-CH2Cy(1H), 6-CH2Cy(1H), 1.16 (ttd, J = 12.5/3.3/1.2 Hz, 1H, 4-CH2Cy(1H)), 1.21–1.42 (m, 8H, 2-CH2(1H), 3-CH2, 4-CH2, 5-CH2(1H), 3-CH2Cy(1H), 5-CH2Cy(1H)), 1.45–1.87 (m, 16H, 2-CH2(1H), 5-CH2(1H), 7-CH2(1H), 9-CH2(1H), 10-CH2, 11-CH2, 12-CH2, 1-HCy, 2-CH2Cy(1H), 3-CH2Cy(1H), 4-CH2Cy(1H), 5-CH2Cy(1H), 6-CH2Cy(1H)), 1.89 (dd, J = 13.1/8.0 Hz, 2 × 0.5H, 7-H, 9-H), 1.96 (dd, J = 13.1/8.3 Hz, 2 × 0.5H, 7-H, 9-H), 2.57 (dd, J = 6.8/1.5 Hz, 2H, NCH2Cy), 3.37–3.45 (m, 2 × 0.5 H, 8-H). A signal for the NH proton is not seen in the spectrum. 13C NMR (150 MHz, CDCl3): δ (ppm) = 20.5, 20.9 (2C, C-3, C-4), 21.5, 22.5 (2 × 0.5C, C-11), 25.8 (2C, C-3Cy, C-5Cy), 26.4 (1C, C-4Cy), 31.5 (2C, C-2Cy, C-6Cy), 32.1, 32.8 (2C, C-2, C-5), 36.0, 36.1 (2 × 0.5C, C-1Cy), 37.8, 39.5 (2C, C-10, C-12), 42.9, 43.4 (2C, C-7, C-9), 49.8, 50.4 (2C, C-1, C-6), 54.2 (1C, NCH2Cy), 56.9, 57.8 (2 × 0.5C, C-8). ). syn-18:anti-18 = 1:1. Purity (LC-MS): 97.4% (tR = 6.957 min).
5.3.29. 11-syn-11-Benzylamino[4.3.3]propellan-11-one (syn-20) and 11-anti-11-Benzylamino[4.3.3]propellan-8-one (anti-20)
Under N2, NaBH(OAc)3 (4.40 g, 20.8 mmol) was added to a solution of diketone 19 (2.0 g, 10.4 mmol), benzylamine (1.34 g, 12.5 mmol) and acetic acid (0.60 mL, 10.40 mmol) in 1,2-dichloroethane (30 mL, dried over molecular sieves 4 Å). The mixture was stirred at rt for 96 h. Then NaOH (1 M) was added (pH 8–10), the mixture was extracted with CH2Cl2 (3×) and the combined organic layers were washed with brine (1×), dried (Na2SO4), filtered, the filtrate was concentrated in vacuo and the residue was purified by fc (5 cm, cyclohexane:ethyl acetate: NEt3 = 6.95:2.95:0.1 to 2.95:6.95:0.1, 20 mL).
syn-20 (Rf = 0.29, cyclohexane: ethyl acetate: NEt3 = 69.5:29.5:1) Pale yellow solid, mp 77–79 °C, yield 0.46 g (16%). C19H25NO (283.4). Exact mass (APCI): m/z = 284.1973 (calcd. 284.2009 for C19H26NO [M+H]+). FT-IR (ATR, film): ν (cm−1) = 2927 (ν C-H aliphatic), 1724 (ν C=O). 1H NMR (400 MHz, CDCl3): δ (ppm) = 1.31–1.39 (m, 4H, 3-CH2, 4-CH2), 1.44–1.50 (m, 2H, 2-CH2(1H), 5-CH2(1H)), 1.61–1.66 (m, 2H, 2-CH2(1H), 5-CH2(1H)), 1.71 (dd, J = 13.7/5.6 Hz, 2H, 10-Hsyn, 12-Hsyn), 1.89 (dd, J = 13.7/8.6 Hz, 2H, 10-Hanti, 12-Hanti), 2.06 (d, J = 19.1 Hz, 2H, 7-Hanti, 9-Hanti), 2.18 (d, J = 19.1 Hz, 2H, 7-Hsyn, 9-Hsyn), 3.37 (tt, J = 8.6/5.6 Hz, 1H, 11-H), 3.67 (s, 2H, NCH2Ph), 7.16–7.20 (m, 1H, 4-HPh), 7.23–7.28 (m, 4H, 2-HPh, 3-HPh, 5-HPh, 6-HPh). A signal for the NH proton is not observed in the spectrum. 13C NMR (100 MHz, CDCl3): δ (ppm) =21.9 (2C, C-3, C-4), 32.7 (2C, C-2, C-5), 44.5 (2C, C-10, C-12), 47.8 (2C, C-1, C-6), 50.0 (2C, C-7, C-9), 53.1 (1C, NCH2Ph), 56.1 (1C, C-11), 127.2 (1C, C-4Ph), 128.4 (2C, C-3Ph, C-5Ph), 128.7 (2C, C-2Ph, C-6Ph), 140.5 (1C, C-1Ph), 219.7 (1C, C=O). Purity (HPLC): 74.7% (tR = 13.83 min).
anti-20 (Rf = 0.19, cyclohexane:ethyl acetate: NEt3 = 6.95:2.95:0.1) Pale yellow oil, yield 0.24 g (9%). C19H25NO (283.4). Exact mass (APCI): m/z = 284.2069 (calcd. 284.2009 for C19H26NO [M+H]+ ). FT-IR (ATR, film): ν (cm−1) = 2927 (ν C-H aliphatic), 1724 (δ C=O). 1H NMR (400 MHz, CDCl3): δ (ppm) = 1.31–1.50 (m, 8H, 2-CH2, 3-CH2, 4-CH2, 5-CH2), 1.54 (dd, J = 13.6/5.9 Hz, 2H, 10-Hanti, 12-Hanti), 2.16 (dd, J = 13.6/8.5 Hz, 2H, 10-Hsyn, 12-Hsyn), 2.27 (d, J = 19.5 Hz, 2H, 7-Hsyn, 9-Hsyn), 2.44 (d, J = 19.5 Hz, 2H, 7-Hanti, 9-Hanti), 3.51 (tt, J = 8.5/5.9 Hz, 1H, 11-H), 3.70 (s, 2H, NCH2Ph), 7.22–7.33 (m 5H, Ph). A signal for the NH proton is not observed in the spectrum. 13C NMR (100 MHz, CDCl3): δ (ppm) = 21.6 (2C, C-3, C-4), 32.2 (2C, C-2, C-5), 44.7 (2C, C-10, C-12), 47.9 (2C, C-1, C-6), 50.6 (2C, C-7, C-9), 52.9 (1C, NCH2Ph), 56.3 (1C, C-11), 127.1 (1C, C-4Ph), 128.3 (2C, C-3Ph, C-5Ph), 128.5 (2C, C-2Ph, C-6Ph), 140.5 (1C, C-1Ph), 219.9 (1C, C=O). Purity (HPLC): 73.8% (tR = 14.05 min).
5.3.30. 1 -Benzyl-3-(2-methoxy-5-methylphenyl)-1-(syn-11-oxo-[4.3.3]propellan-8-yl)urea (syn-21)
According to the General Procedure A, amine syn-20 (0.20 g, 0.70 mmol), 2-methoxy-5-methylphenyl isocyanate (0.14 g, 0.84 mmol) and Bu2Sn(OAc)2 (26 mg, 0.07 mmol) were dissolved in THF (15 mL) and the mixture was stirred at rt for 18 h. The crude product was purified by fc (3 cm, cyclohexane:ethyl acetate = 7:3, 20 mL, Rf = 0.44). Colorless solid, mp 168–170 °C, yield 0.22 g (70%). C28H34N2O3 (446.3). Exact mass (APCI): m/z = 447.2666 (calcd. 447.2642 for C28H35N2O3 [M+H]+). FT-IR (ATR, film): ν (cm−1) = 3390 (ν N-H), 2927 (ν C-H aliphatic), 1732 (ν C=O ketone), 1658 (νC=O urea), 1597 (δ N-H). 1H NMR (400 MHz, CDCl3): δ (ppm) = 1.38–1.51 (m, 6H, 2-CH2(1H), 3-CH2, 4-CH2, 5-CH2(1H)), 1.57–1.66 (m, 2H, 2-CH2(1H), 5-CH2(1H)), 1.92 (dd, J = 13.8/9.1 Hz, 2H, 7-H, 9-H), 2.03 (dd, J = 13.8/9.3 Hz, 2H, 7-H, 9-H), 2.25 (s, 3H, CH3), 2.28 (d, J = 18.4 Hz, 2H, 10-H, 12-H), 2.33 (d, J = 18.4 Hz, 2H, 10-H, 12-H), 3.46 (s, 3H, OCH3), 4.60 (s, 2H, NCH2Ph), 5.33 (p, J = 9.2 Hz, 1H, 8-H), 6.59 (d, J = 8.2 Hz, 1H, 3-HAr), 6.68 (dd, J = 8.2/2.1 Hz, 1H, 4-HAr), 6.95 (s, 1H, NH), 7.31–7.44 (m, 5H, Ph), 7.97 (d, J = 2.1 Hz, 1H, 6-HAr). 13C NMR (100 MHz, CDCl3): δ (ppm) = 21.1 (1C, CH3), 21.8 (2C, C-3, C-4), 33.4 (2C, C-2, C-5), 40.8 (2C, C-7, C-9), 46.4 (2C, C-1, C-6), 47.5 (1C, NCH2Ph), 50.0 (2C, C-10, C-12), 53.8 (1C, C-8), 55.8 (1C, OCH3), 109.9 (1C, C-3Ar), 119.7 (1C, C-6Ar), 122.2 (1C, C-4Ar), 126.5 (1C, C-4Ph), 127.9 (4C, C-2Ph, C-3Ph, C-5Ph, C-6Ph), 128.8 (1C, C-1Ar), 130.7 (1C, C-5Ar), 137.7 (1C, C-1Ph), 145.7 (1C, C-2Ar), 156.1 (1C,C=O urea), 218.6 (1C,C=O ketone). Purity (HPLC): 95.0% (tR = 22.67 min).
5.3.31. 1 -Benzyl-3-(2-methoxy-5-methylphenyl)-1-(anti-11-oxo-[4.3.3]propellan-8-yl)urea (anti-21)
According to the General Procedure A, amine anti-20 (0.22 g, 0.78 mmol), 2-methoxy-5-methylphenyl isocyanate (0.15 g, 0.94 mmol) and Bu2Sn(OAc)2 (27 mg, 0.08 mmol) were dissolved in THF (20 mL) and the mixture was stirred at rt for 18 h. The crude product was purified by fc (3 cm, cyclohexane:ethyl acetate = 7:3, 20 mL, Rf = 0.40). Pale yellow solid, mp 133–136 °C, yield 0.28 g (82%). C28H34N2O3 (446.3). Exact mass (APCI): m/z = 447.2639 (calcd. 447.2642 for C28H35N2O3 [M+H]+). FT-IR (ATR, film): ν (cm−1) = 3425 (ν N-H), 2935 (ν C-H aliphatic), 1735 (νC=O ketone), 1654 (ν C=O urea), 1597 (δ N-H). 1H NMR (400 MHz, CDCl3): δ (ppm) = 1.35–1.52 (m, 6H, 2-CH2(1H), 3-CH2, 4-CH2, 5-CH2(1H)), 1.58–1.66 (m, 2H, 2-CH2(1H), 5-CH2(1H)), 1.81 (dd, J = 13.5/9.6 Hz, 2H, 7-Hanti, 9-Hanti), 2.15 (dd, J = 13.5/9.1 Hz, 2H, 7-Hsyn, 9-Hsyn), 2.26 (s, 3H, CH3), 2.32 (s, 4H, 10-CH2, 12-CH2), 3.45 (s, 3H, OCH3), 4.51 (s, 2H, NCH2Ph), 5.33 (q, J = 9.4 Hz, 1H, 8-H), 6.59 (d, J = 8.2 Hz, 1H, 3-HAr), 6.68 (dd, J = 8.2/1.6 Hz, 1H, 4-HAr), 6.94 (s, 1H, NH), 7.29–7.43 (m, 5H, Ph), 7.97 (d, J = 2.1 Hz, 1H, 6-HAr). 13C NMR (100 MHz, CDCl3): δ (ppm) = 21.2 (1C, CH3), 21.5 (2C, C-3, C-4), 32.7 (2C, C-2, C-5), 41.1 (2C, C-7, C-9), 46.7 (2C, C-1, C-6), 48.2 (1C, NCH2Ph), 51.1 (2C, C-10, C-12), 55.2 (1C, C-8), 55.9 (1C, OCH3), 110.0 (1C, C-3Ar), 119.7 (1C, C-6Ar), 122.3 (1C, C-4Ar), 126.5 (1C, C-4Ph), 128.0 9 (4C, C-2Ph, C-3Ph, C-5Ph, C-6Ph), 128.9 (1C, C-1Ar), 129.3, 130.8 (1C, C-5Ar), 137.4 (1C, C-1Ph), 145.8 (1C, C-2Ar), 156.1 (1C,C=O urea), 219.1 (1C,C=O ketone). Purity (HPLC): 80.8% (tR = 22.66 min).
5.3.32. 1 -Benzyl-1-{(8-syn,11-anti)-11-hydroxy[4.3.3]propellan-8-yl}-3-(2-methoxy-5-methylphenyl)urea (syn,anti-22) and 1-benzyl-1-{(8-syn,11-syn)-11-hydroxy[4.3.3]propellan-8-yl}-3-(2-methoxy-5-methylphenyl)urea (syn,syn-22)
NaBH4 (30 mg, 0.79 mmol) was added to a solution of the ketone syn-21 (0.35 g, 0.78 mmol) in a mixture of THF and methanol (9:1, 15 mL). The mixture was stirred at rt for 30 min, then water (1 mL) was added and stirred for additional 10 min. After evaporation of the organic solvent under vacuum, ethyl acetate (10 mL) was added. The mixture was washed with NaOH (1 M, 5 mL) and brine (5 mL), filtered, the filtrate was concentrated in vacuo and the residue was purified by fc (4 cm, petroleum ether:ethyl acetate = 8:2 to 6.5:3.5, 20 mL).
syn,anti-22 (Rf = 0.38, cyclohexane:ethyl acetate = 7:3): Colorless solid, mp 177–179 °C, yield 0.15 g (43%). C28H36N2O3 (448.6). Exact mass (APCI): m/z = 449.2870 (calcd. 449.2799 for C28H37N2O3 [M+H]+ ). FT-IR (ATR, film): ν (cm−1) = 3383 (ν O-H), 2927 (ν C-H aliphatic), 1639 (ν C=Ourea), 1535 (δN-H). 1H NMR (400 MHz, CDCl3): 1.34–1.44 (m, 8H, 2-CH2, 3-CH2, 4-CH2, 5-CH2), 1.67–1.73 (m, 4H, 7-Hanti, 9-Hanti, 10-Hanti, 12-Hanti), 1.88 (dd, J = 12.9/7.4 Hz, 2H, 7-Hsyn, 9-Hsyn), 2.02 (dd, J = 13.6/7.0 Hz, 2H, 10-Hsyn, 12-Hsyn), 2.26 (s, 3H, CH3), 3.52 (s, 3H, OCH3), 4.34 (tt, J = 7.0/5,9 Hz, 1H, 11-H), 4.56 (s, 2H, NCH2Ph), 5.17 (tt, J = 10.9/7.4 Hz, 1H, 8-H), 6.61 (d, J = 8.2 Hz, 1H, 3-HAr), 6.68 (ddd, J = 8.2/2.1/0.8 Hz, 1H, 4-HAr), 7.06 (s, broad, 1H, NH), 7.26–7.40 (m, 5H, Ph), 8.04 (d, J = 2.1 Hz, 1H, 6-HAr). 13C NMR (100 MHz, CDCl3): δ (ppm) = 18.7 (1C, CH3), 21.2 (2C, C-3, C-4), 32.9 (2C, C-2, C-5), 41.2 (2C, C-7, C-9), 46.8 (1C, NCH2Ph), 47.3 (2C, C-1, C-6), 50.2 (2C, C-10, C-12), 52.7(1C, C-8), 55.8 (1C, OCH3), 71.8 (1C, C-11), 109.9 (1C, C-3Ar), 119.6 (1C, C-6Ar), 122.0 (1C, C-4Ar), 126.6 (1C, C-4Ph), 127.5 (2C, C-3Ph, C-5Ph), 128.9 (2C, C-2Ph, C-6Ph), 129.0(1C, C-1Ar), 130.7 (1C, C-5Ar), 138.5 (1C, C-1Ph), 145.7 (1C, C-2Ar), 156.1 (1C, C=O). Purity (HPLC): 94.9% (tR = 22.69 min).
syn,syn-22 (Rf = 0.36, cyclohexane:ethyl acetate = 7:3): Pale yellow solid, mp 148–151 °C, yield 0.10 g (28%). C28H36N2O3 (448.6). Exact mass (APCI): m/z = 449.2770 (calcd. 449.2799 for C28H37N2O3 [M+H]+). FT-IR (ATR, film): ν (cm−1) = 3437 (ν O-H), 2931 (ν C-H aliphatic), 1643 (ν C=Ourea), 1535 (δ N-H). 1H NMR (400 MHz, CDCl3): δ (ppm) = 1.39–1.51 (m, 8H, 2-CH2, 3-CH2, 4-CH2, 5-CH2), 1.62–1.82 (m, 6H, 7-CH2, 9-CH2, 10-Hsyn, 12-Hsyn), 2.03 (dd, J = 13.9/7.0 Hz, 2H, 10-Hanti, 12-Hanti), 2.25 (s, 3H, CH3), 3.48 (s, 3H, OCH3), 4.51 (s, 2H, NCH2Ph), 4.54 (tt, J = 7.1/6.2, Hz, 1H, 11-H), 5.01 (tt, J = 10.6/7.9 Hz, 1H, 8-H), 6.59 (d, J = 8.2 Hz, 1H, 3-HAr), 6.68 (dd, J = 8.2, 2.1 Hz, 1H, 4-HAr), 7.05 (s, broad, 1H, NH), 7.27–7.42 (m, 5H, Ph), 7.99 (d, J = 2.1 Hz, 1H, 6-HAr). 13C NMR (100 MHz, CDCl3): δ (ppm) = 20.1 (1C, CH3), 21.1 (2C; C-3, C-4), 34.0 (2C, C-2, C-5), 42.3 (2C, C-7, C-9), 48.0 (2C, C-1, C-6), 46.9 (1C, NCH2Ph) 49.4 (2C, C-10, C-12), 53.6 (1C, C-8), 55.8 (1C, OCH3), 72.6 (1C, C-11), 109.9 (1C, C-3Ar), 119.7 (1C, C-6Ar), 122.2 (1C, C-4Ar), 126.7 (1C, C-4Ph), 127.8 (2C, C-3Ph, C-5Ph), 128.8 (2C, C-2Ph, C-6Ph), 129.0 (1C, C-1Ar), 130.7 (1C, C-5Ar), 137.8 (1C, C-1Ph), 145.8 (1C, C-2Ar), 156.0 (1C, C=O). Purity (HPLC): 97.7% (tR = 22.15 min).
5.3.33. 1 -Benzyl-1-{(8-anti,11-anti)-11-hydroxy[4.3.3]propellan-8-yl}-3-(2-methoxy-5-methylphenyl)urea (anti,anti-22) and 1-benzyl-1-{(8-anti,11-syn)-11-hydroxy[4.3.3]propellan-8-yl}-3-(2-methoxy-5-methylphenyl)urea (anti,syn-22)
NaBH4 (9 mg, 0.24 mmol) was added to a solution of the ketone anti-21 (0.15 g, 0.23 mmol) in a mixture of THF and methanol (9:1, 15 mL). The mixture was stirred at rt for 30 min, then water (1 mL) was added and stirred for additional 10 min. After evaporation of the organic solvent under vacuum, ethyl acetate (10 mL) was added. The mixture was washed with NaOH (1 M, 5 mL) and brine (5 mL), filtered, the filtrate was concentrated in vacuo and the residue was purified by fc (4 cm, petroleum ether:ethyl acetate = 8:2 to 6.5:3.5, 20 mL).
anti,anti-22 (Rf = 0.23, cyclohexane:ethyl acetate = 7:3): Colorless solid, mp 126–128 °C, yield 50 mg (33%). C28H36N2O3 (448.6). Exact mass (APCI): m/z = 449.2793 (calcd. 449.2799 for C28H37N2O3 [M+H]+ ). FT-IR (ATR, film): ν (cm−1) = 3394 (νO-H), 2924 (νC-H aliphatic), 1635 (ν C=Ourea), 1535 (δ N-H). 1H NMR (400 MHz, CDCl3): δ (ppm) = 1.24–1.54 (m, 8H, 2-CH2, 3-CH2, 4-CH2, 5-CH2), 1.67 (dd, J = 14.0/4.6 Hz, 2H, 10-Hanti, 12-Hanti), 1.95 (m, 4H, 7-CH2, 9-CH2), 2.07 (dd, J = 14.0/7.6 Hz, 2H, 10-Hsyn, 12-Hsyn), 2.25 (s, 3H, CH3), 3.45 (s, 3H, OCH3), 4.46 (tt, J = 7.6/4.6 Hz, 1H, 11-H), 4.57 (s, 2H, NCH2Ph), 5.25 (p, J = 9.5 Hz, 1H, 8-H), 6.58 (d, J = 8.2 Hz, 1H, 3-HAr), 6.66 (dd, J = 7.9/1.3 Hz, 1H, 4-HAr), 6.96 (s, 1H, NH), 7.26–7.40 (m, 5H, Ph), 8.01 (d, J = 2.1 Hz, 1H, 6-HAr). 13C NMR (100 MHz, CDCl3): δ (ppm) = 20.8 (1C, CH3), 21.1 (2C, C-3, C-4), 33.1 (2C, C-2, C-5), 43.1 (2C, C-7, C-9), 46.9 (1C, NCH2Ph), 48.4 (2C, C-10, C-12), 49.3 (2C, C-1, C-6), 55.0 (1C, C-8), 55.8 (1C, OCH3), 73.3 (1C, C-11), 109.9 (1C, C-3Ar), 119.6 (1C, C-6Ar), 122.0 (1C, C-4Ar), 126.6 (1C, C-4Ph), 127.6 (2C, C-3Ph, C-5Ph), 129.0 (2C, C-2Ph, C-6Ph), 129.1 (1C, C-1Ar), 130.7 (1C, C-5Ar), 138.1 (1C, C-1Ph), 145.7 (1C, C-2Ar), 156.1 (1C, C=O). Purity (HPLC): 95.5% (tR = 21.94 min).
anti,syn-22 (Rf = 0.26, cyclohexane:ethyl acetate = 7:3): Pale yellow solid, mp 149–151 °C, yield 58 mg (38%). C28H36N2O3 (448.6). Exact mass (APCI): m/z = 449.2782 (calcd. 449.2799 for C28H37N2O3 [M+H]+ ). FT-IR (ATR, film): ν (cm−1) = 3379 (ν O-H), 2927 (ν C-H aliphatic), 1643 (ν C=Ourea), 1531 (δ N-H). 1H NMR (400 MHz, CDCl3): δ (ppm) = 1.46–1.56 (m, 8H, 2-CH2, 3-CH2, 4-CH2, 5-CH2), 1.59 (dd, J = 12.9/10.9 Hz, 2H, 7-Hanti, 9-Hanti), 1.69 (dd, J = 13.5/6.4 Hz, 2H, 10-Hsyn, 12-Hsyn), 1.89 (d, J = 13.0/8.0 Hz, 2H, 7-Hsyn, 9-Hsyn), 1.94 (dd, J = 13.5/7.2 Hz, 2H, 10-Hanti, 12-Hanti), 2.25 (m, 3H, CH3), 3.47 (s, 3H, OCH3), 4.39 (p, J = 6.9 Hz, 1H, 11-H), 4.50 (s, 2H, NCH2Ph), 5.08 (tt, J = 10.7/7.9 Hz, 1H, 8-H), 6.59 (d, J = 8.2 Hz, 1H, 3-HAr), 6.67 (ddd, J = 8.2/2.1/0.8 Hz, 1H, 4-HAr), 6.97 (s, broad, 1H, NH), 7.27–7.41 (m, 5H, Ph), 8.00 (d, J = 2.0 Hz, 1H, 6-HAr). 13C NMR (100 MHz, CDCl3): δ (ppm) = 19.6 (1C, CH3), 21.1 (2C, C-3, C-4), 32.3 (2C, C-2, C-5), 43.7 (2C, C-7, C-9), 46.7 (1C, NCH2Ph), 47.6 (2C, C-10, C-12), 47.9 (2C, C-1, C-6), 53.9 (1C, C-8), 55.8 (1C, OCH3), 71.5 (1C, C-11), 109.9 (1C, C-3Ar), 119.6 (1C, C-6Ar), 122.0 (1C, C-4Ar), 126.5 (1C, C-4Ph), 127.7 (2C, C-3Ph, C-5Ph), 128.9 (2C, C-2Ph, C-6Ph), 129.0 (1C, C-1Ar), 130.7(1C, C-5Ar), 138.1(1C, C-1Ph), 145.7 (1C, C-2Ar), 156.1 (1C,C=O). Purity (HPLC): 93.5% (tR = 21.57 min).
5.3.34. 1 -Phenyl-3-(syn- and anti-[4.3.3]propellan-8-yl)urea (23a)
According to General Procedure A, propellanamine 16 (90 mg, 0.50 mmol), phenyl isocyanate (72 mg, 0.6 mmol) and Bu2Sn(OAc)2 (35 mg, 0.1 mmol) were dissolved in THF (5 mL) and the mixture was stirred at rt for 30 h. The crude product was purified by fc (1 cm, cyclohexane:ethyl acetate = 8:2, 5 mL, Rf = 0.36) to obtain a mixture of diastereoisomeric urea syn-23a and anti-23a as a brown solid, mp 134–138 °C, yield 30 mg (22%). C19H26N2O (298.4). MS (ESI): m/z = 299 [M+H]+. Exact mass (APCI): m/z = 299.2131 (calcd. 299.2118 for C19H27N2O [M+H]+). FT-IR (ATR, film): ν (cm−1) = 3429 (ν N-H), 2927 (ν C-H aliphatic), 1647 (ν C=O), 1597 (δN-H). 1H NMR (600 MHz, CDCl3): δ (ppm) = 1.30–1.35 (m, 4H, 2-CH2, 5-CH2), 1.37–1.44 (m, 5H, 3-CH2, 4-CH2, 7-CH2(0.5H), 9-CH2(0.5H)), 1.48 (dd, J = 13.3/7.3 Hz, 2 × 0.5H, 7-H, 9-H), 1.51–1.54 (m, 2H, 10-CH2(1H), 12-CH2(1H)), 1.57–1.66 (m, 3H, 10-CH2(1H), 11-CH2(1H), 12-CH2(1H)), 1.68–1.75 (m, 1H, 11-CH2(1H)), 2.03 (dd, J = 13.4/8.3 Hz, 2 × 0.5H, 7-H, 9-H), 2.11 (dd, J = 13.4/8.7 Hz, 2 × 0.5H, 7-H, 9-H), 4.25–4.31 (m, 2 × 0.5H, 8-H), 7.07–7.16 (m, 1H, 4-Hphenyl), 7.26–7.28 (m, 2H, 3Hphenyl, 5-Hphenyl), 7.29–7.33 (M, 2H, 2-Hphenyl, 6-Hphenyl). Signals for the NH protons are not observed in the spectrum. 13C NMR (150 MHz, CDCl3): δ (ppm) = 20.8, 21.0 (2C, C-3, C-4), 21.2, 21.9 (2 × 0.5C, C-11), 31.7, 32.5 (2C, C-2, C-5), 37.6, 38.5 (2C, C-10, C-12), 46.0, 45.5 (2C, C-7, C-9), 49.4 (2C, C-1, C-6), 50.1, 50.7 (2 × 0.5C, C-8), 120.8, 121,7 (2C, C-3phenyl, C-5phenyl), 129.2 (1C, C-4phenyl), 129.6, 129.9 (2C, C-2phenyl, C-6phenyl), 137.3 (1C, C-1phenyl), 156.3 (1C, C=O). syn-23a:anti-23a = 1:1. Purity (HPLC): 97.4% (tR = 21.03 min).
5.3.35. 1 -Cyclohexyl-3-(syn- and anti-[4.3.3]propellan-8-yl)urea (23b)
According to General Procedure A, propellanamine 16 (90 mg, 0.50 mmol), cyclohexyl isocyanate (75 mg, 0.6 mmol) and Bu2Sn(OAc)2 (35 mg, 0.1 mmol) were dissolved in THF (5 mL) and the mixture was stirred at rt for 24 h. The crude product was purified by fc (1 cm, cyclohexane:ethyl acetate = 7:3, 5 mL, Rf = 0.40) to obtain a mixture of diastereoisomeric urea syn-23b and anti-23b as a colorless solid, mp 187–193 °C, yield 73 mg (47%). C19H32N2O (304.5). MS (ESI): m/z = 305 [M+H]+. Exact mass (APCI): m/z = 305.2587 (calcd. 305.2587 for C19H27N2O [M+H]+). FT-IR (ATR, film): ν (cm−1) = 3302 (ν N-H), 2924 (ν C-H aliphatic), 1616 (ν C=O), 1558 (δ N-H). 1H NMR (600 MHz, CDCl3): δ (ppm) = 1.10–1.18 (m, 2H, 2-CH2Cy(1H), 6-CH2Cy(1H)), 1.31–1.44 (m, 11H, 2-CH2, 3-CH2, 4-CH2, 5-CH2, 7-CH2(0.5H), 9-CH2(0.5H), 4-CH2Cy), 1.48 (d, J = 13.5/7.0 Hz, 2 × 0.5 H, 7-H, 9-H), 1.51–1.65 (m, 7H, 10-CH2, 11-CH2(1H), 12-CH2, 3-CH2Cy(1H), 5-CH2Cy(1H)), 1.68–176 (m, 3H, 11-CH2(1H), 3-CH2Cy(1H), 5-CH2Cy(1H)), 1.92 (m, 2H, 2-CH2Cy(1H), 6-CH2Cy(1H)) 2.00 (dd, J = 13.3/8.4 Hz, 2 × 0.5H, 7-H, 9-H), 2.08 (dd, J = 13.3/8.6 Hz, 2 × 0.5H, 7-H, 9-H), 3.51 (tt, J = 9.3/4.8 Hz, 2 × 0.5H, 1-HCy), 4.09–4.15 (m, 2 × 0.5H, 8-H). Signals for the NH protons are not observed in the spectrum. 13C NMR (150 MHz, CDCl3): δ (ppm) = 20.8, 20.9 (2C, C-3, C-4), 21.6 (1C, C-11), 24.8, 25.5 (2C, C-3Cy, C-5Cy), 26.9 (1C, C-4Cy), 31.9, 32.3 (2C, C-2, C-5), 33.8 (2C, C-2Cy, C-6Cy), 37.9, 38.2 (2C, C-10, C-12), 45.5, 46.0 (2C, C-7, C-9), 49.8 (1C, C-1Cy), 50.0 (1C, C-8), 50.5 (2C, C-1, C-6), 157.3 (1C, C=O). syn-23b:anti-23b = 1:1. Purity (HPLC): 98.3% (tR = 21.62 min).
5.3.36. 1 -(2-Methoxy-5-methylphenyl)-3-(syn- and anti-[4.3.3]propellan-8-yl)urea (23c)
According to General Procedure A, propellanamine 16 (90 mg, 0.50 mmol), 2-methoxy-5-methylphenyl isocyanate (98 mg, 0.6 mmol) and Bu2Sn(OAc)2 (35 mg, 0.1 mmol) were dissolved in THF (5 mL) and the mixture was stirred at rt for 30 h. The crude product was purified by fc (1 cm, cyclohexane:ethyl acetate = 7:3, 5 mL, Rf = 0.55) to obtain a mixture of diastereoisomeric urea syn-23c and anti-23c as a beige solid, mp 215–220 °C, yield 160 mg (91%). C21H30N2O2 (342.5). MS (ESI): m/z = 343 [M+H]+. Exact mass (APCI): m/z = 343.2387 (calcd. 343.2380 for C21H31N2O2 [M+H]+). FT-IR (ATR, film): ν (cm−1) = 3332 (ν N-H), 2927 (νC-H aliphatic), 1639 (ν C=O), 1546 (δ N-H). 1H NMR (600 MHz, CDCl3): δ(ppm) = 1.32–1.46 (m, 9H, 2-CH2, 3-CH2, 4-CH2, 5-CH2, 7-CH2(0.5H), 9-CH2(0.5H)), 1.45 (dd, J = 13.3/7.3 Hz, 2 × 0.5H, 7-H, 9-H), 1.53–1.74 (m, 6H, 10-CH2, 11-CH2, 12-CH2), 2.06 (dd, J = 13.3/8.4 Hz, 2 × 0.5H, 7-H, 9-H), 2.14 (dd, J = 13.3/8.6 Hz, 2 × 0.5H, 7-H, 9-H), 2.27 (s, 3H, CH3), 3.81 (s, 3H, OCH3), 4.28–4.31 (m, 2 × 0.5H, 8-H), 6.72 (d, J = 8.2 Hz, 1H, 3-HAr), 6.76 (d, J = 8.0 Hz, 1H, 4-HAr), 6.80 (s, broad, 1H, NH), 7.90 (s, 1H, 6-HAr). 13C NMR (150 MHz, CDCl3): δ (ppm) = 20.9, 21.1 (2C, C-3, C-4), 21.1 (1C, CH3), 21.2, 21.9 (2 × 0.5C, C-11), 31.8, 32.5 (2C, C-2, C-5), 37.6, 38.6 (2C, C-10, C-12), 45.6, 46.2 (2C, C-7, C-9), 49.2, 49.9 (2 × 0.5C, C-8), 50.1, 50.6 (2C, C-1, C-6), 55.9 (1C, OCH3), 110.1 (1C, C-3Ar), 120.2 (1C, C-6Ar), 122.5 (1C, C-4Ar), 128.6 (1C, C-1Ar), 130.9 (1C, C-5Ar), 146.0 (1C, C-2Ar), 155.2 (1C,C=O). syn-23c:anti-23c = 1:1. Purity (HPLC): 93.8% (tR = 22.21 min).
5.3.37. 1 -(3,4-Difluorophenyl)-3-(syn- and anti-[4.3.3]propellan-8-yl)urea (23d)
According to the General Procedure A, propellanamine 16 (90 mg, 0.50 mmol), 3,4-difluorophenyl isocyanate (93 mg, 0.6 mmol) and Bu2Sn(OAc)2 (35 mg, 0.1 mmol) were dissolved in THF (5 mL) and the mixture was stirred at rt for 48 h. The crude product was purified by fc (1 cm, cyclohexane:ethyl acetate = 7:3, 5 mL, Rf = 0.56) to obtain a mixture of diastereoisomeric urea syn-23d and anti-23d as a pale orange solid, mp 168–175 °C, yield 100 mg (63%). C19H24F2N2O (334.4). MS (ESI): m/z = 335 [M+H]+. Exact mass (APCI): m/z = 335.1932 (calcd. 335.1929 for C19H25F2N2O [M+H]+ ). FT-IR (ATR, film): ν (cm−1) = 3325 (ν N-H), 2927 (ν C-H aliphatic), 1643 (ν C=O), 1558 (δ N-H). 1H NMR (600 MHz, CDCl3): δ(ppm) = 1.27–1.43 (m, 9H, 2-CH2, 3-CH2, 4-CH2, 5-CH2, 7-CH2(0.5H), 9-CH2(0.5)), 1.45–1.64 (m, 6H, 7-CH2(0.5H), 9-CH2(0.5H), 10-CH2, 11-CH2(1H), 12-CH2), 1.67.172 (m, 1H, 11-CH2(1H)), 2.01 (dd, J = 13.4/8.4 Hz, 2 × 0.5H, 7-H, 9-H), 2.08 (dd, J = 13.8/8.7 Hz, 2 × 0.5H, 7-H, 9-H), 4.22–4.27 (m, 2 × 0.5H, 8-H), 6.89–6.91 (m, 1H, 6-HAr), 6.99–7.06 (m, 1H, 5-HAr), 7.27–7.33 (m, 1H, 2-HAr). Signals for the NH protons are not observed. 13C NMR (150 MHz, CDCl3): δ (ppm) = 20.9, 21.0 (2C, C-3, C-4), 21.1, 21.8 (2 × 0.5C, C-11), 31.7, 32.5 (2C, C-2, C-5), 37.5, 38.3 (2C, C-10, C-12), 45.5, 46.0 (2C, C-7, C-9), 49.3, 49.97 (2 × 0.5C, C-8), 50.2, 50.7 (2C, C-1, C-6), 110.0 (d, J = 19.3 Hz, 1C, C-2Ar), 116.0 (d, J = 3.9 Hz, 1C, C-6Ar), 117.4 (d, J = 18.1 Hz, 1C, C-5Ar), 135.1 (1C, C-1Ar), 150.3 (d, J = 260.6 Hz, 2C, C-3Ar, C-4Ar), 155.9 (1C, C=O). syn-23d:anti-23d = 1:1. Purity (HPLC): 98.2% (tR = 21.73 min).
5.3.38. (11′-syn and 11′-anti)-Spiro ([1,3]dioxolane-2,8′-[4.3.3]propellan)-11′-amine (24)
Pd(OH)2/C (20%, 70 mg) was added to a solution of the benzylpropellanamines 14 (0.7 g, 2.14 mmol) and ammonium formate (0.54 g, 8.56 mmol) in methanol (20 mL). The mixture was heated to reflux for 3 h. After evaporation of the solvent under vacuum, ethyl acetate (30 mL) was added. The mixture was washed with NaOH (1 M, 10 mL) and brine (10 mL), filtered, the filtrate was concentrated in vacuo and the residue was purified by fc (3 cm, ethyl acetate:methanol = 1:1, 20 mL, Rf = 0.11(cyclohexane : ethyl acetate : methanol = 6 : 3 : 1)). Pale yellow oil, yield 0.38 g (75%). C14H22NO2 (237.3). MS (ESI): m/z = 238 [M+H]+. Exact mass (APCI): m/z = 238.1834 (calcd. 238.1802 for C14H24NO2 [M+H]+ ). FT-IR (ATR, film): ν (cm−1) = 2927 (aliphatic ν C-H), 1558 (ν N-H2). 1H NMR (600 MHz, CDCl3): δ (ppm) = 1.28–1.58 (m, 8H, 2′-CH2, 3′-CH2, 4′-CH2, 5′-CH2), 1,63 (dd, J = 13.6/6.9 Hz, 2 × 0.5H, 10′-H, 12′-H), 1.71 (dd, J = 13.6/7.5 Hz, 2 × 0.5 H, 10′-H, 12′-H), 1.82 (d, J = 14.3 Hz, 2H, 7′-H, 9′-H), 1.93 (d, J = 14.3 Hz, 2H, 7′-H, 9′-H), 2.05 (dd, J = 13.6/8.8 Hz, 2 × 0.5H, 10′-H, 12′-H), 2.10 (dd, J = 13.6/8.7 Hz, 2 × 0.5H, 10′-H, 12′-H), 3.61–3.67 (m, 0.5 H, 11′-H), 3.68–3.71 (m, 0.5 H, 11′-H), 3.80 (m, 4H, OCH2CH2O). A signal for the NH2 protons is not observed in the spectrum.
5.3.39. 1 -(3,4-Difluorophenyl)-3-(syn- and anti-spiro[1,3]dioxolane-2,8’-[4.3.3]propellan-11’-yl)urea
According to General Procedure A, amine 24 (0.35 g, 1.47 mmol), 3,4-difluorophenyl isocyanate (0.27 g, 1.76 mmol) and Bu2Sn(OAc)2 (52 mg, 0.15 mmol) were dissolved in THF (15 mL) and the mixture was stirred at rt for 48 h. The crude product was purified by fc (3 cm, cyclohexane:ethyl acetate = 7:3, 20 mL, Rf = 0.42) to obtain 0.55 g of a mixture of diastereoisomeric urea and an impurity with the same Rf value. This mixture was used for the next reaction step without further purification.
5.3.40. 1-(3,4-. Difluorophenyl)-3-(8-syn-11-oxo[4.3.3]propellan-8-yl)urea (syn-25) and 1-(3,4-Difluorophenyl)-3-(8-anti-11-oxo[4.3.3]propellan-8-yl)urea (anti-25)
The mixture obtained above (0.50 g, 1.37 mmol) and p-toluenesulfonic acid monohydrate (26 mg, 0.01 mmol) were dissolved in acetone (20 mL) and the mixture was heated to 60 °C for 2 h. The solvent was removed in vacuo and the residue was purified by fc (3 cm, cyclohexane:ethyl acetate = 9:1 to 6:4, 20 mL).
syn-25 (Rf = 0.23, cyclohexane:ethyl acetate = 7:3): Pale yellow solid, mp 161–173 °C, yield 0.20 g (42%). C19H22F2NO2 (348.4). MS (ESI): m/z = 349 [M+H]+. Exact mass (APCI): m/z = 349.1741 (calcd. 349.1722 for C19H23F2N2O2 [M+H]+). FT-IR (ATR, film): ν (cm−1) = 3340 (ν N-H), 2931 (ν C-H aliphatic), 1735 (ν C=Oketone), 1654 (ν C=Ourea), 1550 (δ N-H). 1H NMR (400 MHz, CDCl3): δ (ppm) = 1.40–1.58 (m, 8H, 2-CH2, 3-CH2, 4-CH2, 5-CH2,), (1.75 (dd, J = 14.1/5.5 Hz, 2H, 7-Hsyn, 9-Hsyn), 2.15 (d, J = 18.8 Hz, 2H, 10-H, 12-H), 2.21 (dd, J = 14.1/9.2 Hz, 2H, 7-Hanti, 9-Hanti), 2.26 (d, J = 18.8 Hz, 2H, 10-H, 12-H), 4.35–4.44 (m, 1H, 8-H), 6.84–6.94 (m, 1H, 6-HAr), 7.01–7.08 (m, 1H, 5-HAr), 7.29–7.35 (m, 1H, 2-HAr). Signals for the NH protons are not observed in the spectrum. 13C NMR (100 MHz, CDCl3): δ (ppm) = 21.7 (2C, C-3, C-4), 32.5 (2C, C-2, C-5), 44.8 (2C, C-7, C-9), 47.6 (2C, C-10, C-12), 49.1 (1C, C-8), 49.4 (2C, C-1, C-6), 109.8 (d, J = 21.1 Hz, 1C, C-2Ar), 115.8 (d, J = 8.8 Hz, 1C, C-6Ar), 117.5 (d, J = 18.1 Hz, 1C, C-5Ar), 15.2 (1C, C-1Ar), 146.8 (dd, J = 244.8/13.0 Hz, 1C, C-4Ar), 150.4 (dd, J = 247.4/13.3 Hz, 1C, C-3Ar), 155.3 (1C, N(C=O)N), 218.5 (1C, C=O). Purity (HPLC): 92–6% (tR = 18.24 min).
anti-25 (Rf = 0.31, cyclohexane:ethyl acetate = 7:3) Pale yellow solid, mp 100–103 °C, yield 0.17 g (35%). C19H22F2NO2 (348.4). MS (ESI): m/z = 349 [M+H]+. Exact mass (APCI): m/z = 349.1683 (349.1722 calcd. for C19H23F2N2O2 [M+H]+). FT-IR (ATR, film): ν (cm−1) = 3302 (ν N-H), 2927 (ν C-H aliphatic), 1728 (ν C=Oketone), 1658 (ν C=Ourea), 1527 (δ N-H). 1H NMR (400 MHz, CDCl3): δ (ppm) = 1.29–1.54 (m, 10H, 2-CH2, 3-CH2, 4-CH2, 5-CH2, 7-CH2(1H), 9-CH2(1H)), 2.19–2.39 (m, 6H, 7-CH2(1H), 9-CH2(1H), 10-CH2, 12-CH2), 4.43–4.52 (m, 1H, 8-H), 6.90–6.94 (m, 1H, 6-HAr), 7.04 (dd, J = 9.4/8.9 Hz, 1H, 5-HAr), 7.32–7.32–7.40 (m, 1H, 2-HAr). Signals for the NH protons are not observed in the spectrum. 13C NMR (100 MHz, CDCl3): δ(ppm) = 21.3 (2C, C-3, C-4), 31.8 (2C, C-2, C-5), 44.9 (2C, C-7, C-9), 47.8 (2C, C-1, C-6), 49.1 (1C, C-8), 50.5 (2C, C-10, C-12), 109.4 (d, J = 21.1 Hz, 1C, C-2Ar), 115.3 (1C, C-6Ar), 117.4 (d, J = 18.1 Hz, C-5Ar), 135.5 (1C, C-1Ar) 146.5 (dd, J = 247.4/12.0 Hz, 1C, C-4Ar), 150.8 (dd, J = 245.6/13.3 Hz, 1C, C-3Ar), 155.4 (1C, N(C=O)N), 220.3 (1C, C=O). Purity (HPLC): 98.7% (tR = 18.43 min).
5.3.41. 1 -(3,4-Difluorophenyl)-3-(8-syn-11-syn- and 8-syn-11-anti-11-hydroxy[4.3.3]-propellan-8-yl)urea (syn,syn-26 and syn,anti-26)
NaBH4 (20 mg, 0.53 mmol) was added to a solution of the ketone syn-25 (0.12 g, 0.34 mmol) in a mixture of THF and methanol (9:1, 10 mL). The mixture was stirred at rt for 30 min, then water (1 mL) was added and the mixture was stirred for additional 10 min. After evaporation of the organic solvent under vacuum, ethyl acetate (10 mL) was added. The mixture was washed with NaOH (1M, 5 mL) and brine (5 mL), dried (Na2SO4), filtered, the filtrate was concentrated in vacuo and the residue was purified by fc (1 cm, cyclohexane:ethyl acetate = 6:4, 5 mL, Rf = 0.49). The mixture could not be separated. Colorless solid, mp 171–178 °C, yield 0.10 g (83%). C19H24F2NO2 (350.4). MS (ESI): m/z = 351 [M+H]+. Exact mass (APCI): m/z = 351.1884 (calcd. 351.1879 for C19H25F2N2O2 [M+H]+ ). FT-IR (ATR, film): ν (cm−1) = 3298 (ν O-H), 2931 (ν C-H aliphatic), 1678 (ν C=Ourea), 1558 (δ N-H). 1H NMR (400 MHz, DMSO-d6): δ (ppm) = 1.30–1.48 (m, 10H, 2-CH2, 3-CH2, 4-CH2, 5-CH2, 7-CH2(1H), 9-CH2(1H)), 1.50–1.60 (m, 2H, 10-H, 12-H), 1.77–1.90 (m, 3H, 7-CH2(0.5H), 9-CH2(0.5H), 10-H, 12-H), 2.01 (dd, J = 13.2/8.3 Hz, 2 × 0.5H, 7-H, 9-H), 4.00–4.10 (m, 0.5H, 8-H), 4.14–4.27 (m, 1.5H, 8-H(0.5H), 11-H), 6.95–7.01 (m, 1H, 6-HAr), 7.25 (dd, J = 10.7/9.2 Hz, 1H, 5-HAr), 7.61 (dddd, J = 13.7/7.5/3.5/.26 Hz, 1H, 2-HAr), 8.40 (s, 1H, NH), 8.41 (s, 1H, NH). 13C NMR (100 MHz, DMSO-d6): δ (ppm) = 19.7, 20.4 (2C, C-3, C-4), 31.9, 32.6 (2C, C-2, C-5), 44.6, 45.5 (2C, C-7, C-9), 47.2, 47.7 (2 × 0.5C, C-8), 47.9, 48.2 (2C, C-10, C-12), 48.4, 48.6 (2C, C-1, C-6), 69.6, 69.9 (2 × 0.5C, C-11), 106.3 (d, J = 21.9 Hz, 1C, C-2Ar), 113.41 (dd, J = 5.7/3.1 Hz, 1C, C-6Ar), 117.4 (d, J = 17.6 Hz, 1C, C-5Ar), 137.7 (dd, J = 9.5/2.8 Hz, 1C, C-1Ar), 143.8 (dd, J = 238.4/12.8 Hz, 1C, C-4Ar), 149.0 (dd, J = 241.7/12.9 Hz, 1C, C-3Ar), 154.4 (1C, N(C=O)N). syn,syn-26:syn,anti-26 = 1:1. Purity (HPLC): 99.2% (tR = 18.26 min).
5.3.42. 1 -(3,4-Difluorophenyl)-3-(8-anti-11-anti-11-hydroxy[4.3.3]propellan-8-yl)urea (anti,anti-26) and 1-(3,4-Difluorophenyl)-3-(8-anti-11-syn-11-hydroxy[4.3.3]propellan-8-yl)urea (anti,syn-26)
NaBH4 (20 mg, 0.53 mmol) was added to a solution of the keto urea anti-25 (0.12 g, 0.34 mmol) in a mixture of THF and methanol (9:1, 10 mL). The mixture was stirred at rt for 30 min, then water (1 mL) was added and the mixture was stirred for additional 10 min. After evaporation of the organic solvent under vacuum, ethyl acetate (10 mL) was added. The mixture was washed with NaOH (1 M, 5 mL) and brine (5 mL), dried (Na2SO4), filtered, the filtrate was concentrated in vacuo and the residue was purified by fc (1 cm, cyclohexane:ethyl acetate = 7:3–5:5, 5 mL).
anti,anti-26 (Rf = 0.22, cyclohexane:ethyl acetate = 7:3): Colorless solid, mp 201–203 °C, yield 32 mg (27%). C19H24F2NO2 (350.4). MS (ESI): m/z = 351 [M+H]+. Exact mass (APCI): m/z = 351.1901 (calcd. 351.1879 for C19H25F2N2O2 [M+H]+). FT-IR (ATR, film): ν (cm−1) = 3232 (ν O-H), 2924 (ν C-H aliphatic), 1670 (ν C=Ourea), 1566 (δ N-H). 1H NMR (400 MHz, CDCl3): 1.11–1.25 (m, 8H, 2-CH2, 3-CH2, 4-CH2, 5-CH2), 1.57 (dd, J = 14.0/4.7 Hz, 2H, 10-Hanti, 12-Hanti), 1.62 (dd, J = 13.6/6.9 Hz, 2H, 7-Hanti, 9-Hanti), 1.98 (dd, J = 14.0/8.2 Hz, 2H, 10-Hsyn,, 12-Hsyn), 2.03 (dd, J = 13.6/9.1 Hz, 2H, 7-Hsyn, 9-Hsyn), 4.23 (tt, J = 9.0/6.9 Hz, 1H, 8-H), 4.34 (tt, J = 8.1/4.7 Hz, 1H, 11-H), 6.76–6.81 (m, 1H, 6-HAr), 6.85 (dd, J = 9.9/8.7 Hz, 1H, 5-HAr), 7.40 (ddd, J = 13.1/7.3/2.5 Hz, 1H, 2-HAr). Signals for the NH protons and the OH proton are not observed in the spectrum. 13C NMR (100 MHz, CDCl3): δ (ppm) = 21.1 (2C, C-3, C-4), 32.1 (2C, C-2, C-5), 45.9 (2C, C-7, C-9), 47.7 (2C, C-10, C-12), 48.8 (1C, C-8), 50.4 (2C, C-1, C-6), 71.9 (1C, C-11), 107.2 (d, J = 21.9 Hz, 1C, C-2Ar), 113.1 (dd, J = 5.6/3.3 Hz, 1C, C-6Ar), 116.5 (d, J = 17.9 Hz, 1C, C-5Ar), 137.0 (dd, J = 9.3/2.8 Hz, C-1Ar), 144.9 (dd, J = 240.6/13.1 Hz, 1C, C-4Ar), 149.8 (dd, J = 242.8/13.1 Hz, 1C, C-3Ar), 155.2 (1C, N(C=O)N). Purity (HPLC): 96.9% (tR = 18.49 min).
anti,syn-26 (Rf = 0.13, cyclohexane:ethyl acetate = 7:3): Colorless solid, mp 186–189 °C, yield 10 mg (8%). C19H24F2NO2 (350.4). MS (ESI): m/z = 351 [M+H]+. Exact mass (APCI): m/z = 351.1907 (calcd. 351.1879 for C19H25F2N2O2 [M+H]+ ). FT-IR (ATR, film): ν (cm−1) = 3383 (ν O-H), 2924 (ν C-H aliphatic), 1654 (δ C=Ourea), 1570 (δ N-H). 1H NMR (400 MHz, DMSO-d6): 1.35 (dd, J = 13.3/8.1 Hz, 2H, 7-Hanti, 9-Hanti), 1.39–1.50 (m, 8H, 2-CH2, 3-CH2, 4-CH2, 5-CH2), 1.56 (dd, J = 13.4/5.4 Hz, 2H, 10-Hsyn, 12-Hsyn), 1.87 (dd, J = 13.6/7.5 Hz, 2H, 10-Hanti, 12-Hanti), 1.95 (dd, J = 13.3/6.0 Hz, 2H, 7-Hsyn, 9-Hsyn), 4.10 (tt, J = 8.1/6.0 Hz, 1H, 8-H), 4.30 (tt, J = 7.3/5.4 Hz, 1H, 11-H), 6.34 (d, J = 7.5 Hz, 1H, NHCONHAr), 6.98 (dddd, J = 9.0/4.1/2.5/1.5 Hz, 1H, 6-HAr), 7.25 (dd, J = 10.6/9.1 Hz, 1H, 5-HAr), 7.60 (ddd, J =13.7/7.5/2.6 Hz, 1H 2-HAr). 8.45 (s, 1H, NHCONHAr). A signal for the OH proton is not observed in the spectrum. 13C NMR (100 MHz, DMSO-d6): δ (ppm) = 19.7 (2C, C-3, C-4), 31.2 (2C, C-2, C-5), 46.2 (2C, C-7, C-9), 47.1 (2C, C-10, C-12), 48.6 (2C, C-1, C-6), 47.7 (1C, C-8), 691 (1C, C-11), 106.3 (d, J = 21.8 Hz, 1C, C-2Ar), 113.38 (1C, C-6Ar), 137.8 (d, J = 6.8 Hz, C-1Ar), 141.8 (d, J = 152.2 Hz, 1C, C-4Ar), 149.1 (d, J = 242.1 Hz, 1C, C-3Ar), 154.5 (1C, N(C=O)N). Purity (HPLC): 93.8% (tR = 17.82 min).
5.4. Computational Details
The starting structure for the σ1 receptor was obtained from the RCSB Protein Data Bank (PDB ID 5HK1, https://www.rcsb.org/structure/5HK1 (accessed date: 3 March 2021) [7], of which only the protomer with the more complete sequence was retained for the simulations. The CHARMM-GUI server [54] was used to embed the σ1 monomer in a palmitoyl-oleyl-phosphatidyl-choline (POPC, 218 lipid molecules were added) bilayer solvated with explicit TIP3P [55] and water molecules to succeed complete hydration of the membrane and reach a physiological concentration of sodium and chloride ions (0.15 M NaCl). Antechamber program from AMBER20 [56] was used to assign gaff2 [57] atom types to each ligand, while ligand’s partial charges were derived by employing the RESP method offered by the RED server [58]. Docking and classical molecular dynamics simulations on σ1 receptor in complex with the new azapropellane derivatives were carried out following a well validated procedure [49,52,59]. Briefly, the system density and volume were relaxed in NPT ensemble maintaining the Berendsen barostat for 20 ns. After this step, 50 ns of unrestrained NVT production simulation was run for each system. Following the MM/PBSA approach [55], each binding free energy values (ΔG) were calculated as the sum of the enthalpic (ΔH) and entropic contributions (-TΔS). The PRBFED analysis was carried out using the molecular mechanics/generalized Boltzmann surface area (MM/GBSA) approach [60] and was based on the same snapshots used in the binding free energy calculation. All images were created by the UCSF Chimera software v1.15 [61], and graphs were produced by GraphPad Prism v8 (GraphPad Software, San Diego, California USA, www.graphpad.com).
5.5. X-ray Diffraction
5.5.1. General
Data sets for compounds syn-7, anti-21, syn,anti-22, anti,syn-22 and syn-25 were collected with a Bruker Kappa CCD diffractometer. Programs used: data collection, COLLECT [62], data reduction Denzo-SMN [63]; absorption correction [64]; structure solution SHELXT-2015 [65]; structure refinement SHELXL-2015 [66] and graphics, XP [67]. R-values are given for observed reflections, and wR2 values are given for all reflections.
Exceptions and special features: For compound syn-25 three independent molecules were found in the asymmetric unit. All these three molecules present different groups disordered over two positions. Several restraints (SADI, SAME, ISOR and SIMU) were used in order to improve refinement stability.
5.5.2. X-ray Crystal Structure Analysis of syn-7
A colorless plate-like specimen of C21H27NO4, approximate dimensions 0.100 mm × 0.200 mm × 0.350 mm, was used for the X-ray crystallographic analysis. The X-ray intensity data were measured. The integration of the data using a monoclinic unit cell yielded a total of 3302 reflections to a maximum θ angle of 67.19° (0.84 Å resolution), of which 3302 were independent (average redundancy 1.000, completeness = 97.6%, Rsig = 2.02%) and 3062 (92.73%) were greater than 2σ(F2). The final cell constants of a = 6.9404(2) Å, b = 12.2651(4) Å, c = 22.3938(10) Å, β = 98.330(2)° and volume = 1886.15(12) Å3 were based upon the refinement of the XYZ-centroids of reflections above 20 σ(I). Data were corrected for absorption effects using the multi-scan method (SADABS). The calculated minimum and maximum transmission coefficients (based on crystal size) are 0.7920 and 0.9330. The structure was solved and refined using the Bruker SHELXTL-2014/7 version Software Package, using the space group P21/c, with Z = 4 for the formula unit, C21H27NO4. The final anisotropic full-matrix least-squares refinement on F2 with 241 variables converged at R1 = 3.98%, for the observed data and wR2 = 9.96% for all data. The goodness-of-fit was 1.054. The largest peak in the final difference electron density synthesis was 0.198 e−/Å3 and the largest hole was −0.192 e−/Å3 with an RMS deviation of 0.034 e−/Å3. On the basis of the final model, the calculated density was 1.259 g/cm3 and F(000), 768 e−. The hydrogen at N1 atom was refined freely. CCDC number: 2073466.
5.5.3. X-ray Crystal Structure Analysis of anti-21
A colorless prism-like specimen of C28H34N2O3, approximate dimensions 0.060 mm × 0.240 mm × 0.260 mm, was used for the X-ray crystallographic analysis. The X-ray intensity data were measured. The integration of the data using a monoclinic unit cell yielded a total of 4159 reflections to a maximum θ angle of 67.08° (0.84 Å resolution), of which 4159 were independent (average redundancy 1.000, completeness = 96.3%, Rsig = 2.90%) and 3509 (84.37%) were greater than 2σ(F2). The final cell constants of a = 8.5091(4) Å, b = 15.9061(5) Å, c = 17.8829(6) Å, β = 94.139(3)° and volume = 2414.08(16) Å3 were based upon the refinement of the XYZ-centroids of reflections above 20 σ(I). Data were corrected for absorption effects using the multiscan method (SADABS). The calculated minimum and maximum transmission coefficients (based on crystal size) are 0.8530 and 0.9630. The structure was solved and refined using the Bruker SHELXTL Software Package, using the space group P21/n, with Z = 4 for the formula unit, C28H34N2O3. The final anisotropic full-matrix least-squares refinement on F2 with 304 variables converged at R1 = 7.05%, for the observed data and wR2 = 20.59% for all data. The goodness-of-fit was 1.041. The largest peak in the final difference electron density synthesis was 0.482 e−/Å3 and the largest hole was −0.353 e−/Å3 with an RMS deviation of 0.056 e−/Å3. On the basis of the final model, the calculated density was 1.229 g/cm3 and F(000), 960 e−. The hydrogen at N2 atom was refined freely. CCDC number: 2073467.
5.5.4. X-ray Crystal Structure Analysis of syn,anti-22
A colorless plate-like specimen of C28H36N2O3, approximate dimensions 0.150 mm × 0.170 mm × 0.270 mm, was used for the X-ray crystallographic analysis. The X-ray intensity data were measured. The integration of the data using a monoclinic unit cell yielded a total of 4152 reflections to a maximum θ angle of 67.18° (0.84 Å resolution), of which 4152 were independent (average redundancy 1.000, completeness = 96.1%, Rsig = 2.57%) and 3721 (89.62%) were greater than 2σ(F2). The final cell constants of a = 7.5886(3) Å, b = 16.0072(4) Å, c = 20.2378(5) Å, β = 100.377(2)° and volume = 2418.12(13) Å3 were based upon the refinement of the XYZ-centroids of reflections above 20 σ(I). Data were corrected for absorption effects using the multi-scan method (SADABS). The calculated minimum and maximum transmission coefficients (based on crystal size) were 0.8490 and 0.9120. The structure was solved and refined using the Bruker SHELXTL Software Package, using the space group P21/c, with Z = 4 for the formula unit, C28H36N2O3. The final anisotropic full-matrix least-squares refinement on F2 with 307 variables converged at R1 = 4.36%, for the observed data and wR2 = 11.81% for all data. The goodness-of-fit was 1.031. The largest peak in the final difference electron density synthesis was 0.175 e−/Å3 and the largest hole was −0.164 e−/Å3 with an RMS deviation of 0.032 e−/Å3. On the basis of the final model, the calculated density was 1.232 g/cm3 and F(000), 968 e−. The hydrogens at N2 and O1 atoms were refined freely. CCDC number: 2073468.
5.5.5. X-ray Crystal Structure Analysis of anti,syn-22
A colorless needle-like specimen of C28H36N2O3, approximate dimensions 0.020 mm × 0.070 mm × 0.270 mm, was used for the X-ray crystallographic analysis. The X-ray intensity data were measured. The integration of the data using a monoclinic unit cell yielded a total of 4164 reflections to a maximum θ angle of 66.92° (0.84 Å resolution), of which 4164 were independent (average redundancy 1.000, completeness = 95.5%, Rsig = 3.04%) and 3332 (80.02%) were greater than 2σ(F2). The final cell constants of a = 7.9714(2) Å, b = 27.7657(10) Å, c = 11.1029(5) Å, β = 95.285(3)° and volume = 2446.97(15) Å3 were based upon the refinement of the XYZ-centroids of reflections above 20 σ(I). Data were corrected for absorption effects using the multiscan method (SADABS). The calculated minimum and maximum transmission coefficients (based on crystal size) are 0.8500 and 0.9880. The structure was solved and refined using the Bruker SHELXTL-2014/7 version Software Package, using the space group P21/c, with Z = 4 for the formula unit, C28H36N2O3. The final anisotropic full-matrix least-squares refinement on F2 with 308 variables converged at R1 = 5.00%, for the observed data and wR2 = 13.22% for all data. The goodness-of-fit was 1.031. The largest peak in the final difference electron density synthesis was 0.131 e−/Å3 and the largest hole was −0.239 e−/Å3 with an RMS deviation of 0.044 e−/Å3. On the basis of the final model, the calculated density was 1.218 g/cm3 and F(000), 968 e−. The hydrogens at N2 and O1 atoms were refined freely. CCDC number: 2073469.
5.5.6. X-ray Crystal Structure Analysis of syn-25
A colorless prism-like specimen of C19H22F2N2O2, approximate dimensions 0.100 mm × 0.140 mm × 0.180 mm, was used for the X-ray crystallographic analysis. The X-ray intensity data were measured. The integration of the data using a triclinic unit cell yielded a total of 9040 reflections to a maximum θ angle of 67.31° (0.84 Å resolution), of which 9040 were independent (average redundancy 1.000, completeness = 96.6%, Rsig = 2.87%) and 7415 (82.02%) were greater than 2σ(F2). The final cell constants of a = 12.9305(5) Å, b = 13.0504(5) Å, c = 17.0932(4) Å, α = 112.037(2)°, β = 97.638(2)°, γ = 97.0010(10)° and volume = 2603.27(16) Å3 were based upon the refinement of the XYZ-centroids of reflections above 20 σ(I). Data were corrected for absorption effects using the multiscan method (SADABS). The calculated minimum and maximum transmission coefficients (based on crystal size) were 0.8630 and 0.9200. The structure was solved and refined using the Bruker SHELXTL Software Package, using the space group P-1, with Z = 6 for the formula unit, C19H22F2N2O2. The final anisotropic full-matrix least-squares refinement on F2 with 928 variables converged at R1 = 6.16%, for the observed data and wR2 = 18.77% for all data. The goodness-of-fit was 1.038. The largest peak in the final difference electron density synthesis was 1.261 e−/Å3 and the largest hole was −0.361 e−/Å3 with an RMS deviation of 0.044 e−/Å3. On the basis of the final model, the calculated density was 1.333 g/cm3 and F(000), 1104 e−. The hydrogens at N1A, N2A, N1B, N2B, N1C and N2C atoms were refined freely. CCDC number: 2073470.
5.6. Receptor Binding Studies
The affinity towards σ1 and σ2 receptors was recorded according to the procedures given in the Supplementary Materials and ref [45,46,47].
Supplementary Materials
The following are available online at https://www.mdpi.com/article/10.3390/ijms22115685/s1, The Supplementary Materials contain purity data of all prepared compounds, experimental procedures of receptor binding studies, details of the X-ray crystal structure analyses, molecular dynamics simulations of compound 18 displayed in Figure S1, 1H and 13C NMR spectra including some 2D NMR spectra of prepared compounds and selected HPLC traces.
Author Contributions
H.T.-G.: Synthesis of the compounds, preparation of the experimental part; C.D.: Recording ans solving the X-ray crystal strucutres; D.S.: Recording all the biological data; E.L.: Molecular Modelling studies, preparation of the correspongin parts in the manuscript; S.P.: Molecular Modelling studies, preparation of the corresponding parts of the manuscript, supervision; B.W.: idea and supersicion of the project; preparing the manuscript. All authors have read and agreed to the published version of the manuscript.
Funding
This work was supported by the Deutsche Forschungsgemeinschaft (DFG), which is gratefully acknowledged. H.T.-G. received a scholarship from the NRW Graduate School of Chemistry, which was funded by the Government of the State Nordrhein-Westfalen and the Westfälische Wilhelms-Universität Münster.
Institutional Review Board Statement
This manuscript does not contain studies with humans or animals.
Informed Consent Statement
Not appliable.
Data Availability Statement
Not applicable.
Acknowledgments
We wish to thank the NRW Graduate School of Chemistry for a scholarship for HTG and the Deutsche Forschungsgemeinschaft (DFG) for supporting this project.
Conflicts of Interest
The authors have no conflict of interests to declare.
References
- Martin, W.R.; Eades, C.G.; Thompson, J.A.; Huppler, R.E.; Gilbert, P.E. The effects of morphine- and nalorphine- like drugs in the nondependent and morphine-dependent chronic spinal dog. J. Pharmacol. Exp. Ther. 1976, 197, 517–532. [Google Scholar] [PubMed]
- Hanner, M.; Moebius, F.F.; Flandorfer, A.; Knaus, H.G.; Striessnig, J.; Kempner, E.; Glossmann, H. Purification, molecular cloning, and expression of the mammalian sigma1-binding site. Proc. Natl. Acad. Sci. USA 1996, 93, 8072–8077. [Google Scholar] [CrossRef]
- Kekuda, R.; Prasad, P.D.; Fei, Y.J.; Leibach, F.H.; Ganapathy, V. Cloning and functional expression of the human type 1 sigma receptor (hSigmaR1). Biochem. Biophys. Res. Com. 1996, 229, 553–558. [Google Scholar] [CrossRef]
- Seth, P.; Leibach, F.H.; Ganapathy, V. Cloning and structural analysis of the cDNA and the gene encoding the murine type 1 sigma receptor. Biochem. Biophys. Res. Commun. 1997, 241, 535–540. [Google Scholar] [CrossRef]
- Seth, P.; Fei, Y.-J.; Li, H.W.; Huang, W.; Leibach, F.H.; Ganapathy, V. Cloning and functional characterization of a σ receptor from rat brain. J. Neurochem. 1998, 70, 922–931. [Google Scholar] [CrossRef]
- Prasad, P.D.; Li, H.W.; Fei, Y.-J.; Ganapathy, M.E.; Fujita, T.; Plumley, L.H.; Yang-Feng, T.L.; Leibach, F.H.; Ganapathy, V. Exon-intron structure, analysis of promoter region, and chromosomal localization of the human type 1 σ receptor gene. J. Neurochem. 1998, 70, 443–451. [Google Scholar] [CrossRef]
- Schmidt, H.R.; Zheng, S.D.; Gurpinar, E.; Koehl, A.; Manglik, A.; Kruse, A.C. Crystal structure of the human sigma 1 receptor. Nature 2016, 532, 527–530. [Google Scholar] [CrossRef]
- Schmidt, H.R.; Betz, R.M.; Dror, R.O.; Kruse, A.C. Structural basis for sigma(1) receptor ligand recognition. Nat. Struct. Mol. Biol. 2018, 25, 981–987. [Google Scholar] [CrossRef]
- Alon, A.; Schmidt, H.R.; Wood, M.D.; Sahn, J.J.; Martin, S.F.; Kruse, A.C. Identification of the gene that codes for the σ2 receptor. Proc. Natl. Acad. Sci. USA 2017, 114, 7160–7165. [Google Scholar] [CrossRef]
- Riad, A.; Zeng, C.; Weng, C.-C.; Winters, H.; Xu, K.; Makvandi, M.; Metz, T.; Carlin, S.; Mach, R.H. Sigma-2 Receptor/TMEM97 and PGRMC-1 Increase the Rate of Internalization of LDL by LDL Receptor through the Formation of a Ternary Complex. Sci. Rep. 2018, 8, 16845. [Google Scholar] [CrossRef]
- Alamri, M.A.; Afzal, O.; Alamri, M.A. Computational screening of natural and naturallike compounds to identify novel ligands for sigma-2 receptor. SAR QSAR Environ. Res. 2020, 31, 837–856. [Google Scholar] [CrossRef]
- Cobos, E.J.; Entrena, J.M.; Nieto, F.R.; Cendan, C.M.; Del Pozo, E. Pharmacology and Therapeutic Potential of Sigma(1) Receptor Ligands. Curr. Neuropharmacol. 2008, 6, 344–366. [Google Scholar] [CrossRef]
- Hayashi, T.; Tsai, S.Y.; Mori, T.; Fujimoto, M.; Su, T.P. Targeting ligand-operated chaperone sigma-1 receptors in the treatment of neuropsychiatric disorders. Expert Opin. Ther. Targets 2011, 15, 557–577. [Google Scholar] [CrossRef] [PubMed]
- Hayashi, T.; Su, T.P. sigma-1 receptor ligands—Potential in the treatment of neuropsychiatric disorders. CNS Drugs 2004, 18, 269–284. [Google Scholar] [CrossRef]
- Maurice, T.; Su, T.P. The pharmacology of sigma-1 receptors. Pharmacol. Ther. 2009, 124, 195–206. [Google Scholar] [CrossRef] [PubMed]
- Collina, S.; Gaggeri, R.; Marra, A.; Bassi, A.; Negrinotti, S.; Negri, F.; Rossi, D. Sigma receptor modulators: A patent review. Exp. Op. Ther. Pat. 2013, 23, 597–613. [Google Scholar] [CrossRef]
- Ishima, T.; Fujita, Y.; Hashimoto, K. Interaction of new antidepressants with sigma-1 receptor chaperones and their potentiation of neurite outgrowth in PC12 cells. Eur. J. Pharmacol. 2014, 727, 167–173. [Google Scholar] [CrossRef] [PubMed]
- Hindmarch, I.; Hashimoto, K. Cognition and depression: The effects of fluvoxamine, a sigma-1 receptor agonist, reconsidered. Hum. Psychopharmacol. Clin. Exp. 2010, 25, 193–200. [Google Scholar] [CrossRef] [PubMed]
- Langa, F.; Codony, X.; Tovar, V.; Lavado, A.; Giménez, E.; Cozar, P.; Cantero, M.; Dordal, A.; Hernández, E.; Pérez, R.; et al. Generation and phenotypic analysis of sigma receptor type I (σ1) knockout mice. Eur. J. Neurosci. 2003, 18, 2188–2196. [Google Scholar] [CrossRef]
- Sabino, V.; Cottone, P.; Parylak, S.L.; Steardo, L.; Zorrilla, E.P. Sigma-1 receptor knockout mice display a depressive-like phenotype. Behav. Brain Res. 2009, 198, 472–476. [Google Scholar] [CrossRef]
- Müller, W.E.; Siebert, B.; Holoubek, G.; Gentsch, C. Neurophamracology of the Anxiolytic Drug Opripramol, a Sigma Site Ligand. Pharmacopsychiatry 2004, 37, 189–197. [Google Scholar] [CrossRef]
- Meunier, J.; Ieni, J.; Maurice, T. The anti-amnesic and neuroprotective effects of denopezil against amyloid β25−35 peptide-induced toxicity in mice involve an interaction with the σ1 receptor. Br. J. Pharmacol. 2006, 149, 998–1012. [Google Scholar] [CrossRef]
- Kato, K.; Hayako, H.; Ishihara, Y.; Marui, S.; Iwane, M.; Miyamoto, M. TAK-147, an acetylcholinesterase inhibitor, increases choline acetyltransferase activity in cultured rat septal cholinergic neurons. Neurosci. Lett. 1999, 260, 5–8. [Google Scholar] [CrossRef]
- Diaz, J.L.; Cuberes, R.; Berrocal, J.; Contijoch, M.; Christmann, U.; Fernandez, A.; Port, A.; Holenz, J.; Buschmann, H.; Laggner, C.; et al. Synthesis and biological evaluation of the 1-arylpyrazole class of σ(1) receptor antagonists: Identification of 4-{2-[5-methyl-1-(naphthalen-2-yl)-1H-pyrazol-3-yloxy]ethyl}morpholine (S1RA, E-52862). J. Med. Chem. 2012, 55, 8211–8224. [Google Scholar] [CrossRef]
- Wünsch, B. The σ1 receptor antagonist S1RA is a promising candidate for the treatment of neurogenic pain. J. Med. Chem. 2012, 55, 8209–8210. [Google Scholar] [CrossRef] [PubMed]
- Entrena, J.M.; Cobos, E.J.; Nieto, F.R.; Cendán, C.M.; Gris, G.; Del Pozo, E.; Zamanillo, D.; Baeyens, J.M. Sigma-1 receptors are essential for capsaicin-induced mechanical hypersensitivity: Studies with selective sigma-1 ligands and sigma-1 knockout mice. Pain 2009, 143, 252–261. [Google Scholar] [CrossRef]
- Entrena, J.; Sánchez-Fernández, C.; Nieto, F. Sigma-1 Receptor Agonism Promotes Mechanical Allodynia After Priming the Nociceptive System with Capsaicin. Sci. Rep. 2016, 6, 37835. [Google Scholar] [CrossRef] [PubMed]
- Aydar, E.; Palmer, C.P.; Djamgoz, M.B. Sigma receptors and cancer: Possible involvement of ion channels. Cancer Res. 2004, 64, 5029–5035. [Google Scholar] [CrossRef]
- Van Waarde, A.; Rybczynska, A.A.; Ramakrishnan, N.K.; Ishiwata, K.; Elsinga, P.H.; Dierckx, R.A.J.O. Potential applications for sigma receptor ligands in cancer diagnosis and therapy. Biochim. Biophys. Acta 2015, 1848, 2703–2714. [Google Scholar] [CrossRef] [PubMed]
- Megalizzi, V.; Le Mercier, M.; Decaestecker, C. Sigma receptors and their ligands in cancer biology: Overview and new perspectives for cancer therapy. Med. Res. Rev. 2012, 32, 410–427. [Google Scholar] [CrossRef]
- Mach, R.H.; Zeng, C.; Hawkins, W.G. The σ2 receptor: A novel protein for the imaging and treatment of cancer. J. Med. Chem. 2013, 56, 7137–7160. [Google Scholar] [CrossRef]
- Zeng, C.; Rothfuss, J.; Zhang, J.; Chu, W.; Vangveravong, S.; Tu, Z.; Pan, F.; Chang, K.C.; Hotchkiss, R.; Mach, R.H. Sigma-2 ligands induce tumour cell death by multiple signalling pathways. Br. J. Cancer 2012, 106, 693–701. [Google Scholar] [CrossRef]
- Hornick, J.R.; Xu, J.; Vangveravong, S.; Tu, Z.; Mitchem, J.B.; Spitzer, D.; Goedegebuure, P.; Mach, R.H.; Hawkins, W.G. The novel sigma-2 receptor ligand SW43 stabilizes pancreas cancer progression in combination with gemcitabine. Mol. Cancer 2010, 9, 298. [Google Scholar] [CrossRef]
- Kashiwagi, H.; McDunn, J.E.; Simon, P.O., Jr.; Goedegebuure, P.S.; Xu, J.; Jones, L.; Chang, K.; Johnston, F.; Trinkaus, K.; Hotchkiss, R.S.; et al. Selective sigma-2 ligands preferentially bind to pancreatic adenocarcinomas: Applications in diagnostic imaging and therapy. Mol. Cancer 2007, 6, 48. [Google Scholar] [CrossRef] [PubMed]
- Maestrup, E.G.; Wiese, C.; Schepmann, D.; Brust, P.; Wünsch, B. Synthesis, pharmacological activity and structure affinity relationships of spirocyclic σ1 receptor ligands with a (2-fluoroethyl) residue in 3-position. Bioorg. Med. Chem. 2011, 19, 393–405. [Google Scholar] [CrossRef]
- Kranz, M.; Sattler, B.; Wüst, N.; Deuther-Conrad, W.; Patt, M.; Meyer, P.M.; Fischer, S.; Donat, C.K.; Wünsch, B.; Hesse, S.; et al. Evaluation of the enantiomer specific biokinetics and radiation doses of [18F]-fluspidine—A new tracer in clinical translation for imaging of σ1 receptors. Molecules 2016, 21, 1164. [Google Scholar] [CrossRef]
- Wiese, C.; Maestrup, E.G.; Galla, F.; Schepmann, D.; Hiller, A.; Fischer, S.; Ludwig, F.-A.; Deuther-Conrad, W.; Donat, C.K.; Brust, P.; et al. Comparison of in silico, electrochemical, in vitro and in vivo metabolism of a homologous series of (radio)fluorinated σ1 receptor ligands designed for positron emission tomography. ChemMedChem 2016, 11, 2445–2458. [Google Scholar] [CrossRef]
- Bunse, P.; Schlepphorst, C.; Glorius, F.; Kitamura, M.; Wünsch, B. Short and atom-economic enantioselective synthesis of the σ1-receptor ligands (S)- and (R)-fluspidine—Important tools for positron emission tomography studies. J. Org. Chem. 2019, 84, 13744–13754. [Google Scholar] [CrossRef]
- Meyer, P.; Strauss, M.; Becker, G.; Hesse, S.; Bednasch, K.; Ettrich, B.; Zientek, F.; Bullmann, K.; Wilke, S.; Luthardt, J.; et al. Increased sigma-1 receptor (Sig-1R) binding in the brain of unmedicated patients with acute major depressive disorder (MDD) using the novel Sig-1R-specific radioligand (-)-[18F] Fluspidine and PET. J. Nucl. Med. 2018, 59, 551. [Google Scholar]
- Holl, R.; Geiger, C.; Nambo, M.; Itami, K.; Schepmann, D.; Wünsch, B. Structure-affinity-relationship study of bicyclic σ receptor ligands. Cent. Nerv. System Agents Med. Chem. Spec. Issue 2009, 9, 220–229. [Google Scholar] [CrossRef]
- Chu, W.; Xu, J.; Zhou, D.; Zhang, F.; Jones, L.A.; Wheelers, K.T.; Mach, R.H. New N-substituted 9-azabicyclo[3.3.1]nonan-3alpha-yl phenylcarbamate analogs as sigma2 receptor ligands: Synthesis, in vitro characterization, and evaluation as PET imaging and chemosensitization agents. Bioorg. Med. Chem. 2009, 17, 1222–1231. [Google Scholar] [CrossRef]
- Torres-Gómez, H.; Lehmkuhl, K.; Schepmann, D.; Wünsch, B. Design, synthesis and receptor affinity of novel conformationally restricted σ ligands based on the [4.3.3]propellane scaffold. Eur. J. Med. Chem. 2013, 70, 78–87. [Google Scholar] [CrossRef] [PubMed]
- Torres-Gómez, H.; Daniliuc, C.; Schepmann, D.; Wünsch, B. Synthesis of 3-aza[4.4.3]propellanes with high σ1 receptor affinity. Bioorg. Med. Chem. 2018, 26, 1705–1712. [Google Scholar] [CrossRef] [PubMed]
- Abdel-Magid, A.F.; Mehrman, S.J.A. Review on the Use of Sodium Triacetoxyborohydride in the Reductive Amination of Ketones and Aldehydes. Org. Process. Res. Dev. 2006, 10, 971–1031. [Google Scholar] [CrossRef]
- Hasebein, P.; Frehland, B.; Lehmkuhl, K.; Fröhlich, R.; Schepmann, D.; Wünsch, B. Synthesis and pharmacological evaluation of like- and unlike-configured tetrahydro-2-benzazepines with the α-substituted benzyl moiety in the 5-position. Org. Biomol. Chem. 2014, 12, 5407–5426. [Google Scholar] [CrossRef]
- Meyer, C.; Neue, B.; Schepmann, D.; Yanagisawa, S.; Yamaguchi, J.; Würthwein, E.-U.; Itami, K.; Wünsch, B. Improvement of σ1 receptor affinity by late-stage C-H-bond arylation of spirocyclic lactones. Bioorg. Med. Chem. 2013, 21, 1844–1856. [Google Scholar] [CrossRef]
- Miyata, K.; Schepmann, D.; Wünsch, B. Synthesis and σ receptor affinity of regioisomeric spirocyclic furopyridines. Eur. J. Med. Chem. 2014, 83, 709–716. [Google Scholar] [CrossRef]
- Torres-Gómez, H.; Lehmkuhl, K.; Frehland, B.; Daniliuc, C.; Schepmann, D.; Ehrhardt, C.; Wünsch, B. Stereoselective synthesis and pharmacological evaluation of [4.3.3]propellan-8-amines as analogs of adamantanamines. Bioorg. Med. Chem. 2015, 23, 4277–4285. [Google Scholar] [CrossRef]
- Kronenberg, E.; Weber, F.; Brune, S.; Schepmann, D.; Almansa, C.; Friedland, K.; Laurini, E.; Pricl, S.; Wünsch, B. Synthesis and structure-affinity relationships of spirocyclic benzopyrans with exocyclic amino moiety. J. Med. Chem. 2019, 62, 4204–4217. [Google Scholar] [CrossRef] [PubMed]
- Kopp, N.; Civenni, G.; Marson, D.; Laurini, E.; Pricl, S.; Catapano, C.V.; Humpf, H.-U.; Almansa, C.; Nieto, F.R.; Schepmann, D.; et al. Chemoenzymatic synthesis of 2,6-disubsttuted tetrahydropyrans with high σ1 receptor affinity, antitumor and analgesic activity. Eur. J. Med. Chem. 2021, 219, 113443. [Google Scholar] [CrossRef]
- Szlachcic, P.; Przemyslaw, K.; Uchacz, T.; Stadnicka, K. Molecular and Crystal structure of selected compounds containing 8,11-dioxa[4.3.3]propellane moiety. J. Mol. Struc. 2012, 1012, 87–96. [Google Scholar] [CrossRef]
- Kopp, N.; Holtschulte, C.; Börgel, F.; Lehmkuhl, K.; Friedland, K.; Civenni, G.; Laurini, E.; Catapano, C.V.; Pricl, S.; Humpf, H.-U.; et al. Novel σ1 antagonists designed for tumor therapy: Structure—Activity relationships of aminoethyl substituted cyclohexanes. Eur. J. Med. Chem. 2021, 210, 112950. [Google Scholar] [CrossRef]
- Massova, I.; Kollman, P.A. Combined molecular mechanical and continuum solvent approach (MM-PBSA/GBSA) to predict ligand binding. Perspect. Drug Discov. 2000, 18, 113–135. [Google Scholar] [CrossRef]
- Sunhwan, J.; Taehoon, K.; Vidyashankara, G.I.; Wonpil, I. CHARMM-GUI: A web-based graphical user interface for CHARMM. J. Comput. Chem. 2008, 11, 1859–1865. [Google Scholar]
- Jorgensen, W.L.; Chandrasekhar, J.; Madura, J.D.; Impey, R.W.; Klein, M.L. Comparison of simple potential functions for simulating liquid water. J. Chem. Phys. 1983, 79, 926–935. [Google Scholar] [CrossRef]
- Case, D.A.; Belfon, K.; Ben-Shalom, I.Y.; Brozell, S.R.; Cerutti, D.S.; Cheatham, T.E., III; Cruzeiro, V.W.D.; Darden, T.A.; Duke, R.E.; Giambasu, G.; et al. AMBER 2020; University of California: San Francisco, CA, USA, 2020. [Google Scholar]
- Junmei, W.; Romain, M.W.; James, W.C.; Peter, A.K.; David, A.C. Development and testing of a general amber force field. J. Comput. Chem. 2004, 25, 1157–1174. [Google Scholar]
- Vanquelef, E.; Simon, S.; Marquant, G.; Garcia, E.; Klimerak, G.; Delepine, J.C.; Cieplak, P.; Dupradeau, F.-Y.R.E.D. Server: A web service for deriving RESP and ESP charges and building force field libraries for new molecules and molecular fragments. Nucleic Acids Res. 2011, 39, W511–W517. [Google Scholar] [CrossRef]
- Valencia, M.E.; Herrera-Arozamena, C.; de Andres, L.; Perez, C.; Morales-Garcia, J.A.; Perez-Castillo, A.; Ramos, E.; Romero, A.; Viña, D.; Yañez, M.; et al. Neurogenic and neuroprotective donepezil-flavonoid hybrids with sigma-1 affinity and inhibition of key enzymes in Alzheimer's disease. Eur. J. Med. Chem. 2018, 156, 534–553. [Google Scholar]
- Onufriev, A.; Bashford, D.; Case, D.A. Modification of the generalized born model suitable for macromolecules. J. Phys. Chem. 2000, 104, 3712–3720. [Google Scholar] [CrossRef]
- Pettersen, E.F.; Goddard, T.D.; Huang, C.C.; Couch, G.S.; Greenblatt, D.M.; Meng, E.C.; Ferrin, T.E. UCSF Chimera—A visualization system for exploratory research and analysis. J. Comput. Chem. 2004, 25, 1605–1612. [Google Scholar] [CrossRef] [PubMed]
- Hooft, R.W.W.; Nonius, B.V. COLLECT, Program for Collecting Data on CCD Area Detectors; Bruker Nonius BV: Delft, The Netherlands, 1998. [Google Scholar]
- Otwinowski, Z.; Minor, W. Processing of X-ray diffraction data collected in oscillation mode. Methods Enzymol. 1997, 276, 307–326. [Google Scholar] [PubMed]
- Otwinowski, Z.; Borek, D.; Majewski, W.; Minor, W. Multiparametric scaling of diffraction intensities. Acta Crystallogr. Sect. A 2003, 59, 228–234. [Google Scholar] [CrossRef] [PubMed]
- Sheldrick, G.M. SHELXT—Integrated space-group and crystal-structure determination. Acta Cryst. 2015, A71, 3–8. [Google Scholar] [CrossRef] [PubMed]
- Sheldrick, G.M. Crystal structure refinement with SHELXL. Acta Cryst. 2015, C71, 3–8. [Google Scholar]
- XP—Interactive Molecular Graphics; Version 5.1; Bruker AXS Inc.: Madison, Wisconsin, USA, 1998.
Publisher’s Note: MDPI stays neutral with regard to jurisdictional claims in published maps and institutional affiliations. |
© 2021 by the authors. Licensee MDPI, Basel, Switzerland. This article is an open access article distributed under the terms and conditions of the Creative Commons Attribution (CC BY) license (https://creativecommons.org/licenses/by/4.0/).


